Earth Observation-Based Cyanobacterial Bloom Index Testing for Ecological Status Assessment in the Open, Coastal and Transitional Waters of the Baltic and Black Seas
Abstract
1. Introduction
2. Materials and Methods
2.1. Study Area
2.1.1. Lithuanian Baltic Sea
2.1.2. Ukrainian Black Sea
2.2. Chlorophyll-a Retrieval from Satellite Data
2.2.1. Processors
2.2.2. In Situ Data for Validation
2.3. CyaBI Index Calculation
2.4. SST Retrieval
2.5. Statistical Data Analysis
3. Results
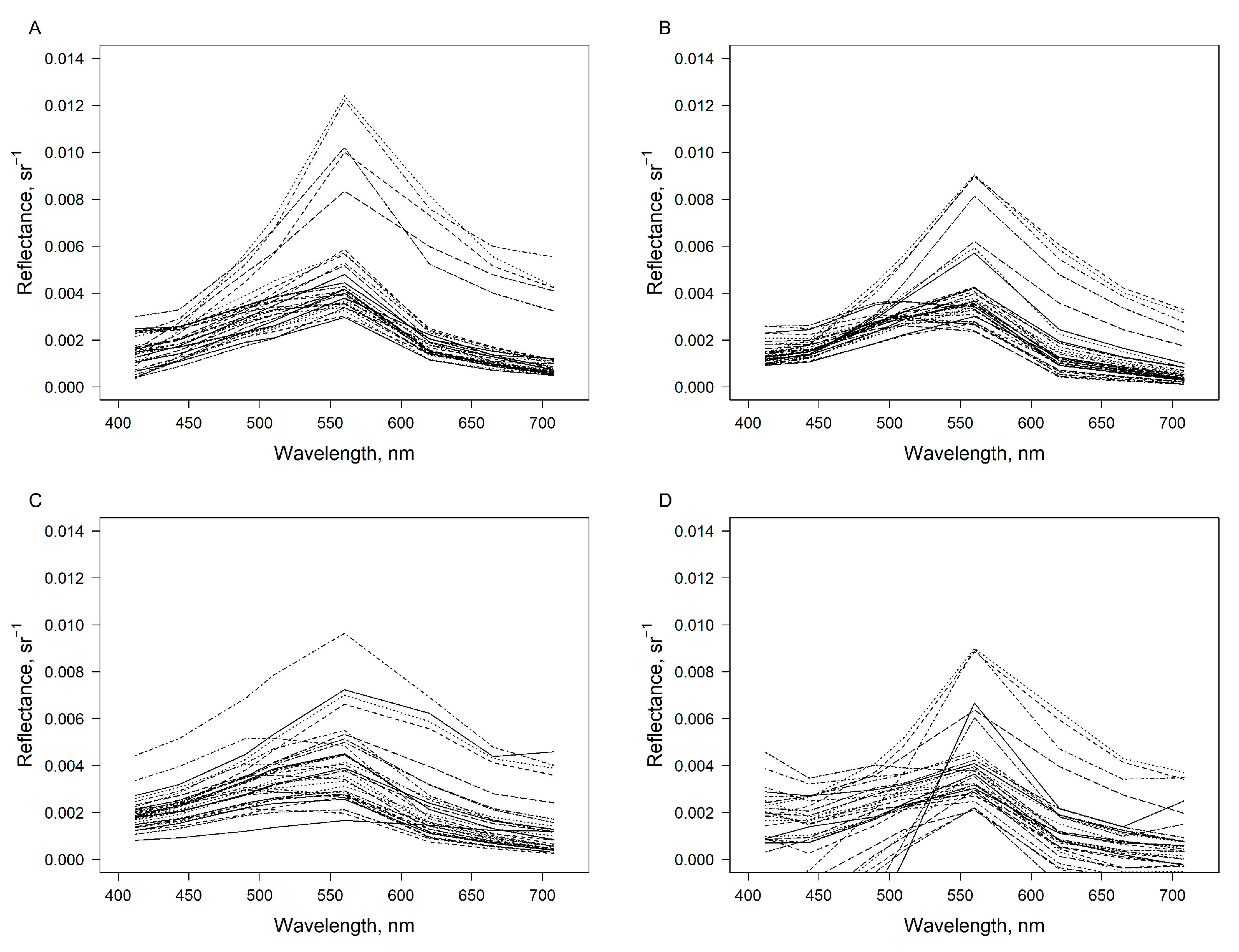
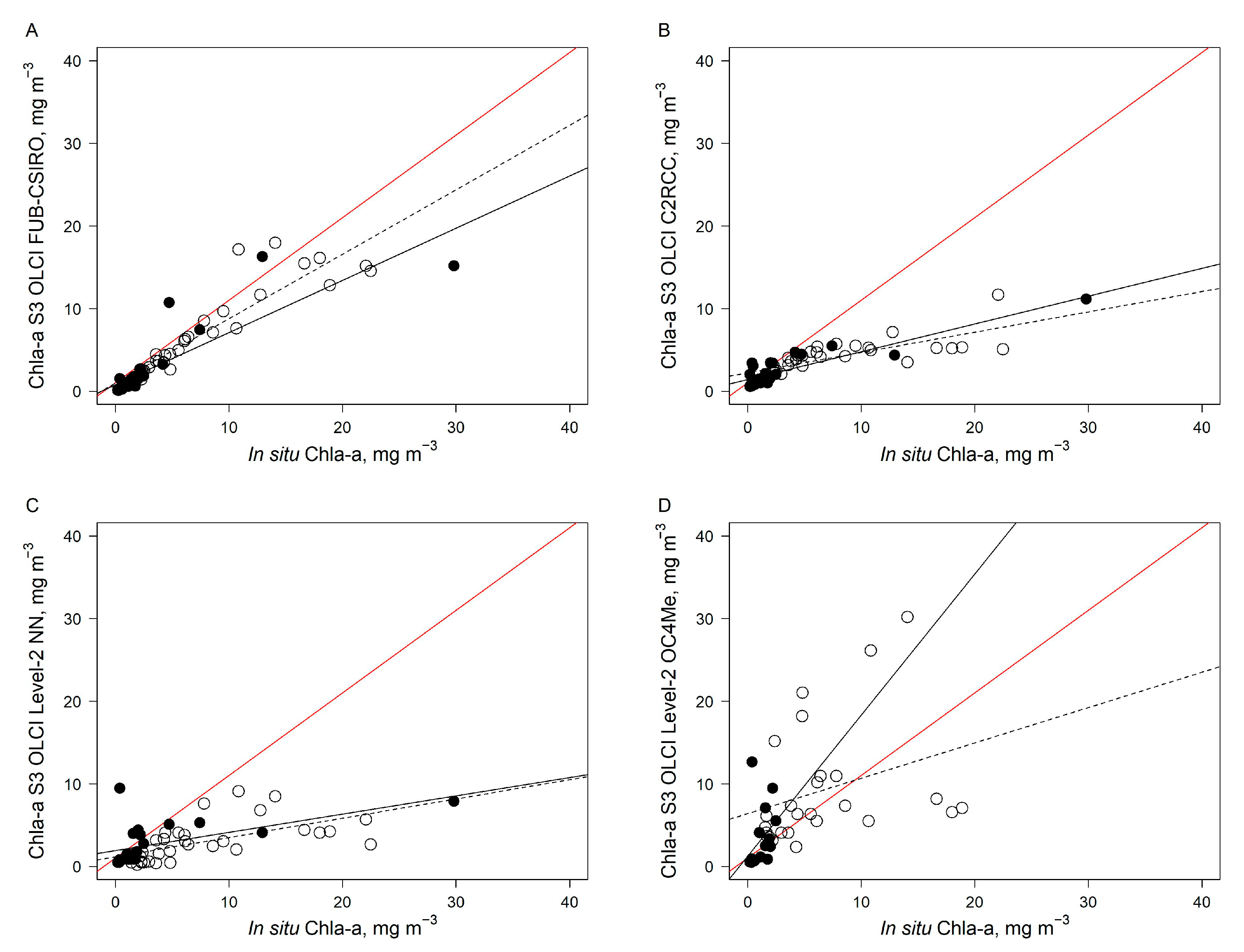
3.1. Validation of Rrs and Chl-a Concentration
3.2. Cyanobacteria Blooms in the Lithuanian Baltic Sea: Inter-Annual Variability and Spatio-Temporal Trends
3.3. Cyanobacteria Blooms in the Ukrainian Black Seas: Inter-Annual Variability and Spatio-Temporal Trends
3.4. Algal Bloom Characteristics and Ecological Status Assessment in the Baltic and Black Seas Using CyaBI
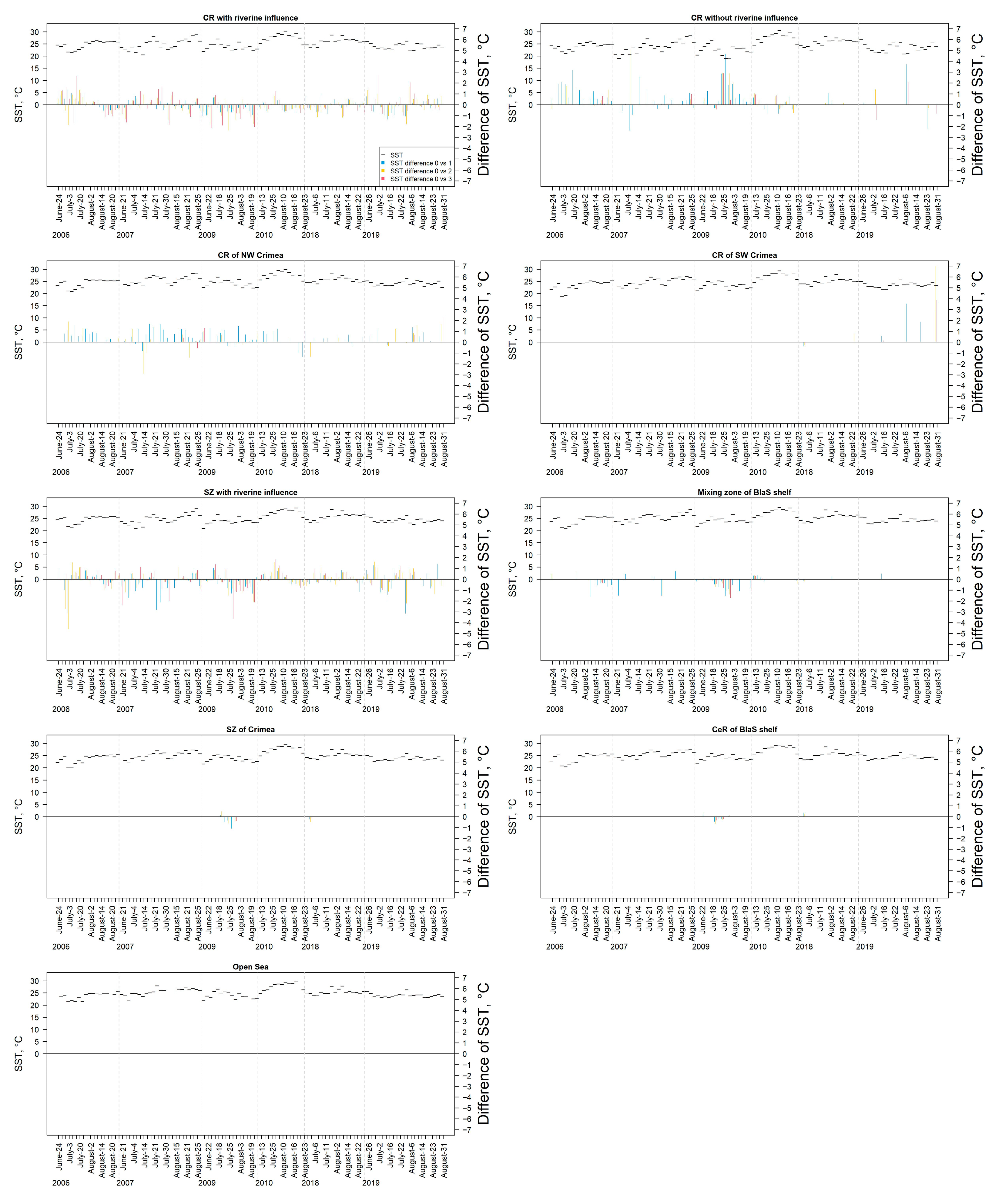
3.5. SST Variability in the Presence of Cyanobacteria Bloom
4. Discussion
4.1. The Remote Sensing of Chl-a Concentration: The Importance of the Accuracy
4.2. Use of Satellite-Derived Bloom Indices for Reporting on Status and Trends
4.3. Sea Surface Heating Caused by Algal Blooms
5. Conclusions
Author Contributions
Funding
Data Availability Statement
Acknowledgments
Conflicts of Interest
References
- Berdalet, E.; Fleming, L.E.; Gowen, R.; Davidson, K.; Hess, P.; Backer, L.C.; Moore, S.K.; Hoagland, P.; Enevoldsen, H. Marine Harmful Algal Blooms, Human Health and Wellbeing: Challenges and Opportunities in the 21st Century. J. Mar. Biol. Assoc. UK 2016, 96, 61–91. [Google Scholar] [CrossRef] [PubMed]
- O’Neil, J.M.; Davis, T.W.; Burford, M.A.; Gobler, C.J. The Rise of Harmful Cyanobacteria Blooms: The Potential Roles of Eutrophication and Climate Change. Harmful Algae 2012, 14, 313–334. [Google Scholar] [CrossRef]
- Vigouroux, G.; Kari, E.; Beltrán-Abaunza, J.M.; Uotila, P.; Yuan, D.; Destouni, G. Trend Correlations for Coastal Eutrophication and Its Main Local and Whole-Sea Drivers—Application to the Baltic Sea. Sci. Total Environ. 2021, 779, 146367. [Google Scholar] [CrossRef]
- HELCOM. Sources and Pathways of Nutrients to the Baltic Sea; Baltic Sea Environment Proceedings 2018, No. 153; Helsinki Commission: Helsinki, Finland, 2018. [Google Scholar]
- Bakan, G.; Büyükgüngör, H. The Black Sea. Mar. Pollut. Bull. 2000, 41, 24–43. [Google Scholar] [CrossRef]
- Moncheva, S.; Gotsis-Skretas, O.; Pagou, K.; Krastev, A. Phytoplankton Blooms in Black Sea and Mediterranean Coastal Ecosystems Subjected to Anthropogenic Eutrophication: Similarities and Differences. Estuar. Coast. Shelf Sci. 2001, 53, 281–295. [Google Scholar] [CrossRef]
- Kahru, M.; Elmgren, R. Multidecadal Time Series of Satellite-Detected Accumulations of Cyanobacteria in the Baltic Sea. Biogeosciences 2014, 11, 3619–3633. [Google Scholar] [CrossRef]
- Terenko, L.M.; Nesterova, D.A. Planktic Cyanoprokaryota of the Northwestern Part of the Black Sea (Ukraine). Int. J. Algae 2015, 17, 225–241. [Google Scholar] [CrossRef]
- Terenko, G.V. Abnormal “bloom” of water in the Odessa Gulf of the Black Sea by the alga Nodularia spumigena Mertens ex bornet et flahault (cyanoprokaryota) in June 2019. In Cyanoprokaryotes/Cyanobacteria: Taxonomy, Ecology, Distribution; Patova, E.N., Sterlyagova, I.N., Ogrodovaya, L.Y., Eds.; Springer: Cham, Switzerland, 2019; pp. 263–267. [Google Scholar]
- Munkes, B.; Löptien, U.; Dietze, H. Cyanobacteria Blooms in the Baltic Sea: A Review of Models and Facts. Biogeosciences 2021, 18, 2347–2378. [Google Scholar] [CrossRef]
