Biodiversity from the Sky: Testing the Spectral Variation Hypothesis in the Brazilian Atlantic Forest
Abstract
1. Introduction
| Ecosystems | Diversity Type | Platforms | Vector and Sensors | Heterogeneity Index | Response Variable | Spatial Resolution | Temporal Resolution | Associated Metrics and Types of Models | Reference |
|---|---|---|---|---|---|---|---|---|---|
| Forest, grassland, mixed types, wetland, coastal, savanna, agricultural, agro-forest, and others | Alpha diversity, Beta diversity, and Gamma diversity | Satellite, RPA, airplane, and field | Multispectral, hyperspectral, panchromatic, multisensory, and LiDAR | Coefficient of variation, Rao’s Q index, standard deviation, mean distance from centroid, Shannon’s H index, and convex hull/volume | Species richness, Shannon, Simpson, Phylogenetic diversity index, Native species/family richness, Species abundance, Others | 3 cm to 500 m | Mono-temporal, time-series, and multi-temporal | R/R² linear model, multiple regression, machine learning, (Random Forest, SVM, etc.), PCA (Principal Component Analysis), ANOVA, and Kriging | [9,29,30] |
2. Materials and Methods
2.1. Study Area
2.2. Field Data Sampling
2.3. Remote Sensing Data Collection
2.4. Data Analysis
2.4.1. Hyperspectral Metrics
2.4.2. Selection of Hyperspectral Metrics
3. Results
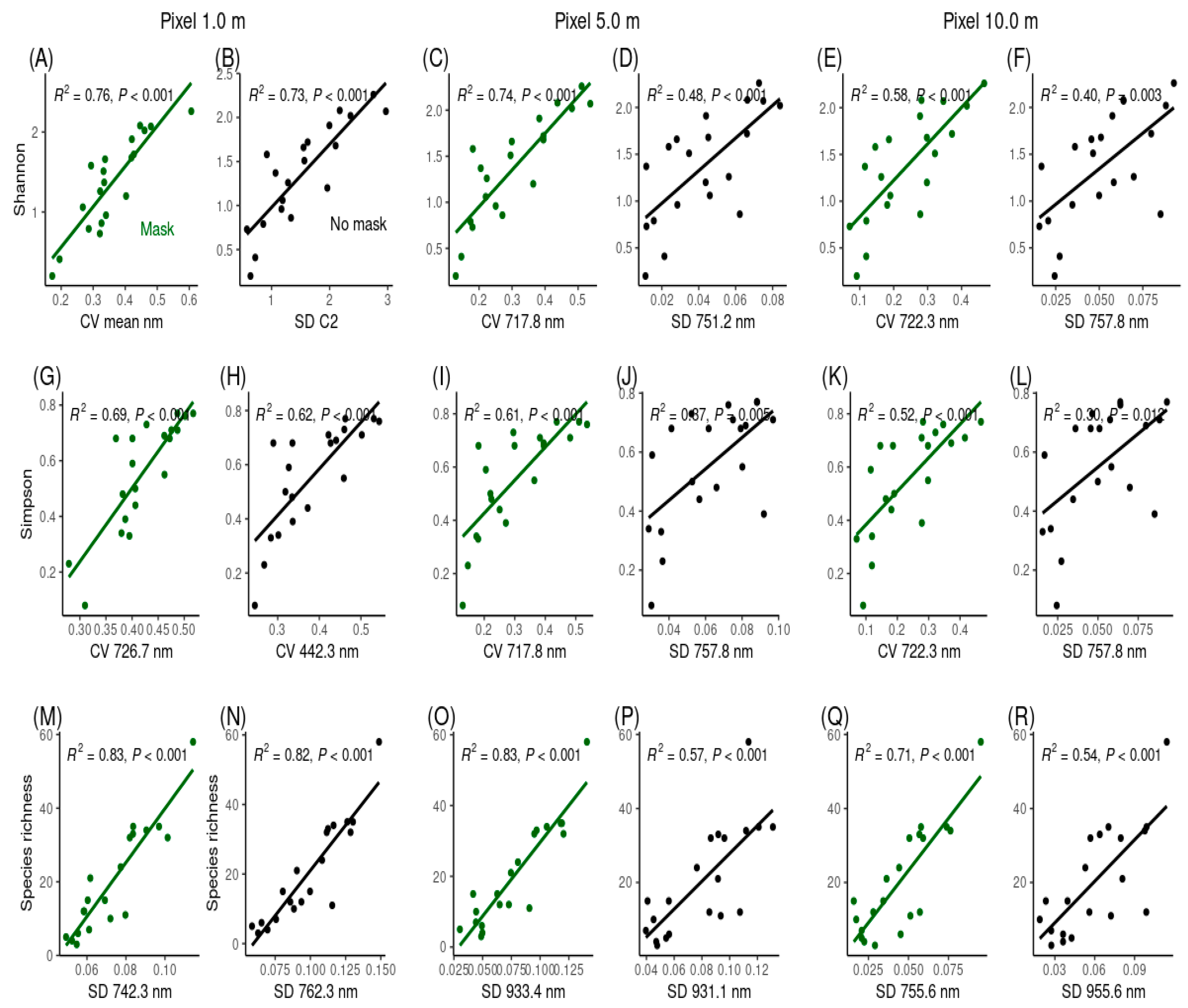
3.1. Relationship Between Diversity Indices and Spectral Diversity of Bands
3.2. Main Correlated Metrics
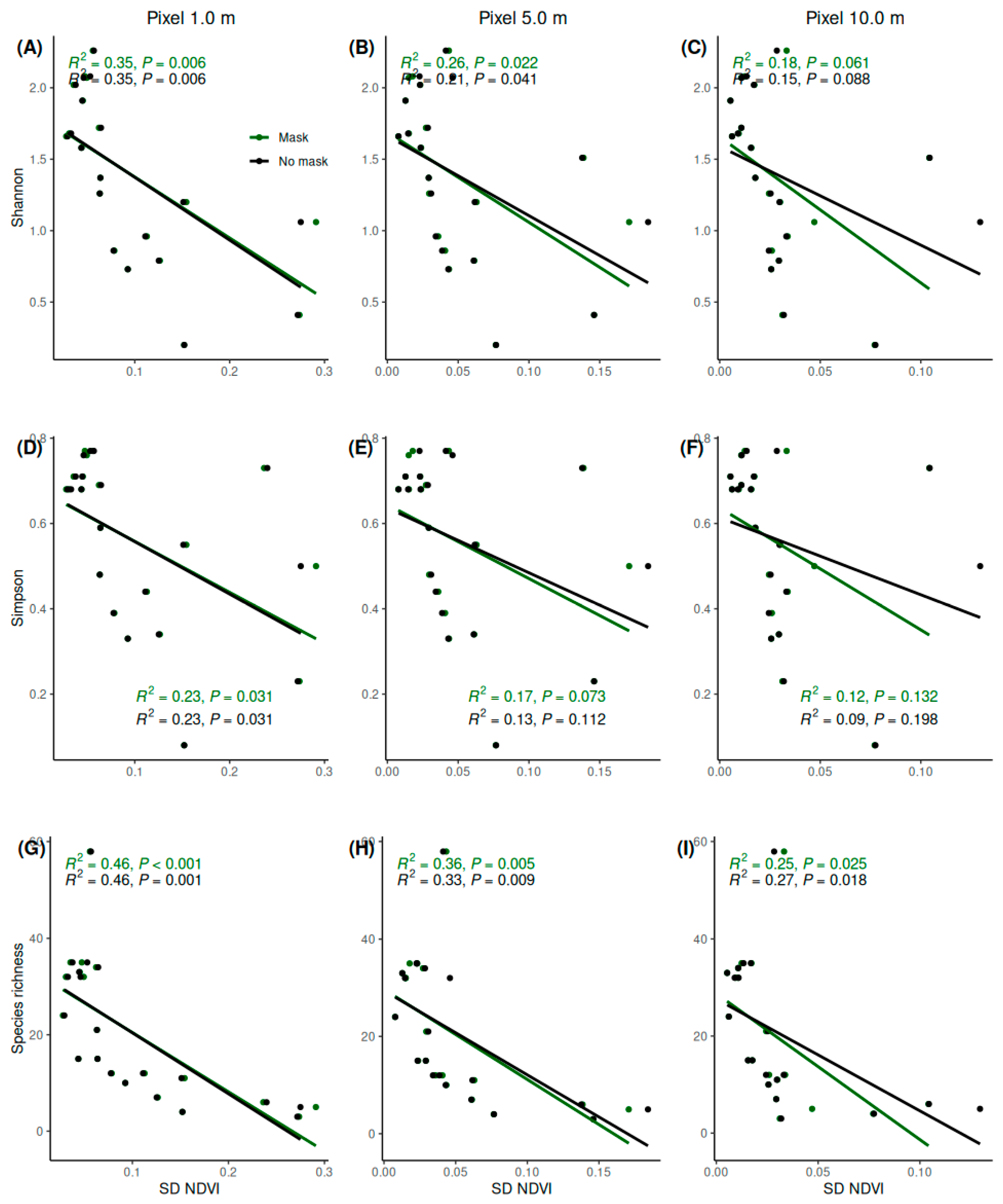
3.3. Relationship Between Diversity Indices and Vegetation Indices
4. Discussion
4.1. Relationship Between Diversity Indices and Spectral Diversity
4.2. Effects of Pixel Size on the Relationship Between Spectral Diversity and Taxonomic Diversity
4.3. Effects of Shadow on the Relationship Between Spectral Diversity and Taxonomic Diversity
4.4. Correlation Between Taxonomic Diversity and NDVI
4.5. Limitations, Gaps, and Implications of the Study
5. Conclusions
Supplementary Materials
Author Contributions
Funding
Data Availability Statement
Acknowledgments
Conflicts of Interest
References
- FAO. Global Forest Resources Assessment 2020; FAO: Rome, Italy, 2020; Volume 1. [Google Scholar]
- Gentry, A.H. Tropical Forest Biodiversity: Distributional Patterns and Their Conservational Significance. Oikos 1992, 63, 19–28. [Google Scholar] [CrossRef]
- Souza, A.L.; Soares, C.P.B. Florestas Nativas: Estrutura, Dinâmica e Manejo, 1st ed.; Editora UFV: Viçosa, Brazil, 2013. [Google Scholar]
- Brower, J.E.; Zar, J.H. Field & Laboratory Methods for General Ecology, 2nd ed.; Wm. C. Brown Publishers: Dubuque, IA, USA, 1984. [Google Scholar]
- Palmer, M.W. How Should One Count Species? Nat. Areas J. 1995, 15, 124–135. [Google Scholar]
- Palmer, M.W.; Earls, P.G.; Hoagland, B.W.; White, P.S.; Wohlgemuth, T. Quantitative Tools for Perfecting Species Lists. Environmetrics 2002, 13, 121–137. [Google Scholar] [CrossRef]
- Turner, W.; Spector, S.; Gardiner, N.; Fladeland, M.; Sterling, E.; Steininger, M. Remote Sensing for Biodiversity Science and Conservation. Trends Ecol. Evol. 2003, 18, 306–314. [Google Scholar] [CrossRef]
- Fassnacht, F.E.; Müllerová, J.; Conti, L.; Malavasi, M.; Schmidtlein, S. About the Link between Biodiversity and Spectral Variation. Appl. Veg. Sci. 2022, 25, e12643. [Google Scholar] [CrossRef]
- Schmidtlein, S.; Fassnacht, F.E. The Spectral Variability Hypothesis Does Not Hold across Landscapes. Remote Sens Environ. 2017, 192, 114–125. [Google Scholar] [CrossRef]
- Palmer, M.W.; Wohlgemuth, T.; Earls, P.; Arévalo, J.R.; Thompson, S. Opportunities for Long-Term Ecological Research at the Tallgrass Prairie Preserve, Oklahoma. In Proceedings of the Cooperation in Long Term Ecological Research in Central and Eastern Europe: Proceedings of the ILTER Regional Workshop, Budapest, Hungary, 22–25 June 1999; Lajtha, K., Vanderbilt, K., Eds.; Ilter-International Long Term Ecological Research: Budapest, Hungary, 2000; pp. 123–128. [Google Scholar]
- Rocchini, D. Effects of Spatial and Spectral Resolution in Estimating Ecosystem α-Diversity by Satellite Imagery. Remote Sens Environ. 2007, 111, 423–434. [Google Scholar] [CrossRef]
