Next Article in Journal
Current Status of Remote Sensing for Studying the Impacts of Hurricanes on Mangrove Forests in the Coastal United States
Previous Article in Journal
Multi-Scale Context Fusion Network for Urban Solid Waste Detection in Remote Sensing Images
 
 
Font Type:
Arial Georgia Verdana
Font Size:
Aa Aa Aa
Line Spacing:
Column Width:
Background:
Article

Evaluation of Reanalysis and Satellite Products against Ground-Based Observations in a Desert Environment

Environmental and Geophysical Sciences (ENGEOS) Lab, Earth Sciences Department, Khalifa University of Science and Technology, Abu Dhabi 127788, United Arab Emirates
*
Author to whom correspondence should be addressed.
Remote Sens. 2024, 16(19), 3593; https://doi.org/10.3390/rs16193593
Submission received: 19 August 2024 / Revised: 19 September 2024 / Accepted: 24 September 2024 / Published: 26 September 2024

Abstract

The Arabian Peninsula (AP) is notable for its unique meteorological and climatic patterns and plays a pivotal role in understanding regional climate dynamics and dust emissions. The scarcity of ground-based observations makes atmospheric data essential, rendering reanalysis and satellite products invaluable for understanding weather patterns and climate variability. However, the accuracy of these products in the AP’s desert environment has not been extensively evaluated. This study undertakes the first comprehensive validation of reanalysis products—the European Centre for Medium-Range Weather Forecasts’ European Reanalysis version 5 (ERA5) and ERA5 Land (ERA5L), along with Clouds and Earth’s Radiant Energy System (CERES) radiation fluxes—against measurements from the Liwa desert in the UAE. The data, collected during the Wind-blown Sand Experiment (WISE)–UAE field experiment from July 2022 to December 2023, includes air temperature and relative humidity at 2 m, 10 m wind speed, surface pressure, skin temperature, and net radiation fluxes. Our analysis reveals a strong agreement between ERA5/ERA5L and the observed diurnal T2m cycle, despite a warm night bias and cold day bias with a magnitude within 2 K. The wind speed analysis uncovered a bimodal distribution attributed to sea-breeze circulation and the nocturnal low-level jet, with the reanalysis overestimating the nighttime wind speeds by 2 m s−1. This is linked to biases in nighttime temperatures arising from an inaccurate representation of nocturnal boundary layer processes. The daytime cold bias contrasts with the excessive net radiation flux at the surface by about 50–100 W m−2, underscoring the challenges in the physical representation of land–atmosphere interactions.

