Surface Ages in the Vicinity of the Chang’e-6 Landing Site
Abstract
1. Introduction
2. Data and Methods
2.1. Data
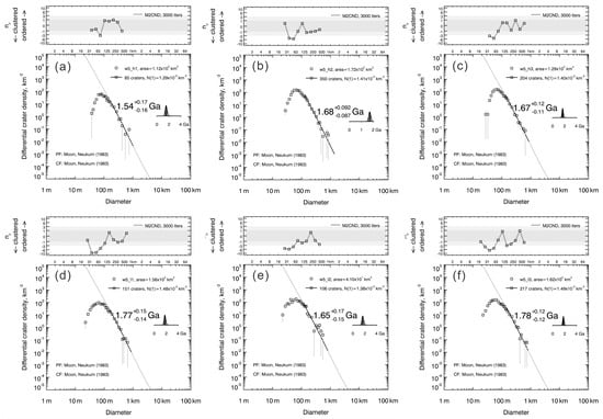
2.2. Crater Size-Frequency Distribution Measurements
3. Results
3.1. Mare Units
3.2. CSFD Results
4. Discussion
4.1. Evolution of the Southern Mare
4.2. The Genesis of the Low-Ti Mare Basalt of the W5 Unit
5. Conclusions
Author Contributions
Funding
Data Availability Statement
Acknowledgments
Conflicts of Interest
References
- Jia, Z.; Chen, J.; Kong, J.Q.; Qiao, L.; Fu, X.; Ling, Z. Geologic context of Chang’e-6 candidate landing regions and potential non-mare materials in the returned samples. Icarus 2024, 416, 116107. [Google Scholar] [CrossRef]
- Zeng, X.; Liu, D.; Chen, Y.; Zhou, Q.; Ren, X.; Zhang, Z.; Yan, W.; Chen, W.; Wang, Q.; Deng, X.; et al. Landing site of the Chang’e-6 lunar farside sample return mission from the Apollo basin. Nat. Astron. 2023, 7, 1188–1197. [Google Scholar] [CrossRef]
- Liu, Z.; Peng, M.; Di, K.; Wan, W.; Liu, B.; Wang, Y.; Xie, B.; Kou, Y.; Wang, B.; Zhao, C.; et al. High-Precision Visual Localization of the Chang’e-6 Lander. Natl. Remote Sens. Bull. 2024, 28, 1649–1656. [Google Scholar] [CrossRef]
- Orgel, C.; Torres, I.; Besse, S.; van der Bogert, C.H.; Bahia, R.; Prissang, R.; Ivanov, M.A.; Hiesinger, H.; Michael, G.; Pasckert, J.H.; et al. Characterization of High-priority Landing Sites for Robotic Exploration Missions in the Apollo Basin, Moon. Planet. Sci. J. 2024, 5, 29. [Google Scholar] [CrossRef]
- Qian, Y.; Head, J.; Michalski, J.; Wang, X.; van der Bogert, C.H.; Hiesinger, H.; Sun, L.; Yang, W.; Xiao, L.; Li, X.; et al. Long-lasting farside volcanism in the Apollo basin: Chang’e-6 landing site. Earth Planet. Sci. Lett. 2024, 637, 118737. [Google Scholar] [CrossRef]
- Yue, Z.; Gou, S.; Sun, S.; Yang, W.; Chen, Y.; Wang, Y.; Lin, H.; Di, K.; Lin, Y.; Li, X.; et al. Geological context of Chang’e-6 landing area and implications for sample analysis. Innovation 2024, 5, 100663. [Google Scholar] [CrossRef]
- Henrik, H.; Kereszturi, Á. (Eds.) Encyclopedia of Planetary Landforms; Springer: New York, NY, USA, 2015; pp. 2389–2390. [Google Scholar]
- Boyce, J.M. Relative ages of flow units in the Mare Imbrium and Sinus Imbrium. In Lunar Science Conference, 6th, Houston, Tex., 17–21 March 1975, Proceedings; Merrill, R.B., Ed.; Pergamon Press: Houston, TX, USA, 1975; pp. 2585–2595. [Google Scholar]
- Craddock, R.A.; Howard, A.D. Simulated degradation of lunar impact craters and a new method for age dating farside mare deposits. J. Geophys. Res. 2000, 105, 20387–20401. [Google Scholar] [CrossRef]
- Xiao, Z.Y.; Robert, G.S.; Zeng, Z.X. Mistakes in using crater size-frequency distribution to estimate planetary surface ages. Earth Sci. 2013, 38, 145–160. [Google Scholar]
