Analysis of Multi-GNSS Multipath for Parameter-Unified Autocorrelation-Based Mitigation and the Impact of Constellation Shifts
Abstract
1. Introduction
2. Multipath Modelling and Mathematic Tools for Analysis
2.1. Multipath Models
2.2. Interpolation with Grid Method
2.3. Interpolation with Moving-Neighborhood LSC
2.4. Covariance Function
2.5. Correlation
3. Computation and Analysis
3.1. Employed Data
3.2. Correlation Analysis Between GPS/Galileo Frequencies
3.3. Parameters of Covariance Function
3.4. Orbit Shift over a Long Time Span
3.5. Unified Covariance Function Parameters for Short and Long-Term Multipath Correction Analysis
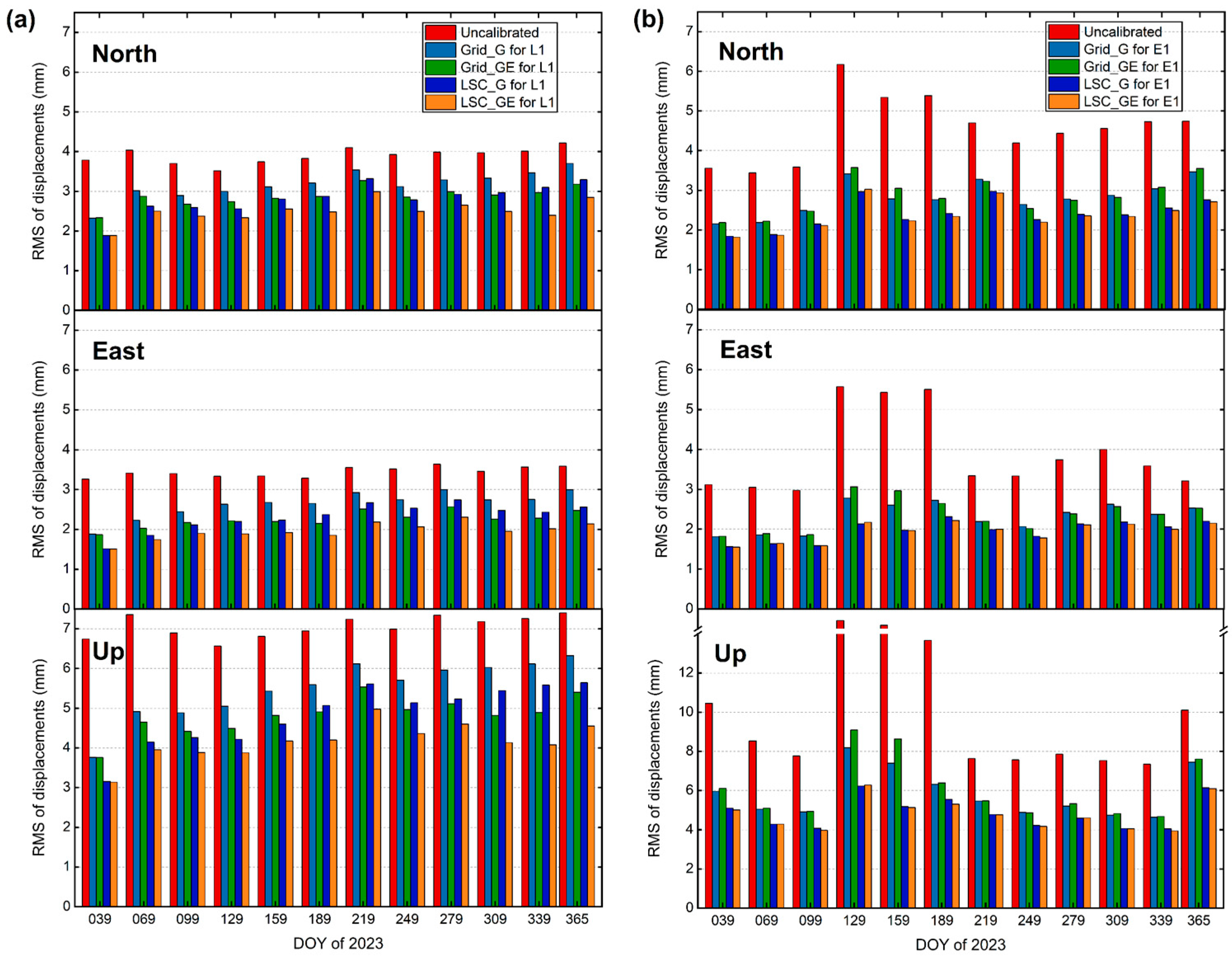
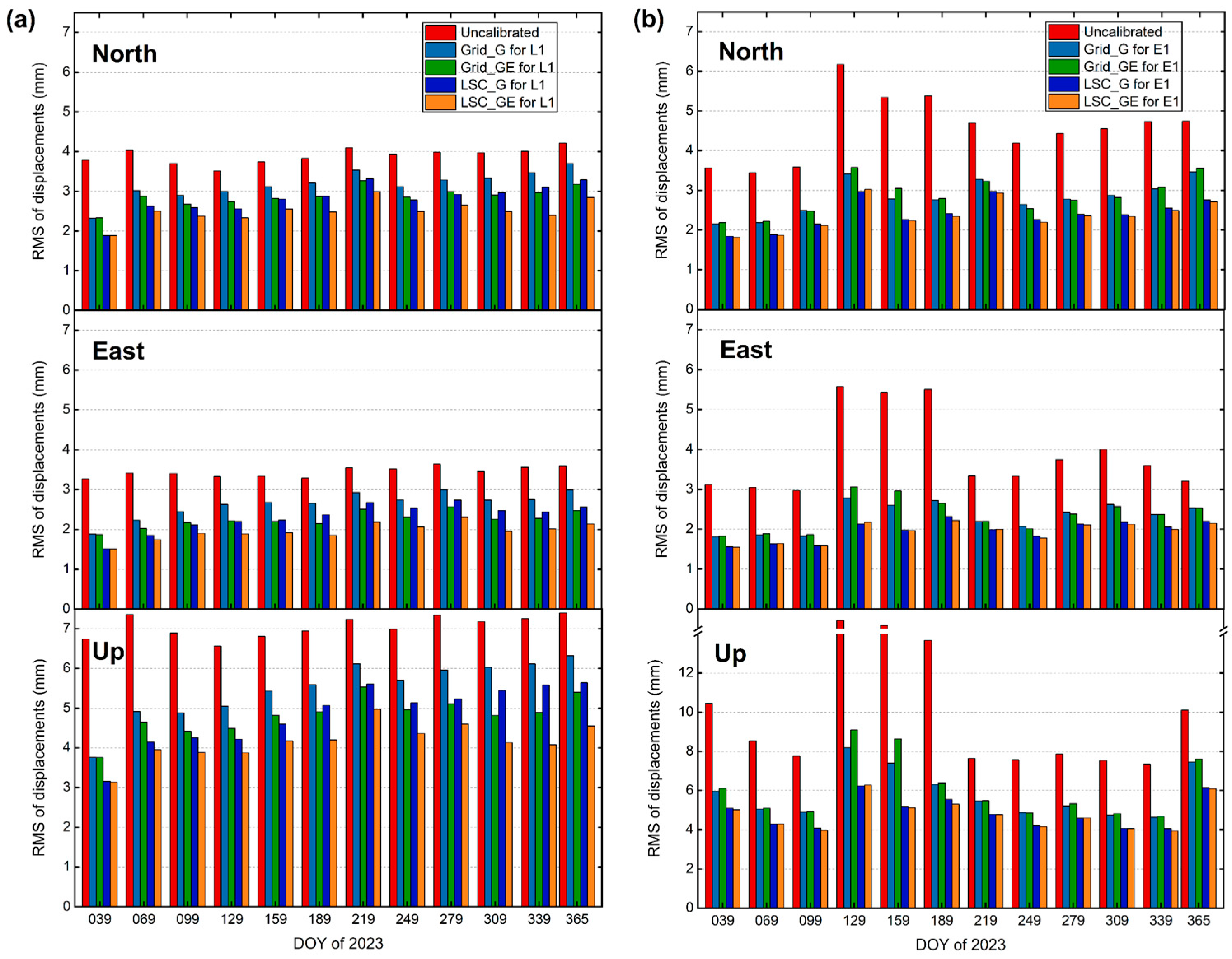
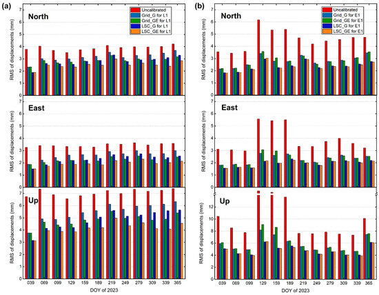
4. Results
Author Contributions
Funding
Data Availability Statement
Conflicts of Interest
References
- Groves, P.D.; Jiang, Z. Height Aiding, Weighting and Consistency Checking for GNSS NLOS and Multipath Mitigation in Urban Areas. J. Navig. 2013, 66, 653–669. [Google Scholar] [CrossRef]
- Manandhar, D.; Shibasaki, R.; Torimoto, H. GPS Reflected Signal Analysis using Software Receiver. J. Glob. Position. Syst. 2006, 5, 29–34. [Google Scholar] [CrossRef]
- Tranquilla, J.M.; Carr, J.P.; Alrizzo, H.M. Analysis of a choke ring groundplane for multipath control in global positioning system (gps) applications. IEEE Trans. Antennas Propag. 1994, 42, 905–911. [Google Scholar] [CrossRef]
- Tatarnikov, D.V.; Stepanenko, A.P.; Astakhov, A.V. Moderately compact helix antennas with cutoff patterns for millimeter RTK positioning. Gps Solut. 2016, 20, 587–594. [Google Scholar] [CrossRef]
- Vandierendonck, A.J.; Fenton, P.; Ford, T.; Inst, N. Theory and performance of narrow correlator spacing in a gps receiver. In Proceedings of the National Technical Meeting of the Inst of Navigation, San Diego, CA, USA, 27–29 January 1992; pp. 115–124. [Google Scholar]
- Axelrad, P.; Comp, C.J.; MacDoran, P.F. SNR-based multipath error correction for GPS differential phase. IEEE Trans. Aerosp. Electron. Syst. 1996, 32, 650–660. [Google Scholar] [CrossRef]