1. Introduction

The climate of the United Arab Emirates (UAE) is characterized by a trio of distinct atmospheric phenomena: pervasive dust storms that sweep across the landscape, dense fog that envelops the region, and the infrequent yet intense convective systems unleashing torrential downpours [1,2,3,4,5,6,7,8,9]. Recent studies underscore a worrying trend of increased frequencies and intensities of these phenomena over the Arabian Peninsula, signaling a shift in regional climatic behavior [10,11,12]. Understanding the full lifecycle and the consequent impacts of these meteorological phenomena is imperative for precise weather forecasting. However, the limited number of ground-based observations across the Arabian Peninsula [13] presents a significant challenge. While satellite observations offer some insights, they fall short of providing a complete picture, primarily due to limitations in their temporal and spatial resolution, as well as challenges posed by cloud cover, aerosols, and humidity. Within this context, reanalysis products, which assimilate available observations with numerical models, are invaluable. They offer expansive datasets of surface meteorological elements, including air temperature, relative humidity, wind speed, atmospheric pressure, radiation fluxes, and soil properties, with adequate spatial and temporal resolution on a global scale. These datasets are essential for elucidating the processes that trigger and maintain these weather events on both regional and local scales.
Six major reanalysis products are currently available to the research community: the European Centre for Medium-Range Weather Forecasts (ECMWF) ERA-Interim, Climate Forecast System Reanalysis (CFSR), National Centers for Environmental Prediction/National Center for Atmospheric Research Reanalysis 1 (NNR1), Japanese 55-year Reanalysis (JRA55), Modern-Era Analysis for Research and Applications version 2 (MERRA2), and the fifth generation of the European Reanalysis (ERA5). Among these, ERA5 is particularly notable for its high spatial (0.25 degrees or ~27 km) and temporal (hourly) resolution [14,15]. Moreover, the recently introduced ERA5-Land (hereafter ERA5L) offers an even finer spatial resolution of 0.1 degrees (or ~11 km), albeit exclusively for terrestrial regions [16]. Nonetheless, it is crucial to also assess the accuracy of the reanalysis data against ground-based observations, especially in desert regions like the Arabian Peninsula where long-term observational data are sparse [13,17]. The literature indicates that the newer ECMWF releases—namely, ERA5 and ERA5L—outperform their predecessor, ERA-Interim [18], as well as other reanalysis products [18,19,20]. It is also noted that the performance of ERA5 and ERA5L can be influenced by factors such as the orographic representation, seasons, and other regional characteristics, including surface albedo, land use and land cover (LULC), soil texture, and vegetation cover [21,22]. This highlights the need for a thorough evaluation of these products before their application in further research.
Among the many variables simulated by reanalysis datasets, the Land Surface Temperature (LST), or skin temperature, is one of the most important. It has been recognized as a fundamental parameter in climate change studies, highlighted by its recent designation as an Essential Climate Variable (ECV) by the Global Climate Observing System (GCOS, [23,24,25]). This acknowledgment underscores the LST’s role in maintaining the Earth’s energy balance, influencing ecosystem processes and mediating energy and water exchanges between the surface and the atmosphere. The impact of the LST extends further, influencing climate variability, regulating energy fluxes across the land–atmosphere interface, and affecting the hydrological cycle. These aspects are integral to the complex dynamics of climate change, showcasing the critical nature of the LST in environmental studies [26,27,28]. The LST is not a parameter that is commonly evaluated as it is not measured by standard weather stations. Additionally, satellite-derived products, such as the Moderate Resolution Imaging Spectroradiometer (MODIS), can exhibit substantial biases in arid/semi-arid regions [29]. The in situ observations collected here will allow for the direct evaluation of the reanalyses’ LSTs in one of the driest and most inhospitable regions on Earth. Furthermore, in order to have a full understanding of the deficiencies in the simulation of the LST, it is important to assess how the different components in the surface energy balance are predicted. While satellite-derived datasets exist for this purpose, such as the Clouds and Earth’s Radiant Energy System (CERES), their performance in this region has not been comprehensively evaluated, and they may exhibit significant biases. For example, Jia, et al. [30] conducted a comprehensive validation of CERES surface net radiation fluxes across various sites, covering a range of land cover types, including forests, scrublands, grasslands, bare lands, wetlands, tundra, ice, croplands, and urban areas. The authors reported mean biases of around 3 Wm−2 and Root Mean Square Errors (RMSEs) of 26–34 Wm−2 for daily and monthly data. Lower scores were found at higher latitudes, probably a reflection of the poorer performance of the CERES inversion process over snowy surfaces, and near coastlines, due to the coarser spatial resolution of the CERES data. Xu, et al. [31] evaluated the long-wave fluxes in CERES and ERA-5, amongst other products, against in situ ground measurements at 288 sites around the world. For arid and semi-arid regions, the biases in the net longwave flux are typically negative and can exceed −20 Wm−2, with RMSEs that can be higher than 30 Wm−2. By and large, the performance of the CERES fluxes is poorer compared to temperate regions, for which the absolute biases are mostly within 10 Wm−2. In this work, in situ measurements of the surface radiation fluxes are used to assess both ERA5/ERA5L and CERES, which will ultimately allow for an improvement of the model physics for the reanalysis products and a fine tuning of the retrieval algorithm for the satellite-derived dataset.
