An Evaluation of the Performance of Remote Sensing Indices as an Indication of Spatial Variability and Vegetation Diversity in Alpine Grassland
Abstract
1. Introduction
2. Materials and Methods
2.1. Study Area
2.2. Data Collection
2.2.1. Field Data Collection
2.2.2. Remote Sensing Data Acquisition
2.3. Data Processing
2.3.1. Remote Sensing Data Processing
2.3.2. Species Diversity Index
- (1)
- Shannon-Wiener Index (H): This index assesses biodiversity by considering both the abundance and evenness of species in the sampled data, assuming that all species are represented [40]. Higher values of the Shannon-Wiener Index signify greater alpha diversity within the community. The index is calculated using Equation (4):
- (2)
- Pielou Index (J): This index standardizes the Shannon-Wiener Index to account for species richness and evenness [41]. It provides a measure of how evenly the species are distributed relative to the maximum possible evenness, with higher values indicating greater alpha diversity. The Pielou Index is calculated as follows:
- (3)
- Margalef Index (E): Derived from the Gleason coefficient, this index measures species richness while being independent of species frequency distributions [42]. It reaches a minimum value of 0 when all observations are grouped into a single class. The Margalef Index is computed as follows:
- (4)
- Simpson Index (D): This index evaluates biodiversity by focusing on species dominance, giving more weight to abundant species and less to rare ones [43]. A higher Simpson Index value indicates lower diversity. The index is calculated as follows:
2.4. Data Analysis
3. Results
3.1. Characteristics of Species Diversity Index and VIs
3.2. Relationship Between VIs and Species Diversity Index
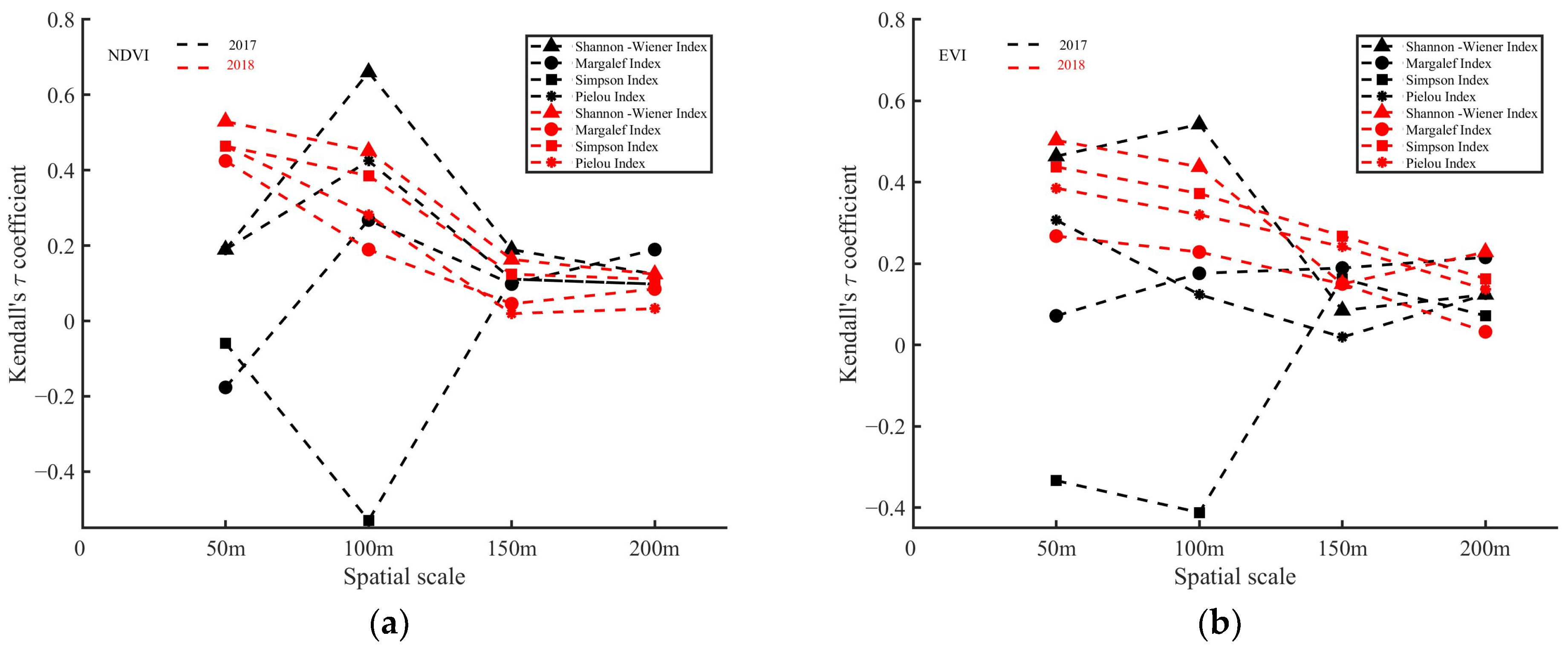
3.3. Effects of Spatial Scales on the Relationship Between CVVIs and Species Diversity
3.4. Performance of the VIs in Assessing Vegetation Species Diversity
4. Discussion
5. Conclusions
Author Contributions
Funding
Data Availability Statement
Conflicts of Interest
References
- Veldman, J.W.; Buisson, E.; Durigan, G.; Fernandes, G.W.; Le Stradic, S.; Mahy, G.; Negreiros, D.; Overbeck, G.E.; Veldman, R.G.; Zaloumis, N.P.; et al. Toward an old-growth concept for grasslands, savannas, and woodlands. Front. Ecol. Environ. 2015, 13, 154–162. [Google Scholar] [CrossRef]
- Bardgett, R.D.; Bullock, J.M.; Lavorel, S.; Manning, P.; Schaffner, U.; Ostle, N.; Chomel, M.; Durigan, G.; Fry, E.L.; Johnson, D. Combatting global grassland degradation. Nat. Rev. Earth Environ. 2021, 2, 720–735. [Google Scholar] [CrossRef]
- Lyons, K.G.; Török, P.; Hermann, J.-M.; Kiehl, K.; Kirmer, A.; Kollmann, J.; Overbeck, G.E.; Tischew, S.; Allen, E.B.; Bakker, J.D.; et al. Challenges and Opportunities for Grassland Restoration: A Global Perspective of Best Practices in the Era of Climate Change. Global Ecol. Conserv. 2023, 46, e02612. [Google Scholar] [CrossRef]