- Perrone, M.; Di Febbraro, M.; Conti, L.; Divíšek, J.; Chytrý, M.; Keil, P.; Carranza, M.L.; Rocchini, D.; Torresani, M.; Moudrý, V.; et al. The Relationship between Spectral and Plant Diversity: Disentangling the Influence of Metrics and Habitat Types at the Landscape Scale. Remote Sens Environ. 2023, 293, 113591. [Google Scholar] [CrossRef]
- Pacheco-Labrador, J.; Migliavacca, M.; Ma, X.; Mahecha, M.; Carvalhais, N.; Weber, U.; Benavides, R.; Bouriaud, O.; Barnoaiea, I.; Coomes, D.A.; et al. Challenging the Link between Functional and Spectral Diversity with Radiative Transfer Modeling and Data. Remote Sens Environ. 2022, 280, 113170. [Google Scholar] [CrossRef]
- Rouse, J.W., Jr.; Haas, R.H.; Schell, J.A.; Deering, D.W. Monitoring Vegetation Systems in the Great Plains with ERTS. In Third Earth Resources Technology Satellite-1 Symposium-Volume I: Technical Presentations; NASA SP-351; National Aeronautics and Space Administration: Washington, DC, USA, 1974; pp. 309–317. [Google Scholar]
- Tan, X.; Shan, Y.; Wang, X.; Liu, R.; Yao, Y. Comparison of the Predictive Ability of Spectral Indices for Commonly Used Species Diversity Indices and Hill Numbers in Wetlands. Ecol. Indic. 2022, 142, 109233. [Google Scholar] [CrossRef]
- Tan, X.; Shan, Y.; Wang, L.; Yao, Y.; Jing, Z. Density vs. Cover: Which Is the Better Choice as the Proxy for Plant Community Species Diversity Estimated by Spectral Indexes? Int. J. Appl. Earth Obs. Geoinf. 2023, 121, 103370. [Google Scholar] [CrossRef]
- Hauser, L.T.; Timmermans, J.; van der Windt, N.; Sil, Â.F.; César de Sá, N.; Soudzilovskaia, N.A.; van Bodegom, P.M. Explaining Discrepancies between Spectral and In-Situ Plant Diversity in Multispectral Satellite Earth Observation. Remote Sens Environ. 2021, 265, 112684. [Google Scholar] [CrossRef]
- Zhu, H.; Huang, Y.; Li, Y.; Yu, F.; Zhang, G.; Fan, L.; Zhou, J.; Li, Z.; Yuan, M. Predicting Plant Diversity in Beach Wetland Downstream of Xiaolangdi Reservoir with UAV and Satellite Multispectral Images. Sci. Total Environ. 2022, 819, 153059. [Google Scholar] [CrossRef] [PubMed]
- Martins-Neto, R.P.; Tommaselli, A.M.G.; Imai, N.N.; Honkavaara, E.; Miltiadou, M.; Moriya, E.A.S.; David, H.C. Tree Species Classification in a Complex Brazilian Tropical Forest Using Hyperspectral and LiDAR Data. Forests 2023, 14, 945. [Google Scholar] [CrossRef]
- Lu, B.; Dao, P.D.; Liu, J.; He, Y.; Shang, J. Recent Advances of Hyperspectral Imaging Technology and Applications in Agriculture. Remote Sens. 2020, 12, 2659. [Google Scholar] [CrossRef]
- Iglhaut, J.; Cabo, C.; Puliti, S.; Piermattei, L.; O’Connor, J.; Rosette, J. Structure from Motion Photogrammetry in Forestry: A Review. Curr. For. Rep. 2019, 5, 155–168. [Google Scholar] [CrossRef]
- Oldeland, J.; Wesuls, D.; Rocchini, D.; Schmidt, M.; Jürgens, N. Does Using Species Abundance Data Improve Estimates of Species Diversity from Remotely Sensed Spectral Heterogeneity? Ecol. Indic. 2010, 10, 390–396. [Google Scholar] [CrossRef]
- Heumann, B.W.; Hackett, R.A.; Monfils, A.K. Testing the Spectral Diversity Hypothesis Using Spectroscopy Data in a Simulated Wetland Community. Ecol. Inform. 2015, 25, 29–34. [Google Scholar] [CrossRef]
- Adão, T.; Hruška, J.; Pádua, L.; Bessa, J.; Peres, E.; Morais, R.; Sousa, J.J. Hyperspectral Imaging: A Review on UAV-Based Sensors, Data Processing and Applications for Agriculture and Forestry. Remote Sens. 2017, 9, 1110. [Google Scholar] [CrossRef]
- Almeida, C.T. Integration of LiDAR and Hyperspectral Data for Forest Disturbance Characterization and Aboveground Biomass Estimation in the Brazilian Amazon. Doctorate Thesis, INPE, São José dos Campos, Brazil, 2020. [Google Scholar]
- Levin, N.; Shmida, A.; Levanoni, O.; Tamari, H.; Kark, S. Predicting Mountain Plant Richness and Rarity from Space Using Satellite-Derived Vegetation Indices. Divers. Distrib. 2007, 13, 692–703. [Google Scholar] [CrossRef]