- Bilich, A.; Larson, K.M. Mapping the GPS multipath environment using the signal-to-noise ratio (SNR). Radio Sci. 2008, 43, RS6003. [Google Scholar] [CrossRef]
- Zhang, Z.T.; Li, B.F.; Gao, Y.; Shen, Y.Z. Real-time carrier phase multipath detection based on dual-frequency C/N0 data. Gps Solut. 2019, 23, 7. [Google Scholar] [CrossRef]
- Zheng, D.W.; Zhong, P.; Ding, X.L.; Chen, W. Filtering GPS time-series using a Vondrak filter and cross-validation. J. Geod. 2005, 79, 363–369. [Google Scholar] [CrossRef]
- Satirapod, C.; Rizos, C. Multipath mitigation by wavelet analysis for GPS base station applications. Surv. Rev. 2005, 38, 2–10. [Google Scholar] [CrossRef]
- Zhong, P.; Ding, X.L.; Zheng, D.W.; Chen, W.; Huang, D.F. Adaptive wavelet transform based on cross-validation method and its application to GPS multipath mitigation. Gps Solut. 2008, 12, 109–117. [Google Scholar] [CrossRef]
- Bernelli-Zazzera, F.; Campana, R.; Gottifredi, F.; Marradi, L. GPS attitude determination by Kalman filtering: Simulation of multipath rejection. In Proceedings of the 8th Annual Space Flight Mechanics Meeting, Monterey, CA, USA, 9–11 February 1998; pp. 1391–1405. [Google Scholar]
- Agnew, D.C.; Larson, K.M. Finding the repeat times of the GPS constellation. Gps Solut. 2007, 11, 71–76. [Google Scholar] [CrossRef]
- Genrich, J.F.; Bock, Y. Rapid resolution of crustal motion at short ranges with the global positioning system. J. Geophys. Res. Solid. Earth 1992, 97, 3261–3269. [Google Scholar] [CrossRef]
- Zhong, P.; Ding, X.L.; Yuan, L.G.; Xu, Y.L.; Kwok, K.; Chen, Y.Q. Sidereal filtering based on single differences for mitigating GPS multipath effects on short baselines. J. Geod. 2010, 84, 145–158. [Google Scholar] [CrossRef]
- Cohen, C.E.; Parkinson, B.W. Mitigating multipath error in gps based attitude determination. In Proceedings of the 14th Annual Rocky Mountain Conf on Guidance and Control, Keystone, CO, USA, 2–6 February 1991; pp. 53–68. [Google Scholar]
- Dong, D.; Wang, M.; Chen, W.; Zeng, Z.; Song, L.; Zhang, Q.; Cai, M.; Cheng, Y.; Lv, J. Mitigation of multipath effect in GNSS short baseline positioning by the multipath hemispherical map. J. Geod. 2016, 90, 255–262. [Google Scholar] [CrossRef]