- European Union. Directive 2008/56/EC of the European Parliament and of the Council of 17 June 2008 Establishing a Framework for Community Action in the Field of Marine Environmental Policy (Marine Strategy Framework Directive) (Text with EEA Relevance); Publications Office of the EU: Luxembourg, 2008; Volume 164. [Google Scholar]
- Tyler, A.N.; Hunter, P.D.; Spyrakos, E.; Groom, S.; Constantinescu, A.M.; Kitchen, J. Developments in Earth Observation for the Assessment and Monitoring of Inland, Transitional, Coastal and Shelf-Sea Waters. Sci. Total Environ. 2016, 572, 1307–1321. [Google Scholar] [CrossRef]
- Harvey, E.T.; Kratzer, S.; Philipson, P. Satellite-Based Water Quality Monitoring for Improved Spatial and Temporal Retrieval of Chlorophyll-a in Coastal Waters. Remote Sens. Environ. 2015, 158, 417–430. [Google Scholar] [CrossRef]
- Liu, X.; Steele, C.; Simis, S.; Warren, M.; Tyler, A.; Spyrakos, E.; Selmes, N.; Hunter, P. Retrieval of Chlorophyll-a Concentration and Associated Product Uncertainty in Optically Diverse Lakes and Reservoirs. Remote Sens. Environ. 2021, 267, 112710. [Google Scholar] [CrossRef]
- Krawczyk, H.; Neumann, A.; Gerasch, B.; Walzel, T. Regional Products for the Baltic Sea Using MERIS Data. Int. J. Remote Sens. 2007, 28, 593–608. [Google Scholar] [CrossRef]
- Kratzer, S.; Vinterhav, C. Improvement of MERIS Level 2 Products in Baltic Sea Coastal Areas by Applying the Improved Contrast between Ocean and Land Processor (ICOL)-Data Analysis and Validation. Oceanologia 2010, 52, 211–236. [Google Scholar] [CrossRef]
- Beltrán-Abaunza, J.M.; Kratzer, S.; Brockmann, C. Evaluation of MERIS Products from Baltic Sea Coastal Waters Rich in CDOM. Ocean Sci. 2014, 10, 377–396. [Google Scholar] [CrossRef]
- Slabakova, V.; Slabakova, N.; Hristova, O.; Dzhurova, B. Assessment of MERIS Ocean Color Products Using in Situ Data Collected in the Northwestern Black Sea. In Proceedings of the 5th International Conference on Recent Advances in Space Technologies—RAST2011, Istanbul, Turkey, 9–11 June 2011; pp. 132–136. [Google Scholar]
- Reinart, A.; Kutser, T. Comparison of Different Satellite Sensors in Detecting Cyanobacterial Bloom Events in the Baltic Sea. Remote Sens. Environ. 2006, 102, 74–85. [Google Scholar] [CrossRef]
- Kubryakov, A.A.; Lishaev, P.N.; Aleskerova, A.A.; Stanichny, S.V.; Medvedeva, A.A. Spatial Distribution and Interannual Variability of Cyanobacteria Blooms on the North-Western Shelf of the Black Sea in 1985–2019 from Satellite Data. Harmful Algae 2021, 110, 102128. [Google Scholar] [CrossRef]
- Kutser, T.; Paavel, B.; Kaljurand, K.; Ligi, M.; Randla, M. Mapping Shallow Waters of the Baltic Sea with Sentinel-2 Imagery. In Proceedings of the 2018 IEEE/OES Baltic International Symposium (BALTIC), Klaipeda, Lithuania, 12–15 June 2018; pp. 1–6. [Google Scholar]
- Kyryliuk, D.; Kratzer, S. Evaluation of Sentinel-3A OLCI Products Derived Using the Case-2 Regional CoastColour Processor over the Baltic Sea. Sensors 2019, 19, 3609. [Google Scholar] [CrossRef] [PubMed]
- Soomets, T.; Toming, K.; Paavel, B.; Kutser, T. Evaluation of Remote Sensing and Modeled Chlorophyll-a Products of the Baltic Sea. J. Appl. Remote Sens. 2022, 16, 046516. [Google Scholar] [CrossRef]
- Konik, M.; Bradtke, K.; Stoń-Egiert, J.; Soja-Woźniak, M.; Śliwińska-Wilczewska, S.; Darecki, M. Cyanobacteria Index as a Tool for the Satellite Detection of Cyanobacteria Blooms in the Baltic Sea. Remote Sens. 2023, 15, 1601. [Google Scholar] [CrossRef]
- Kahru, M.; Elmgren, R.; Kaiser, J.; Wasmund, N.; Savchuk, O. Cyanobacterial Blooms in the Baltic Sea: Correlations with Environmental Factors. Harmful Algae 2020, 92, 101739. [Google Scholar] [CrossRef]