- Rocchini, D.; Dadalt, L.; Delucchi, L.; Neteler, M.; Palmer, M.W. Disentangling the Role of Remotely Sensed Spectral Heterogeneity as a Proxy for North American Plant Species Richness. Community Ecol. 2014, 15, 37–43. [Google Scholar] [CrossRef]
- Conti, L.; Malavasi, M.; Galland, T.; Komárek, J.; Lagner, O.; Carmona, C.P.; de Bello, F.; Rocchini, D.; Šímová, P. The Relationship between Species and Spectral Diversity in Grassland Communities Is Mediated by Their Vertical Complexity. Appl. Veg. Sci. 2021, 24, 1–8. [Google Scholar] [CrossRef]
- Torresani, M.; Rossi, C.; Perrone, M.; Hause, L.T.; Féret, J.B.; Moudrý, V.; Simova, P.; Ricotta, C.; Foody, G.M.; Kacic, P.; et al. Reviewing the Spectral Variation Hypothesis: Twenty Years in the Tumultuous Sea of Biodiversity Estimation by Remote Sensing. Ecol. Inform. 2024, 82, 102702. [Google Scholar] [CrossRef]
- Kacic, P.; Kuenzer, C. Forest Biodiversity Monitoring Based on Remotely Sensed Spectral Diversity—A Review. Remote Sens. 2022, 14, 5363. [Google Scholar] [CrossRef]
- Rocchini, D.; Salvatori, N.; Beierkuhnlein, C.; Chiarucci, A.; de Boissieu, F.; Förster, M.; Garzon-Lopez, C.X.; Gillespie, T.W.; Hauffe, H.C.; He, K.S.; et al. From Local Spectral Species to Global Spectral Communities: A Benchmark for Ecosystem Diversity Estimate by Remote Sensing. Ecol. Inform. 2021, 61, 101195. [Google Scholar] [CrossRef]
- de Almeida, D.R.A.; Broadbent, E.N.; Ferreira, M.P.; Meli, P.; Zambrano, A.M.A.; Gorgens, E.B.; Resende, A.F.; de Almeida, C.T.; Amaral, C.H.; Dalla Corte, A.P.; et al. Monitoring Restored Tropical Forest Diversity and Structure through UAV-Borne Hyperspectral and Lidar Fusion. Remote Sens Environ. 2021, 264, 112582. [Google Scholar] [CrossRef]
- Merrick, T.; Pau, S.; Detto, M.; Broadbent, E.N.; Bohlman, S.A.; Still, C.J.; Almeyda Zambrano, A.M. Unveiling Spatial and Temporal Heterogeneity of a Tropical Forest Canopy Using High-Resolution NIRv, FCVI, and NIRvrad from UAS Observations. Biogeosciences 2021, 18, 6077–6091. [Google Scholar] [CrossRef]
- Gastauer, M.; Nascimento, W.R.; Caldeira, C.F.; Ramos, S.J.; Souza-Filho, P.W.M.; Féret, J.B. Spectral Diversity Allows Remote Detection of the Rehabilitation Status in an Amazonian Iron Mining Complex. Int. J. Appl. Earth Obs. Geoinf. 2022, 106, 102653. [Google Scholar] [CrossRef]
- Muro, J.; Van Doninck, J.; Tuomisto, H.; Higgins, M.A.; Moulatlet, G.M.; Ruokolainen, K. Floristic Composition and Across-Track Reflectance Gradient in Landsat Images over Amazonian Forests. ISPRS J. Photogramm. Remote Sens. 2016, 119, 361–372. [Google Scholar] [CrossRef]
- Resende, A.F.; Gavioli, F.R.; Chaves, R.B.; Metzger, J.P.; Guedes Pinto, L.F.; Piffer, P.R.; Krainovic, P.M.; Fuza, M.S.; Rodrigues, R.R.; Pinho, M.; et al. How to Enhance Atlantic Forest Protection? Dealing with the Shortcomings of Successional Stages Classification. Perspect. Ecol. Conserv. 2024, 22, 101–111. [Google Scholar] [CrossRef]
- Myers, N.; Mittermeier, R.A.; Mittermeier, C.G.; Da Fonseca, G.A.B.; Kent, J. Biodiversity Hotspots for Conservation Priorities. Nature 2000, 403, 853–858. [Google Scholar] [CrossRef] [PubMed]
- Rezende, C.L.; Scarano, F.R.; Assad, E.D.; Joly, C.A.; Metzger, J.P.; Strassburg, B.B.N.; Tabarelli, M.; Fonseca, G.A.; Mittermeier, R.A. From Hotspot to Hopespot: An Opportunity for the Brazilian Atlantic Forest. Perspect. Ecol. Conserv. 2018, 16, 208–214. [Google Scholar] [CrossRef]
- Lima, R.A.F.; Dauby, G.; De Gasper, A.L.; Fernandez, E.P.; Vibrans, A.C.; De Oliveira, A.A.; Prado, P.I.; Souza, V.C.; De Siqueira, M.F.; Ter Steege, H. Comprehensive Conservation Assessments Reveal High Extinction Risks across Atlantic Forest Trees. Research 2024, 383, 219–225. [Google Scholar] [CrossRef]
- Silva, B.R.F.; Ucella-Filho, J.G.M.; Bispo, P.d.C.; Elera-Gonzales, D.G.; Silva, E.A.; Ferreira, R.L.C. Using Drones for Dendrometric Estimations in Forests a Bibliometric Analysis. Forests 2024, 15, 1993. [Google Scholar] [CrossRef]
- BRASIL. Resolução Conama No 29, de 07 de Dezembro de 1994; Conselho Nacional de Meio Ambiente. Available online: http://conama.mma.gov.br/?option=com_sisconama&task=arquivo.download&id=170 (accessed on 22 August 2023).