- Fuhrmann, T.; Luo, X.G.; Knöpfler, A.; Mayer, M. Generating statistically robust multipath stacking maps using congruent cells. Gps Solut. 2015, 19, 83–92. [Google Scholar] [CrossRef]
- Wang, Z.R.; Chen, W.; Dong, D.N.; Wang, M.H.; Cai, M.M.; Yu, C.; Zheng, Z.Q.; Liu, M. Multipath mitigation based on trend surface analysis applied to dual-antenna receiver with common clock. Gps Solut. 2019, 23, 104. [Google Scholar] [CrossRef]
- Zheng, K.; Zhang, X.H.; Li, P.; Li, X.X.; Ge, M.R.; Guo, F.; Sang, J.Z.; Schuh, H. Multipath extraction and mitigation for high-rate multi-GNSS precise point positioning. J. Geod. 2019, 93, 2037–2051. [Google Scholar] [CrossRef]
- Hofmann-Wellenhof, B.; Moritz, H. Physical Geodesy; Springer: Vienna, Austria, 2005. [Google Scholar]
- Lin, M. Regional Gravity Field Recovery Using The Point Mass Method. Ph.D. Thesis, Leibniz Universität Hannover, Hannover, Germany, 2016. [Google Scholar]
- Moritz, H. Advanced Physical Geodesy; Wichmann: Berlin, Germany, 1980. [Google Scholar]
- Tian, Y.; Liu, Z.; Lin, M.; Li, K. Modelling and mitigation of GNSS multipath effects by least-squares collocation considering spatial autocorrelation. J. Geod. 2023, 97, 37. [Google Scholar] [CrossRef]
- Lu, R.; Chen, W.; Li, Z.; Dong, D.A.; Jiang, W.P.; Wang, Z.R.; Huang, L.Y.; Duan, X.L. An improved joint modeling method for multipath mitigation of GPS, BDS-3, and Galileo overlapping frequency signals in typical environments. J. Geod. 2023, 97, 95. [Google Scholar] [CrossRef]
- Geng, J.H.; Li, P.B.; Li, G.C. Combining the GPS/Galileo/BDS-3 signals on overlap frequencies for interoperable multipath hemispherical maps. J. Geod. 2024, 98, 32. [Google Scholar] [CrossRef]
- Krag, H.; Leonard, A.; Ranaudo, P.; Blomenhofer, E. Global Implications of GPS and Galileo RAAN Drifts on GNSS Performance. In Proceedings of the 16th International Technical Meeting of the Satellite Division of The Institute of Navigation (ION GPS/GNSS 2003), Portland, OR, USA, 9–12 September 2003. [Google Scholar]
- Pellegrino, M.M.; Scheeres, D.J.; Streetman, B.J. The Feasibility of Targeting Chaotic Regions in the GNSS Regime. J. Astronaut. Sci. 2021, 68, 553–584. [Google Scholar] [CrossRef]