- Guo, Y.; Chen, Y. A review of the impact of grazing on grassland ecosystems: Research progress and prospects. Adv. Resour. Res. 2024, 4, 455–473. [Google Scholar] [CrossRef]
- Guo, H.; Quan, Q.; Niu, S.; Li, Y.; Wang, Z.; Liu, X.; Wu, F.; Zhang, Z.; Zhang, H.; Chen, M. Shifting biomass allocation and light limitation co-regulate the temporal stability of an alpine meadow under eutrophication. Sci. Total Environ. 2023, 860, 160411. [Google Scholar] [CrossRef]
- Wang, Z.; Ma, Y.; Zhang, Y.; Shang, J. Review of Remote Sensing Applications in Grassland Monitoring. Remote Sens. 2022, 14, 2903. [Google Scholar] [CrossRef]
- Marzialetti, F.; Cascone, S.; Frate, L.; Di Febbraro, M.; Acosta, A.T.R.; Carranza, M.L. Measuring Alpha and Beta Diversity by Field and Remote-Sensing Data: A Challenge for Coastal Dunes Biodiversity Monitoring. Remote Sens. 2021, 13, 1928. [Google Scholar] [CrossRef]
- Zhang, T.; Chen, Y.; Ali, S. Abiotic stress and human activities reduce plant diversity in desert riparian forests. Ecol. Indic. 2023, 152, 110340. [Google Scholar] [CrossRef]
- Mi, J.; Ou, J.; Liu, H.; Zhang, X.; Wang, S.; Liu, W. The loss of plant species diversity dominated by temperature promotes local productivity in the steppe of eastern Inner Mongolia. Ecol. Indic. 2022, 139, 108953. [Google Scholar] [CrossRef]
- Adeníjí, O.; İrunokhai, E.; Adigun, J.; Olorunfemi, S. Diversity and abundance of tree species of a protected woodland: Southern Guinea savanna zone (Nigeria). Turk. J. Biodivers. 2021, 4, 69–76. [Google Scholar] [CrossRef]
- Lenormand, M.; Ficetola, G.F.; Thuiller, W.; Méndez, A.; Lenoir, J. Coupling in situ and remote sensing data to assess α- and β-diversity over biogeographic gradients. arXiv 2024, arXiv:2404.18485. [Google Scholar] [CrossRef]
- Kumar, P.; Dobriyal, M.; Kale, A.; Sharma, P.; Yadav, A. Calculating Forest species diversity with information-theory based indices using Sentinel-2A sensors of Mahavir Swami Wildlife Sanctuary. PLoS ONE 2022, 17, e0268018. [Google Scholar] [CrossRef]
- Van Oijen, M.; Bellocchi, G.; Höglind, M. Effects of climate change on grassland biodiversity and productivity: The need for a diversity of models. Agronomy 2018, 8, 14. [Google Scholar] [CrossRef]
- Sparrow, B.D.; Edwards, W.; Munroe, S.E.M.; Wardle, G.M.; Guerin, G.R.; Bastin, J.-F.; Morris, B.; Christensen, R.; Phinn, S.; Lowe, A.J. Effective ecosystem monitoring requires a multi-scaled approach. Biol. Rev. 2020, 95, 1706–1719. [Google Scholar] [CrossRef]
- Fauvel, M.; Lopes, M.; Dubo, T.; Rivers-Moore, J.; Frison, P.-L.; Gross, N.; Ouin, A. Prediction of plant diversity in grasslands using Sentinel-1 and -2 satellite image time series. Remote Sens. Environ. 2020, 237, 111536. [Google Scholar] [CrossRef]
