Improving Aboveground Biomass Estimation in Lowland Tropical Forests across Aspect and Age Stratification: A Case Study in Xishuangbanna
Abstract
1. Introduction
- (1)
- To explore the efficacy of L8, S2, and L8 + S2 classes in estimating lowland tropical forest AGB.
- (2)
- To explore improvements in AGB estimation through aspect and age stratification in RF models.
2. Materials and Methods
2.1. Study Area
2.2. Stratification Data
2.3. Forest AGB Data Collection and Processing
2.4. Remote Sensing Data and Variables
2.4.1. Data Accessing and Processing
2.4.2. Extracting Remote Sensing Variables
2.4.3. Variable Screening
2.5. Model Fitting
2.6. Assessment and Validation of the Models
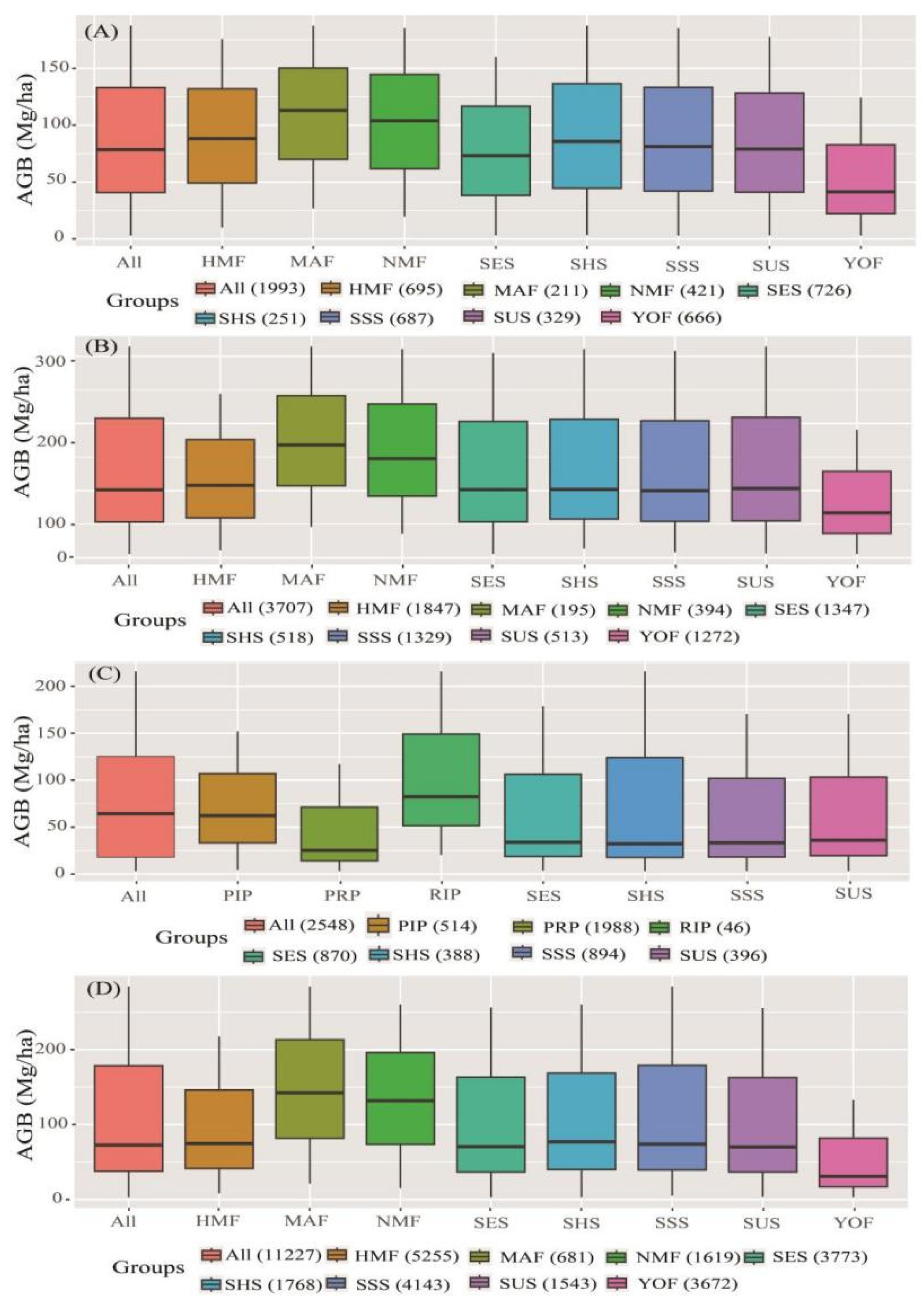
3. Results
3.1. The Selected Variables for Forest AGB Estimation
3.2. P. kesiya var. langbianensis Forest Models
3.3. Oak Forest Models
3.4. H. brasiliensis Forest Models
3.5. Other Broadleaf Forest Models
3.6. Models Comparison
4. Discussion
4.1. Variables Affecting Forest AGB
4.2. Stratified and Unstratified RF Models
4.3. Limitations and Future Research
5. Conclusions
- (1)
- Among the four forest types, the fitting effect of L8 and S2 combined images is better than that of S2 or L8 alone. The R2 values for the combined L8 + S2 analysis for the four forest types were as follows: P. kesiya var. langbianensis (0.8040), oak (0.7741), H. brasiliensis (0.8082), and other broadleaf forests (0.7123).