- Sosnica, K.; Bury, G.; Zajdel, R.; Ventura-Traveset, J.; Mendes, L. GPS, GLONASS, and Galileo orbit geometry variations caused by general relativity focusing on Galileo in eccentric orbits. Gps Solut. 2022, 26, 5. [Google Scholar] [CrossRef]
- Moritz, H. Covariance Functions in Least-Squares Collocation; Ohio State University Research Foundation: Columbus, OH, USA, 1976; Volume 240. [Google Scholar]
- Moritz, H. Advanced Least-Squares Methods; Ohio State University Research Foundation: Columbus, OH, USA, 1972; Volume 175. [Google Scholar]
- Pearson, W.H. Estimation of a correlation coefficient from an uncertainty measure. Psychometrika 1966, 31, 421–433. [Google Scholar] [CrossRef] [PubMed]
- Liu, Z.F.; Tian, Y.M.; Xiong, W.H.; Liang, Y.B.; Li, K.G.; Tan, S.H.; Yang, X.W.; Li, N. A local filtering approach to mitigating the GNSS multipath effects in relative precise positioning considering the multipath spatial correlation. Adv. Space Res. 2024, 74, 2709–2727. [Google Scholar] [CrossRef]
- Ragheb, A.E.; Clarke, P.J.; Edwards, S.J. GPS sidereal filtering: Coordinate- and carrier-phase-level strategies. J. Geod. 2007, 81, 325–335. [Google Scholar] [CrossRef]
- Wang, M.; Wang, J.; Dong, D.; Li, H.; Han, L.; Chen, W. Comparison of Three Methods for Estimating GPS Multipath Repeat Time. Remote Sens. 2018, 10, 6. [Google Scholar] [CrossRef]
- Larson, K.M.; Bilich, A.; Axelrad, P. Improving the precision of high-rate GPS. J. Geophys. Res.-Solid. Earth 2007, 112, B05422. [Google Scholar] [CrossRef]





















| Frequency (MHz) | Signal | Baselines | ||
|---|---|---|---|---|
| GPS | Galileo | MATE_MAT1 | KERG_KRGG | |
| 1575.420 | L1 | E1 | √ | √ |
| 1278.750 | E6 | × | √ | |
| 1227.600 | L2 | √ | √ | |
| 1207.140 | E5b | √ | √ | |
| 1191.795 | E5ab * | √ | √ | |
| 1176.450 | L5 | E5a | √ | √ |
| Frequencies to be Corrected | Method | Modeling Date | Frequencies Used for Correction | Abbreviations |
|---|---|---|---|---|
| GPS L1 | Grid | 2023 DOY 029–038 | GPS L1 | Grid_G for L1 |
| GPS L1/Galileo E1 | Grid_GE for L1 | |||
