Optimizing Circular MIMO Array Imaging Using Partial Equivalent Method for Sidelobe Suppression
Abstract
1. Introduction
2. Circular MIMO Imaging
2.1. Circular MIMO Array Imaging Configuration
2.2. The Wavenumber Spectrum of Circular MIMO Array
3. Methods for SLL Reduction in Circular MIMO Imaging
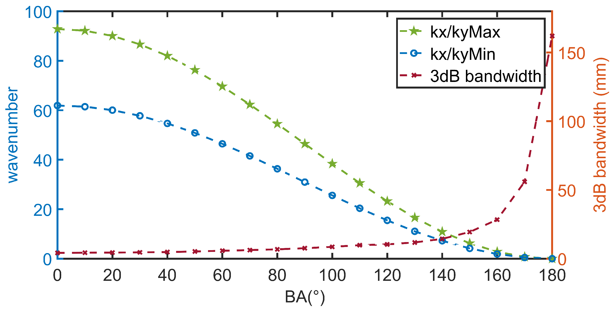
3.1. Analysis of the PSF of the Bistatic Circular Array
3.2. Partial Equivalent Method for Sidelobe Reduction
4. Experimental Results and Analysis
4.1. EM Simulation Results
4.2. Experimental Result
5. Conclusions
Author Contributions
Funding
Data Availability Statement
Conflicts of Interest
References
- Brancaccio, A.; Palladino, S. Contactless X-Band Detection of Steel Bars in Cement: A Preliminary Numerical and Experimental Analysis. Remote Sens. 2024, 16, 2037. [Google Scholar] [CrossRef]
- Abou-Khousa, M.A.; Rahman, M.S.U.; Donnell, K.M.; Al Qaseer, M.T. Detection of surface cracks in metals using microwave and millimeter-wave nondestructive testing techniques—A review. IEEE Trans. Instrum. Meas. 2023, 72, 1–18. [Google Scholar] [CrossRef]
- Paun, M. Through-Wall Imaging Using Low-Cost Frequency-Modulated Continuous Wave Radar Sensors. Remote Sens. 2024, 16, 1426. [Google Scholar] [CrossRef]
- Wang, C.; Zhu, D.; Sun, L.; Han, C.; Guo, J. Real-Time Through-Wall Multiperson 3D Pose Estimation Based on MIMO Radar. IEEE Trans. Instrum. Meas. 2024, 73. [Google Scholar]
- Zhang, Q.; Sun, J.; Wang, Y.; Lin, Y. A Sidelobe Suppression Method for Circular Ground-Based SAR 3D Imaging Based on Sparse Optimization of Radial Phase-Center Distribution. Remote Sens. 2022, 14, 3248. [Google Scholar] [CrossRef]
- Wang, Y.; Hong, W.; Zhang, Y.; Lin, Y.; Li, Y.; Bai, Z.; Zhang, Q.; Lv, S.; Liu, H.; Song, Y. Ground-based differential interferometry SAR: A review. IEEE Geosci. Remote Sens. Mag. 2020, 8, 43–70. [Google Scholar] [CrossRef]
- Li, S.; Wu, S. Low-cost millimeter wave frequency scanning based synthesis aperture imaging system for concealed weapon detection. IEEE Trans. Microw. Theory Tech. 2022, 70, 3688–3699. [Google Scholar] [CrossRef]
- Ahmed, S.S. Microwave imaging in security—Two decades of innovation. IEEE J. Microwaves 2021, 1, 191–201. [Google Scholar] [CrossRef]
- Sheen, D.; McMakin, D.; Hall, T. Near-field three-dimensional radar imaging techniques and applications. Appl. Opt. 2010, 49, E83–E93. [Google Scholar] [CrossRef]
- Yanik, M.E.; Torlak, M. Near-field MIMO-SAR millimeter-wave imaging with sparsely sampled aperture data. IEEE Access 2019, 7, 31801–31819. [Google Scholar] [CrossRef]
- Wang, X.; Guo, Y.; Wen, F.; He, J.; Truong, T.K. EMVS-MIMO radar with sparse Rx geometry: Tensor modeling and 2D direction finding. IEEE Trans. Aerosp. Electron. Syst. 2023, 59, 8062–8075. [Google Scholar] [CrossRef]
- Ahmed, S.S.; Genghammer, A.; Schiessl, A.; Schmidt, L.P. Fully Electronic E-Band Personnel Imager of 2 m2 Aperture Based on a Multistatic Architecture. IEEE Trans. Microw. Theory Tech. 2012, 61, 651–657. [Google Scholar] [CrossRef]
- Lin, B.; Yuan, Y.; Ji, Y.; Li, C.; Liu, X.; Fang, G. 3-D Millimeter Wave Fast Imaging Technique Based on 2-D SISO/MIMO Array. Remote Sens. 2023, 15, 4834. [Google Scholar] [CrossRef]
- Zhou, Y.; Yu, J.; Pan, L.; Wang, Y.; Cao, Q. 3D MIMO imaging architecture for walk through personnel security screening. IET Microwaves Antennas Propag. 2018, 12, 2206–2212. [Google Scholar] [CrossRef]
- Tian, X.; Guo, Q.; Wang, Z.; Chang, T.; Cui, H.L. Pragmatic approach to phase self-calibration for planar array millimeter-wave MIMO imaging. IEEE Trans. Instrum. Meas. 2020, 70, 1–11. [Google Scholar] [CrossRef]