- IBGE. Manual Técnico Da Vegetação Brasileira; Instituto Brasileiro de Geografia e Estatística-IBGE: Rio de Janeiro, Brazil, 2012; Volume 1. [Google Scholar]
- ICMBIO. Plano de Manejo Da Floresta Nacional de Pacotuba; ICMBIO: Brasília, Brazil, 2011. Available online: https://www.gov.br/icmbio/pt-br/assuntos/biodiversidade/unidade-de-conservacao/unidades-de-biomas/mata-atlantica/lista-de-ucs/flona-de-pacotuba/arquivos/volume_i_pacotuba_junho_2011.pdf (accessed on 20 September 2023).
- Alvares, C.A.; Stape, J.L.; Sentelhas, P.C.; De Moraes Gonçalves, J.L.; Sparovek, G. Köppen’s Climate Classification Map for Brazil. Meteorol. Z. 2013, 22, 711–728. [Google Scholar] [CrossRef]
- ESPÍRITO SANTO (Estado) Geobases-Sistema Integrado de Bases Geoespaciais Do Estado Do Espírito Santo. Available online: https://www.geobases.es.gov.br/ (accessed on 10 February 2023).
- DECEA DECEA >> Departamento de Controle Do Espaço Aéreo. Available online: https://www.decea.mil.br/ (accessed on 10 January 2023).
- Dandois, J.P.; Olano, M.; Ellis, E.C. Optimal Altitude, Overlap, and Weather Conditions for Computer Vision Uav Estimates of Forest Structure. Remote Sens. 2015, 7, 13895–13920. [Google Scholar] [CrossRef]
- Headwall Photonics HyperSpec III Software 2019. Available online: https://headwallphotonics.com/. (accessed on 20 July 2023).
- Hijmans, R.J.; Bivand, R.; Forner, K.; Ooms, J.; Pebesma, E.; Sumner, M.D. Terra: Spatial Data Analysis 2022. Available online: https://cran.r-project.org/package=terra (accessed on 6 June 2024).
- R Core Team. R: The Project for Statistical Computing. Available online: https://www.r-project.org/ (accessed on 19 December 2022).
- Datt, B. Visible/near Infrared Reflectance and Chlorophyll Content in Eucalyptus Leaves. Int. J. Remote Sens. 1999, 20, 2741–2759. [Google Scholar] [CrossRef]
- Gamon, J.A.; Surfus, J.S. Assessing Leaf Pigment Content and Activity with a Reflectometer. New Phytol. 1999, 143, 105–117. [Google Scholar] [CrossRef]
- Carter, G.A.; Miller, R.L. Early Detection of Plant Stress by Digital Imaging within Narrow Stress-Sensitive Wavebands. Remote Sens Environ. 1994, 50, 295–302. [Google Scholar] [CrossRef]
- Merton, R.N. Multi-Temporal Analysis of Community Scale Vegetation Stress with Imaging Spectroscopy. Ph.D. Thesis, University of Auckland, Auckland, New Zealand, 1999. [Google Scholar]
- Gamon, J.A.; Serrano, L.; Surfus, J.S. The Photochemical Reflectance Index: An Optical Indicator of Photosynthetic Radiation Use Efficiency across Species, Functional Types, and Nutrient Levels. Oecologia 1997, 112, 492–501. [Google Scholar] [CrossRef]
- Blackburn, G.A. Quantifying Chlorophylls and Caroteniods at Leaf and Canopy Scales: An Evaluation of Some Hyperspectral Approaches. Remote Sens Environ. 1998, 66, 273–285. [Google Scholar] [CrossRef]
- Penuelas, J.; Filella, I.; Biel, C.; Serrano, L.; Savé, R. The Reflectance at the 950–970 Nm Region as an Indicator of Plant Water Status. Int. J. Remote Sens. 1993, 14, 1887–1905. [Google Scholar] [CrossRef]
- Gitelson, A.A.; Kaufman, Y.J.; Stark, R.; Rundquist, D. Novel Algorithms for Remote Estimation of Vegetation Fraction. Remote Sens. Environ. 2002, 80, 76–87. [Google Scholar] [CrossRef]
- Jordan, C.F. Derivation of Leaf-Area Index from Quality of Light on the Forest Floor. Ecology 1969, 50, 663–666. [Google Scholar] [CrossRef]
- Huete, A.; Didan, K.; Miura, T.; Rodriguez, E.P.; Gao, X.; Ferreira, L.G. Overview of the Radiometric and Biophysical Performance of the MODIS Vegetation Indices. Remote Sens Environ. 2002, 83, 195–213. [Google Scholar] [CrossRef]
- Penuelas, J.; Frederic, B.; Filella, I. Semi-Empirical Indices to Assess Aarotenoids/Chlorophyll a Ratio from Leaf Spectral Feflectance. Photosynthetica 1995, 31, 221–230. [Google Scholar]
- Kim, M.S. The Use of Narrow Spectral Bands for Improving Remote Sensing Estimations of Fractionally Absorbed Photosynthetically Active Radiation. Master’s Thesis, University of Maryland, College Park, MD, USA, 1994. [Google Scholar]
- Gitelson, A.A.; Keydan, G.P.; Merzlyak, M.N. Three-Band Model for Noninvasive Estimation of Chlorophyll, Carotenoids, and Anthocyanin Contents in Higher Plant Leaves. Geophys. Res. Lett. 2006, 33, L11402. [Google Scholar] [CrossRef]
- Gitelson, A.A.; Zur, Y.; Chivkunova, O.B.; Merzlyak, M.N. Assessing Carotenoid Content in Plant Leaves with Reflectance Spectroscopy¶. Photochem. Photobiol. 2002, 75, 272–281. [Google Scholar] [CrossRef]
- Van Den Berg, A.K.; Perkins, T.D. Nondestructive Estimation of Anthocyanin Content in Autumn Sugar Maple Leaves. HortScience 2005, 40, 685–686. [Google Scholar] [CrossRef]
- Merton, R.; Huntington, J. Early Simulation Results of the Aries-1 Satellite Sensor for Multi-Temporal Vegetation Research Derived from AVIRIS. In Proceedings of the Eighth Annual JPL Airborne Earth Science Workshop, Pasadena, CA, USA, 8–14 February 1999; NASA, Jet Propulsion Laboratory: Pasadena, CA, USA, 1999; pp. 1–10. [Google Scholar]
- Dahlin, K.M.; Asner, G.P.; Field, C.B. Linking Vegetation Patterns to Environmental Gradients and Human Impacts in a Mediterranean-Type Island Ecosystem. Landsc. Ecol. 2014, 29, 1571–1585. [Google Scholar] [CrossRef]
- QGIS Development Team QGIS Geographic Information System 2022. Available online: https://qgis.org/ (accessed on 3 March 2024).
