Comparison and Validation of Multiple Medium- and High-Resolution Land Cover Products in Southwest China
Abstract
1. Introduction
2. Materials and Methods
2.1. Study Area
2.2. Medium- and High-Resolution LC Products
- (1)
- CLCD [19] land cover map with 30 m spatial resolution from Wuhan University. It is the annual long-term Landsat-derived land cover dataset, established by utilizing visually interpreted samples from satellite time-series data and a random forest classifier.
- (2)
- GLC_FCS30 [20] land cover map with 30 m spatial resolution from Aerospace Information Research Institute, Chinese academy of science (AIR). It offered the most refined classification system in the dataset used for this study (encompassing 16 global LCCS land cover types along with 14 intricate regional land cover types). The data adopted a local adaptive random forest model.
- (3)
- GlobeLand30 [21] (Global land cover dataset with 30 m spatial resolution) land cover map with 30 m spatial resolution based on the integration of pixel- and object-based methods with knowledge (POK-based) from National Geomatics Center of China (NGCC).
- (4)
- ESA WorldCover [22] land cover map with 10 m spatial resolution from European Space Agency (ESA) from the WorldCover project. This product was based on both the Sentinel-1 and Sentinel-2 satellite data and used the pixel-based strategy.
- (5)
- Esri Land Cover [23] land cover map with 10 m spatial resolution from ESRI and Microsoft’s Planetary Computer. It was used for building the global map based on a deep learning artificial intelligence (AI) land classification model.
- (6)
- CRLC [24] land cover map with 10 m spatial resolution from Wuhan University. They have introduced a cross-resolution land cover mapping framework that incorporates the principles of noisy label learning.
- (7)
- FROM_GLC [25] (Finer Resolution Observation and Monitoring of Global Land Cover) land cover map with 10 m and 30 m spatial resolution from the team of Professor Gong Peng of Tsinghua University. It was developed on Google Earth Engine (GEE) using a supervised random forest classifier with FROM-GLC Plus (FGP).
- (8)
- SinoLC-1 [26] land cover map established by Wuhan University, is the first land cover dataset which has 1 m spatial resolution of China, utilizing a deep learning-based framework and open-access data.
2.3. Methods
2.3.1. Reclassification
2.3.2. Stratified Random Sampling Method
2.3.3. Sample Labeling
- (1)
- GF-2 imagery from National Major Projects on High-Resolution Earth Observation System. Southwest China has unique weather, with an exceptionally short duration of effective sunlight (Figure 1a). Therefore, we have chosen multiple time-series data from 2019 to 2020.
- (2)
- Google Earth Images.
2.3.4. Validation Indicators