- Li, Q.; Zhou, Q.; Liu, Y.; Xiao, Z.; Lin, Y.; Li, J.; Ma, H.; Tang, G.; Guo, S.; Tang, X.; et al. Two-billion-year-old volcanism on the Moon from Chang’E-5 basalts. Nature 2021, 600, 54–58. [Google Scholar] [CrossRef]
- Cohen, B.A. Argon-40-Argon-39 geochronology of lunar meteorites impact melt clasts. Meteor. Planet. Sci. 2000, 35, A43. [Google Scholar]
- Ivanov, M.A.; Hiesinger, H.; van der Bogert, C.H.; Orgel, C.; Pasckert, J.H.; Head, J.W. Geologic history of the northern portion of the South Pole-Aitken basin on the Moon. J. Geophys. Res. Planets 2018, 123, 2585–2612. [Google Scholar] [CrossRef]
- Haruyama, J.; Ohtake, M.; Matsunaga, T.; Morota, T.; Honda, C.; Yokota, Y.; Abe, M.; Ogawa, Y.; Miyamoto, H.; Iwasaki, A.; et al. Long-lived volcanism on the lunar farside revealed by SELENE Terrain Camera. Science 2009, 323, 905–908. [Google Scholar] [CrossRef] [PubMed]
- Pasckert, J.H.; Hiesinger, H.; van der Bogert, C.H. Lunar farside volcanism in and around the South Pole–Aitken basin. Icarus 2018, 299, 538–562. [Google Scholar] [CrossRef]
- Hiesinger, H.; Jaumann, R.; Neukum, G.; Head, J.W. Ages of mare basalts on the lunar nearside. J. Geophys. Res. 2000, 105, 29239–29275. [Google Scholar] [CrossRef]
- Pieters, C.M.; Head, J.W.; Adams, J.B.; McCord, T.B.; Zisk, S.H.; Whitford-Stark, J.L. Late high-titanium basalts of the western maria: Geology of the Flamsteed region of Oceanus Procellarum. J. Geophys. Res. 1980, 85, 3913–3938. [Google Scholar] [CrossRef]
- Soderblom, L.A.; Arnold, J.R.; Boyce, J.M.; Lin, R.P. Regional variations in the lunar mafia: Age, remanent magnetism, and chemistry. In Proceedings of the 8th Lunar & Planetary Science Conference, Houston, TX, USA, 14–18 March 1977; pp. 1191–1199. [Google Scholar]
- Robinson, M.S.; Brylow, S.M.; Tschimmel, M.; Humm, D.; Lawrence, S.J.; Thomas, P.C.; Denevi, B.W.; Bowman-Cisneros, E.; Zerr, J.; Ravine, M.A.; et al. Lunar reconnaissance orbiter camera (LROC) instrument overview. Space. Sci. Rev. 2010, 150, 81–124. [Google Scholar] [CrossRef]
- Speyerer, E.; Robinson, M.; Denevi, B. Lunar Reconnaissance Orbiter Camera global morphological map of the Moon. In Proceedings of the 42th Lunar & Planetary Science Conference, Houston, TX, USA, 7–11 March 2011; p. 2387. [Google Scholar]
- Wagner, R.V.; Speyerer, E.J.; Robinson, M.S. New Mosaicked Data Products from the LROC Team. In Proceedings of the 46th Lunar & Planetary Science Conference, Houston, TX, USA, 16–20 March 2015; p. 1473. [Google Scholar]
- Barker, M.K.; Mazarico, E.; Neumann, G.A.; Zuber, M.T.; Haruyama, J.; Smith, D.E. A new lunar digital elevation model from the Lunar Orbiter Laser Altimeter and SELENE Terrain Camera. Icarus 2016, 273, 346–355. [Google Scholar] [CrossRef]