- Badourdine, C.; Féret, J.-B.; Pélissier, R.; Vincent, G. Exploring the Link between Spectral Variance and Upper Canopy Taxonomic Diversity in a Tropical Forest: Influence of Spectral Processind and Feature Selection. Remote Sens. Ecol. Conserv. 2023, 9, 235–250. [Google Scholar] [CrossRef]
- Féret, J.-B.; Boissieu, F. BiodivMapR: An r Package for A- and Β-diversity Mapping Using Remotely Sensed Images. Methods Ecol. Evol. 2020, 11, 64–70. [Google Scholar] [CrossRef]
- Nagendra, H.; Rocchini, D.; Ghate, R.; Sharma, B.; Pareeth, S. Assessing Plant Diversity in a Dry Tropical Forest: Comparing the Utility of Landsat and Ikonos Satellite Images. Remote Sens. 2010, 2, 478–496. [Google Scholar] [CrossRef]
- Rocchini, D.; Balkenhol, N.; Carter, G.A.; Foody, G.M.; Gillespie, T.W.; He, K.S.; Kark, S.; Levin, N.; Lucas, K.; Luoto, M.; et al. Remotely Sensed Spectral Heterogeneity as a Proxy of Species Diversity: Recent Advances and Open Challenges. Ecol. Inform. 2010, 5, 318–329. [Google Scholar] [CrossRef]
- Warren, S.D.; Alt, M.; Olson, K.D.; Irl, S.D.H.; Steinbauer, M.J.; Jentsch, A. The Relationship between the Spectral Diversity of Satellite Imagery, Habitat Heterogeneity, and Plant Species Richness. Ecol. Inform. 2014, 24, 160–168. [Google Scholar] [CrossRef]
- Helfenstein, I.S.; Schneider, F.D.; Schepman, M.E.; Morsdorf, F. Assessing Biodiversity from Space: Impact of Spatial and Spectral Resolution on Trait-Based Functional Diversity. Remote Sens Environ. 2022, 275, 113024. [Google Scholar] [CrossRef]
- Olmo, V.; Bacaro, G.; Sigura, M.; Alberti, G.; Castello, M.; Rochhini, D.; Petruzzellis, F. Mind the Gaps: Horizontal Canopy Structure Affects Therelationship between Taxonomic and Spectral Diversity. Int. J. Remote Sens. 2024, 45, 2833–2864. [Google Scholar] [CrossRef]
- Lumley, T. Package “Leaps”: Regression Subset Selection [R Package] 2022. Available online: https://cran.r-project.org/web/packages/leaps/leaps.pdf (accessed on 10 March 2024).
- Hall, K.; Johansson, L.J.; Sykes, M.T.; Reitalu, T.; Larsson, K.; Prentice, H.C. Inventorying Management Status and Plant Species Richness in Seminatural Grasslands Using High Spatial Resolution Imagery. Appl. Veg. Sci. 2010, 13, 221–233. [Google Scholar] [CrossRef]
- Wang, R.; Gamon, J.A.; Emmerton, C.A.; Li, H.; Nestola, E.; Pastorello, G.Z.; Menzer, O. Integrated Analysis of Productivity and Biodiversity in a Southern Alberta Prairie. Remote Sens. 2016, 8, 214. [Google Scholar] [CrossRef]
- Féret, J.B.; Asner, G.P. Mapping Tropical Forest Canopy Diversity Using High-Fidelity Imaging Spectroscopy. Ecol. Appl. 2014, 24, 1289–1296. [Google Scholar] [CrossRef]
- Ustin, S.L.; Gitelson, A.A.; Jacquemoud, S.; Schaepman, M.; Asner, G.P.; Gamon, J.A.; Zarco-Tejada, P. Retrieval of Foliar Information about Plant Pigment Systems from High Resolution Spectroscopy. Remote Sens Environ. 2009, 113, S67–S77. [Google Scholar] [CrossRef]
- Crofts, A.L.; Wallis, C.I.B.; St-Jean, S.; Demers-Thibeault, S.; Inamdar, D.; Arroyo-Mora, J.P.; Kalacska, M.; Laliberté, E.; Vellend, M. Linking Aerial Hyperspectral Data to Canopy Tree Biodiversity: An Examination of the Spectral Variation Hypothesis. Ecol. Monogr. 2024, 94, e1605. [Google Scholar] [CrossRef]
- Laurin, G.V.; Chan, J.C.-W.; Chen, Q.; Lindsell, J.A.; Coomes, D.A.; Guerriero, L.; Del Frate, F.; Miglietta, F.; Valentini, R. Biodiversity Mapping in a Tropical West African Forest with Airborne Hyperspectral Data. PLoS ONE 2014, 9, e97910. [Google Scholar] [CrossRef]
- Wang, D.; Qiu, P.; Wan, B.; Cao, Z.; Zhang, Q. Mapping α- and β-Diversity of Mangrove Forests with Multispectral and Hyperspectral Images. Remote Sens Environ. 2022, 275, 113021. [Google Scholar] [CrossRef]
- Torresani, M.; Rocchini, D.; Sonnenschein, R.; Zebisch, M.; Hauffe, H.C.; Heym, M.; Pretzsch, H.; Tonon, G. Height Variation Hypothesis: A New Approach for Estimating Forest Species Diversity with CHM LiDAR Data. Ecol. Indic. 2020, 117, 106520. [Google Scholar] [CrossRef]
- Gould, W. Remote Sensing of Vegetation, Plant Species Richness, and Regional Biodiversity Hotspots. Ecol. Appl. 2000, 10, 1861–1870. [Google Scholar] [CrossRef]
- Zhao, Y.; Zeng, Y.; Zheng, Z.; Dong, W.; Zhao, D.; Wu, B.; Zhao, Q. Forest Species Diversity Mapping Using Airborne LiDAR and Hyperspectral Data in a Subtropical Forest in China. Remote Sens Environ. 2018, 213, 104–114. [Google Scholar] [CrossRef]
- Jha, C.S.; Singhal, J.; Reddy, C.S.; Rajashekar, G.; Maity, S.; Patnaik, C.; Das, A.; Misra, A.; Singh, C.P.; Mohapatra, J.; et al. Characterization of Species Diversity and Forest Health Using AVIRIS-NG Hyperspectral Remote Sensing Data. Curr. Sci. 2019, 116, 1124–1135. [Google Scholar] [CrossRef]
- Wang, R.; Gamon, J.A. Remote Sensing of Terrestrial Plant Biodiversity. Remote Sens Environ. 2019, 231, 111218. [Google Scholar] [CrossRef]
- Clark, M.L.; Roberts, D.A.; Clark, D.B. Hyperspectral Discrimination of Tropical Rain Forest Tree Species at Leaf to Crown Scales. Remote Sens Environ. 2005, 96, 375–398. [Google Scholar] [CrossRef]
- Liu, X.; Frey, J.; Munteanu, C.; Still, N.; Koch, B. Mapping Tree Species Diversity in Temperate Montane Forests Using Sentine-1 and Sentinel-2 Imagery and Topography Data. Remote Sens. Environ. 2023, 292, 113576. [Google Scholar] [CrossRef]