Prior studies have validated ERA5 and ERA5L data against various observations globally and regionally. Wang, et al. [32] validated the ERA5L LST against the MODIS-derived LST over global and regional scale for the period of 2001 to 2020. They found a global mean bias of 1.8 K, with regional biases of 1.5 K for the Arctic, 0.7 K for North America, 0.4 K for Europe, 1.7 K for Russia, 0.1 K for Asia, 0.8 K for Africa, 1.9 K for South America, 0.1 K for Oceania, and 3.9 K for Antarctica. Dai [33] extended the validation to the global scale, focusing on variables such as the 10 m wind speed, 2 m dew point temperature, and surface pressure from 1976 to 2005 using only in situ observations. The study found that ERA5 surface parameters are able to reproduce the observed diurnal variations over land but fail to do so over the ocean due to the lack of diurnal variations in sea surface temperature (SST) in the ERA5 data. Babar, et al. [34] focused on solar radiation estimations in Norway from 2000 to 2015, comparing ERA5 with in situ and satellite data. They found that ERA5 provides reliable estimates for global horizontal irradiance (GHI) at high latitudes, with a mean absolute deviation (MAD) of 6.8 W m−2 for monthly averages. Their analysis revealed that ERA5 exhibits a higher bias in solar radiation on shorter time scales due to cloud representation inaccuracies, but these errors decrease significantly over longer time scales, such as months and years. Yilmaz [17] assessed temperature trends from both ERA5 and ERA5L against in situ observations in Turkey from 1951 to 2020, finding strong agreement. ERA5 slightly outperformed ERA5-Land, particularly in recent decades (2001–2020), demonstrating both datasets’ reliability for capturing temperature trends, especially in climate change studies. Tarek, et al. [35] conducted an evaluation of the ERA5 reanalysis as a potential reference dataset for hydrological modeling across the continent, covering the period from 1979 to 2018. They utilized in situ observations to validate the reanalysis data, contributing to the understanding of ERA5’s applicability and reliability for hydrological studies in North America. The study found that ERA5 provided a significant improvement over its predecessor, ERA-Interim, in terms of accuracy for key hydrometeorological variables, making it a valuable dataset for hydrological modeling and water resource management across diverse climates. Concurrently, Bonshoms, et al. [36] focused on the validation of ERA5L 2 m temperature and relative humidity on four Peruvian glaciers using observations from 2017 to 2019. They report that ERA5L showed strong performance for T2m with correlations above 0.80 and an RMSE around ±0.2 °C across sites. Rh2m had lower correlations (~0.4 to ~0.6), with an RMSE ranging from 3% to 7%. These results suggest that ERA5L can be reliably used to characterize T2m and Rh2m, particularly in wet outer tropical glacier regions.
With the advent of machine learning (ML) techniques, the utilization of ERA5 data has grown significantly. ERA5’s high spatial and temporal resolution datasets provide an invaluable resource for training ML models aimed at various applications, such as weather forecasting, climate trend analysis, and anomaly detection [37,38]. These models have shown great promise in enhancing the predictive capabilities and understanding of complex atmospheric phenomena. For instance, ML algorithms have been successfully employed to downscale ERA5 data, thereby improving the local weather prediction accuracy [39]. Additionally, deep learning methods leveraging ERA5 datasets have facilitated the development of sophisticated models for precipitation prediction and extreme weather event forecasting [40,41,42]. Despite these advancements, it is imperative to validate the ERA5 data against ground-based observations to ensure their reliability and accuracy before using them to train ML models. The inherent biases and uncertainties in reanalysis products necessitate this validation, particularly in regions with sparse observational data and an extreme environment, like the Arabian Peninsula. Rigorous cross-validation with in situ measurements can help identify discrepancies and refine the reanalysis datasets, thereby enhancing their applicability and trustworthiness in atmospheric research and operational meteorology [42].
To the best of the authors’ knowledge, there are no comprehensive studies that have directly compared the ERA5/ERA5L products with surface observations over the Southeast Arabian Peninsula region, except for the work by Fonseca, et al. [43], who compared the ERA5 2 m temperature and mean sea-level pressure at three airport stations for a one-week period in July 2018. Therefore, there is a dire need for thorough validation of ERA5 and ERA5L surface products over the Arabian Peninsula region.
In this study, we evaluate the ERA5 and ERA5L products against in situ measurements obtained during the Wind-Blown Sand Experiment–United Arab Emirates (WISE-UAE, [44,45]) in the Empty Quarter desert, also known as the Rub’ al Khali. The WISE-UAE experiment started on 25 July 2022 at Madinat Zayed (23.5761°N, 53.7242°E; elevation: 119 m) located 120 km southwest of Abu Dhabi, UAE. The ERA5 and ERA5L parameters evaluated in this study include the 2 m air temperature (T2m), 2 m relative humidity (RH2m), 10 m wind speed (WS10m), skin temperature (Tskin), and surface pressure. Additionally, net shortwave radiation (SWnet), and net longwave radiation (LWnet) fluxes from ERA5, ERA5L, and CERES are evaluated.
This paper is structured as follows: Section 2 provides details about the observational and reanalysis datasets, along with the methodology employed in this study. Section 3 presents intercomparison results at diurnal and daily scales across different seasons. The discussion and summary are presented in Section 4.