- Geary, W.L.; Bode, M.; Doherty, T.S.; McAlpine, C.A.; Bennett, J.R.; Gregory, S.D.; Hall, M.; Martin, T.G. A guide to ecosystem models and their environmental applications. Nat. Ecol. Evol. 2020, 4, 1459–1471. [Google Scholar] [CrossRef]
- Mahanand, S.; Behera, M.D.; Roy, P.S. Rapid assessment of plant diversity using MODIS biophysical proxies. J. Environ. Manag. 2022, 311, 114778. [Google Scholar] [CrossRef]
- Rodriguez, P.S.; Schwantes, A.M.; Gonzalez, A.; Fortin, M.-J. Monitoring Changes in the Enhanced Vegetation Index to Inform the Management of Forests. Remote Sens. 2024, 16, 2919. [Google Scholar] [CrossRef]
- Sun, C.; Li, J.; Cao, L.; Liu, Y.; Jin, S.; Zhao, B. Evaluation of vegetation index-based curve fitting models for accurate classification of salt marsh vegetation using Sentinel-2 time-series. Sensors 2020, 20, 5551. [Google Scholar] [CrossRef]
- Almalki, R.; Khaki, M.; Saco, P.M.; Rodriguez, J.F. Monitoring and Mapping Vegetation Cover Changes in Arid and Semi-Arid Areas Using Remote Sensing Technology: A Review. Remote Sens. 2022, 14, 5143. [Google Scholar] [CrossRef]
- Perrone, M.; Di Febbraro, M.; Conti, L.; Divíšek, J.; Chytrý, M.; Keil, P.; Carranza, M.L.; Rocchini, D.; Torresani, M.; Moudrý, V.; et al. The relationship between spectral and plant diversity: Disentangling the influence of metrics and habitat types at the landscape scale. Remote Sens. Environ. 2023, 293, 113591. [Google Scholar] [CrossRef]
- Xu, D.; An, D.; Guo, X. The Impact of Non-Photosynthetic Vegetation on LAI Estimation by NDVI in Mixed Grassland. Remote Sens. 2020, 12, 1979. [Google Scholar] [CrossRef]
- Pau, S.; Gillespie, T.W.; Wolkovich, E.M. Dissecting NDVI–species richness relationships in Hawaiian dry forests. J. Biogeogr. 2012, 39, 1678–1686. [Google Scholar] [CrossRef]
- Rocchini, D.; Bacaro, G.; Chirici, G.; Da Re, D.; Feilhauer, H.; Foody, G.M.; Galluzzi, M.; Garzon-Lopez, C.X.; Gillespie, T.W.; He, K.S.; et al. Remotely sensed spatial heterogeneity as an exploratory tool for taxonomic and functional diversity study. Ecol. Indic. 2018, 85, 983–990. [Google Scholar] [CrossRef]
- Wilsey, B. Restoration in the face of changing climate: Importance of persistence, priority effects, and species diversity. Restor. Ecol. 2021, 29, e13132. [Google Scholar] [CrossRef]
- Pielou, E.C. The measurement of diversity in different types of biological collections. J. Theor. Biol. 1966, 13, 131–144. [Google Scholar] [CrossRef]
- Li, W.; Yang, J.; Li, H.; Zhang, C. Effects of Environmental Factors on Species Diversity Among the Plant Communities in the Mount Lao Nature Reserve, Shandong Province of China. Pak. J. Bot. 2020, 52, 1205–1213. [Google Scholar] [CrossRef]
- Simpson, E.H. Measurement of diversity. Nature 1949, 163, 688. [Google Scholar] [CrossRef]