- Sagarminaga, Y.; Borja, Á.; Fontán, A. “Extreme Highest” and “Extreme Anomalous”: Proposed Indices for Chlorophyll-a Extreme Events in European Seas between 2003 and 2021. Remote Sens. Environ. 2024, 300, 113885. [Google Scholar] [CrossRef]
- Anttila, S.; Fleming-Lehtinen, V.; Attila, J.; Junttila, S.; Alasalmi, H.; Hällfors, H.; Kervinen, M.; Koponen, S. A Novel Earth Observation Based Ecological Indicator for Cyanobacterial Blooms. Int. J. Appl. Earth Obs. Geoinf. 2018, 64, 145–155. [Google Scholar] [CrossRef]
- Anttila, S.; Attila, J.; Fleming-Lehtinen, V. Cyanobacterial Surface Accumulations—The CSA-Index. In The MARMONI Approach to Marine Biodiversity Indicators 2015; Volume II: List of indicators for assessing the state of marine biodiversity in the Baltic Sea developed by the LIFE MARMONI project; Estonian Marine Institute Report; Estonian Marine Institute: Tallinn, Estonia, 2015; p. 169. [Google Scholar]
- HELCOM. Cyanobacteria Bloom Index; HELCOM Pre-Core Indicator Report; Helsinki Commission: Helsinki, Finland, 2018. [Google Scholar]
- Kahru, M.; Horstmann, U.; Rud, O. Satellite Detection of Increased Cyanobacteria Blooms in the Baltic Sea: Natural Fluctuation or Ecosystem Change? Ambio 1994, 23, 469–472. [Google Scholar]
- Kratzer, S.; Kyryliuk, D.; Brockmann, C. Inorganic Suspended Matter as an Indicator of Terrestrial Influence in Baltic Sea Coastal Areas—Algorithm Development and Validation, and Ecological Relevance. Remote Sens. Environ. 2020, 237, 111609. [Google Scholar] [CrossRef]
- Bresciani, M.; Adamo, M.; De Carolis, G.; Matta, E.; Pasquariello, G.; Vaičiūtė, D.; Giardino, C. Monitoring Blooms and Surface Accumulation of Cyanobacteria in the Curonian Lagoon by Combining MERIS and ASAR Data. Remote Sens. Environ. 2014, 146, 124–135. [Google Scholar] [CrossRef]
- Kahru, M.; Leppanen, J.-M.; Rud, O. Cyanobacterial Blooms Cause Heating of the Sea Surface. Mar. Ecol. Prog. Ser. 1993, 101, 1–7. [Google Scholar] [CrossRef]
- Ibelings, B.W.; Vonk, M.; Los, H.F.J.; van der Molen, D.T.; Mooij, W.M. Fuzzy Modeling of Cyanobacterial Surface Waterblooms: Validation with Noaa-Avhrr Satellite Images. Ecol. Appl. 2003, 13, 1456–1472. [Google Scholar] [CrossRef]
- Campbell, J.; Antoine, D.; Armstrong, R.; Arrigo, K.; Balch, W.; Barber, R.; Behrenfeld, M.; Bidigare, R.; Bishop, J.; Carr, M.-E.; et al. Comparison of Algorithms for Estimating Ocean Primary Production from Surface Chlorophyll, Temperature, and Irradiance. Glob. Biogeochem. Cycles 2002, 16, 9-1–9-15. [Google Scholar] [CrossRef]
- Chang, G.C.; Dickey, T.D. Coastal Ocean Optical Influences on Solar Transmission and Radiant Heating Rate. J. Geophys. Res. Ocean. 2004, 109, C01020. [Google Scholar] [CrossRef]
- Hill, V.J. Impacts of Chromophoric Dissolved Organic Material on Surface Ocean Heating in the Chukchi Sea. J. Geophys. Res. Ocean. 2008, 113, C07024. [Google Scholar] [CrossRef]
- Barale, V. The European Marginal and Enclosed Seas: An Overview. In Remote Sensing of the European Seas; Barale, V., Gade, M., Eds.; Springer: Dordrecht, The Netherlands, 2008; pp. 3–22. ISBN 978-1-4020-6772-3. [Google Scholar]
- Alexandrov, B.; Minicheva, G.; Zaitsev, Y. Black Sea Network of Marine Protected Areas. In Management of Marine Protected Areas; John Wiley & Sons, Ltd.: Hoboken, NJ, USA, 2017; pp. 227–246. ISBN 978-1-119-07580-6. [Google Scholar]
- Jonsson, P.R.; Moksnes, P.-O.; Corell, H.; Bonsdorff, E.; Nilsson Jacobi, M. Ecological Coherence of Marine Protected Areas: New Tools Applied to the Baltic Sea Network. Aquat. Conserv. Mar. Freshw. Ecosyst. 2020, 30, 743–760. [Google Scholar] [CrossRef]