2. Data and Methodology

2.1. ERA5 and ERA5L Reanalysis Data

The ECMWF ERA5, the latest in a series of atmospheric reanalyses, provides an intricate blend of data related to the atmosphere, land, and oceans on an hourly scale. With a horizontal resolution near 30 km, it stretches from the planet’s surface to an elevation of 80 km, and encompasses records from 1940 to the present [15]. ERA5 was developed through an advanced modeling and data assimilation system, incorporating a diverse set of historical atmospheric observations. These data can be downloaded from Copernicus’ Climate Change Service Climate Data Store website (https://cds.climate.copernicus.eu, accessed on 10 September 2024).
ERA5L, an enhanced version of ERA5 focusing on land surface analysis, was developed by applying the ERA5 atmospheric analysis as a driving force [15]. This means that the land simulations are indirectly shaped by the observations assimilated into the ERA5 framework. Offered by the Copernicus Climate Change Service, ERA5L shares ERA5’s hourly temporal resolution but boasts a finer spatial resolution of 0.1 degrees (~9 km). Detailed in Muñoz-Sabater, Dutra, Agustí-Panareda, Albergel, Arduini, Balsamo, Boussetta, Choulga, Harrigan, Hersbach, Martens, Miralles, Piles, Rodríguez-Fernández, Zsoter, Buontempo and Thépaut [16], ERA5L has been available from 1950 up to the present day through https://cds.climate.copernicus.eu (accessed on 10 September 2024). At the heart of ERA5L lies the ECMWF’s land surface model, known as the Carbon Hydrology-Tiled Scheme for Surface Exchanges over Land (CHTESSEL), which segments each land grid-box into various fractions (such as bare ground, different vegetation types, intercepted water, and both shaded and exposed snow). These segments each contribute distinct heat and water fluxes that are integral to calculating the energy balance and determining the skin temperature of each tile.

2.2. CERES Observations

Besides the surface radiation fluxes from ERA5 and ERA5L, we use data from the CERES satellite-derived product [46,47], which are available at an hourly time resolution and with a spatial resolution of 1° × 1°, covering the period from March 2000 to the present. The specific CERES product utilized in this study is the SYN1deg-Level 3 (Edition 4.1, [48]), which is available for free online (https://ceres.larc.nasa.gov/data/, accessed on 10 September 2024).