| 2023 DOY 239–248 | GPS L1 | Grid_G for L1 (remodel) | ||
| GPS L1/Galileo E1 | Grid_GE for L1 (remodel) | |||
| Autocorrelation-based LSC | 2023 DOY 029–038 | GPS L1 | LSC_G for L1 | |
| GPS L1/Galileo E1 | LSC_GE for L1 | |||
| 2023 DOY 239–248 | GPS L1 | LSC_G for L1 (remodel) | ||
| GPS L1/Galileo E1 | LSC_GE for L1 (remodel) | |||
| Galileo E1 | Grid | 2023 DOY 029–038 | Galileo E1 | Grid_E for E1 |
| GPS L1/Galileo E1 | Grid_GE for E1 | |||
| 2023 DOY 239–248 | Galileo E1 | Grid_E for E1 (remodel) | ||
| GPS L1/Galileo E1 | Grid_GE for E1 (remodel) | |||
| Autocorrelation-based LSC | 2023 DOY 029–038 | Galileo E1 | LSC_E for E1 | |
| GPS L1/Galileo E1 | LSC_GE for E1 | |||
| 2023 DOY 239–248 | Galileo E1 | LSC_E for E1 (remodel) | ||
| GPS L1/Galileo E1 | LSC_GE for E1 (remodel) |
| DOY of 2023 | ||||||||||||
|---|---|---|---|---|---|---|---|---|---|---|---|---|
| 039 | 069 | 099 | 129 | 159 | 189 | 219 | 249 | 279 | 309 | 339 | 365 | |
| Uncalibrated | 5.14 | 5.38 | 5.31 | 5.12 | 5.12 | 5.17 | 5.76 | 5.63 | 5.75 | 5.59 | 5.85 | 5.66 |
| Grid_G | 2.97 | 3.67 | 3.99 | 4.08 | 4.08 | 4.15 | 4.71 | 4.48 | 4.61 | 4.47 | 4.62 | 4.66 |
| Grid_GE | 2.96 | 3.34 | 3.53 | 3.52 | 3.55 | 3.52 | 4.18 | 3.91 | 4.05 | 3.83 | 3.88 | 3.97 |
| LSC_G | 2.43 | 3.02 | 3.46 | 3.41 | 3.54 | 3.72 | 4.26 | 3.99 | 4.15 | 3.99 | 4.07 | 4.09 |
| LSC_GE | 2.43 | 2.86 | 3.05 | 2.99 | 3.11 | 3.04 | 3.70 | 3.43 | 3.63 | 3.31 | 3.33 | 3.49 |
| Grid_G (remodel) | 3.37 | 4.05 | 4.42 | 4.61 | 4.59 | |||||||
| Grid_GE (remodel) | 3.37 | 3.81 | 3.77 | 3.84 | 3.82 | |||||||
| LSC_G (remodel) | 2.86 | 3.50 | 3.67 | 4.03 | 4.14 | |||||||
| LSC_GE (remodel) | 2.85 | 3.31 | 3.18 | 3.26 | 3.34 | |||||||
| DOY of 2023 | ||||||||||||
|---|---|---|---|---|---|---|---|---|---|---|---|---|
| 039 | 069 | 099 | 129 | 159 | 189 | 219 | 249 | 279 | 309 | 339 | 365 | |
| Uncalibrated | 4.12 | 4.10 | 4.46 | 4.20 | 4.09 | 4.44 | 4.56 | 4.45 | 4.65 | 4.65 | 4.89 | 5.09 |
| Grid_E | 2.46 | 2.45 | 2.66 | 2.66 | 2.51 | 2.71 | 2.95 | 2.76 | 2.86 | 2.74 | 3.04 | 3.56 |
| Grid_GE | 2.49 | 2.46 | 2.68 | 2.64 | 2.56 | 2.71 | 2.95 | 2.70 | 2.87 | 2.75 | 3.03 | 3.59 |