- Zeng, G.; Ye, M.; Li, M.; Chen, W.; He, Q.; Pan, X.; Zhang, X.; Che, J.; Qian, J.; Lv, Y. The Relationships between Plant Community Stability and Diversity across Different Grassland Types and Their Association with Environmental Factors in the Habahe Forest Area, Xinjiang. Diversity 2024, 16, 499. [Google Scholar] [CrossRef]
- Tuan, N.T.; Bao, T.Q.; Rodríguez-Hernández, D.I.; Gliottone, I. Tree diversity and species composition of tropical dry forests in Vietnam’s Central Highlands Region. For. Stud. 2021, 75, 80–103. [Google Scholar] [CrossRef]
- Peng, Y.; Fan, M.; Song, J.; Cui, T.; Li, R. Assessment of plant species diversity based on hyperspectral indices at a fine scale. Sci. Rep. 2018, 8, 4776. [Google Scholar] [CrossRef] [PubMed]
- Moulin, T.; Perasso, A.; Calanca, P.; Gillet, F. DynaGraM: A process-based model to simulate multi-species plant community dynamics in managed grasslands. Ecol. Model. 2021, 439, 109345. [Google Scholar] [CrossRef]
- Ukkola, A.M.; De Kauwe, M.G.; Roderick, M.L.; Burrell, A.; Lehmann, P.; Pitman, A.J. Annual precipitation explains variability in dryland vegetation greenness globally but not locally. Glob. Change Biol. 2021, 27, 4367–4380. [Google Scholar] [CrossRef] [PubMed]
- Moreira, A.; Bremm, C.; Fontana, D.C.; Kuplich, T.M. Seasonal dynamics of vegetation indices as a criterion for grouping grassland typologies. Sci. Agric. 2019, 76, 24–32. [Google Scholar] [CrossRef]
- Jae-Hyun, R.; Dohyeok, O.; Jaeil, C. Simple method for extracting the seasonal signals of photochemical reflectance index and normalized difference vegetation index measured using a spectral reflectance sensor. J. Integr. Agric. 2021, 20, 1969–1986. [Google Scholar] [CrossRef]
- Soltanikazemi, M.; Minaei, S.; Shafizadeh-Moghadam, H.; Mahdavian, A. Field-scale estimation of sugarcane leaf nitrogen content using vegetation indices and spectral bands of Sentinel-2: Application of random forest and support vector regression. Comput. Electron. Agric. 2022, 200, 107130. [Google Scholar] [CrossRef]
- Lopes, M.; Fauvel, M.; Ouin, A.; Girard, S. Spectro-Temporal Heterogeneity Measures from Dense High Spatial Resolution Satellite Image Time Series: Application to Grassland Species Diversity Estimation. Remote Sens. 2017, 9, 993. [Google Scholar] [CrossRef]
- Woldemariam, G.W.; Awoke, B.G.; Maretto, R.V. Remote sensing vegetation indices-driven models for sugarcane evapotranspiration estimation in the semiarid Ethiopian Rift Valley. ISPRS J. Photogramm. Remote Sens. 2024, 215, 136–156. [Google Scholar] [CrossRef]
- Vanino, S.; Nino, P.; De Michele, C.; Falanga Bolognesi, S.; D’Urso, G.; Di Bene, C.; Pennelli, B.; Vuolo, F.; Farina, R.; Pulighe, G.; et al. Capability of Sentinel-2 data for estimating maximum evapotranspiration and irrigation requirements for tomato crop in Central Italy. Remote Sens. Environ. 2018, 215, 452–470. [Google Scholar] [CrossRef]
- Wicaksono, P.; Kumara, I.S.W.; Fauzan, M.A.; Yogyantoro, R.N.; Lazuardi, W. Sentinel-2A and Landsat 8 OLI to model benthic habitat biodiversity index. Geocarto Int. 2022, 37, 1628–1644. [Google Scholar] [CrossRef]