2.3. The WInd-Blown Sand Experiment (WISE)–UAE Measurements

The WISE-UAE experiment was conducted at Madinat Zayed (23.5761°N, 53.7242°E; elevation: 119 m), located 120 km southwest of Abu Dhabi, UAE. The ground surface is flat, with a fetch of more than 300 m in the maximum prevailing wind direction [45]. The soil type, loamy sand, is highly susceptible to wind erosion. During WISE-UAE, various instruments were deployed to measure parameters, including winds, temperature, humidity, radiation fluxes, saltation, physical and optical properties of dust aerosols, the atmospheric electric field, and soil properties. An overview of the instrumentation used during WISE-UAE and the experiment site is detailed in Nelli et al. [44,45]. In this study, we utilized the 10 m wind speed, 2 m air temperature/relative humidity, skin temperature, soil temperature at a 5 cm depth, and four components of radiation fluxes to validate the ERA5, ERA5L, and CERES products. The specifications and accuracies of the WISE-UAE instruments used are detailed in Table 1. Stringent quality checks, as detailed in Rao and Narendra Reddy [49,50] and Reddy and Rao [51,52], were applied to the raw data, which were then averaged over one-hour intervals.
In addition to the WISE-UAE measurements, we utilized meteorological data from seven UAE airport stations—Abu Dhabi (OMAA), Al Maktoum (OMDW), Dubai (OMDB), Sharjah (OMSJ), Al Ain (OMAL), Ras Al Khaimah (OMRK), and Fujairah (OMFJ)—to extend the validation of ERA5 and ERA5L reanalysis products. At these stations, key meteorological parameters, including the 2 m air temperature, relative humidity, and 10 m wind speed, are available at hourly intervals. The geographical locations of these sites, along with their corresponding ERA5 and ERA5L grid points, are detailed in Table 2.
While the primary objective of this study is to assess biases in reanalysis products using the high-end, scientific-grade instrumentation deployed during the WISE-UAE campaign, the validation against the airport station data is included in the Supplementary Materials. This allows us to focus the main discussion on the comprehensive analysis derived from the WISE-UAE dataset, while still providing a broader spatial evaluation through the additional airport station data.

2.4. Methodology

For the validation of reanalysis and satellite products, we downloaded hourly ERA5, ERA5L, and CERES data from the nearest grid points to the WISE-UAE experiment location (53.7242°E, 23.5761°N). The selected grid points were as follows: ERA5 at 53.75°E, 23.5°N; ERA5L at 53.7°E, 23.6°N; and CERES at 53.5°E, 23.5°N. The reanalysis and satellite data are provided in Universal Time Coordinated (UTC). To facilitate an accurate comparison with observations, we converted the data to the local time (LT) of Abu Dhabi (LT: UTC + 4) by extracting hourly data accordingly. All timings mentioned in this study are in LT. In the present study, the daytime and nighttime hours are defined as 09:00–16:00 LT and 19:00–05:00 LT, respectively, avoiding the day–night transition hours [7,53]. The evaluation period spans nearly 17 months, starting from 25 July 2022 to December 2023.
We have computed various statistical skill scores to evaluate the reanalysis and satellite products against WISE-UAE observations. The correlation coefficient (CC), mean bias (MB), and root-mean-square error (RMSE) are computed based on the following framework of model evaluation by Murphy and Winkler [54]:
Correlation   Coefficient   ( CC ) = i 1 n ( f i f ¯ ) ( O i O ¯ ) i 1 n ( f i f ¯ ) 2 ( O i O ¯ ) 2 MB = 1 N i = 1 n ( f i O i ) RMSE = 1 N i = 1 n ( f i O i ) 2
where f i and O i refer to the reanalysis/satellite and observation data, respectively.

3. Results

The evaluation of diurnal and seasonal variations in the variables targeted for validation was carried out distinctively across boreal seasons: winter (December to February, DJF), spring (March to May, MAM), summer (June to August, JJA), and autumn (September to November, SON). The findings are illustrated in Figure 1, Figure 2, Figure 3, Figure 4, Figure 5 and Figure 6. The diurnal cycle is shown in local time (LT). Figure 1 show the diurnal cycles of T2m, RH2m, WS10m, and surface pressure from observations, ERA5, and ERA5L products for four different seasons. Similarly, Figure 3 and Figure 5 illustrate the diurnal cycles of skin temperature, soil temperature, and radiation fluxes (net shortwave and net longwave radiation), respectively. The biases in ERA5 and ERA5L parameters that we targeted in this study, with respect to observations for each hour of the day and during different seasons, are illustrated with box plots in Figure 2, Figure 4, Figure 6 and Figure 7. The results from Figure 1, Figure 2, Figure 3, Figure 4, Figure 5 and Figure 6 are discussed in Section 3.1, Section 3.2 and Section 3.3.