- Sheen, D.M.; Clark, R.T. Microwave imaging of a walking person using vertical linear arrays. In Proceedings of the Passive and Active Millimeter-Wave Imaging XXV, Orlando, FL, USA, 3 April–13 June 2022; SPIE: Bellingham, DC, USA, 2022; Volume 12111, pp. 102–113. [Google Scholar]
- Gui, S.; Yang, Y.; Li, J.; Zuo, F.; Pi, Y. THz radar security screening method for walking human torso with multi-angle synthetic aperture. IEEE Sens. J. 2021, 21, 17962–17972. [Google Scholar] [CrossRef]
- Wu, S.; Wang, H.; Li, C.; Liu, X.; Fang, G. A modified Omega-K algorithm for near-field single-frequency MIMO-arc-array-based azimuth imaging. IEEE Trans. Antennas Propag. 2021, 69, 4909–4922. [Google Scholar] [CrossRef]
- Zeng, Z.; Antoniou, M.; Zhang, Q.; Hui, M.; Cherniakov, M. Multi-perspective GNSS-based passive BSAR: Preliminary experimental results. In Proceedings of the 2013 14th International Radar Symposium (IRS), Dresden, Germany, 19–21 June 2013; Volume 1, pp. 467–472. [Google Scholar]
- Naghibi, A.; Attari, A.R. Near-field radar-based microwave imaging for breast cancer detection: A study on resolution and image quality. IEEE Trans. Antennas Propag. 2020, 69, 1670–1680. [Google Scholar] [CrossRef]
- Gezimati, M.; Singh, G. Curved synthetic aperture radar for near-field terahertz imaging. IEEE Photonics J. 2023, 15, 1–13. [Google Scholar] [CrossRef]
- Smith, B.H. An analytic nonlinear approach to sidelobe reduction. IEEE Trans. Image Process. 2001, 10, 1162–1168. [Google Scholar] [CrossRef]
- Ding, Z.; Zhu, K.; Wang, Y.; Li, L.; Liu, M.; Zeng, T. Spatially variant sidelobe suppression for linear array mimo sar 3-D imaging. IEEE Trans. Geosci. Remote Sens. 2022, 60, 1–15. [Google Scholar] [CrossRef]
- Zhu, R.; Zhou, J.; Fu, Q.; Jiang, G. Spatially variant apodization for grating and sidelobe suppression in near-range MIMO array imaging. IEEE Trans. Microw. Theory Tech. 2020, 68, 4662–4671. [Google Scholar] [CrossRef]
- Tan, K.; Wu, S.; Wang, Y.; Ye, S.; Chen, J.; Liu, X.; Fang, G.; Yan, S. On sparse MIMO planar array topology optimization for UWB near-field high-resolution imaging. IEEE Trans. Antennas Propag. 2016, 65, 989–994. [Google Scholar] [CrossRef]
- Santi, F.; Antoniou, M.; Pastina, D. Point spread function analysis for GNSS-based multistatic SAR. IEEE Geosci. Remote Sens. Lett. 2014, 12, 304–308. [Google Scholar] [CrossRef]
- Zhang, X.; Zhang, Y.; Jiang, J. Analysis and computer simulation of circlular synthetic aperture radar with single frequency. In Proceedings of the 7th European Conference on Synthetic Aperture Radar, Friedrichshafen, Germany, 2–5 June 2008; pp. 1–4. [Google Scholar]
- Dai, Y.m.; Zhang, X.; Yang, J.; Deng, G.S.; Li, Y.; Yin, Z.P. The Optimization Method for Circular MIMO Array Based on Wavenumber Spectrum Uniformity. IEEE Antennas Wirel. Propag. Lett. 2023, 23, 683–687. [Google Scholar] [CrossRef]
- Zhang, J.; Liao, G.; Xu, J.; Zhang, Y.; Zhu, S. Study on performance of bistatic circular synthetic aperture radar imaging using geometric diversity. IET Radar Sonar Navig. 2018, 12, 458–465. [Google Scholar] [CrossRef]
- Zeng, T.; Cherniakov, M.; Long, T. Generalized approach to resolution analysis in BSAR. IEEE Trans. Aerosp. Electron. Syst. 2005, 41, 461–474. [Google Scholar] [CrossRef]
- Li, T.; Chen, K.S.; Jin, M. Analysis and simulation on imaging performance of backward and forward bistatic synthetic aperture radar. Remote Sens. 2018, 10, 1676. [Google Scholar] [CrossRef]