- (2)
- Age and aspect stratification significantly improved the estimation accuracy of AGB, and the accuracy of the NEF age stratification model was significantly improved. The improvements in R2 values were as follows: P. kesiya var. langbianensis (0.02), oak (0.06), H. brasiliensis (0.03), and other broadleaf forests (0.10). In aspect stratification, the SHS model had the best fitting effect for P. kesiya var. langbianensis (0.8675) and H. brasiliensis (0.8388), while the SUS model achieved the best fitting effect on the AGB model of oak (0.8364) and other broad-leaved trees (0.8240).
Author Contributions
Funding
Data Availability Statement
Acknowledgments
Conflicts of Interest
References
- Lulandala, L.; Bargués-Tobella, A.; Masao, C.A.; Nyberg, G.; Ilstedt, U. The size of clearings for charcoal production in miombo woodlands affects soil hydrological properties and soil organic carbon. For. Ecol. Manag. 2023, 529, 120701. [Google Scholar] [CrossRef]
- Poorter, L.; van der Sande, M.T.; Thompson, J.; Arets, E.J.; Alarcón, A.; Álvarez-Sánchez, J.; Ascarrunz, N.; Balvanera, P.; Barajas-Guzmán, G.; Boit, A. Diversity enhances carbon storage in tropical forests. Glob. Ecol. Biogeogr. 2015, 24, 1314–1328. [Google Scholar] [CrossRef]
- Lu, D.; Chen, Q.; Wang, G.; Liu, L.; Li, G.; Moran, E. A survey of remote sensing-based aboveground biomass estimation methods in forest ecosystems. Int. J. Digit. Earth 2016, 9, 63–105. [Google Scholar] [CrossRef]
- Ou, G.; Lv, Y.; Xu, H.; Wang, G. Improving forest aboveground biomass estimation of Pinus densata forest in Yunnan of Southwest China by spatial regression using Landsat 8 images. Remote Sens. 2019, 11, 2750. [Google Scholar] [CrossRef]
- Tang, J.; Liu, Y.; Li, L.; Liu, Y.; Wu, Y.; Xu, H.; Ou, G. Enhancing aboveground biomass estimation for three pinus forests in yunnan, SW China, using landsat 8. Remote Sens. 2022, 14, 4589. [Google Scholar] [CrossRef]
- Vafaei, S.; Soosani, J.; Adeli, K.; Fadaei, H.; Naghavi, H.; Pham, T.D.; Tien Bui, D. Improving accuracy estimation of Forest Aboveground Biomass based on incorporation of ALOS-2 PALSAR-2 and Sentinel-2A imagery and machine learning: A case study of the Hyrcanian forest area (Iran). Remote Sens. 2018, 10, 172. [Google Scholar] [CrossRef]
- Mansaray, L.R.; Wang, F.; Huang, J.; Yang, L.; Kanu, A.S. Accuracies of support vector machine and random forest in rice mapping with Sentinel-1A, Landsat-8 and Sentinel-2A datasets. Geocarto Int. 2020, 35, 1088–1108. [Google Scholar] [CrossRef]
- Imran, A.; Ahmed, S. Potential of Landsat-8 spectral indices to estimate forest biomass. Int. J. Hum. Cap. Urban Manag. 2018, 3, 303. [Google Scholar]
- Li, C.; Li, Y.; Li, M. Improving forest aboveground biomass (AGB) estimation by incorporating crown density and using landsat 8 OLI images of a subtropical forest in Western Hunan in Central China. Forests 2019, 10, 104. [Google Scholar] [CrossRef]
- Bousbaa, M.; Htitiou, A.; Boudhar, A.; Eljabiri, Y.; Elyoussfi, H.; Bouamri, H.; Ouatiki, H.; Chehbouni, A. High-resolution monitoring of the snow cover on the Moroccan Atlas through the spatio-temporal fusion of Landsat and Sentinel-2 images. Remote Sens. 2022, 14, 5814. [Google Scholar] [CrossRef]
- Pandit, S.; Tsuyuki, S.; Dube, T. Estimating above-ground biomass in sub-tropical buffer zone community forests, Nepal, using Sentinel 2 data. Remote Sens. 2018, 10, 601. [Google Scholar] [CrossRef]
- Coops, N.C.; Tompalski, P.; Goodbody, T.R.; Achim, A.; Mulverhill, C. Framework for near real-time forest inventory using multi source remote sensing data. Forestry 2023, 96, 1–19. [Google Scholar] [CrossRef]