3.1. Evaluations of Temperature, RH, Wind Speed, and Surface Pressure

The observed T2m exhibits a significant diurnal range, peaking in the afternoon and reaching a minimum in the early morning, which aligns with typical patterns in hyper- arid climates [53,55]. In comparison, both ERA5 and ERA5 Land demonstrate strong agreement with the observed diurnal cycle of T2m throughout all seasons, with ERA5 Land showing a marginally better fit to the observations (Figure 1a–d). Each of the reanalysis products displays a warm bias during the night and a cold bias during the daytime hours (Figure 2a). The range of median bias in T2m is between 0.2 and 2.9 K for ERA5 and −0.4 and 1.5 K for ERA5L during nighttime hours (Figure 2a), and between −0.3 and −2.5 K for ERA5 and 0.2 and −2.5 K for ERA5L during daytime hours (Figure 2a).
Remarkably, irrespective of the season, both ERA5 and ERA5L consistently exhibit a one-hour delay in capturing the daily maxima and minima of T2m (Figure 1a–d). The bias in daily maximum and minimum T2m in ERA5 and ERA5L for the four seasons is shown in Figure 8a. Irrespective of the season, ERA5L is in closer agreement with the observations, and the bias is positive (warm) with a higher median of 0.7 K during the winter season for the daily minimum T2m. The bias is negative (cooler) with a higher median of −0.55 K during the autumn season for the daily maximum T2m.
The bias in daily maximum and minimum T2m values in ERA5 and ERA5L with respect to the seven airport stations in the UAE for the four seasons is shown in Figure S1 and Table S1. The range of median bias in the daily maximum T2m for ERA5 is −0.1 to 0.2 K, −0.8 to 0.0 K, −2.0 to −0.9 K, −0.2 to 0.1 K, −1.2 to 0 K, −3.3 to −1.9 K, and 0.3 to 3.9 K for OMAA, OMDW, OMDB, OMSJ, OMAL, OMRK, and OMFJ, respectively. Similarly, for ERA5L, the range of median bias in the daily maximum T2m is 0.3 to 1.6 K, −0.1 to 0.7 K, −0.8 to −0.5 K, −0.6 to 0 K, −0.9 to −0.5 K, −3.2 to −1.8 K, and −1.1 to 2.6 K for OMAA, OMDW, OMDB, OMSJ, OMAL, OMRK, and OMFJ, respectively.
Similar to findings at the WISE-UAE location, both reanalysis datasets (ERA5 and ERA5L) generally show a negative (cooler) bias in daily maximum T2m. The exception is OMFJ (Fujairah), in particular in ERA5, where a positive bias (warmer) is observed. An inspection of Figure S1 reveals that it occurs predominantly during spring and summer, with the highest magnitudes in the summer months. The weather conditions at Fujairah in the summer are markedly different from those in other parts of the UAE to the west of the Al Hajar mountains: fog occurs predominantly during this season [56], and low-level clouds are a regular occurrence in the morning hours [57]. As the moisture-laden air from the Arabian Sea enters the Sea of Oman and encounters the Al Hajar mountains, it condenses and leads to the development of mesoscale clouds. At ~27 km resolution, ERA-5 may not correctly simulate the daytime cloud cover, resulting in warmer maximum air temperatures. There are other factors that may account for this bias. An incorrect representation of the sea surface temperatures, which exhibit a reduced seasonal cycle in the Sea of Oman compared to the Arabian Gulf [58], is damped in ERA-5 [59]. In addition, the topography of the nearby Hajar Mountains may contribute to localized warming through downslope winds (foehn effect, [60]), where the air heats up as it descends into the coastal region. For the daily minimum T2m, most of the stations exhibit a positive (warmer) bias, which is consistent with findings from the WISE-UAE location.
Both reanalysis products, ERA5 and ERA5L, compare RH2m well with observations during daytime hours (Figure 1e–h). During the remaining hours, ERA5 consistently exhibits a dry bias. ERA5L aligns closely with observations in the early morning hours (0–6 LT) across all seasons but displays a dry bias during the nighttime hours, similar to ERA5. The box plot of hourly bias in RH from ERA5 and ERA5L aligns with the diurnal composites for the four seasons (Figure 2b). The range of median bias in RH2m is between −3 and −12% for ERA5 and 2 and −12% for ERA5L during nighttime hours, and between −1 and 6% for ERA5 and −4 and 5% for ERA5L during daytime hours.