- Soumekh, M. Reconnaissance with slant plane circular SAR imaging. IEEE Trans. Image Process. 1996, 5, 1252–1265. [Google Scholar] [CrossRef]
- Li, S.; Wang, S.; Wu, S.; Hoorfar, A.; An, Q.; Xing, G.; Zhao, M.; Zhao, G. Millimeter-wave imaging via circular-arc mimo arrays. IEEE Trans. Microw. Theory Tech. 2023, 71, 3156–3172. [Google Scholar] [CrossRef]
- Li, S.; Wang, S.; Amin, M.G.; Zhao, G. Efficient near-field imaging using cylindrical MIMO arrays. IEEE Trans. Aerosp. Electron. Syst. 2021, 57, 3648–3660. [Google Scholar] [CrossRef]
- Kazemi, M.; Kavehvash, Z.; Shabany, M. K-space aware multi-static millimeter-wave imaging. IEEE Trans. Image Process. 2019, 28, 3613–3623. [Google Scholar] [CrossRef] [PubMed]
- Li, Z.; Zhang, F.; Wan, Y.; Chen, L.; Wang, D.; Yang, L. Airborne Circular Flight Array SAR 3D Imaging Algorithm of Buildings Based on Layered Phase Compensation in the Wavenumber Domain. IEEE Trans. Geosci. Remote. Sens. 2023, 61, 1–12. [Google Scholar]
- Li, S.; Wang, S.; An, Q.; Zhao, G.; Sun, H. Cylindrical MIMO array-based near-field microwave imaging. IEEE Trans. Antennas Propag. 2020, 69, 612–617. [Google Scholar] [CrossRef]
- Zhuge, X.; Yarovoy, A. Sparse multiple-input multiple-output arrays for high-resolution near-field ultra-wideband imaging. IET Microwaves Antennas Propag. 2011, 5, 1552–1562. [Google Scholar] [CrossRef]
- Álvarez, Y.; Rodriguez-Vaqueiro, Y.; Gonzalez-Valdes, B.; Las-Heras, F.; García-Pino, A. Fourier-based imaging for subsampled multistatic arrays. IEEE Trans. Antennas Propag. 2016, 64, 2557–2562. [Google Scholar] [CrossRef]
























| Parameters | Values |
|---|---|
| Radius of the circular array (R) | 0.6 m |
| Perpendicular distance from the ROI | 0.24 m |
| Start frequency | 10 GHz |
| Stop frequency | 15 GHz |
| Frequency bandwidth | 5 GHz |
| Number of frequency steps | 256 |
| Number of transceivers | 180 |
Disclaimer/Publisher’s Note: The statements, opinions and data contained in all publications are solely those of the individual author(s) and contributor(s) and not of MDPI and/or the editor(s). MDPI and/or the editor(s) disclaim responsibility for any injury to people or property resulting from any ideas, methods, instructions or products referred to in the content. |
© 2024 by the authors. Licensee MDPI, Basel, Switzerland. This article is an open access article distributed under the terms and conditions of the Creative Commons Attribution (CC BY) license (https://creativecommons.org/licenses/by/4.0/).
Share and Cite
Dai, Y.; Zheng, Z.; Ye, H.; Zhang, X.; Yang, J.; Deng, G.; Li, Y.; Yin, Z. Optimizing Circular MIMO Array Imaging Using Partial Equivalent Method for Sidelobe Suppression. Remote Sens. 2024, 16, 4157. https://doi.org/10.3390/rs16224157
Dai Y, Zheng Z, Ye H, Zhang X, Yang J, Deng G, Li Y, Yin Z. Optimizing Circular MIMO Array Imaging Using Partial Equivalent Method for Sidelobe Suppression. Remote Sensing. 2024; 16(22):4157. https://doi.org/10.3390/rs16224157
Chicago/Turabian StyleDai, Yiming, Zhikun Zheng, Hong Ye, Xu Zhang, Jun Yang, Guangsheng Deng, Ying Li, and Zhiping Yin. 2024. "Optimizing Circular MIMO Array Imaging Using Partial Equivalent Method for Sidelobe Suppression" Remote Sensing 16, no. 22: 4157. https://doi.org/10.3390/rs16224157
APA StyleDai, Y., Zheng, Z., Ye, H., Zhang, X., Yang, J., Deng, G., Li, Y., & Yin, Z. (2024). Optimizing Circular MIMO Array Imaging Using Partial Equivalent Method for Sidelobe Suppression. Remote Sensing, 16(22), 4157. https://doi.org/10.3390/rs16224157