2.3.5. Spatial Distribution Consistency Analysis
3. Results
3.1. Validation of LC Products
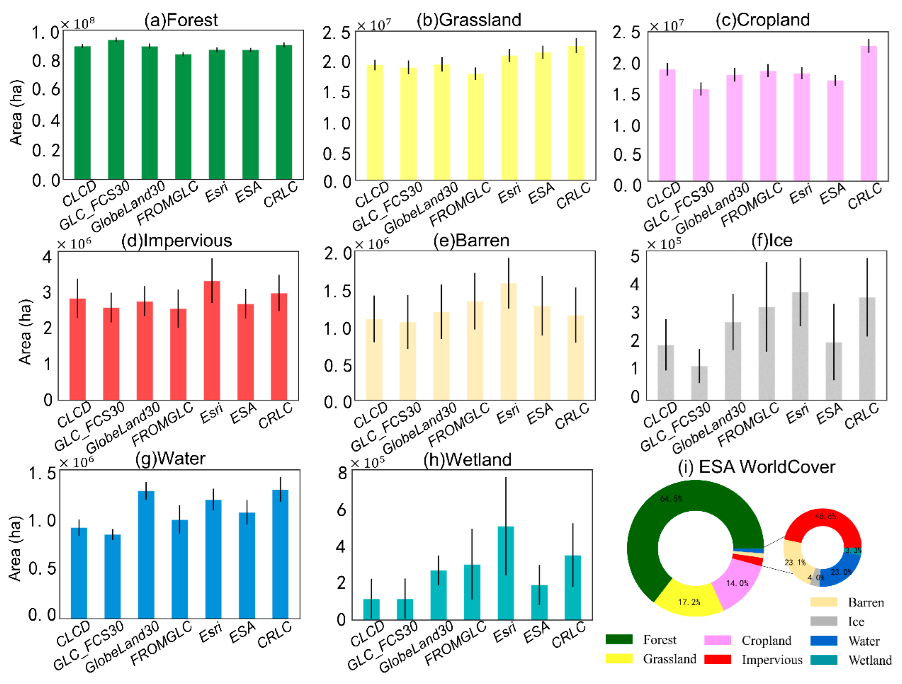
3.2. Area Comparison of the Eight Classes
3.3. Spatial Distribution Difference Comparison
4. Discussion
4.1. Comparison and Analysis of Accuracy
4.2. The Advantage and Limitation of Sampling Method
4.3. Reference of Regional-Scale LC Products
5. Conclusions
Author Contributions
Funding
Data Availability Statement
Acknowledgments
Conflicts of Interest
References
- Mitchell, J.F.B. The “Greenhouse” Effect and Climate Change. Rev. Geophys. 1989, 27, 115–139. [Google Scholar] [CrossRef]
- Jo, H.-S.; Ham, Y.-G. Enhanced Joint Impact of Western Hemispheric Precursors Increases Extreme El Niño Frequency under Greenhouse Warming. Nat. Commun. 2023, 14, 6356. [Google Scholar] [CrossRef]
- Huang, Z.; Tan, X.; Gan, T.Y.; Liu, B.; Chen, X. Thermodynamically Enhanced Precipitation Extremes Due to Counterbalancing Influences of Anthropogenic Greenhouse Gases and Aerosols. Nat. Water 2023, 1, 614–625. [Google Scholar] [CrossRef]
- Tan, X.; Wu, X.; Huang, Z.; Fu, J.; Tan, X.; Deng, S.; Liu, Y.; Gan, T.Y.; Liu, B. Increasing Global Precipitation Whiplash Due to Anthropogenic Greenhouse Gas Emissions. Nat. Commun. 2023, 14, 2796. [Google Scholar] [CrossRef] [PubMed]
- Wei, J.; Fontaine, L.; Valiente, N.; Dörsch, P.; Hessen, D.O.; Eiler, A. Trajectories of Freshwater Microbial Genomics and Greenhouse Gas Saturation upon Glacial Retreat. Nat. Commun. 2023, 14, 3234. [Google Scholar] [CrossRef] [PubMed]
- Mishra, U.; Wu, J.-Z.; Sarkar, B. A Sustainable Production-Inventory Model for a Controllable Carbon Emissions Rate under Shortages. J. Clean. Prod. 2020, 256, 120268. [Google Scholar] [CrossRef]
- Khan, S.A.R. The Nexus between Carbon Emissions, Poverty, Economic Growth, and Logistics Operations-Empirical Evidence from Southeast Asian Countries. Environ. Sci. Pollut. Res. 2019, 26, 13210–13220. [Google Scholar] [CrossRef] [PubMed]
- Walsh, B.; Ciais, P.; Janssens, I.A.; Peñuelas, J.; Riahi, K.; Rydzak, F.; van Vuuren, D.P.; Obersteiner, M. Pathways for Balancing CO2 Emissions and Sinks. Nat. Commun. 2017, 8, 14856. [Google Scholar] [CrossRef] [PubMed]
- Canadell, J.G.; Le Quéré, C.; Raupach, M.R.; Field, C.B.; Buitenhuis, E.T.; Ciais, P.; Conway, T.J.; Gillett, N.P.; Houghton, R.A.; Marland, G. Contributions to Accelerating Atmospheric CO2 Growth from Economic Activity, Carbon Intensity, and Efficiency of Natural Sinks. Proc. Natl. Acad. Sci. USA 2007, 104, 18866–18870. [Google Scholar] [CrossRef]
- Houghton, R.A.; House, J.I.; Pongratz, J.; van der Werf, G.R.; DeFries, R.S.; Hansen, M.C.; Le Quéré, C.; Ramankutty, N. Carbon Emissions from Land Use and Land-Cover Change. Biogeosciences 2012, 9, 5125–5142. [Google Scholar] [CrossRef]