- Zhao, X.; Yu, B.; Liu, Y.; Chen, Z.; Li, Q.; Wang, C.; Wu, J. Estimation of poverty using random forest regression with multi-source data: A case study in Bangladesh. Remote Sens. 2019, 11, 375. [Google Scholar] [CrossRef]
- Huang, H.; Liu, C.; Wang, X.; Zhou, X.; Gong, P. Integration of multi-resource remotely sensed data and allometric models for forest aboveground biomass estimation in China. Remote Sens. Environ. 2019, 221, 225–234. [Google Scholar] [CrossRef]
- Huang, T.; Ou, G.; Wu, Y.; Zhang, X.; Liu, Z.; Xu, H.; Xu, X.; Wang, Z.; Xu, C. Estimating the Aboveground Biomass of Various Forest Types with High Heterogeneity at the Provincial Scale Based on Multi-Source Data. Remote Sens. 2023, 15, 3550. [Google Scholar] [CrossRef]
- Sa, R.; Fan, W. Estimation of Forest Parameters in Boreal Artificial Coniferous Forests Using Landsat 8 and Sentinel-2A. Remote Sens. 2023, 15, 3605. [Google Scholar] [CrossRef]
- Tian, L.; Wu, X.; Tao, Y.; Li, M.; Qian, C.; Liao, L.; Fu, W. Review of Remote Sensing-Based Methods for Forest Aboveground Biomass Estimation: Progress, Challenges, and Prospects. Forests 2023, 14, 1086. [Google Scholar] [CrossRef]
- Chatziantoniou, A.; Petropoulos, G.P.; Psomiadis, E. Co-Orbital Sentinel 1 and 2 for LULC mapping with emphasis on wetlands in a mediterranean setting based on machine learning. Remote Sens. 2017, 9, 1259. [Google Scholar] [CrossRef]
- Kuplich, T.; Curran, P.J.; Atkinson, P.M. Relating SAR image texture to the biomass of regenerating tropical forests. Int. J. Remote Sens. 2005, 26, 4829–4854. [Google Scholar] [CrossRef]
- Zhang, L.; Shao, Z.; Liu, J.; Cheng, Q. Deep learning based retrieval of forest aboveground biomass from combined LiDAR and landsat 8 data. Remote Sens. 2019, 11, 1459. [Google Scholar] [CrossRef]
- Li, Y.; Li, C.; Li, M.; Liu, Z. Influence of variable selection and forest type on forest aboveground biomass estimation using machine learning algorithms. Forests 2019, 10, 1073. [Google Scholar] [CrossRef]
- Karlson, M.; Ostwald, M.; Reese, H.; Sanou, J.; Tankoano, B.; Mattsson, E. Mapping tree canopy cover and aboveground biomass in Sudano-Sahelian woodlands using Landsat 8 and random forest. Remote Sens. 2015, 7, 10017–10041. [Google Scholar] [CrossRef]
- Purohit, S.; Aggarwal, S.; Patel, N. Estimation of forest aboveground biomass using combination of Landsat 8 and Sentinel-1A data with random forest regression algorithm in Himalayan Foothills. Trop. Ecol. 2021, 62, 288–300. [Google Scholar] [CrossRef]
- Zeng, N.; Ren, X.; He, H.; Zhang, L.; Zhao, D.; Ge, R.; Li, P.; Niu, Z. Estimating grassland aboveground biomass on the Tibetan Plateau using a random forest algorithm. Ecol. Indic. 2019, 102, 479–487. [Google Scholar] [CrossRef]
- Pan, Y.; Birdsey, R.A.; Phillips, O.L.; Jackson, R.B. The structure, distribution, and biomass of the world’s forests. Annu. Rev. Ecol. Evol. Syst. 2013, 44, 593–622. [Google Scholar] [CrossRef]
- Ou, G.; Li, C.; Lv, Y.; Wei, A.; Xiong, H.; Xu, H.; Wang, G. Improving Aboveground Biomass Estimation of Pinus densata Forests in Yunnan Using Landsat 8 Imagery by Incorporating Age Dummy Variable and Method Comparison. Remote Sens. 2019, 11, 738. [Google Scholar] [CrossRef]
- Zhao, P.; Lu, D.; Wang, G.; Wu, C.; Huang, Y.; Yu, S. Examining spectral reflectance saturation in Landsat imagery and corresponding solutions to improve forest aboveground biomass estimation. Remote Sens. 2016, 8, 469. [Google Scholar] [CrossRef]
- Chen, Y.; Li, L.; Lu, D.; Li, D. Exploring bamboo forest aboveground biomass estimation using Sentinel-2 data. Remote Sens. 2018, 11, 7. [Google Scholar] [CrossRef]