- Haruyama, J.; Matsunaga, T.; Ohtake, M.; Morota, T.; Honda, C.; Yokota, Y.; Torii, M.; Ogawa, Y.; LISM Working Group. Global lunar-surface mapping experiment using the Lunar Imager/ Spectrometer on SELENE. Earth Planets Space 2008, 60, 243–255. [Google Scholar] [CrossRef]
- Lemelin, M.; Lucey, P.G.; Song, E.; Taylor, G.J. Lunar central peak mineralogy and iron content using the Kaguya Multiband Imager: Reassessment of the compositional structure of the lunar crust. J. Geophys. Res. Planets 2015, 120, 869–887. [Google Scholar] [CrossRef]
- Sato, H.; Robinson, M.S.; Lawrence, S.J.; Denevi, B.W.; Hapke, B.; Jolliff, B.L.; Hiesinger, H. Lunar mare TiO2 abundances estimated from UV/VIS reflectance. Icarus 2017, 296, 216–238. [Google Scholar] [CrossRef]
- Ohtake, M.; Takeda, H.; Matsunaga, T.; Yokota, Y.; Haruyama, J.; Morota, T.; Yamamoto, S.; Ogawa, Y.; Hiroi, T.; Karouji, Y.; et al. Asymmetric crustal growth on the Moon indicated by primitive farside highland materials. Nat. Geosci. 2012, 5, 384. [Google Scholar] [CrossRef]
- Di, K.; Jia, M.; Xin, X.; Wang, J.; Liu, B.; Li, J.; Xie, J.; Liu, Z.; Peng, M.; Yue, Z.; et al. High-resolution large-area digital orthophoto map generation using LROC NAC images. Photogramm. Eng. Remote. Sens. 2019, 85, 481–491. [Google Scholar] [CrossRef]
- Arvidson, R.E.; Boyce, J. Standard techniques for presentation and analysis of crater size-frequency data. Icarus 1979, 37, 467–474. [Google Scholar]
- Neukum, G. Meteoriten Bombardement und Datierung Planetarer Oberflachen; Maximilians University: Munich, Germany, 1983. [Google Scholar]
- Neukum, G.; Ivanov, B.A.; Hartmann, W.K. Cratering records in the inner solar system in relation to the lunar reference system. In Chronology and Evolution of Mars; Kallenbach, R., Geiss, J., Hartmann, W.K., Eds.; Springer: Dordrecht, The Netherlands, 2001; pp. 55–86. [Google Scholar]
- Kneissl, T.; van Gasselt, S.; Neukum, G. Map-projection-independent crater size-frequency determination in GIS environments—New software tool for ArcGIS. Planet. Space Sci. 2011, 59, 1243–1254. [Google Scholar] [CrossRef]
- Michael, G.G.; Platz, T.; Kneissl, T.; Schmedemann, N. Planetary surface dating from crater size-frequency distribution measurements: Spatial randomness and clustering. Icarus 2012, 218, 169–177. [Google Scholar] [CrossRef]
- Michael, G.G.; Kneissl, T.; Neesemann, A. Planetary surface dating from crater size-frequency distribution measurements: Poisson timing analysis. Icarus 2016, 277, 279–285. [Google Scholar] [CrossRef]
- Michael, G.G.; Neukum, G. Planetary surface dating from crater size-frequency distribution measurements: Partial resurfacing events and statistical age uncertainty. Earth Planet. Sci. Lett. 2010, 294, 223–229. [Google Scholar] [CrossRef]
- Neal, C.R.; Taylor, L.A. Petrogenesis of mare basalts: A record of lunar volcanism. Geochim. Cosmochim. Acta 1992, 56, 2177–2211. [Google Scholar] [CrossRef]