- UNEP. CBD/EBSA/WS/2017/1/4 Report of the Regional Workshop to Facilitate the Description of Ecologically or Biologically Significant Marine Areas in the Black Sea and Caspian Sea, Baku, Azerbaijan 24–29 April 2017; UNEP: Nairobi, Kenya, 2018. [Google Scholar]
- Minicheva, G.; Demchenko, V.; Sokolov, Y. Integrative Ecological Management of Coastal Marine and Limans Ecosystems of Ukraine. E3S Web Conf. 2021, 255, 01008. [Google Scholar] [CrossRef]
- Kotlyakov, V.; Uppenbrink, M.; Metreveli, V. Conservation of the Biological Diversity as a Prerequisite for Sustainable Development in the Black Sea Region; Springer: Dordrecht, The Netherlands, 1998; ISBN 978-94-010-6149-0. [Google Scholar]
- Strokal, M.P.; Kroeze, C.; Kopilevych, V.A.; Voytenko, L.V. Reducing Future Nutrient Inputs to the Black Sea. Sci. Total Environ. 2014, 466–467, 253–264. [Google Scholar] [CrossRef]
- Gelumbauskaitė, L.-Ž.; Grigelis, A.; Cato, I.; Repecka, M.; Kjellin, B. Bottom Topography and Sediment Maps of the Central Baltic Sea—Scale 1:500,000. A Short Description; LGT Series of Marine Geological Maps No. 1; SGU Series of Geological Maps Ba No. 54; Lietuvos Geologijos Tarnyba: Vilnius, Lithuania, 1999. [Google Scholar]
- Kondrat, V.; Šakurova, I.; Baltranaitė, E.; Kelpšaitė-Rimkienė, L. Natural and Anthropogenic Factors Shaping the Shoreline of Klaipėda, Lithuania. J. Mar. Sci. Eng. 2021, 9, 1456. [Google Scholar] [CrossRef]
- Zemlys, P.; Ferrarin, C.; Umgiesser, G.; Gulbinskas, S.; Bellafiore, D. Investigation of Saline Water Intrusions into the Curonian Lagoon (Lithuania) and Two-Layer Flow in the Klaipėda Strait Using Finite Element Hydrodynamic Model. Ocean Sci. 2013, 9, 573–584. [Google Scholar] [CrossRef]
- Ferrarin, C.; Razinkovas, A.; Gulbinskas, S.; Umgiesser, G.; Bliūdžiūtė, L. Hydraulic Regime-Based Zonation Scheme of the Curonian Lagoon. Hydrobiologia 2008, 611, 133–146. [Google Scholar] [CrossRef]
- Vaiciute, D.; Bucas, M.; Bresciani, M. Validation of MERIS Bio-Optical Products with in situ Data in the Turbid Lithuanian Baltic Sea Coastal Waters. J. Appl. Remote Sens. 2012, 6, 063568. [Google Scholar] [CrossRef]
- Kozlov, I.; Dailidienė, I.; Korosov, A.; Klemas, V.; Mingėlaitė, T. MODIS-Based Sea Surface Temperature of the Baltic Sea Curonian Lagoon. J. Mar. Syst. 2014, 129, 157–165. [Google Scholar] [CrossRef]
- Ryabov, A.; Blasius, B.; Hillebrand, H.; Olenina, I.; Gross, T. Estimation of Functional Diversity and Species Traits from Ecological Monitoring Data. Proc. Natl. Acad. Sci. USA 2022, 119, e2118156119. [Google Scholar] [CrossRef]
- Gasiūnaitė, Z.R.; Cardoso, A.C.; Heiskanen, A.-S.; Henriksen, P.; Kauppila, P.; Olenina, I.; Pilkaitytė, R.; Purina, I.; Razinkovas, A.; Sagert, S.; et al. Seasonality of Coastal Phytoplankton in the Baltic Sea: Influence of Salinity and Eutrophication. Estuar. Coast. Shelf Sci. 2005, 65, 239–252. [Google Scholar] [CrossRef]
- BSC. State of the Environment of the Black Sea (2001–2006/7); Publications of the Commission on the Protection of the Black Sea Against Pollution (BSC) 2008-3; Commission on the Protection of the Black Sea Against Pollution: Istanbul, Turkey, 2008; p. 448. [Google Scholar]
- Minicheva, G.G.; Sokolov, E.V. Ecofactorial approach to zoning of the Ukrainian sector of the Black and Azov seas. Mar. Ecol. J. 2021, 9, 52–62. [Google Scholar]
- Kara, A.B.; Wallcraft, A.J.; Hurlburt, H.E.; Stanev, E.V. Air–Sea Fluxes and River Discharges in the Black Sea with a Focus on the Danube and Bosphorus. J. Mar. Syst. 2008, 74, 74–95. [Google Scholar] [CrossRef]
- Zaitsev, Y. Introduction to the Black Sea Ecology; Smil Edition and Publishing Agency Ltd.: Odessa, Ukraine, 2008. [Google Scholar]