- Paz-Kagan, T.; Chang, J.G.; Shoshany, M.; Sternberg, M.; Karnieli, A. Assessment of Plant Species Distribution and Diversity along a Climatic Gradient from Mediterranean Woodlands to Semi-Arid Shrublands. Gisci. Remote Sens. 2021, 58, 929–953. [Google Scholar] [CrossRef]
- Ferreira, M.P. Detecção de Espécies Arbóreas Em Floresta Estacional Semidecual Por Sensoriamento Remoto Hiperespectral e Modelagem de Transferência Radiativa. Ph.D. Thesis, Instituto Nacional de Pesquisas Espaciais-INPE, São José dos Campos, Brazil, 2017. [Google Scholar]
- Asner, G.P.; Martin, R.E.; Carranza-Jiménez, L.; Sinca, F.; Tupayachi, R.; Anderson, C.B.; Martinez, P. Functional and Biological Iversity of Foliar Spectra in Tree Canopies throughout the Andes to Amazon Region. New Phytol. 2014, 204, 127–139. [Google Scholar] [CrossRef] [PubMed]
- Fyllas, N.M.; Patino, S.; Baker, T.R.; Nardoto, G.B.; Martinelli, L.A.; Quesada, C.A.; Paiva, R.; Schwarz, M.; Horna, V.; Mercado, L.M.; et al. Basin-Wide Variations in Foliar Properties of Amazonian Forest Phylogny, Soils and Climate. Biogeosciences 2009, 6, 2677–2708. [Google Scholar] [CrossRef]
- Jetz, W.; Cavender-Bares, J.; Pavlick, R.; Schimel, D.; Davis, F.W.; Asner, G.P.; Uralnick, R.; Kattege, J.; Latimer, A.M.; Moorcroft, P.; et al. Monitoring Plant Functional Diversity from Space. Nat. Plants 2016, 2, 16024. [Google Scholar] [CrossRef] [PubMed]
- Asner, G.P. Biophysical and Biochemical Sources of Variability in Canopy Reflectance. Remote Sens Environ. 1998, 64, 234–253. [Google Scholar] [CrossRef]
- Asner, G.P.; Martin, R.E. Spectral and Chemical Analysis of Tropical Forests: Scaling from Leaf to Canopy Levels. Remote Sens Environ. 2008, 112, 3958–3970. [Google Scholar] [CrossRef]
- Asner, G.P.; Martin, R.E.; Anderson, C.B.; Knapp, D.E. Quantifying Forest Canopy Traits: Imaging Spectroscopy versus Field Survey. Remote Sens Environ. 2015, 158, 15–27. [Google Scholar] [CrossRef]
- Cavender-Bares, J.; Gamon, J.A.; Townsend, P.A. Remote Sensing of Plant Biodiversity; Cavender-Bares, J., Gamon, J.A., Townsend, P.A., Eds.; Springer Open: Berlin/Heidelberg, Germany, 2020. [Google Scholar]
- Moreira, M.A. Fundamentos Do Sensoriamento Remoto e Metodologias de Aplicação, 4th ed.; Editora UFV: Viçosa, Brazil, 2011. [Google Scholar]
- Colgan, M.S.; Baldeck, C.A.; Féret, J.-B.; Asner, G.P. Mapping Savanna Tree Species at Ecosystem Scales Using Support Vector Machine Classification and BRDF Correction on Airborne Hyperspectral and LiDAR Data. Remote Sens. 2012, 4, 3462–3480. [Google Scholar] [CrossRef]
- Fassnacht, F.E.; Latifi, H.; Stereńczak, K.; Modzelewska, A.; Lefsky, M.; Waser, L.T.; Straub, C.; Ghosh, A. Review of Studies on Tree Species Classification from Remotely Sensed Data. Remote Sens Environ. 2016, 186, 64–87. [Google Scholar] [CrossRef]
- Rocchini, D.; Boyd, D.S.; Féret, J.B.; Foody, G.M.; He, K.S.; Lausch, A.; Nagendra, H.; Wegmann, M.; Pettorelli, N. Satellite Remote Sensing to Monitor Species Diversity: Potential and Pitfalls. Remote Sens. Ecol. Conserv. 2016, 2, 25–36. [Google Scholar] [CrossRef]
- Torresani, M.; Rocchini, D.; Sonnenschein, R.; Zebisch, M.; Marcantonio, M.; Ricotta, C.; Tonon, G. Estimating Tree Species Diversity from Space in an Alpine Conifer Forest: The Rao’s Q Diversity Index Meets the Spectral Variation Hypothesis. Ecol. Inform. 2019, 52, 26–34. [Google Scholar] [CrossRef]
- Hall, K.; Reitalu, T.; Sykes, M.T.; Prentice, H.C. Spectral Heterogeneity of QuickBird Satellite Data Is Related to Fine-Scale Plant Species Spatial Turnover in Semi-Natural Grasslands. Appl. Veg. Sci. 2012, 15, 145–157. [Google Scholar] [CrossRef]
- Morsdorf, F.; Frey, O.; Meier, E.; Itten, K.I.; Allgöwer, B. Assessment of the Influence of Flying Altitude and Scan Angle on Biophysical Vegetation Products Derived from Airborne Laser Scanning. Int. J. Remote Sens. 2008, 29, 1387–1406. [Google Scholar] [CrossRef]
- Chen, Y.; Wen, D.; Jing, L.; Shi, P. Shadow Information Recovery in Urban Areas from Very High Resolution Satellite Imagery. Int. J. Remote Sens. 2007, 28, 3249–3254. [Google Scholar] [CrossRef]
- Clark, M.L.; Roberts, D.A. Species-Level Differences in Hyperspectral Metrics among Tropical Rainforest Trees as Determined by a Tree-Based Classifier. Remote Sens. 2012, 4, 1820–1855. [Google Scholar] [CrossRef]
- Féret, J.B.; Asner, G.P. Tree Species Discrimination in Tropical Forests Using Airborne Imaging Spectroscopy. IEEE Trans. Geosci. Remote Sens. 2013, 51, 73–84. [Google Scholar] [CrossRef]
- Oindo, B.O.; Skidmore, A.K. Interannual Variability of NDVI and Species Richness in Kenya. Int. J. Remote Sens. 2002, 23, 285–298. [Google Scholar] [CrossRef]
- Waser, L.T.; Stofer, S.; Schwarz, M.; Küchler, M.; Ivits, E.; Scheidegger, C. Prediction of Biodiversity–Regression of Lichen Species Richness on Remote Sensing Data. Community Ecol. 2004, 5, 121–133. [Google Scholar] [CrossRef]
- Parviainen, M.; Luoto, M.; Heikkinen, R.K. NDVI-Based Productivity and Heterogeneity as Indicators of Plant-Species Richness in Boreal Landscapes. Boreal Environ. Res. 2010, 15, 301–318. [Google Scholar]
- Madonsela, S.; Cho, M.A.; Ramoelo, A.; Mutanga, O. Remote Sensing of Species Diversity Using Landsat 8 Spectral Variables. ISPRS J. Photogramm. Remote Sens. 2017, 133, 116–127. [Google Scholar] [CrossRef]
- Gillespie, T.W. Predicting Woody-Plant Species Richness in Tropical Dry Forests: A Case Study from South Florida, USA. Ecol. Appl. 2005, 15, 27–37. [Google Scholar] [CrossRef]