- Head, J.W.; Wilson, L.; Hiesinger, H.; van der Bogert, C.; Chen, Y.; Dickson, J.L.; Gaddis, L.R.; Haruyama, J.; Jawin, E.R.; Jozwiak, L.M.; et al. Lunar mare basaltic volcanism: Volcanic features and emplacement processes. Rev. Miner. Geochem. 2023, 89, 453–507. [Google Scholar] [CrossRef]
- Nyquist, L.E.; Shih, C. The isotopic record of lunar volcanism. Geochim. Cosmochim. Acta 1992, 56, 2213–2234. [Google Scholar] [CrossRef]
- Snyder, G.A.; Borg, L.E.; Nyquist, L.E.; Taylor, L.A. Chronology and isotopic constraints on lunar origin and evolution. In Origin of the Earth and Moon; Canup, R.M., Righter, K., Eds.; University of Arizona Press: Tucson, AZ, USA, 2000; pp. 361–396. [Google Scholar]
- Guo, D.; Liu, J.; Head, J.W.; Zhang, F.; Ling, Z.; Chen, S.; Chen, J.; Ding, X.; Ji, J.; Ouyang, Z. A lunar time scale from the perspective of the Moon’s dynamic evolution. Sci. China Earth Sci. 2024, 67, 234–251. [Google Scholar] [CrossRef]
- Hiesinger, H.; Head, J.W.; Wolf, U.; Jaumann, R.; Neukum, G. Ages and stratigraphy of lunar mare basalts: A synthesis. In Recent Advances and Current Research Issues in Lunar Stratigraphy; Geological Society of America: Boulder, CO, USA, 2011; Volume 477, pp. 1–51. [Google Scholar]
- Garrick-Bethell, I.; Zuber, M.T. Elliptical structure of the lunar South Pole-Aitken basin. Icarus 2009, 204, 399–408. [Google Scholar] [CrossRef]
- Melosh, H.J.; Kendall, J.; Horgan, B.; Johnson, B.C.; Bowling, T.; Lucey, P.G.; Taylor, G.J. South Pole-Aitken basin ejecta reveal the Moon’s upper mantle. Geology 2017, 45, 1063–1066. [Google Scholar] [CrossRef]
- Smith, D.E.; Zuber, M.T.; Neumann, G.A.; Lemoine, F.G.; Mazarico, E.; Torrence, M.H.; McGarry, J.F.; Rowlands, D.D.; Head III, J.W.; Duxbury, T.H.; et al. Initial observations from the lunar orbiter laser altimeter (LOLA). Geophys. Res. Lett. 2010, 37, L18204. [Google Scholar] [CrossRef]
- Moriarty, D.P.; Watkins, R.N.; Valencia, S.N.; Kendall, J.D.; Evans, A.J.; Dygert, N.; Petroet, N.E. Evidence for a stratified upper mantle preserved within the south pole–Aitken Basin. J. Geophys. Res. Planets 2021, 121, e2020JE006589. [Google Scholar] [CrossRef]
- Potter, R.W.K.; Head, J.W.; Guo, D.; Liu, J.; Xiao, L. The Apollo peak-ring impact basin: Insights into the structure and evolution of the South Pole–Aitken basin. Icarus 2018, 306, 139–149. [Google Scholar] [CrossRef]
- Wieczorek, M.A.; Neumann, G.A.; Nimmo, F.; Kiefer, W.S.; Taylor, G.J.; Melosh, H.J.; Phillips, R.J.; Solomon, S.C.; Andrews-Hanna, J.C.; Asmar, S.W.; et al. The crust of the Moon as seen by GRAIL. Science 2013, 339, 671–675. [Google Scholar] [CrossRef]
- He, Q.; Li, Y.; Baziotis, I.; Qian, Y.; Xiao, L.; Wang, Z.; Luo, B.J.; Neal, C.R.; Day, J.M.D.; Pan, F.B.; et al. Detailed petrogenesis of the unsampled Oceanus Procellarum: The case of the Chang’e-5 mare basalts. Icarus 2022, 383, 115082. [Google Scholar] [CrossRef]