- Oguz, T.; Velikova, V. Abrupt Transition of the Northwestern Black Sea Shelf Ecosystem from a Eutrophic to an Alternative Pristine State. Mar. Ecol. Prog. Ser. 2010, 405, 231–242. [Google Scholar] [CrossRef]
- Grégoire, M.; Alvera-Azcaráte, A.; Buga, L.; Capet, A.; Constantin, S.; D’ortenzio, F.; Doxaran, D.; Faugeras, Y.; Garcia-Espriu, A.; Golumbeanu, M.; et al. Monitoring Black Sea Environmental Changes from Space: New Products for Altimetry, Ocean Colour and Salinity. Potentialities and Requirements for a Dedicated in-Situ Observing System. Front. Mar. Sci. 2023, 9, 998970. [Google Scholar] [CrossRef]
- Tuzhilkin, V.S. Thermohaline Structure of the Sea. In The Black Sea Environment; Kostianoy, A.G., Kosarev, A.N., Eds.; The Handbook of Environmental Chemistry; Springer: Berlin/Heidelberg, Germany, 2008; pp. 217–253. ISBN 978-3-540-74292-0. [Google Scholar]
- Repetin, L.N.; Belokopytov, V.N. Wind regime in the northwestern part of the Black Sea and its climatic changes. Environ. Saf. Coast. Shelf Zones Integr. Use Shelf Resour. ECOSI-Hydrophys. 2009, 17, 225–243. [Google Scholar]
- Vyshnevskyi, V.; Matygin, A.; Komorin, V. Thermal regime of the northwestern part of the Black Sea. Geogr. Tech. 2022, 18, 29–38. [Google Scholar] [CrossRef]
- Mohamed, B.; Ibrahim, O.; Nagy, H. Sea Surface Temperature Variability and Marine Heatwaves in the Black Sea. Remote Sens. 2022, 14, 2383. [Google Scholar] [CrossRef]
- Vinogradova, O.M.; Bryantseva, Y.V. Taxonomic Revision of the Species Composition of Cyanobacteria/Cyanoprokaryota of the Ukrainian Coast of the Black Sea. Int. J. Algae 2017, 19, 301–318. [Google Scholar] [CrossRef]
- Karageorgis, A.P.; Gardner, W.D.; Mikkelsen, O.A.; Georgopoulos, D.; Ogston, A.S.; Assimakopoulou, G.; Krasakopoulou, E.; Oaie, G.; Secrieru, D.; Kanellopoulos, T.D.; et al. Particle Sources over the Danube River Delta, Black Sea Based on Distribution, Composition and Size Using Optics, Imaging and Bulk Analyses. J. Mar. Syst. 2014, 131, 74–90. [Google Scholar] [CrossRef]
- Kukushkin, A.S. River Runoff Effects on the Coastal Water Transparency in the Western Black Sea. Russ. Meteorol. Hydrol. 2018, 43, 464–472. [Google Scholar] [CrossRef]
- Schroeder, T.; Schaale, M.; Fischer, J. Retrieval of Atmospheric and Oceanic Properties from MERIS Measurements: A New Case-2 Water Processor for BEAM. Int. J. Remote Sens. 2007, 28, 5627–5632. [Google Scholar] [CrossRef]
- Doerffer, R.; Schiller, H. The MERIS Case 2 Water Algorithm. Int. J. Remote Sens. 2007, 28, 517–535. [Google Scholar] [CrossRef]
- Schroeder, T.; Schaale, M.; Lovell, J.; Blondeau-Patissier, D. An Ensemble Neural Network Atmospheric Correction for Sentinel-3 OLCI over Coastal Waters Providing Inherent Model Uncertainty Estimation and Sensor Noise Propagation. Remote Sens. Environ. 2022, 270, 112848. [Google Scholar] [CrossRef]
- Lesne, O.; Rouffi, F. Product Data Format Specification—OLCI Level 1 Products; S3IPF.PDS.004.1; Preparation and operations of the mission performance centre (MPC) for the Copernicus Sentinel-3 mission; ACRI-ST: Sophia-Antipolis, France, 2019. [Google Scholar]
- Brockmann, C.; Doerffer, R.; Peters, M.; Kerstin, S.; Embacher, S.; Ruescas, A. Evolution of the C2RCC Neural Network for Sentinel 2 and 3 for the Retrieval of Ocean Colour Products in Normal and Extreme Optically Complex Waters. In Proceedings of the Living Planet Symposium, Prague, Czech Republic, 9–13 May 2016; Volume 740, p. 54. [Google Scholar]
- Morel, A.; Huot, Y.; Gentili, B.; Werdell, P.J.; Hooker, S.B.; Franz, B.A. Examining the Consistency of Products Derived from Various Ocean Color Sensors in Open Ocean (Case 1) Waters in the Perspective of a Multi-Sensor Approach. Remote Sens. Environ. 2007, 111, 69–88. [Google Scholar] [CrossRef]