- Gentry, A.H. Tropical forest biodiversity: Distributional patterns and their conservational significance. Oikos 1992, 63, 19–28. [Google Scholar] [CrossRef]
- Cao, M.; Zou, X.; Warren, M.; Zhu, H. Tropical forests of xishuangbanna, China. Biotropica J. Biol. Conserv. 2006, 38, 306–309. [Google Scholar]
- Chen, Y.; Marino, J.; Chen, Y.; Tao, Q.; Sullivan, C.D.; Shi, K.; Macdonald, D.W. Predicting hotspots of human-elephant conflict to inform mitigation strategies in Xishuangbanna, Southwest China. PLoS ONE 2016, 11, e0162035. [Google Scholar] [CrossRef]
- Zhu, H.; Cao, M.; Hu, H. Geological history, flora, and vegetation of Xishuangbanna, Southern Yunnan, China. Biotropica J. Biol. Conserv. 2006, 38, 310–317. [Google Scholar]
- Mammides, C.; Goodale, E.; Dayananda, S.K.; Kang, L.; Chen, J. Do acoustic indices correlate with bird diversity? Insights from two biodiverse regions in Yunnan Province, south China. Ecol. Indic. 2017, 82, 470–477. [Google Scholar] [CrossRef]
- Singh, J.; Rawat, Y.; Chaturvedi, O. Replacement of oak forest with pine in the Himalaya affects the nitrogen cycle. Nature 1984, 311, 54–56. [Google Scholar] [CrossRef]
- Liu, W.; Li, J.; Lu, H.; Wang, P.; Luo, Q.; Liu, W.; Li, H. Vertical patterns of soil water acquisition by non-native rubber trees (Hevea brasiliensis) in Xishuangbanna, southwest China. Ecohydrology 2014, 7, 1234–1244. [Google Scholar] [CrossRef]
- Li, H.; Ma, Y.; Aide, T.M.; Liu, W. Past, present and future land-use in Xishuangbanna, China and the implications for carbon dynamics. For. Ecol. Manag. 2008, 255, 16–24. [Google Scholar] [CrossRef]
- Pregitzer, K.S.; Euskirchen, E.S. Carbon cycling and storage in world forests: Biome patterns related to forest age. Glob. Chang. Biol. 2004, 10, 2052–2077. [Google Scholar] [CrossRef]
- Wu, Z.; Zhu, Y. The Vegetation of Yunnan; Science Press: Beijing, China, 1987. [Google Scholar]
- Suratman, M.; Bull, G.; Leckie, D.; Lemay, V.; Marshall, P.; Mispan, M. Prediction models for estimating the area, volume, and age of rubber (Hevea brasiliensis) plantations in Malaysia using Landsat TM data. Int. For. Rev. 2004, 6, 1–12. [Google Scholar] [CrossRef]
- Jianhui, X. Forest Ecology (Revised Edition); China Forestry Publishing House: Beijing, China, 2006; Volume 92, pp. 61–62. [Google Scholar]
- Xu, H.; Zhang, Z.; Ou, G.; Shi, H. A Study on Estimation and Distribution for Forest Biomass and Carbon Storage in Yunnan Province; Yunnan Science and Technology Press: Kunming, China, 2019. [Google Scholar]
- Kaufman, Y.J.; Tanre, D. Strategy for direct and indirect methods for correcting the aerosol effect on remote sensing: From AVHRR to EOS-MODIS. Remote Sens. Environ. 1996, 55, 65–79. [Google Scholar] [CrossRef]
- Li, L.; Zhou, B.; Liu, Y.; Wu, Y.; Tang, J.; Xu, W.; Wang, L.; Ou, G. Reduction in Uncertainty in Forest Aboveground Biomass Estimation Using Sentinel-2 Images: A Case Study of Pinus densata Forests in Shangri-La City, China. Remote Sens. 2023, 15, 559. [Google Scholar] [CrossRef]
- Gascon, F.; Bouzinac, C.; Thépaut, O.; Jung, M.; Francesconi, B.; Louis, J.; Lonjou, V.; Lafrance, B.; Massera, S.; Gaudel-Vacaresse, A. Copernicus Sentinel-2A calibration and products validation status. Remote Sens. 2017, 9, 584. [Google Scholar] [CrossRef]
- Huete, A.; Liu, H.; Batchily, K.; Van Leeuwen, W. A comparison of vegetation indices over a global set of TM images for EOS-MODIS. Remote Sens. Environ. 1997, 59, 440–451. [Google Scholar] [CrossRef]