- Tian, H.C.; Wang, H.; Chen, Y.; Yang, W.; Zhou, Q.; Zhang, C.; Lin, H.L.; Xie, L.W.; Zhang, D.P.; Zhang, G.L.; et al. Non-KREEP origin for Chang’e-5 basalts in the Procellarum KREEP Terrane. Nature 2021, 600, 59–63. [Google Scholar] [CrossRef]
- Zhang, D.; Su, B.; Chen, Y.; Yang, W.; Mao, Q.; Jia, L.H. Titanium in olivine reveals low-Ti origin of the Chang’E-5 lunar basalts. Lithos 2022, 414, 106639. [Google Scholar] [CrossRef]
- Melosh, H.J. Impact Cratering: A geologic Process; Oxford University Press: New York, NY, USA; Clarendon Press: Oxford, UK, 1989; p. 90. [Google Scholar]
- Denevi, B.W.; Robinson, M.S.; Boyd, A.K.; Blewett, D.T.; Klima, R.L. The Distribution and Extent of Lunar Swirls. Icarus 2016, 273, 53–67. [Google Scholar] [CrossRef]
- Garrick-Bethell, I.; Head, J.W., III; Pieters, C.M. Spectral properties, magnetic fields, and dust transport at lunar swirls. Icarus 2011, 212, 480–492. [Google Scholar] [CrossRef]
- Tsunakawa, H.; Takahashi, F.; Shimizu, H.; Shibuya, H.; Matsushima, M. Surface vector mapping of magnetic anomalies over the Moon using Kaguya and Lunar Prospector observations. J. Geophys. Res. Planets 2015, 120, 1160–1185. [Google Scholar] [CrossRef]











| Fit Parameter | Value |
|---|---|
| a0 | −3.0768 |
| a1 | −3.6269 |
| a2 | 0.43662 |
| a3 | 0.79347 |
| a4 | 0.086468 |
| a5 | −0.26485 |
| a6 | −0.066382 |
| a7 | 0.037923 |
| a8 | 0.010596 |
| a9 | −0.0022496 |
| a10 | −0.00051797 |
| a11 | 0.0000397 |
| Units | Elevation (m) | TiO2 (wt.%) | FeO (wt.%) | ||||||
|---|---|---|---|---|---|---|---|---|---|
| Average | Min | Max | Average | Min | Max | Average | Min | Max | |
| E | −10,538 | −11,517 | −10,243 | 2.72 | 1.00 | 8.83 | 15.28 | 7.13 | 21.94 |
| E1 | −10,515 | −10,814 | −10,418 | 3.65 | 1.00 | 8.07 | 16.70 | 12.02 | 21.94 |
| E2 | −10,553 | −10,766 | −10,463 | 3.65 | 1.00 | 7.95 | 16.37 | 10.63 | 21.94 |
| E3 | −10,248 | −10,989 | −9122 | 2.60 | 1.00 | 6.37 | 15.17 | 11.41 | 18.81 |
| W | −10,505 | −10,723 | −10,429 | 5.38 | 1.00 | 15.43 | 17.19 | 9.10 | 23.29 |
| W1 | −10,077 | −10,444 | −9853 | 4.80 | 1.00 | 10.72 | 16.66 | 10.83 | 19.94 |
| W2 | −10,206 | −10,600 | −9383 | 6.58 | 1.00 | 15.43 | 18.17 | 10.97 | 23.29 |
| W3 | −10,372 | −10,850 | −10,237 | 5.41 | 1.00 | 10.10 | 17.19 | 12.57 | 21.94 |
| W4 | −10,379 | −10,738 | −10,308 | 6.47 | 1.00 | 10.81 | 17.99 | 10.16 | 20.72 |
| W5 | −10,504 | −10,989 | −10,333 | 5.91 | 1.00 | 10.66 | 18.04 | 10.02 | 21.94 |
| subunits | Elevation (m) | TiO2 (wt.%) | FeO (wt.%) | ||||||
| average | min | max | average | min | max | average | min | max | |
| W2_h | −10,252 | −10,600 | −10,136 | 7.20 | 1.00 | 15.43 | 18.12 | 12.12 | 20.79 |
| W2_l | −10,164 | −10,351 | −9846 | 6.56 | 1.00 | 10.70 | 18.67 | 11.61 | 23.29 |