- Kowalczuk, P.; Stedmon, C.A.; Markager, S. Modeling Absorption by CDOM in the Baltic Sea from Season, Salinity and Chlorophyll. Mar. Chem. 2006, 101, 1–11. [Google Scholar] [CrossRef]
- Bailey, S.W.; Werdell, P.J. A Multi-Sensor Approach for the on-Orbit Validation of Ocean Color Satellite Data Products. Remote Sens. Environ. 2006, 102, 12–23. [Google Scholar] [CrossRef]
- Jia, T.; Zhang, X.; Dong, R. Long-Term Spatial and Temporal Monitoring of Cyanobacteria Blooms Using MODIS on Google Earth Engine: A Case Study in Taihu Lake. Remote Sens. 2019, 11, 2269. [Google Scholar] [CrossRef]
- Hou, X.; Feng, L.; Duan, H.; Chen, X.; Sun, D.; Shi, K. Fifteen-Year Monitoring of the Turbidity Dynamics in Large Lakes and Reservoirs in the Middle and Lower Basin of the Yangtze River, China. Remote Sens. Environ. 2017, 190, 107–121. [Google Scholar] [CrossRef]
- Jeffrey, S.W.; Humphrey, G.F. New Spectrophotometric Equations for Determining Chlorophylls a, b, C1 and C2 in Higher Plants, Algae and Natural Phytoplankton. Biochem. Physiol. Pflanz. 1975, 167, 191–194. [Google Scholar] [CrossRef]
- Parsons, T.R.; Maita, Y.; Lalli, C.M. 4.1—Determination of Chlorophylls and Total Carotenoids: Spectrophotometric Method. In A Manual of Chemical & Biological Methods for Seawater Analysis; Parsons, T.R., Maita, Y., Lalli, C.M., Eds.; Pergamon: Amsterdam, The Netherlands, 1984; pp. 101–104. ISBN 978-0-08-030287-4. [Google Scholar]
- Hommersom, A.; Kratzer, S.; Laanen, M.; Ansko, I.; Ligi, M.; Bresciani, M.; Giardino, C.; Beltran-Abaunza, J.M.; Moore, G.; Wernand, M.R.; et al. Intercomparison in the Field between the New WISP-3 and Other Radiometers (TriOS Ramses, ASD FieldSpec, and TACCS). J. Appl. Remote Sens. 2012, 6, 063615. [Google Scholar] [CrossRef]
- Rahn, I.-A.; Kangro, K.; Jaanus, A.; Alikas, K. Application of Satellite-Derived Summer Bloom Indicators for Estonian Coastal Waters of the Baltic Sea. Appl. Sci. 2023, 13, 10211. [Google Scholar] [CrossRef]
- Rapala, J.; Kilponen, J.; Järvinen, M.; Lahti, K. Finland: Guidelines for Monitoring of Cyanobacteria and Their Toxins. In Current Approaches to Cyanotoxin Risk Assessment, Risk Management and Regulations in Different Countries; Chorus, I., Ed.; Umweltbundesamt Publications: Dessau-Roßlau, Germany, 2012; Volume 63, pp. 54–62. [Google Scholar]
- Gentle, J.E. Computational Statistics; Statistics and Computing; Springer: New York, NY, USA, 2009; ISBN 978-0-387-98143-7. [Google Scholar]
- Slabakova, V.; Valcheva, N. Estimation of Feasibility of Sea Surface Temperature Satellite Data Use through Comparison against in Situ Measurements for the Western Black Sea Region. In Proceedings of the SENS 2007, Third Scientific Conference with International Participation SPACE, ECOLOGY, NANOTECHNOLOGY, SAFETY, Varna, Bulgaria, 27–29 June 2007; pp. 185–190. [Google Scholar]
- Wood, S.N.; Pya, N.; Säfken, B. Smoothing Parameter and Model Selection for General Smooth Models. J. Am. Stat. Assoc. 2016, 111, 1548–1563. [Google Scholar] [CrossRef]
- Pinheiro, J.; Bates, D. ; R Core Team. Nlme: Linear and Nonlinear Mixed Effects Models; R Foundation for Statistical Computing: Vienna, Austria, 2023. [Google Scholar]
- Zuur, A.F.; Ieno, E.N.; Walker, N.; Saveliev, A.A.; Smith, G.M. Mixed Effects Models and Extensions in Ecology with R; Statistics for Biology and Health; Springer: New York, NY, USA, 2009; ISBN 978-0-387-87457-9. [Google Scholar]
- R Core Team. Rproject.Org. Available online: http://ww25.rproject.org/?subid1=20231218-2051-2626-951e-855f62177d89 (accessed on 18 December 2023).