- Venancio, L.P.; Mantovani, E.C.; do Amaral, C.H.; Neale, C.M.U.; Gonçalves, I.Z.; Filgueiras, R.; Eugenio, F.C. Potential of using spectral vegetation indices for corn green biomass estimation based on their relationship with the photosynthetic vegetation sub-pixel fraction. Agric. Water Manag. 2020, 236, 106155. [Google Scholar] [CrossRef]
- Haralick, R.M.; Shanmugam, K.; Dinstein, I.H. Textural features for image classification. IEEE Trans. Syst. Man Cybern. 1973, SMC-3, 610–621. [Google Scholar] [CrossRef]
- Dube, T.; Mutanga, O. Investigating the robustness of the new Landsat-8 Operational Land Imager derived texture metrics in estimating plantation forest aboveground biomass in resource constrained areas. ISPRS J. Photogramm. Remote Sens. 2015, 108, 12–32. [Google Scholar] [CrossRef]
- Li, C.; Zhou, L.; Xu, W. Estimating aboveground biomass using Sentinel-2 MSI data and ensemble algorithms for grassland in the Shengjin Lake Wetland, China. Remote Sens. 2021, 13, 1595. [Google Scholar] [CrossRef]
- Toutin, T. Elevation modelling from satellite visible and infrared (VIR) data. Int. J. Remote Sens. 2010, 22, 1097–1125. [Google Scholar] [CrossRef]
- Li, X.; Liu, Z.; Lin, H.; Wang, G.; Sun, H.; Long, J.; Zhang, M. Estimating the growing stem volume of Chinese pine and larch plantations based on fused optical data using an improved variable screening method and stacking algorithm. Remote Sens. 2020, 12, 871. [Google Scholar] [CrossRef]
- Miles, J. Tolerance and variance inflation factor. In Wiley Statsref: Statistics Reference Online; John Wiley & Sons: Hoboken, NJ, USA, 2014. [Google Scholar]
- Qi, Y. Random forest for bioinformatics. In Ensemble Machine Learning: Methods and Applications; Springer: Berlin/Heidelberg, Germany, 2012; pp. 307–323. [Google Scholar]
- Rigatti, S.J. Random forest. J. Insur. Med. 2017, 47, 31–39. [Google Scholar] [CrossRef]
- Shekar, B.; Dagnew, G. Grid search-based hyperparameter tuning and classification of microarray cancer data. In Proceedings of the 2019 Second International Conference on Advanced Computational and Communication Paradigms (ICACCP), Sikkim, India, 25–28 February 2019; pp. 1–8. [Google Scholar]
- Huang, T.; Ou, G.; Xu, H.; Zhang, X.; Wu, Y.; Liu, Z.; Zou, F.; Zhang, C.; Xu, C. Comparing Algorithms for Estimation of Aboveground Biomass in Pinus yunnanensis. Forests 2023, 14, 1742. [Google Scholar] [CrossRef]
- Genuer, R.; Poggi, J.-M.; Tuleau-Malot, C. Variable selection using random forests. Pattern Recog. Lett. 2010, 31, 2225–2236. [Google Scholar] [CrossRef]
- Ronoud, G.; Fatehi, P.; Darvishsefat, A.A.; Tomppo, E.; Praks, J.; Schaepman, M.E. Multi-Sensor Aboveground Biomass Estimation in the Broadleaved Hyrcanian Forest of Iran. Can. J. Remote Sens. 2021, 47, 818–834. [Google Scholar] [CrossRef]
- Ghasemi, N.; Sahebi, M.R.; Mohammadzadeh, A. Biomass Estimation of a Temperate Deciduous Forest Using Wavelet Analysis. IEEE Trans. Geosci. Remote Sens. 2013, 51, 765–776. [Google Scholar] [CrossRef]
- Malhi, R.K.M.; Anand, A.; Srivastava, P.K.; Chaudhary, S.K.; Pandey, M.K.; Behera, M.D.; Kumar, A.; Singh, P.; Sandhya Kiran, G. Synergistic evaluation of Sentinel 1 and 2 for biomass estimation in a tropical forest of India. Adv. Space Res. 2022, 69, 1752–1767. [Google Scholar] [CrossRef]
- Muscarella, R.; Kolyaie, S.; Morton, D.C.; Zimmerman, J.K.; Uriarte, M.; Jucker, T. Effects of topography on tropical forest structure depend on climate context. J. Ecol. 2019, 108, 145–159. [Google Scholar] [CrossRef]
- Adam, E.; Mutanga, O.; Abdel-Rahman, E.M.; Ismail, R. Estimating standing biomass in papyrus (Cyperus papyrus L.) swamp: Exploratory of in situ hyperspectral indices and random forest regression. Int. J. Remote Sens. 2014, 35, 693–714. [Google Scholar] [CrossRef]