- Zhang, C.; Zhao, L.; Zhang, H.; Chen, M.; Fang, R.; Yao, Y.; Zhang, Q.; Wang, Q. Spatial-Temporal Characteristics of Carbon Emissions from Land Use Change in Yellow River Delta Region, China. Ecol. Indic. 2022, 136, 108623. [Google Scholar] [CrossRef]
- Ouyang, Z.; Zheng, H.; Xiao, Y.; Polasky, S.; Liu, J.; Xu, W.; Wang, Q.; Zhang, L.; Xiao, Y.; Rao, E.; et al. Improvements in Ecosystem Services from Investments in Natural Capital. Science 2016, 352, 1455–1459. [Google Scholar] [CrossRef]
- Sun, J.; Zhang, Y.; Qin, W.; Chai, G. Estimation and Simulation of Forest Carbon Stock in Northeast China Forestry Based on Future Climate Change and LUCC. Remote Sens. 2022, 14, 3653. [Google Scholar] [CrossRef]
- Li, Z.; Zhong, J.; Sun, Z.; Yang, W. Spatial Pattern of Carbon Sequestration and Urban Sustainability: Analysis of Land-Use and Carbon Emission in Guang’an, China. Sustainability 2017, 9, 1951. [Google Scholar] [CrossRef]
- Jung, M.; Henkel, K.; Herold, M.; Churkina, G. Exploiting Synergies of Global Land Cover Products for Carbon Cycle Modeling. Remote Sens. Environ. 2006, 101, 534–553. [Google Scholar] [CrossRef]
- Zhu, L.; Xing, H.; Hou, D. Analysis of Carbon Emissions from Land Cover Change during 2000 to 2020 in Shandong Province, China. Sci. Rep. 2022, 12, 8021. [Google Scholar] [CrossRef]
- Loveland, T.R.; Reed, B.C.; Brown, J.F.; Ohlen, D.O.; Zhu, Z.; Yang, L.; Merchant, J.W. Development of a Global Land Cover Characteristics Database and IGBP DISCover from 1 km AVHRR Data. Int. J. Remote Sens. 2000, 21, 1303–1330. [Google Scholar] [CrossRef]
- Friedl, M.A.; McIver, D.K.; Hodges, J.C.F.; Zhang, X.Y.; Muchoney, D.; Strahler, A.H.; Woodcock, C.E.; Gopal, S.; Schneider, A.; Cooper, A.; et al. Global Land Cover Mapping from MODIS: Algorithms and Early Results. Remote Sens. Environ. 2002, 83, 287–302. [Google Scholar] [CrossRef]
- China Land Cover Dataset. Available online: https://zenodo.org/records/5816591#.ZAWM3BVBy5c (accessed on 16 March 2024).
- GLC_FCS30 Dataset. Available online: https://data.casearth.cn/ (accessed on 16 March 2024).
- Globaland30 Dataset. Available online: https://www.webmap.cn/mapDataAction.do?method=globalLandCover (accessed on 16 March 2024).
- The European Space Agency (ESA) WorldCover Dataset. Available online: https://viewer.esa-worldcover.org/worldcover/ (accessed on 16 March 2024).
- Esri Land Cover Dataset. Available online: https://www.arcgis.com/apps/mapviewer/index.html (accessed on 16 March 2024).
- CRLC Dataset. Available online: https://github.com/LiuGalaxy/CRLC (accessed on 16 March 2024).
- Finer Resolution Observation and Monitoring of Global Land Cover Dataset. Available online: https://data-starcloud.pcl.ac.cn/zh/resource/1 (accessed on 16 March 2024).
- SinoLC-1. Available online: https://zenodo.org/records/8214871 (accessed on 16 March 2024).