- RStudio Team. RStudio: Integrated Development Environment for R; RStudio, PBC: Boston, MA, USA, 2023. [Google Scholar]
- Kratzer, S.; Plowey, M. Integrating Mooring and Ship-Based Data for Improved Validation of OLCI Chlorophyll-a Products in the Baltic Sea. Int. J. Appl. Earth Obs. Geoinf. 2021, 94, 102212. [Google Scholar] [CrossRef]
- Brando, V.E.; Sammartino, M.; Colella, S.; Bracaglia, M.; Di Cicco, A.; D’Alimonte, D.; Kajiyama, T.; Kaitala, S.; Attila, J. Phytoplankton Bloom Dynamics in the Baltic Sea Using a Consistently Reprocessed Time Series of Multi-Sensor Reflectance and Novel Chlorophyll-a Retrievals. Remote Sens. 2021, 13, 3071. [Google Scholar] [CrossRef]
- Giardino, C.; Bresciani, M.; Pilkaitytė, R.; Bartoli, M.; Razinkovas, A. In Situ Measurements and Satellite Remote Sensing of Case 2 Waters: First Results from the Curonian Lagoon. Oceanologia 2010, 52, 197–210. [Google Scholar] [CrossRef]
- Gitelson, A.A.; Schalles, J.F.; Hladik, C.M. Remote Chlorophyll-a Retrieval in Turbid, Productive Estuaries: Chesapeake Bay Case Study. Remote Sens. Environ. 2007, 109, 464–472. [Google Scholar] [CrossRef]
- Sørensen, K.; Aas, E.; Høkedal, J. Validation of MERIS Water Products and Bio-optical Relationships in the Skagerrak. Int. J. Remote Sens. 2007, 28, 555–568. [Google Scholar] [CrossRef]
- Kratzer, S.; Brockmann, C.; Moore, G. Using MERIS Full Resolution Data to Monitor Coastal Waters—A Case Study from Himmerfjärden, a Fjord-like Bay in the Northwestern Baltic Sea. Remote Sens. Environ. 2008, 112, 2284–2300. [Google Scholar] [CrossRef]
- Vybernaite-Lubiene, I.; Zilius, M.; Giordani, G.; Petkuviene, J.; Vaiciute, D.; Bukaveckas, P.A.; Bartoli, M. Effect of Algal Blooms on Retention of N, Si and P in Europe’s Largest Coastal Lagoon. Estuar. Coast. Shelf Sci. 2017, 194, 217–228. [Google Scholar] [CrossRef]
- Vybernaite-Lubiene, I.; Zilius, M.; Bartoli, M.; Petkuviene, J.; Zemlys, P.; Magri, M.; Giordani, G. Biogeochemical Budgets of Nutrients and Metabolism in the Curonian Lagoon (South East Baltic Sea): Spatial and Temporal Variations. Water 2022, 14, 164. [Google Scholar] [CrossRef]
- Stanev, E.V.; Peneva, E.; Chtirkova, B. Climate Change and Regional Ocean Water Mass Disappearance: Case of the Black Sea. J. Geophys. Res. Ocean. 2019, 124, 4803–4819. [Google Scholar] [CrossRef]
- Paerl, H.W.; Paul, V.J. Climate Change: Links to Global Expansion of Harmful Cyanobacteria. Water Res. 2012, 46, 1349–1363. [Google Scholar] [CrossRef] [PubMed]
- Sathyendranath, S.; Gouveia, A.D.; Shetye, S.R.; Ravindran, P.; Platt, T. Biological Control of Surface Temperature in the Arabian Sea. Nature 1991, 349, 54–56. [Google Scholar] [CrossRef]
- Kanoshina, I.; Lips, U.; Leppänen, J.-M. The Influence of Weather Conditions (Temperature and Wind) on Cyanobacterial Bloom Development in the Gulf of Finland (Baltic Sea). Harmful Algae 2003, 2, 29–41. [Google Scholar] [CrossRef]
- Paerl, H.W.; Otten, T.G. Harmful Cyanobacterial Blooms: Causes, Consequences, and Controls. Microb. Ecol. 2013, 65, 995–1010. [Google Scholar] [CrossRef]
- Vaičiūtė, D.; Bučas, M.; Bresciani, M.; Dabulevičienė, T.; Gintauskas, J.; Mėžinė, J.; Tiškus, E.; Umgiesser, G.; Morkūnas, J.; De Santi, F.; et al. Hot Moments and Hotspots of Cyanobacteria Hyperblooms in the Curonian Lagoon (SE Baltic Sea) Revealed via Remote Sensing-Based Retrospective Analysis. Sci. Total Environ. 2021, 769, 145053. [Google Scholar] [CrossRef]
- Dabuleviciene, T.; Vaiciute, D.; Kozlov, I.E. Chlorophyll-a Variability during Upwelling Events in the South-Eastern Baltic Sea and in the Curonian Lagoon from Satellite Observations. Remote Sens. 2020, 12, 3661. [Google Scholar] [CrossRef]
















| No. | Water Body | Size, km2 |
|---|---|---|
| 1 | Plume area | 112.7 |
| 2 | Coastal zone | 297.3 |
| 3 | Territorial Sea | 1440.6 |
| 4 | Exclusive Economic Zone (EEZ) | 4577.6 |
| No. | Water Body (Merged) | Water Body | Size, km2 | No. in Figure 2 |
|---|---|---|---|---|
| 1 | Coastal region with riverine influence | Danube Delta region of the Black Sea shelf | 1232.5 | 5 |
| North-western part of the Black Sea | 16 | |||
| North-western part of the Black Sea Dniester region | 13 | |||
| North-western part of the Black Sea | 23 | |||
| North-western part of the Black Sea (Dnipro region) | 24 | |||
| North-western part of the Black Sea | 25 | |||
| North-western part of the Black Sea | 15 | |||
| North-western part of the Black Sea (Danube region) | 14 | |||
| 2 | Coastal region without riverine influence | North-western part of the Black Sea | 278.7 | 19 |