- Shen, M.; Tang, Y.; Klein, J.; Zhang, P.; Gu, S.; Shimono, A.; Chen, J. Estimation of aboveground biomass using in situ hyperspectral measurements in five major grassland ecosystems on the Tibetan Plateau. J. Plant Ecol. 2008, 1, 247–257. [Google Scholar] [CrossRef]
- Walton, E.; Casey, C.; Mitsch, J.; Vázquez-Diosdado, J.A.; Yan, J.; Dottorini, T.; Ellis, K.A.; Winterlich, A.; Kaler, J. Evaluation of sampling frequency, window size and sensor position for classification of sheep behaviour. R. Soc. Open Sci. 2018, 5, 171442. [Google Scholar] [CrossRef]
- Phua, M.-H.; Hue, S.W.; Ioki, K.; Hashim, M.; Bidin, K.; Musta, B.; Suleiman, M.; Yap, S.W.; Maycock, C.R. Estimating logged-over lowland rainforest aboveground biomass in Sabah, Malaysia using airborne LiDAR data. TAO Terr. Atmos. Ocean. Sci. 2016, 27, 481. [Google Scholar] [CrossRef][Green Version]
- Berninger, A.; Lohberger, S.; Stängel, M.; Siegert, F. SAR-based estimation of above-ground biomass and its changes in tropical forests of Kalimantan using L-and C-band. Remote Sens. 2018, 10, 831. [Google Scholar] [CrossRef]
- Mutanga, O.; Masenyama, A.; Sibanda, M. Spectral saturation in the remote sensing of high-density vegetation traits: A systematic review of progress, challenges, and prospects. ISPRS J. Photogramm. Remote Sens. 2023, 198, 297–309. [Google Scholar] [CrossRef]
- Lu, D.; Chen, Q.; Wang, G.; Moran, E.; Batistella, M.; Zhang, M.; Vaglio Laurin, G.; Saah, D. Aboveground Forest Biomass Estimation with Landsat and LiDAR Data and Uncertainty Analysis of the Estimates. Int. J. For. Res. 2012, 2012, 436537. [Google Scholar] [CrossRef]
- Haeussler, S.; Bergeron, Y. Range of variability in boreal aspen plant communities after wildfire and clear-cutting. Can. J. For. Res. 2004, 34, 274–288. [Google Scholar] [CrossRef]
- Alvarez-Buylla, E.R.; Martinez-Ramos, M. Demography and allometry of Cecropia obtusifolia, a neotropical pioneer tree-an evaluation of the climax-pioneer paradigm for tropical rain forests. J. Ecol. 1992, 80, 275–290. [Google Scholar] [CrossRef]
- Li, Y.; Li, M.; Li, C.; Liu, Z. Forest aboveground biomass estimation using Landsat 8 and Sentinel-1A data with machine learning algorithms. Sci. Rep. 2020, 10, 9952. [Google Scholar] [CrossRef]
- Gonzalez, T.J.; Lau, A.; Bartholomeus, H.; Herold, M.; Avitabile, V.; Raumonen, P.; Martius, C.; Goodman, R.C.; Disney, M.; Manuri, S.; et al. Estimation of above-ground biomass of large tropical trees with terrestrial LiDAR. Methods Ecol. Evol. 2017, 9, 223–234. [Google Scholar] [CrossRef]
















| Forest Types | Age | BEF | SVD (Mg/ha) |
|---|---|---|---|
| P. kesiya var. langbianensi | All ages | 1.3040 | 0.4540 |
| Oak | Young forest (YOF) | 1.3798 | 0.6760 |
| Half-mature forest (HMF) | 1.3947 | 0.6760 | |
| Near-mature forest (NMF) | 1.2517 | 0.6760 | |
| Mature forest (MAF) | 1.1087 | 0.6760 | |
| H. brasiliensis | Prenatal period (PRP) | 1.8210 | 0.4410 |
| Primipara period (PIP) | 1.4409 | 0.4410 | |
| Rich period (RIP) | 1.3937 | 0.4410 | |
| Other broadleaf | All ages | 1.5136 | 0.4820 |
| Sensor | Image ID | Acquisition Date | Solar Elevation (°) | Solar Azimuth (°) | Mean Cloud Cover (%) |
|---|---|---|---|---|---|
| Landsat 8 OLI (L8) | LC81300452016046LGN01 | 15 February 2016 | 46.3395 | 139.8294 | 0.01 |
| LC81300442016046LGN00 | 15 February 2016 | 45.3711 | 141.0448 | 0.01 | |
| LC81310452016053LGN00 | 22 February 2016 | 48.3488 | 137.7022 | 1.85 | |
| LC81290452016119LGN00 | 28 April 2016 | 66.7992 | 104.7207 | 1.22 | |
| Sentinel 2A | S2A_MSIL1C_20160412T0 | 12 April 2016 | 66.59 | 118.8 | 0.84 |