| LSC_E | 2.05 | 2.07 | 2.23 | 2.28 | 2.18 | 2.30 | 2.59 | 2.37 | 2.49 | 2.33 | 2.63 | 3.04 |
| LSC_GE | 2.02 | 2.05 | 2.18 | 2.24 | 2.17 | 2.27 | 2.57 | 2.32 | 2.45 | 2.29 | 2.52 | 2.97 |
| Grid_E (remodel) | 2.51 | 2.71 | 2.60 | 2.96 | 3.58 | |||||||
| Grid_GE (remodel) | 2.54 | 2.74 | 2.64 | 2.98 | 3.51 | |||||||
| LSC_E (remodel) | 2.07 | 2.31 | 2.16 | 2.48 | 3.16 | |||||||
| LSC_GE (remodel) | 2.04 | 2.27 | 2.14 | 2.47 | 3.00 | |||||||
Disclaimer/Publisher’s Note: The statements, opinions and data contained in all publications are solely those of the individual author(s) and contributor(s) and not of MDPI and/or the editor(s). MDPI and/or the editor(s) disclaim responsibility for any injury to people or property resulting from any ideas, methods, instructions or products referred to in the content. |
© 2024 by the authors. Licensee MDPI, Basel, Switzerland. This article is an open access article distributed under the terms and conditions of the Creative Commons Attribution (CC BY) license (https://creativecommons.org/licenses/by/4.0/).
Share and Cite
Xiong, W.; Tian, Y.; Dai, X.; Zhang, Q.; Liang, Y.; Ruan, X. Analysis of Multi-GNSS Multipath for Parameter-Unified Autocorrelation-Based Mitigation and the Impact of Constellation Shifts. Remote Sens. 2024, 16, 4009. https://doi.org/10.3390/rs16214009
Xiong W, Tian Y, Dai X, Zhang Q, Liang Y, Ruan X. Analysis of Multi-GNSS Multipath for Parameter-Unified Autocorrelation-Based Mitigation and the Impact of Constellation Shifts. Remote Sensing. 2024; 16(21):4009. https://doi.org/10.3390/rs16214009
Chicago/Turabian StyleXiong, Wenhao, Yumiao Tian, Xiaolei Dai, Qichao Zhang, Yibing Liang, and Xiongwei Ruan. 2024. "Analysis of Multi-GNSS Multipath for Parameter-Unified Autocorrelation-Based Mitigation and the Impact of Constellation Shifts" Remote Sensing 16, no. 21: 4009. https://doi.org/10.3390/rs16214009
APA StyleXiong, W., Tian, Y., Dai, X., Zhang, Q., Liang, Y., & Ruan, X. (2024). Analysis of Multi-GNSS Multipath for Parameter-Unified Autocorrelation-Based Mitigation and the Impact of Constellation Shifts. Remote Sensing, 16(21), 4009. https://doi.org/10.3390/rs16214009