- Tian, Y.; Fu, G. Quantifying Plant Species α-Diversity Using Normalized Difference Vegetation Index and Climate Data in Alpine Grasslands. Remote Sens. 2022, 14, 5007. [Google Scholar] [CrossRef]
- Qian, J.; Ye, M.; Zhang, X.; Li, M.; Chen, W.; Zeng, G.; Che, J.; Lv, Y. Characteristics of Grassland Species Diversity and Soil Physicochemical Properties with Elevation Gradient in Burzin Forest Area. Agriculture 2024, 14, 1176. [Google Scholar] [CrossRef]
- Wang, R.; Gamon, J.A.; Cavender-Bares, J.; Townsend, P.A.; Zygielbaum, A.I. The spatial sensitivity of the spectral diversity–biodiversity relationship: An experimental test in a prairie grassland. Ecol. Appl. 2018, 28, 541–556. [Google Scholar] [CrossRef] [PubMed]
- Gholizadeh, H.; Gamon, J.A.; Townsend, P.A.; Zygielbaum, A.I.; Helzer, C.J.; Hmimina, G.Y.; Yu, R.; Moore, R.M.; Schweiger, A.K.; Cavender-Bares, J. Detecting prairie biodiversity with airborne remote sensing. Remote Sens. Environ. 2019, 221, 38–49. [Google Scholar] [CrossRef]
- Piedallu, C.; Chéret, V.; Denux, J.-P.; Perez, V.; Azcona, J.S.; Seynave, I.; Gégout, J.C. Soil and climate differently impact NDVI patterns according to the season and the stand type. Sci. Total Environ. 2019, 651, 2874–2885. [Google Scholar] [CrossRef]
- Alademomi, A.S.; Okolie, C.J.; Daramola, O.E.; Agboola, R.O.; Salami, T.J. Assessing the relationship of LST, NDVI and EVI with land cover changes in the Lagos Lagoon environment. Quaest. Geogr. 2020, 39, 87–109. [Google Scholar] [CrossRef]
- Huete, A.; Didan, K.; Miura, T.; Rodriguez, E.P.; Gao, X.; Ferreira, L.G. Overview of the radiometric and biophysical performance of the MODIS vegetation indices. Remote Sens. Environ. 2002, 83, 195–213. [Google Scholar] [CrossRef]
- Hu, P.; Sharifi, A.; Tahir, M.N.; Tariq, A.; Zhang, L.; Mumtaz, F.; Shah, S.H.I.A. Evaluation of Vegetation Indices and Phenological Metrics Using Time-Series MODIS Data for Monitoring Vegetation Change in Punjab, Pakistan. Water 2021, 13, 2550. [Google Scholar] [CrossRef]
- Prudnikova, E.; Savin, I. Some Peculiarities of Arable Soil Organic Matter Detection Using Optical Remote Sensing Data. Remote Sens. 2021, 13, 2313. [Google Scholar] [CrossRef]
- Koch, M.; Schodlok, M.C.; Guggenberger, G.; Stadler, S. Effects of Water Tension and Surface Roughness on Soil Hyperspectral Reflectance. Geoderma 2021, 385, 114888. [Google Scholar] [CrossRef]
- Morcillo-Pallarés, P.; Rivera-Caicedo, J.P.; Belda, S.; De Grave, C.; Burriel, H.; Moreno, J.; Verrelst, J. Quantifying the Robustness of Vegetation Indices through Global Sensitivity Analysis of Homogeneous and Forest Leaf-Canopy Radiative Transfer Models. Remote Sens. 2019, 11, 2418. [Google Scholar] [CrossRef] [PubMed]