- Richards, D.R.; Thompson, B.S.; Wijedasa, L. Quantifying Net Loss of Global Mangrove Carbon Stocks from 20 Years of Land Cover Change. Nat. Commun. 2020, 11, 4260. [Google Scholar] [CrossRef]
- Zhu, E.; Deng, J.; Zhou, M.; Gan, M.; Jiang, R.; Wang, K.; Shahtahmassebi, A. Carbon Emissions Induced by Land-Use and Land-Cover Change from 1970 to 2010 in Zhejiang, China. Sci. Total Environ. 2019, 646, 930–939. [Google Scholar] [CrossRef]
- Fan, S.; Guan, F.; Xu, X.; Forrester, D.I.; Ma, W.; Tang, X. Ecosystem Carbon Stock Loss after Land Use Change in Subtropical Forests in China. Forests 2016, 7, 142. [Google Scholar] [CrossRef]
- Mayaux, P.; Eva, H.; Gallego, J.; Strahler, A.H.; Herold, M.; Agrawal, S.; Naumov, S.; De Miranda, E.E.; Di Bella, C.M.; Ordoyne, C.; et al. Validation of the Global Land Cover 2000 Map. IEEE Trans. Geosci. Remote Sens. 2006, 44, 1728–1739. [Google Scholar] [CrossRef]
- Yu, Z.; Ciais, P.; Piao, S.; Houghton, R.A.; Lu, C.; Tian, H.; Agathokleous, E.; Kattel, G.R.; Sitch, S.; Goll, D.; et al. Forest Expansion Dominates China’s Land Carbon Sink since 1980. Nat. Commun. 2022, 13, 5374. [Google Scholar] [CrossRef]
- Olofsson, P.; Stehman, S.V.; Woodcock, C.E.; Sulla-Menashe, D.; Sibley, A.M.; Newell, J.D.; Friedl, M.A.; Herold, M. A Global Land-Cover Validation Data Set, Part I: Fundamental Design Principles. Int. J. Remote Sens. 2012, 33, 5768–5788. [Google Scholar] [CrossRef]
- García-Álvarez, D.; Camacho Olmedo, M.T.; Paegelow, M.; Mas, J.F. (Eds.) Land Use Cover Datasets and Validation Tools: Validation Practices with QGIS; Springer International Publishing: Cham, Switzerland, 2022; ISBN 978-3-030-90997-0. [Google Scholar]
- Chaaban, F.; El Khattabi, J.; Darwishe, H. Accuracy Assessment of ESA WorldCover 2020 and ESRI 2020 Land Cover Maps for a Region in Syria. J. Geovisualization Spat. Anal. 2022, 6, 31. [Google Scholar] [CrossRef]
- Gao, Y.; Liu, L.; Zhang, X.; Chen, X.; Mi, J.; Xie, S. Consistency Analysis and Accuracy Assessment of Three Global 30-m Land-Cover Products over the European Union Using the LUCAS Dataset. Remote Sens. 2020, 12, 3479. [Google Scholar] [CrossRef]
- Bai, Y.; Feng, M.; Jiang, H.; Wang, J.; Liu, Y. Validation of Land Cover Maps in China Using a Sampling-Based Labeling Approach. Remote Sens. 2015, 7, 10589–10606. [Google Scholar] [CrossRef]
- Fritz, S.; See, L.; Rembold, F. Comparison of Global and Regional Land Cover Maps with Statistical Information for the Agricultural Domain in Africa. Int. J. Remote Sens. 2010, 31, 2237–2256. [Google Scholar] [CrossRef]
- Ran, Y.; Li, X.; Lu, L. Evaluation of Four Remote Sensing Based Land Cover Products over China. Int. J. Remote Sens. 2010, 31, 391–401. [Google Scholar] [CrossRef]
- Wu, W.; Shibasaki, R.; Yang, P.; Ongaro, L.; Zhou, Q.; Tang, H. Validation and Comparison of 1 Km Global Land Cover Products in China. Int. J. Remote Sens. 2008, 29, 3769–3785. [Google Scholar] [CrossRef]
- Yang, Y.; Xiao, P.; Feng, X.; Li, H. Accuracy Assessment of Seven Global Land Cover Datasets over China. ISPRS J. Photogramm. Remote Sens. 2017, 125, 156–173. [Google Scholar] [CrossRef]
- Foody, G.M. Harshness in Image Classification Accuracy Assessment. Int. J. Remote Sens. 2008, 29, 3137–3158. [Google Scholar] [CrossRef]