- Xi, Y.; Zhang, W.; Brandt, M.; Tian, Q.; Fensholt, R. Mapping Tree Species Diversity of Temperate Forests Using Multi-Temporal Sentinel-1 and -2 Imagery. Sci. Remote Sens. 2023, 8, 100094. [Google Scholar] [CrossRef]
- Huete, A.R.; Liu, H.Q.; Batchily, K.; Van Leeuwen, W. A Comparison of Vegetation Indices over a Global Set of TM Images for EOS-MODIS. Remote Sens Environ. 1997, 59, 440–451. [Google Scholar] [CrossRef]
- Zeng, Y.; Hao, D.; Huete, A.; Dechant, B.; Berry, J.; Chen, J.M.; Joiner, J.; Frankenberg, C.; Bond-Lamberty, B.; Ryu, Y.; et al. Optical Vegetation Indices for Monitoring Terrestrial Ecosystems Globally. Nat. Rev. Earth Environ. 2022, 3, 447–493. [Google Scholar] [CrossRef]
- Asner, G.P.; Martin, R.E. Airborne Spectranomics: Mapping Canopy Chemical and Taxonomic Diversity in Tropical Forests. Front. Ecol. Environ. 2009, 7, 269–276. [Google Scholar] [CrossRef]
- Haboudane, D.; Miller, J.R.; Pattey, E.; Zarco-Tejada, P.J.; Strachan, I.B. Hyperspectral Vegetation Indices and Novel Algorithms for Predicting Green LAI of Crop Canopies: Modeling and Validation in the Context of Precision Agriculture. Remote Sens Environ. 2004, 90, 337–352. [Google Scholar] [CrossRef]
- Rocchini, D.; Chiarucci, A.; Loiselle, S.A. Testing the Spectral Variation Hypothesis by Using Satellite Multispectral Images. Acta Oecologica 2004, 26, 117–120. [Google Scholar] [CrossRef]
- Ming, L.; Liu, J.; Quan, Y.; Li, M.; Wang, B.; Wei, G. Mapping Tree Species Diversity in a Typical Natural Secondary Forest by Combining Multispectral and LiDAR Data. Ecol. Indic. 2024, 159, 111711. [Google Scholar] [CrossRef]
- Madonsela, S.; Cho, M.A.; Ramoelo, A.; Mutanga, O. Investigating the Relationship between Tree Species Diversity and Landsat-8 Specrtral Heterogeneity across Multiple Pehonological Stages. Remote Sens. 2021, 13, 2467. [Google Scholar] [CrossRef]






| Statistics | H (m) | BA (m2 ha−1) | Richness | Shannon | Simpson |
|---|---|---|---|---|---|
| Mean | 8.31 | 16.70 | 20.20 | 1.37 | 0.56 |
| Standard deviation | 2.53 | 14.63 | 14.61 | 0.58 | 0.20 |
| Coefficient of variation | 0.30 | 0.88 | 0.72 | 0.43 | 0.36 |
| Minimum | 4.64 | 0.62 | 3.00 | 0.20 | 0.08 |
| Maximum | 12.21 | 46.07 | 58.00 | 2.26 | 0.77 |
| Median | 8.41 | 12.42 | 15.00 | 1.44 | 0.64 |
| Code | Index | Equation | Reference |
|---|---|---|---|
| C1 | Chlorophyll Index 1 | (ρ850 − ρ710)/(ρ850 + ρ680) | [51] |
| C2 | Chlorophyll Index 2 | ρ750/ρ700 | [51] |
| AC1I | Anthocyanin Content Index 1 | sum(ρ600/ρ700)/sum(ρ500/ρ600) | [52] |
| AC2I | Anthocyanin Content Index 2 | ρ650/ρ550 | [52] |
| PSI | Plant Stress Index | ρ695/ρ760 | [53] |
| SL | Slope of Red Edge | (ρ740 − ρ690)/(N740 − 690) | [54] |
| NDVI | Normalized Difference Vegetation Index | (ρ830 − ρ674)/(ρ830 + ρ674) | [14] |
| PRI | Photochemical Reflectance Index | (ρ529 − ρ570)/(ρ529 + ρ570) | [55] |
| MEAN | Mean Reflectance Between 690 and 740 nm | Σi = 690 to 740 Pi/N | [54] |
| MEDIAN | Median Reflectance Between 690 and 740 nm | median Σi = 690 to 740 Pi | [54] |
| RVSI | Red-Edge Vegetation Stress Index | (ρ714 + ρ752)/2 − ρ733 | [54] |
| R1 | Ratio Vegetation Stress Index | ρ694/ρ760 | [53] |
| R2 | Ratio Vegetation Stress Index | ρ600/ρ700 | [53] |
| R3 | Ratio Vegetation Stress Index | ρ710/ρ760 | [53] |
| PSSR1 | Pigment Specific Simple Ratio 1 | ρ800/ρ680 | [56] |
| PSSR2 | Pigment Specific Simple Ratio 2 | ρ800/ρ550 | [56] |
| WBI | Water Band Index | ρ970/ρ900 | [57] |
| VARI | Vegetation Atmospherically Resistant Index | (ρ557 − ρ643)/(ρ557 + ρ643 − ρ465) | [58] |
| SR | Simple Ratio | ρ800/ρ680 | [59] |
| NDVI2 | Normalized Difference Vegetation Index 2 | (ρ800 − ρ670)/(ρ800 + ρ670) | [14] |
| EVI | Enhanced Vegetation Index | 2.5 × (ρ897 − ρ673)/(ρ897 + 6 × ρ673 − 7.5 × ρ474 + 1) | [60] |
| SIPI | Structurally Insensitive Pigment Index | (ρ800 − ρ445)/(ρ800 + ρ680) | [61] |
| CARI | Chlorophyll Absorption in Reflectance Index | (ρ700 − ρ670) − 0.2 × (ρ700 − ρ550) | [62] |
| CI.rededge | Chlorophyll Red Edge | ρ851/ρ710 | [63] |
| CI.green | Chlorophyll Green | ρ730/ρ531-1 | [63] |
| mARI | Modified Anthocyanin Reflectance Index | (1/ρ531) − (1/ρ701) | [63] |
| ACI | Anthocyanin Content Index | (ρ531 − ρ571)/(ρ531 + ρ571) | [55] |
| CRI | Carotenoid Reflectance Index | ρ511/ρ571 | [64] |
| PR1 | Photochemical Reflectance Index 1 | ρ529/ρ570 | [65] |
| RVSI2 | Red-Edge Vegetation Stress Index | (ρ712 + ρ753)/2 − ρ733 | [66] |
| Pixel (m) | Mask | Shannon | r | Simpson | r | Richness | r |
|---|---|---|---|---|---|---|---|
| 1 | yes | CV MEAN | 0.87 | CV 726.7 nm | 0.83 | SD 742.3 nm | 0.91 |
| 5 | yes | CV 717.8 nm | 0.86 | CV 717.8 nm | 0.78 | SD 933.4 nm | 0.91 |
| 10 | yes | CV 722.3 nm | 0.76 | CV 722.3 nm | 0.72 | SD 755.6 nm | 0.84 |
| 1 | no | SD C2 | 0.85 | CV 442.3 nm | 0.79 | SD 762.3 nm | 0.90 |
| 5 | no | SD 715.2 nm | 0.69 | SD 757.8 nm | 0.61 | SD 931.1 nm | 0.75 |
| 10 | no | SD 757.8 nm | 0.63 | SD 757.8 nm | 0.55 | SD 955.6 nm | 0.73 |
| Pixel (m) | Shannon | r | Simpson | r | Richness | r |
|---|---|---|---|---|---|---|
| 1 | CV MEAN | 0.87 | CV MEAN | 0.79 | CV MEAN | 0.90 |
| CV MEDI | 0.86 | CV RVSI2 | 0.79 | CV MEDI | 0.90 | |
| CV RVSI2 | 0.83 | CV MEDI | 0.77 | SD PRI | 0.88 | |
| SD mARI | 0.78 | SD C2 | 0.73 | SD PRI2 | 0.88 | |
| SDCRI | 0.77 | SD PSSR2 | 0.65 | SD mARI | 0.87 | |
| CV CI.green | −0.86 | CV CI.green | −0.79 | CV CI.green | −0.87 | |