| W5_h1 | −10,552 | −10,643 | −10,457 | 6.75 | 1.00 | 10.57 | 18.82 | 15.07 | 20.74 |
| W5_h2 | −10,511 | −10,641 | −10,349 | 6.88 | 1.00 | 9.70 | 18.63 | 13.26 | 20.95 |
| W5_h3 | −10,485 | −10,610 | −10,428 | 6.63 | 1.00 | 10.35 | 18.59 | 14.99 | 21.94 |
| W5_l1 | −10,528 | −10,685 | −10,365 | 5.21 | 1.00 | 9.76 | 17.61 | 14.30 | 20.04 |
| W5_l2 | −10,498 | −10,558 | −10,424 | 5.33 | 2.31 | 7.84 | 17.74 | 14.71 | 19.53 |
| W5_l3 | −10,489 | −10,659 | −10,384 | 5.83 | 1.00 | 8.99 | 17.69 | 10.34 | 21.94 |
| Units | Subunits | Age (Ga) | N(1) (×10−3) | Area (km2) | Diameter Range |
|---|---|---|---|---|---|
| E1 | 2.67 | 437 | (240 m, 1.5 km) | ||
| E2 | 3.16 | 449 | (250 m, 1.5 km) | ||
| E3 | 3.04 | 178 | (240 m, 1.5 km) | ||
| W1 | 1.98 | 431 | (210 m, 1.2 km) | ||
| W2 | 1.73 | 1560 | (180 m, 1.0 km) | ||
| 2.35 | (1.5 km, 5 km) | ||||
| W2_ h | 1.38 | 416 | (160 m, 600 m) | ||
| 6.11 | (800 m, 1.9 km) | ||||
| W2_ l | 1.93 | 315 | (190 m, 1.1 km) | ||
| W3 | 2.25 | 326 | (160 m, 940 m) | ||
| W4 | 2.55 | 267 | (185 m, 1.55 km) | ||
| W5 | W5_h1 | 1.29 | 112 | (170 m, 1.0 km) | |
| W5_ h2 | 1.41 | 172 | (130 m, 1.35 km) | ||
| W5_ h3 | 1.40 | 129 | (140 m, 850 m) | ||
| W5_l1 | 1.48 | 156 | (165 m, 650 m) | ||
| W5_l2 | 1.38 | 41 | (120 m, 800 m) | ||
| W5_l3 | 1.49 | 161 | (150 m, 800 m) |
Disclaimer/Publisher’s Note: The statements, opinions and data contained in all publications are solely those of the individual author(s) and contributor(s) and not of MDPI and/or the editor(s). MDPI and/or the editor(s) disclaim responsibility for any injury to people or property resulting from any ideas, methods, instructions or products referred to in the content. |
© 2024 by the authors. Licensee MDPI, Basel, Switzerland. This article is an open access article distributed under the terms and conditions of the Creative Commons Attribution (CC BY) license (https://creativecommons.org/licenses/by/4.0/).
Share and Cite
Zhang, L.; Liu, J.; Michael, G.; Ge, P.; Di, K.; Wu, C.; Zhu, K.; Kang, X. Surface Ages in the Vicinity of the Chang’e-6 Landing Site. Remote Sens. 2024, 16, 3812. https://doi.org/10.3390/rs16203812
Zhang L, Liu J, Michael G, Ge P, Di K, Wu C, Zhu K, Kang X. Surface Ages in the Vicinity of the Chang’e-6 Landing Site. Remote Sensing. 2024; 16(20):3812. https://doi.org/10.3390/rs16203812
Chicago/Turabian StyleZhang, Li, Jianzhong Liu, Gregory Michael, Ping Ge, Kaichang Di, Congzhe Wu, Kai Zhu, and Xiaoxi Kang. 2024. "Surface Ages in the Vicinity of the Chang’e-6 Landing Site" Remote Sensing 16, no. 20: 3812. https://doi.org/10.3390/rs16203812
APA StyleZhang, L., Liu, J., Michael, G., Ge, P., Di, K., Wu, C., Zhu, K., & Kang, X. (2024). Surface Ages in the Vicinity of the Chang’e-6 Landing Site. Remote Sensing, 16(20), 3812. https://doi.org/10.3390/rs16203812