- Tsendbazar, N.E.; de Bruin, S.; Herold, M. Assessing Global Land Cover Reference Datasets for Different User Communities. ISPRS J. Photogramm. Remote Sens. 2015, 103, 93–114. [Google Scholar] [CrossRef]
- Mo, L.; Zohner, C.M.; Reich, P.B.; Liang, J.; de Miguel, S.; Nabuurs, G.-J.; Renner, S.S.; van den Hoogen, J.; Araza, A.; Herold, M.; et al. Integrated Global Assessment of the Natural Forest Carbon Potential. Nature 2023, 624, 92–101. [Google Scholar] [CrossRef]
- Keenan, R.J.; Reams, G.A.; Achard, F.; de Freitas, J.V.; Grainger, A.; Lindquist, E. Dynamics of Global Forest Area: Results from the FAO Global Forest Resources Assessment 2015. For. Ecol. Manag. 2015, 352, 9–20. [Google Scholar] [CrossRef]
- Kuemmerle, T.; Olofsson, P.; Chaskovskyy, O.; Baumann, M.; Ostapowicz, K.; Woodcock, C.E.; Houghton, R.A.; Hostert, P.; Keeton, W.S.; Radeloff, V.C. Post-Soviet Farmland Abandonment, Forest Recovery, and Carbon Sequestration in Western Ukraine. Glob. Change Biol. 2011, 17, 1335–1349. [Google Scholar] [CrossRef]
- Skole, D.; Tucker, C. Tropical Deforestation and Habitat Fragmentation in the Amazon: Satellite Data from 1978 to 1988. Science 1993, 260, 1905–1910. [Google Scholar] [CrossRef]
- Czaplewski, R. Misclassification Bias in Areal Estimates. Photogramm. Eng. 1992, 58, 189–192. [Google Scholar]
- Gallego, F.J. Remote Sensing and Land Cover Area Estimation. Int. J. Remote Sens. 2004, 25, 3019–3047. [Google Scholar] [CrossRef]
- Stehman, S. Comparing Estimators of Gross Change Derived from Complete Coverage Mapping versus Statistical Sampling of Remotely Sensed Data. Remote Sens. Environ. 2005, 96, 466–474. [Google Scholar] [CrossRef]
- Piao, S.; Fang, J.; Ciais, P.; Peylin, P.; Huang, Y.; Sitch, S.; Wang, T. The Carbon Balance of Terrestrial Ecosystems in China. Nature 2009, 458, 1009–1013. [Google Scholar] [CrossRef]
- Wang, J.; Feng, L.; Palmer, P.I.; Liu, Y.; Fang, S.; Bösch, H.; O’Dell, C.W.; Tang, X.; Yang, D.; Liu, L.; et al. Large Chinese Land Carbon Sink Estimated from Atmospheric Carbon Dioxide Data. Nature 2020, 586, 720–723. [Google Scholar] [CrossRef] [PubMed]
- Li, X.; Li, Y.; Chen, A.; Gao, M.; Slette, I.J.; Piao, S. The Impact of the 2009/2010 Drought on Vegetation Growth and Terrestrial Carbon Balance in Southwest China. Agric. For. Meteorol. 2019, 269–270, 239–248. [Google Scholar] [CrossRef]
- Yu, W.; Tan, J.; Ma, M.; Li, X.; She, X.; Song, Z. An Effective Similar-Pixel Reconstruction of the High-Frequency Cloud-Covered Areas of Southwest China. Remote Sens. 2019, 11, 336. [Google Scholar] [CrossRef]
- Zhou, H.Y.; Pan, X.Y.; Zhou, W.Z. Assessing Spatial Distribution of Soil Erosion in a Karst Region in Southwestern China: A Case Study in Jinfo Mountains. IOP Conf. Ser. Earth Environ. Sci. 2017, 52, 012047. [Google Scholar] [CrossRef]
- Wei, L.; Hu, K.; Liu, S. Spatial Distribution of Debris Flow-Prone Catchments in Hengduan Mountainous Area in Southwestern China. Arab. J. Geosci. 2021, 14, 2650. [Google Scholar] [CrossRef]
- Olofsson, P.; Foody, G.M.; Herold, M.; Stehman, S.V.; Woodcock, C.E.; Wulder, M.A. Good Practices for Estimating Area and Assessing Accuracy of Land Change. Remote Sens. Environ. 2014, 148, 42–57. [Google Scholar] [CrossRef]