| (S2) | 33552_N0201_R061_T47Q | ||||
| QD_20160412T034713 | |||||
| S2A_MSIL1C_20160505T0 | 5 February 2016 | 72.25 | 102.7 | 0.61 | |
| 34542_N0202_R104_T47Q | |||||
| PD_20160505T035143 | |||||
| S2A_MSIL1C_20160505T0 | 5 February 2016 | 73.12 | 103.7 | 0.26 | |
| 34542_N0202_R104_T47Q | |||||
| QD_20160505T035143 | |||||
| S2A_MSIL1C_20160505T0 | 5 February 2016 | 71.98 | 105.4 | 3.6 | |
| 34542_N0202_R104_T47 | |||||
| QPE_20160505T035143 | |||||
| S2A_MSIL1C_20160505T0 | 5 February 2016 | 72.84 | 106.5 | 7.99 | |
| 34542_N0202_R104_T47Q | |||||
| QE_20160505T035143 | |||||
| S2A_MSIL1C_20160326T0 | 5 February 2016 | 61.37 | 130.7 | 0.97 | |
| 34552_N0201_R104_T47Q | |||||
| NE_20160326T035729 |
| Features Set | Number of Variables | Variable Types | Definition | References |
|---|---|---|---|---|
| L8 | 5 | Original bands | Blue, Red, Green, NIR, SWIR2 | [23] |
| 20 | Vegetation indices | NDVI (Normalized difference vegetation index), ND43 (NDVI with band3 and band4), ND67 (NDVI with band6 and band7), ND563 (NDVI with band3 and band5 with band6), DVI (Difference vegetation index), SAVI (Soil adjusted vegetation index), RVI (Ratio vegetation index), BVI (Brightness vegetation index), GVI (Greenness vegetation index), TVI (Temperature vegetation index), ARVI (Atmospherically resistant vegetation index), MV17 (Mid-infrared temperature vegetation index), MSAVI (Modified soil adjusted vegetation index), BVI (Bare soil vegetation index), ALBEDO (Multiband linear combination), SR (Simple ratio index), GARI (Green atmosphere response index), SAV12 (Improved vegetation index), MSR (Optimized simple ratio vegetation index), EVI (Enhanced vegetation index) | [23] | |
| 3 | Image transformations | KT-1, KT-2, KT-3 | [46] | |
| 144 | Texture measures | The 6 original bands of grey-level co-occurrence matrix-based texture measures including the Mean (ME), Variance (VA), Homogeneity (HO), Contrast (CN), Dissimilarity (DI), Entropy (EN), Second Moment (SM), Correlation (CO) using moving window sizes of 3 × 3, 5 × 5, and 7 × 7 pixels | [48] | |
| S2 | 11 | Original band | Blue, Green, Red, Vegetation red edge (B5, B6, B7), NIR, Water vapor, SWIR-cirrus, SWIR (B11, B12) | [45] |
| 20 | Vegetation indices | RVI (Ratio vegetation index), DVI (Difference vegetation index), WDVI (Weighted difference vegetation index), IPVI (Infrared vegetation index), PVI (Perpendicular vegetation index), NDVI (Normalized difference vegetation index), NDVI45 (NDVI with band4 and band5), GNDVI (NDVI of the green band), IRECI (Inverted red edge chlorophyll index), SAVI (Soil adjusted vegetation index), TSAVI (Transformed soil adjusted vegetation index), MSAVI (Modified soil adjusted vegetation index), REP (Red edge position index), REIP (Red edge infection point index), GARI (Green atmosphere response index), ARVI (Atmospherically resistant vegetation index), PSSRa (Pigment specific simple ratio chlorophyll index), MTCI (Meris terrestrial chlorophyll index), MCARI (Modified chlorophyll absorption ratio index), EVI (Enhanced vegetation index) | [45,49] | |
| 3 | Image transformations | KT-1, KT-2, KT-3 | [46] | |
| 264 | Texture measures | Grey-level co-occurrence matrix-based texture measures including the mean (ME), variance (VA), homogeneity (HO), contrast (CN), dissimilarity (DI), entropy (EN), second moment (SM), correlation (CO) using moving window sizes of 3 × 3, 5 × 5, and 7 × 7 pixels | [19,49] | |
| L8 + S2 | 470 | All above | All above | All above |
| DEM | 1 | - | Elevation | [50] |
| Forest Types | Imagery Groups | Selected Variables |
|---|---|---|