| CV PRI | −0.78 | CV CI.rededge | −0.70 | CV PRI | −0.83 | |
| CV PRI2 | −0.78 | CV PRI | −0.67 | CV PRI2 | −0.83 | |
| CV CI.rededge | −0.73 | CV PRI2 | −0.67 | SD NDVI | −0.70 | |
| SD NDVI2 | −0.63 | CV ACI | −0.53 | SD NDVI2 | −0.70 | |
| 5 | CV MEAN | 0.78 | CV RVSI2 | 0.71 | CV MEDI | 0.82 |
| CV MEDI | 0.78 | CV MEAN | 0.70 | SD PRI | 0.81 | |
| CV RVSI2 | 0.77 | CV MEDI | 0.70 | SD PRI2 | 0.81 | |
| SD RVSI2 | 0.76 | CV CARI | 0.70 | CV MEAN | 0.81 | |
| CV CARI | 0.76 | SD RVSI2 | 0.67 | SD RVSI2 | 0.80 | |
| CV CI.green | −0.77 | CV CI.green | −0.70 | CV CI.green | −0.79 | |
| CV CI.rededge | −0.71 | CV CI.rededge | −0.67 | CV PRI | −0.79 | |
| CV PRI | −0.68 | CV ACI | −0.60 | CV PRI2 | −0.79 | |
| CV PRI2 | −0.68 | CV PRI | −0.55 | CV CI.rededge | −0.68 | |
| CV ACI | −0.60 | CV PRI2 | −0.55 | SD NDVI2 | −0.61 | |
| 10 | SD RVSI2 | 0.64 | CV CARI | 0.58 | SD ACI | 0.74 |
| CV CARI | 0.63 | SD RVSI2 | 0.55 | SD PRI | 0.74 | |
| SD PRI | 0.63 | CV MEDI | 0.55 | SD PRI2 | 0.74 | |
| SD PRI2 | 0.63 | CV RVSI2 | 0.55 | SD RVSI2 | 0.73 | |
| SD ACI | 0.62 | CV MEAN | 0.54 | SD CI.rededge | 0.72 | |
| CV PRI | −0.63 | CV CI.green | −0.54 | CV PRI | −0.69 | |
| CV PRI2 | −0.63 | CV PRI | −0.52 | CV PRI2 | −0.69 | |
| CV CI.green | −0.57 | CV PRI2 | −0.52 | CV CI.green | −0.54 | |
| CV CI.rededge | −0.50 | CV CI.rededge | −0.48 | CV NDVI | −0.50 | |
| CV SIPI | −0.49 | CV SIPI | −0.47 | CV NDVI2 | −0.50 |
| Pixel (m) | Shannon | r | Simpson | r | Richness | r |
|---|---|---|---|---|---|---|
| 1 | SD C2 | 0.85 | SD C2 | 0.78 | SD PRI | 0.83 |
| SD PSSR2 | 0.83 | SD PSSR2 | 0.75 | SD PRI2 | 0.83 | |
| SD PRI | 0.82 | SD PRI | 0.73 | SD C2 | 0.81 | |
| SD PRI2 | 0.82 | SD PRI2 | 0.73 | SD CRI | 0.81 | |
| SD SR | 0.80 | SD PSSR1 | 0.73 | SD PSSR2 | 0.79 | |
| CV PRI | −0.70 | CV PRI | −0.61 | SD NDVI | −0.69 | |
| CV PRI2 | −0.70 | CV PRI2 | −0.61 | SD NDVI2 | −0.69 | |
| SD NDVI2 | −0.62 | CV CI.green | −0.58 | SD PSI | −0.68 | |
| SD NDVI | −0.62 | SD ACI2 | −0.52 | CV NDVI | −0.68 | |
| SD PSI | −0.61 | SD NDVI2 | −0.52 | CV NDVI2 | −0.68 | |
| 5 | SD C2 | 0.66 | SD C2 | 0.58 | SD ACI | 0.69 |
| SD PSSR2 | 0.65 | SD PSSR2 | 0.57 | SD RVSI2 | 0.68 | |
| SD PRI | 0.65 | SD RVSI2 | 0.56 | SD CI.rededge | 0.68 | |
| SD PRI2 | 0.65 | SD CI.rededge | 0.56 | SD PRI | 0.67 | |
| SD CRI | 0.65 | SD PRI | 0.55 | SD PRI2 | 0.67 | |
| CV PRI | −0.59 | CV CI.green | −0.51 | CV PRI | −0.59 | |
| CV PRI2 | −0.59 | CV PRI | −0.49 | CV PRI2 | −0.59 | |
| CV CI.green | −0.56 | CV PRI2 | −0.49 | CV NDVI2 | −0.57 | |
| CV CI.rededge | −0.50 | CV CI.rededge | −0.47 | SD PSI | −0.57 | |
| SD PSI | −0.49 | SD SIPI | −0.41 | CV NDVI | −0.57 | |
| 10 | SD ACI | 0.61 | SD RVSI2 | 0.52 | SD ACI | 0.71 |
| SD PRI | 0.60 | SD CI.rededge | 0.50 | SD PRI | 0.69 | |
| SD PRI2 | 0.60 | SD ACI | 0.50 | SD PRI2 | 0.69 | |
| SD CI.rededge | 0.59 | SD PRI | 0.49 | SD CI.rededge | 0.67 | |
| SD RVSI2 | 0.59 | SD PRI2 | 0.49 | SD RVSI2 | 0.65 | |
| CV PRI | −0.60 | CV PRI | −0.49 | CV PRI | −0.63 | |
| CV PRI2 | −0.60 | CV PRI2 | −0.49 | CV PRI2 | −0.63 | |
| SD R1 | −0.43 | SD R1 | −0.37 | SD NDVI | −0.53 | |
| SD PSI | −0.43 | SD PSI | −0.36 | SD R1 | −0.53 | |
| SD NDVI2 | −0.42 | CV SIPI | −0.34 | SD NDVI2 | −0.53 |
Disclaimer/Publisher’s Note: The statements, opinions and data contained in all publications are solely those of the individual author(s) and contributor(s) and not of MDPI and/or the editor(s). MDPI and/or the editor(s) disclaim responsibility for any injury to people or property resulting from any ideas, methods, instructions or products referred to in the content. |
© 2024 by the authors. Licensee MDPI, Basel, Switzerland. This article is an open access article distributed under the terms and conditions of the Creative Commons Attribution (CC BY) license (https://creativecommons.org/licenses/by/4.0/).
Share and Cite
Pinon, T.B.M.; Mendonça, A.R.d.; Silva, G.F.d.; Effgen, E.M.; Rodrigues, N.M.M.; Fernandes, M.M.; Sansevero, J.B.B.; Almeida, C.T.d.; Dias, H.M.; Gonçalves, F.G.; et al. Biodiversity from the Sky: Testing the Spectral Variation Hypothesis in the Brazilian Atlantic Forest. Remote Sens. 2024, 16, 4363. https://doi.org/10.3390/rs16234363
Pinon TBM, Mendonça ARd, Silva GFd, Effgen EM, Rodrigues NMM, Fernandes MM, Sansevero JBB, Almeida CTd, Dias HM, Gonçalves FG, et al. Biodiversity from the Sky: Testing the Spectral Variation Hypothesis in the Brazilian Atlantic Forest. Remote Sensing. 2024; 16(23):4363. https://doi.org/10.3390/rs16234363
Chicago/Turabian StylePinon, Tobias Baruc Moreira, Adriano Ribeiro de Mendonça, Gilson Fernandes da Silva, Emanuel Maretto Effgen, Nívea Maria Mafra Rodrigues, Milton Marques Fernandes, Jerônimo Boelsums Barreto Sansevero, Catherine Torres de Almeida, Henrique Machado Dias, Fabio Guimarães Gonçalves, and et al. 2024. "Biodiversity from the Sky: Testing the Spectral Variation Hypothesis in the Brazilian Atlantic Forest" Remote Sensing 16, no. 23: 4363. https://doi.org/10.3390/rs16234363
APA StylePinon, T. B. M., Mendonça, A. R. d., Silva, G. F. d., Effgen, E. M., Rodrigues, N. M. M., Fernandes, M. M., Sansevero, J. B. B., Almeida, C. T. d., Dias, H. M., Gonçalves, F. G., & Almeida, A. Q. d. (2024). Biodiversity from the Sky: Testing the Spectral Variation Hypothesis in the Brazilian Atlantic Forest. Remote Sensing, 16(23), 4363. https://doi.org/10.3390/rs16234363