- Stehman, S.V. Sampling Designs for Accuracy Assessment of Land Cover. Int. J. Remote Sens. 2009, 30, 5243–5272. [Google Scholar] [CrossRef]
- Stehman, S.V.; Foody, G.M. Key Issues in Rigorous Accuracy Assessment of Land Cover Products. Remote Sens. Environ. 2019, 231, 111199. [Google Scholar] [CrossRef]
- Olofsson, P.; Foody, G.M.; Stehman, S.V.; Woodcock, C.E. Making Better Use of Accuracy Data in Land Change Studies: Estimating Accuracy and Area and Quantifying Uncertainty Using Stratified Estimation. Remote Sens. Environ. 2013, 129, 122–131. [Google Scholar] [CrossRef]
- Liu, P.; Pei, J.; Guo, H.; Tian, H.; Fang, H.; Wang, L. Evaluating the Accuracy and Spatial Agreement of Five Global Land Cover Datasets in the Ecologically Vulnerable South China Karst. Remote Sens. 2022, 14, 3090. [Google Scholar] [CrossRef]
- Jiang, Z.; Lian, Y.; Qin, X. Rocky Desertification in Southwest China: Impacts, Causes, and Restoration. Earth Sci. Rev. 2014, 132, 1–12. [Google Scholar] [CrossRef]







| Product | Sensor | Production Organization | Time | Classification Number | Overall Accuracy | Source |
|---|---|---|---|---|---|---|
| CLCD | Landsat | Wuhan University | 1985–2022 | 9 | 79.31% | https://zenodo.org/records/5816591#.ZAWM3BVBy5c (accessed on 16 March 2024) |
| GLC_FCS30 | Landsat | AIR | 1985–2020 * | 29 | 82.50% | https://data.casearth.cn/ (accessed on 16 March 2024) |
| GlobeLand30 | Landsat | NGCC | 2000, 2010, 2020 | 10 | 80.33% | https://www.webmap.cn/mapDataAction.do?method=globalLandCover (accessed on 16 March 2024) |
| ESA WorldCover | Sentinel-1, Sentinel-2 | ESA | 2020, 2021 | 11 | 74.40% | https://viewer.esa-worldcover.org/worldcover/ (accessed on 16 March 2024) |
| Esri Land Cover | Sentinel-2 | ESRI | 2017–2022 | 9 | 85.96% | https://www.arcgis.com/apps/mapviewer/index.html (accessed on 16 March 2024) |
| CRLC | Sentinel-2 | Wuhan University | 2020 | 8 | 84.87% | https://github.com/LiuGalaxy/CRLC (accessed on 16 March 2024) |
| FROM_GLC10 | Sentinel-2 | Tsinghua University | 2017 | 10 | 72.76% | https://data-starcloud.pcl.ac.cn/zh/resource/1 (accessed on 16 March 2024) |
| SinoLC-1 | Sentinel-2 | Wuhan University | 2020 | 11 | 73.61% | https://zenodo.org/records/8214871 (accessed on 16 March 2024) |
| Product | Forest | Grassland | Cropland | Impervious | Barren | Ice | Water | Wetland |
|---|---|---|---|---|---|---|---|---|
| GLC_FCS30 | 12/51/52,61/62/71/72/81/82/91/92 * | 11/120/121/122/130/140/150/152/153 | 10/20 | 190 | 200/201/202 | 220 | 210 | 180 |
| GlobeLand30 | 20 | 30/40 | 10 | 80 | 90 | 100 | 60 | 50 |
| CLCD | 2 | 3/4 | 1 | 8 | 7 | 6 | 5 | 9 |
| FROM_GLC10 | 20 | 30/40 | 10 | 80 | 90 | 100 | 60 | 50 |
| ESA WorldCover | 10 | 20/30 | 40 | 50 | 60 | 70 | 80 | 90 |
| Esri Land Cover | 2/6 | 11 | 5 | 7 | 8 | 9 | 1 | 4 |
| CRLC | 2 | 3 | 1 | 8 | 9 | 10 | 6 | 5 |
| SinoLC-1 | 2 | 3/4 | 5 | 1/6 | 7 | 8 | 9 | 10 |
| Class Name | Images | Google Earth | Feature Description |
|---|---|---|---|
| Forest | ![]() | ![]() | Dark green in RGB, red in false color composite, dark and coarse texture. |
| Grassland | ![]() | ![]() | Thin lines of fine textured vegetation in moss green (on the bands 8, 4, 3) |
| Cropland | ![]() | ![]() | With geometric shapes of the rules and finely, uneven color |
| Impervious | ![]() | ![]() | Regular or irregular distribution, violet in false color composite |