| North-western part of the Black Sea | 17 | |||
| North-western part of the Black Sea (Odessa region) | 18 | |||
| North-western part of the Black Sea | 27 | |||
| 3 | Coastal region of the north-western part of Crimea | North-western part of the Black Sea | 1910.1 | 20 |
| North-western part of the Black Sea | 26 | |||
| North-western part of the Black Sea | 30 | |||
| 4 | Coastal region of the south-western part of Crimea | North-western part of the Black Sea (Crimea region) | 1251.0 | 29 |
| North-western part of the Black Sea (Crimea region) | 28 | |||
| North-western part of the Black Sea (Crimea region) | 21 | |||
| North-western part of the Black Sea (Crimea region) | 22 | |||
| 5 | Shelf zones with riverine influence | Danube region of the Black Sea shelf | 7537.3 | 6 |
| Dniester region of the Black Sea shelf | 7 | |||
| Dnipro region of the Black Sea shelf | 8 | |||
| 6 | Mixing zone of the Black Sea shelf | Mixing zone 1 of the Black Sea shelf | 12,176.3 | 11 |
| Mixing zone 2 of the Black Sea shelf | 12 | |||
| Mixing zone 3 of the Black Sea shelf | 9 | |||
| 7 | Shelf zone of Crimea | Karkinitskiy region of the Black Sea shelf | 4020.8 | 2 |
| Kalamitskiy region of the Black Sea shelf | 3 | |||
| 8 | Central region of the Black Sea shelf | Central region of the Black Sea shelf | 10,881.2 | 10 |
| 9 | Open sea | South-western region of the Crimea open sea | 451.6 | 1 |
| Western region of the open sea | 4 |
| Year | The Lithuanian Baltic Sea | The Ukrainian Black Sea |
|---|---|---|
| 2006 | 18/9 | 22/18 |
| 2007 | 8 | 29/23 |
| 2008 | 13 | 19 |
| 2009 | 13 | 25/16 |
| 2010 | 24/14 | 20/13 |
| 2011 | 15/6 | 16 |
| 2016 | 10 | 22 |
| 2017 | 12/7 | 23 |
| 2018 | 11/10 | 22/17 |
| 2019 | 23/9 | 36/22 |
| Processor | The Sea | Regression Equation | R2 | RMSE | NRMSE | N |
|---|---|---|---|---|---|---|
| FUB-CSIRO | Baltic Sea | y = 0.78x + 0.96 | 0.84 | 2.55 | 12.10 | 35 |
| Black Sea | y = 0.63x + 0.75 | 0.73 | 3.27 | 11.05 | 25 | |
| Combined | y = 0.74x + 0.90 | 0.81 | 2.87 | 9.70 | 60 | |
| C2RCC | Baltic Sea | y = 0.25x + 2.24 | 0.58 | 5.72 | 27.14 | 35 |
| Black Sea | y = 0.34x + 1.41 | 0.79 | 4.25 | 14.34 | 25 | |
| Combined | y = 0.29x + 1.75 | 0.70 | 5.16 | 17.40 | 60 | |
| Level-2 NN | Baltic Sea | y = 0.23x + 1.18 | 0.36 | 6.62 | 31.43 | 35 |
| Black Sea | y = 0.22x + 1.91 | 0.32 | 5.49 | 18.52 | 22 | |
| Combined | y = 0.21x + 1.56 | 0.33 | 6.21 | 20.95 | 57 | |
| Level-2 OC4Me | Baltic Sea | y = 0.43x + 6.38 | 0.10 | 7.80 | 44.96 | 26 |
| Black Sea | y = 1.71x + 1.22 | 0.15 | 3.78 | 166.28 | 18 | |
| Combined | y = 0.666x + 3.80 | 0.23 | 6.47 | 34.60 | 44 |
Disclaimer/Publisher’s Note: The statements, opinions and data contained in all publications are solely those of the individual author(s) and contributor(s) and not of MDPI and/or the editor(s). MDPI and/or the editor(s) disclaim responsibility for any injury to people or property resulting from any ideas, methods, instructions or products referred to in the content. |
© 2024 by the authors. Licensee MDPI, Basel, Switzerland. This article is an open access article distributed under the terms and conditions of the Creative Commons Attribution (CC BY) license (https://creativecommons.org/licenses/by/4.0/).
Share and Cite
Vaičiūtė, D.; Sokolov, Y.; Bučas, M.; Dabulevičienė, T.; Zotova, O. Earth Observation-Based Cyanobacterial Bloom Index Testing for Ecological Status Assessment in the Open, Coastal and Transitional Waters of the Baltic and Black Seas. Remote Sens. 2024, 16, 696. https://doi.org/10.3390/rs16040696
Vaičiūtė D, Sokolov Y, Bučas M, Dabulevičienė T, Zotova O. Earth Observation-Based Cyanobacterial Bloom Index Testing for Ecological Status Assessment in the Open, Coastal and Transitional Waters of the Baltic and Black Seas. Remote Sensing. 2024; 16(4):696. https://doi.org/10.3390/rs16040696
Chicago/Turabian StyleVaičiūtė, Diana, Yevhen Sokolov, Martynas Bučas, Toma Dabulevičienė, and Olga Zotova. 2024. "Earth Observation-Based Cyanobacterial Bloom Index Testing for Ecological Status Assessment in the Open, Coastal and Transitional Waters of the Baltic and Black Seas" Remote Sensing 16, no. 4: 696. https://doi.org/10.3390/rs16040696
APA StyleVaičiūtė, D., Sokolov, Y., Bučas, M., Dabulevičienė, T., & Zotova, O. (2024). Earth Observation-Based Cyanobacterial Bloom Index Testing for Ecological Status Assessment in the Open, Coastal and Transitional Waters of the Baltic and Black Seas. Remote Sensing, 16(4), 696. https://doi.org/10.3390/rs16040696