- Oldeland, J.; Wesuls, D.; Rocchini, D.; Schmidt, M.; Jürgens, N. Does using species abundance data improve estimates of species diversity from remotely sensed spectral heterogeneity? Ecol. Indic. 2010, 10, 390–396. [Google Scholar] [CrossRef]
- Oldeland, J.; Dorigo, W.; Lieckfeld, L.; Lucieer, A.; Jürgens, N. Combining vegetation indices, constrained ordination and fuzzy classification for mapping semi-natural vegetation units from hyperspectral imagery. Remote Sens. Environ. 2010, 114, 1155–1166. [Google Scholar] [CrossRef]
- Ricotta, C.; Godefroid, S.; Celesti-Grapow, L. Common species have lower taxonomic diversity: Evidence from the urban floras of Brussels and Rome. Divers. Distrib. 2008, 14, 530–537. [Google Scholar] [CrossRef]
- Cui, R.; Qi, S.; Wu, B.; Zhang, D.; Zhang, L.; Zhou, P.; Ma, N.; Huang, X. The Influence of Stand Structure on Understory Herbaceous Plants Species Diversity of Platycladus orientalis Plantations in Beijing, China. Forests 2022, 13, 1921. [Google Scholar] [CrossRef]
- Xin, J.; Li, J.; Zeng, Q.; Peng, Y.; Wang, Y.; Teng, X.; Bao, Q.; Yang, L.; Tang, H.; Liu, Y.; et al. High-precision estimation of plant alpha diversity in different ecosystems based on Sentinel-2 data. Ecol. Indic. 2024, 166, 112527. [Google Scholar] [CrossRef]
- Rossi, C.; Kneubühler, M.; Schütz, M.; Schaepman, M.E.; Haller, R.M.; Risch, A.C. Remote sensing of spectral diversity: A new methodological approach to account for spatio-temporal dissimilarities between plant communities. Ecol. Indic. 2021, 130, 108106. [Google Scholar] [CrossRef]
- Torresani, M.; Rocchini, D.; Sonnenschein, R.; Zebisch, M.; Marcantonio, M.; Ricotta, C.; Tonon, G. Estimating tree species diversity from space in an alpine conifer forest: The Rao’s Q diversity index meets the spectral variation hypothesis. Ecol. Inform. 2019, 52, 26–34. [Google Scholar] [CrossRef]
- Hayden, M.T.; Van Cleemput, E.; Suding, K.N.; Lezberg, A.; Anacker, B.; Dee, L.E. High-resolution spectral data predict taxonomic diversity in low diversity grasslands. Ecol. Solut. Evid. 2024, 5, e12365. [Google Scholar] [CrossRef]
- Sakowska, K.; MacArthur, A.; Gianelle, D.; Dalponte, M.; Alberti, G.; Gioli, B.; Meggio, F.; Miglietta, F.; Pitacco, A.; Fava, F.; et al. Assessing Across-Scale Optical Diversity and Productivity Relationships in Grasslands of the Italian Alps. Remote Sens. 2019, 11, 614. [Google Scholar] [CrossRef]
- Rossi, C.; Kneubuhler, M.; Schutz, M.; Schaepman, M.E.; Haller, R.M.; Risch, A.C. Spatial Resolution, Spectral Metrics and Biomass are Key Aspects in Estimating Plant Species Richness from Spectral Diversity in Species-Rich Grasslands. Remote Sens. Ecol. Conserv. 2022, 8, 297–314. [Google Scholar] [CrossRef]
- Thornley, R.H.; Gerard, F.F.; White, K.; Verhoef, A. Prediction of Grassland Biodiversity Using Measures of Spectral Variance: A Meta-Analytical Review. Remote Sens. 2023, 15, 668. [Google Scholar] [CrossRef]