| Barren | ![]() | ![]() | Objects (in bands 8, 4, 3) are pink to dark red area sometimes brown. |
| Ice | ![]() | ![]() | Light blue in false color composite, white in RGB |
| Water | ![]() | ![]() | Light blue, whitish blue or black (on bands 8, 4, 3), shape is linear or block |
| Wetland | ![]() | ![]() | Mainly distributed in rivers and lakes around, rivers and lakes as the center |
| Name | CLCD | GLCFCS | Global30 | FROM_GLC | ESRI | ESA | CRLC | SINOLC |
|---|---|---|---|---|---|---|---|---|
| OA | 85.48% | 75.47% | 72.78% | 80.89% | 84.43% | 87.10% | 81.85% | 77.03% |
| KAPPA | 0.74 | 0.58 | 0.54 | 0.65 | 0.72 | 0.76 | 0.68 | 0.51 |
| Class | CLCD | GLC_FCS30 | Globaland30 | FROM_GLC | Esri Land Cover | ESA World Cover | CRLC |
|---|---|---|---|---|---|---|---|
| Forest | 8953 ± 256 | 9379 ± 305 | 8945 ± 337 | 8408 ± 285 | 8719 ± 269 | 8697 ± 264 | 9025 ± 336 |
| Grassland | 2089 ± 187 | 2046 ± 247 | 2098 ± 254 | 1931 ± 218 | 2264 ± 235 | 2322 ± 231 | 2441 ± 262 |
| Cropland | 2095 ± 228 | 1725 ± 241 | 1989 ± 251 | 2068 ± 243 | 2018 ± 222 | 1888 ± 191 | 2532 ± 255 |
| Impervious | 280 ± 105 | 255 ± 80 | 272 ± 82 | 252 ± 102 | 328 ± 120 | 265 ± 80 | 295 ± 97 |
| Barren | 113 ± 64 | 109 ± 74 | 123 ± 75 | 138 ± 77 | 163 ± 69 | 132 ± 81 | 119 ± 75 |
| Ice | 22 ± 10 | 13 ± 7 | 31 ± 11 | 37 ± 18 | 42 ± 13 | 23 ± 15 | 40 ± 15 |
| Water | 112 ± 19 | 103 ± 17 | 157 ± 23 | 122 ± 29 | 146 ± 29 | 131 ± 21 | 159 ± 30 |
| Wetland | 11 ± 11 | 11 ± 13 | 27 ± 8 | 30 ± 19 | 50 ± 26 | 19 ± 11 | 35 ± 17 |
Disclaimer/Publisher’s Note: The statements, opinions and data contained in all publications are solely those of the individual author(s) and contributor(s) and not of MDPI and/or the editor(s). MDPI and/or the editor(s) disclaim responsibility for any injury to people or property resulting from any ideas, methods, instructions or products referred to in the content. |
© 2024 by the authors. Licensee MDPI, Basel, Switzerland. This article is an open access article distributed under the terms and conditions of the Creative Commons Attribution (CC BY) license (https://creativecommons.org/licenses/by/4.0/).
Share and Cite
Ji, X.; Han, X.; Zhu, X.; Huang, Y.; Song, Z.; Wang, J.; Zhou, M.; Wang, X. Comparison and Validation of Multiple Medium- and High-Resolution Land Cover Products in Southwest China. Remote Sens. 2024, 16, 1111. https://doi.org/10.3390/rs16061111
Ji X, Han X, Zhu X, Huang Y, Song Z, Wang J, Zhou M, Wang X. Comparison and Validation of Multiple Medium- and High-Resolution Land Cover Products in Southwest China. Remote Sensing. 2024; 16(6):1111. https://doi.org/10.3390/rs16061111
Chicago/Turabian StyleJi, Xiangyu, Xujun Han, Xiaobo Zhu, Yajun Huang, Zengjing Song, Jinghan Wang, Miaohang Zhou, and Xuemei Wang. 2024. "Comparison and Validation of Multiple Medium- and High-Resolution Land Cover Products in Southwest China" Remote Sensing 16, no. 6: 1111. https://doi.org/10.3390/rs16061111
APA StyleJi, X., Han, X., Zhu, X., Huang, Y., Song, Z., Wang, J., Zhou, M., & Wang, X. (2024). Comparison and Validation of Multiple Medium- and High-Resolution Land Cover Products in Southwest China. Remote Sensing, 16(6), 1111. https://doi.org/10.3390/rs16061111

