| P. var. langbianensi forests | L8 | Elevation, B7, ND57, EN_33_B5, EN_33_B7, EN_55_B5, EN_55_B7, VA_77_B2, VA_77_B3 |
| S2 | Elevation, B8A, EVI, REIP, EN_55_B12, CO_77_B3, CO_77_B5, EN_77_B5, CO_77_B6, SM_77_B8A, CN_77_B11 | |
| L8 + S2 | Elevation, S2&B8A, S2&EVI, S2&NDre2, S2&REIP, S2&EN_55_B12, S2&CO_77_B3, S2&CO_77_B5, S2&EN_77_B5, S2&CO_77_B6, S2&SM_77_B8A, S2&CO_77_B11, L8&EN_33_B4, L8&EN_33_B5, L8&EN_33_B7, L8&VA_77_B4, L8&VA_77_B7 | |
| Oak forests | L8 | Elevation, B5, ND67, GARI, ME_55_B2, ME_55_B3, ME_55_B4, HO_77_B5, VA_77_B7 |
| S2 | Elevation, B8A, GARI, REIP, CO_33_B5, CO_33_B8A, CO_55_B4, CO_55_B5, CO_77_B5, CO_77_B8A, CN_77_B9, CO_77_B12 | |
| L8 + S2 | Elevation, S2&B8A, S2&GARI, S2&CO_33_B4, S2&CO_33_B8A, S2&CO_33_B11, S2&CO_55_B6, S2&CO_55_B11, S2&CO_77_B8A, S2&CO_77_B2, S2&CO_77_B12, L8&ND67, L8&GARI, L8&ME_55_B4, L8&CN_77_B5, L8&ME_77_B5, L8&VA_77_B7 | |
| H. brasiliensis forests | L8 | Elevation, NDVI, ND67, DVI, ME_33_B4, EN_77_B4, EN_77_B7, VA_77_B7 |
| S2 | Elevation, B8A, ARVI, CO_33_B2, ME_77_B3, EN_77_B6, EN_77_B8, ME_77_B8A, EN_77_B12 | |
| L8 + S2 | Elevation, S2&B8A, S2&ARVI, S2&CO_33_B2, S2&ME_77_B3, S2&EN_77_B6, S2&EN_77_B8, S2&ME_77_B8A, S2&EN_77_B12, L8&NDVI, L8&ND67, L8&DVI, L8&ME_33_B4, L8&EN_77_B4, L8&EN_77_B7, L8&VA_77_B7 | |
| Other broadleaf forests | L8 | Elevation, ND67, GARI, CO_55_B4, CO_55_B5, VA_55_B7, VA_77_B4, VA_77_B5, SE_77_B7 |
| S2 | Elevation, B8A, EVI, DVI, GARI, SE_33_B12, CO_55_B3, CO_55_B4, CO_55_B8A, CO_55_B11, CO_55_B12, VA_77_B4, DI_77_B5 | |
| L8 + S2 | Elevation, S2&B8A, S2&EVI, S2&GARI, S2&SM_33_B12, S2&CO_55_B12, S2&CO_77_B8A, L8&ND67, L8&GARI, L8&CO_55_B4, L8&EN_55_B5, L8&CN_55_B7, L8&VA_77_B4, L8&CN_77_B5, L8&VA_77_B5 |
Disclaimer/Publisher’s Note: The statements, opinions and data contained in all publications are solely those of the individual author(s) and contributor(s) and not of MDPI and/or the editor(s). MDPI and/or the editor(s) disclaim responsibility for any injury to people or property resulting from any ideas, methods, instructions or products referred to in the content. |
© 2024 by the authors. Licensee MDPI, Basel, Switzerland. This article is an open access article distributed under the terms and conditions of the Creative Commons Attribution (CC BY) license (https://creativecommons.org/licenses/by/4.0/).
Share and Cite
Wu, Y.; Ou, G.; Lu, T.; Huang, T.; Zhang, X.; Liu, Z.; Yu, Z.; Guo, B.; Wang, E.; Feng, Z.; et al. Improving Aboveground Biomass Estimation in Lowland Tropical Forests across Aspect and Age Stratification: A Case Study in Xishuangbanna. Remote Sens. 2024, 16, 1276. https://doi.org/10.3390/rs16071276
Wu Y, Ou G, Lu T, Huang T, Zhang X, Liu Z, Yu Z, Guo B, Wang E, Feng Z, et al. Improving Aboveground Biomass Estimation in Lowland Tropical Forests across Aspect and Age Stratification: A Case Study in Xishuangbanna. Remote Sensing. 2024; 16(7):1276. https://doi.org/10.3390/rs16071276
Chicago/Turabian StyleWu, Yong, Guanglong Ou, Tengfei Lu, Tianbao Huang, Xiaoli Zhang, Zihao Liu, Zhibo Yu, Binbing Guo, Er Wang, Zihang Feng, and et al. 2024. "Improving Aboveground Biomass Estimation in Lowland Tropical Forests across Aspect and Age Stratification: A Case Study in Xishuangbanna" Remote Sensing 16, no. 7: 1276. https://doi.org/10.3390/rs16071276
APA StyleWu, Y., Ou, G., Lu, T., Huang, T., Zhang, X., Liu, Z., Yu, Z., Guo, B., Wang, E., Feng, Z., Luo, H., Lu, C., Wang, L., & Xu, W. (2024). Improving Aboveground Biomass Estimation in Lowland Tropical Forests across Aspect and Age Stratification: A Case Study in Xishuangbanna. Remote Sensing, 16(7), 1276. https://doi.org/10.3390/rs16071276