- Imran, H.A.; Gianelle, D.; Scotton, M.; Rocchini, D.; Dalponte, M.; Macolino, S.; Sakowska, K.; Pornaro, C.; Vescovo, L. Potential and Limitations of Grasslands α-Diversity Prediction Using Fine-Scale Hyperspectral Imagery. Remote Sens. 2021, 13, 2649. [Google Scholar] [CrossRef]
- Wang, R.; Gamon, J.A.; Emmerton, C.A.; Li, H.; Nestola, E.; Pastorello, G.Z.; Menzer, O. Integrated Analysis of Productivity and Biodiversity in a Southern Alberta Prairie. Remote Sens. 2016, 8, 214. [Google Scholar] [CrossRef]
- Li, T.; Kamran, M.; Chang, S.; Peng, Z.; Wang, Z.; Ran, L.; Jiang, W.Q.; Jin, Y.; Zhang, X.; You, Y.; et al. Climate-soil interactions improve the stability of grassland ecosystems by driving alpine plant diversity. Ecol. Indic. 2022, 141, 109002. [Google Scholar] [CrossRef]
- Oliveira, B.F.; Moore, F.C.; Dong, X. Biodiversity mediates ecosystem sensitivity to climate variability. Commun. Biol. 2022, 5, 628. [Google Scholar] [CrossRef]
- Villarreal, M.L.; Norman, L.M.; Buckley, S.; Wallace, C.S.A.; Coe, M.A. Multi-Index Time Series Monitoring of Drought and Fire Effects on Desert Grasslands. Remote Sens. Environ. 2016, 183, 186–197. [Google Scholar] [CrossRef]
- Ndehedehe, C.E.; Anyah, R.O.; Alsdorf, D.; Agutu, N.O.; Ferreira, V.G. Modelling the Impacts of Global Multi-Scale Climatic Drivers on Hydro-Climatic Extremes (1901–2014) over the Congo Basin. Sci. Total Environ. 2019, 651, 1569–1587. [Google Scholar] [CrossRef]







| Band Name | Band | Center Wavelength (nm) | Spectral Width (nm) | Spatial Resolution (m) |
|---|---|---|---|---|
| Blue | 2 | 490 | 65 | 10 |
| Green | 3 | 560 | 35 | 10 |
| Red | 4 | 665 | 30 | 10 |
| Red Edge 1 | 5 | 705 | 15 | 20 |
| Red Edge 2 | 6 | 740 | 15 | 20 |
| Red Edge 3 | 7 | 783 | 20 | 20 |
| NIR | 8 | 842 | 115 | 10 |
| Red Edge 4 | 8A | 865 | 20 | 20 |
| Year | Index | Minimum Value | Maximum Value | Variance | Range |
|---|---|---|---|---|---|
| 2017 | Shannon Index | 0.62 | 2.14 | 0.15 | 1.52 |
| Margalef Index | 0.39 | 1.81 | 0.15 | 1.42 | |
| Simpson Index | 0.14 | 0.70 | 0.10 | 0.56 | |
| Pielou Index | 0.43 | 0.90 | 0.10 | 0.47 | |
| 2018 | Shannon Index | 0.66 | 2.31 | 0.28 | 1.65 |
| Margalef Index | 0.28 | 1.12 | 0.07 | 0.84 | |
| Simpson Index | 0.19 | 0.79 | 0.04 | 0.60 | |
| Pielou Index | 0.10 | 0.50 | 0.02 | 0.40 |
| Year | Shannon Index | Margalef Index | Simpson Index | Pielou Index | |||||
|---|---|---|---|---|---|---|---|---|---|
| τ | R2 | τ | R2 | τ | R2 | τ | R2 | ||
| 2017 | CVNDVI | 0.660 ** | 0.537 | 0.268 | 0.027 | −0.529 | 0.214 | 0.425 * | 0.193 |
| NDVI | −0.111 | 0.083 | 0.176 | 0.005 | 0.176 | 0.084 | 0.098 | 0.081 | |
| CVEVI | 0.542 ** | 0.327 | 0.176 | 0.012 | −0.412 | 0.135 | 0.124 | 0.065 | |
| EVI | 0.085 | 0.020 | 0.190 | 0.115 | −0.216 | 0.040 | −0.150 | 0.010 | |
| 2018 | CVNDVI | 0.451 ** | 0.252 | 0.190 | 0.101 | 0.386 * | 0.230 | 0.281 | 0.041 |
| NDVI | −0.32 | 0.156 | −0.137 | 0.114 | −0.281 | 0.131 | −0.333 | 0.057 | |
| CVEVI | 0.438 * | 0.278 | 0.229 | 0.152 | 0.373 * | 0.217 | 0.320 | 0.114 | |
| EVI | −0.242 | 0.108 | −0.242 | 0.153 | −0.255 | 0.081 | −0.255 | 0.106 | |
| Spatial Scale | Year | Shannon Index | Margalef Index | Simpson Index | Pielou Index | ||||
|---|---|---|---|---|---|---|---|---|---|
| (p-Value) | (p-Value) | (p-Value) | (p-Value) | ||||||
| CVNDVI | CVEVI | CVNDVI | CVEVI | CVNDVI | CVEVI | CVNDVI | CVEVI | ||
| 50 m | 2017 | 0.293 | 0.007 | 0.330 | 0.709 | 0.765 | 0.057 | 0.293 | 0.081 |
| 2018 | 0.002 | 0.003 | 0.014 | 0.131 | 0.007 | 0.011 | 0.007 | 0.026 | |
| 100 m | 2017 | 0.000 | 0.001 | 0.131 | 0.330 | 0.002 | 0.017 | 0.014 | 0.501 |
| 2018 | 0.009 | 0.011 | 0.293 | 0.201 | 0.026 | 0.032 | 0.112 | 0.068 | |
| 150 m | 2017 | 0.293 | 0.654 | 0.601 | 0.293 | 0.550 | 0.369 | 0.550 | 0.941 |
| 2018 | 0.369 | 0.410 | 0.823 | 0.410 | 0.501 | 0.131 | 0.941 | 0.175 | |
| 200 m | 2017 | 0.501 | 0.501 | 0.293 | 0.229 | 0.601 | 0.709 | 0.601 | 0.501 |
| 2018 | 0.501 | 0.201 | 0.654 | 0.881 | 0.550 | 0.369 | 0.881 | 0.454 | |
Disclaimer/Publisher’s Note: The statements, opinions and data contained in all publications are solely those of the individual author(s) and contributor(s) and not of MDPI and/or the editor(s). MDPI and/or the editor(s) disclaim responsibility for any injury to people or property resulting from any ideas, methods, instructions or products referred to in the content. |
© 2024 by the authors. Licensee MDPI, Basel, Switzerland. This article is an open access article distributed under the terms and conditions of the Creative Commons Attribution (CC BY) license (https://creativecommons.org/licenses/by/4.0/).
Share and Cite
Sang, Y.; Gu, H.; Meng, Q.; Men, X.; Sheng, J.; Li, N.; Wang, Z. An Evaluation of the Performance of Remote Sensing Indices as an Indication of Spatial Variability and Vegetation Diversity in Alpine Grassland. Remote Sens. 2024, 16, 4726. https://doi.org/10.3390/rs16244726
Sang Y, Gu H, Meng Q, Men X, Sheng J, Li N, Wang Z. An Evaluation of the Performance of Remote Sensing Indices as an Indication of Spatial Variability and Vegetation Diversity in Alpine Grassland. Remote Sensing. 2024; 16(24):4726. https://doi.org/10.3390/rs16244726
Chicago/Turabian StyleSang, Yanan, Haibin Gu, Qingmin Meng, Xinna Men, Jiandong Sheng, Ning Li, and Ze Wang. 2024. "An Evaluation of the Performance of Remote Sensing Indices as an Indication of Spatial Variability and Vegetation Diversity in Alpine Grassland" Remote Sensing 16, no. 24: 4726. https://doi.org/10.3390/rs16244726
APA StyleSang, Y., Gu, H., Meng, Q., Men, X., Sheng, J., Li, N., & Wang, Z. (2024). An Evaluation of the Performance of Remote Sensing Indices as an Indication of Spatial Variability and Vegetation Diversity in Alpine Grassland. Remote Sensing, 16(24), 4726. https://doi.org/10.3390/rs16244726