The wind speed at the site typically remains below 6 m s−1 and demonstrates a bimodal distribution, peaking around 16–18 LT due to the influence of daytime sea-breeze circulation (Figure 1i–l). A secondary peak, occurring between 8 and 10 LT, is attributed to the downward mixing of momentum from the nighttime low-level jet to the surface [53,61,62,63]. This secondary peak tends to be less pronounced during the winter season due to smoother temperature inversion near the surface compared to summer [8]. The ERA5 and ERA5 Land reanalysis products accurately replicate the diurnal wind speed pattern, aligning closely with daytime observations. However, during nighttime, the reanalysis products tend to overestimate wind speeds by approximately 2 m s−1 across all seasons.
Both reanalysis products tend to underestimate the daily maximum wind speed at 17:00 LT, except during the winter season, as depicted in Figure 1i–l. The maximum median bias in WS10m reaches 1.9 m s−1 for ERA5 and 1.8 m s−1 for ERA5L in winter during nighttime hours. Conversely, the bias is −1.2 m s−1 for ERA5 and 1.0 m s−1 for ERA5L during summer daytime hours, as illustrated in Figure 2c. The seasonal variability in surface pressure closely follows that of air temperature, exhibiting lower pressure during the summer months, in line with the higher temperatures at the location, and the reverse during colder periods (Figure 1m–p).
To assess the overall performance of the reanalysis products with respect to hourly averaged observations in the hyper-arid region, we calculated the mean bias and RMSE over the analysis period. Table S2 provides an intercomparison of these metrics for ERA5 and ERA5L reanalysis products, focusing on T2m, RH2m, and WS10m, against observations from the WISE-UAE site and seven airport stations across the UAE.
For T2m, both ERA5 and ERA5L exhibit relatively small biases, with ERA5L generally improving upon ERA5. At the WISE-UAE site, ERA5 shows a slight positive bias (0.35 K), which is nearly corrected in ERA5L (−0.07 K). Across most airport stations, RMSE values for T2m are low, ranging from 1.22 K to 2.66 K, indicating good overall performance in capturing the diurnal temperature variations. However, ERA5L has a slightly increased RMSE at OMAA and OMDB. This increase in RMSE may be attributed to the complex urban environments surrounding these stations, where local effects such as urban heat island dynamics and land-use variability can introduce discrepancies between reanalysis products and actual observations. The importance of correctly representing the land use land cover and soil texture at these locations in models for the air temperature predictions has been highlighted by Temimi, Fonseca, Nelli, Weston, Thota, Valappil, Branch, Wizemann, Kondapalli, Wehbe, Al Hosary, Shalaby, Al Shamsi and Al Naqbi [22]. The higher resolution, improved land surface parameterizations, and lack of data assimilation are responsible for the greater variability and slightly higher RMSEs in ERA5L, despite the more skillful bias predictions.
For RH2m, ERA5 tends to overestimate relative humidity at several stations, with particularly high positive biases observed at OMFJ (8.08%) and OMDB (6.32%). ERA5L significantly reduces this bias in most cases; for example, at OMFJ, the bias decreases from −7.6% to −0.8%, which seems to be mostly linked to more accurate temperature forecasts. Despite these improvements in bias, RMSE remains high across all stations, ranging from 8.22% to 18.01%, indicating substantial variability in relative humidity. This suggests that, while ERA5L performs better overall at least partially due to the improved air temperature forecasts, both reanalysis products struggle to fully capture the complexity of humidity dynamics, likely due to factors such as sea-/land-breeze and topography-driven circulations that are difficult to represent accurately at ~27 km resolution in hyper-arid regions. This is also the case for the biases in the representation of the variability of the sea surface temperatures in ERA5 [59].
For WS10m, both ERA5 and ERA5L generally exhibit small negative biases, indicating a slight underestimation of wind speed at most stations, with RMSE values in the range of 1.32 m s−1 to 1.84 m s−1. The mean bias and RMSE values are relatively consistent between the two products, with ERA5L showing slight improvements at stations like OMFJ and WISE-UAE, probably due to improved physics and a higher spatial resolution, which are known to be important for wind forecasts in the region [45]. This suggests that both reanalysis products perform reasonably well in representing wind dynamics in the region, with ERA5L offering a marginal enhancement in accuracy.
It is important to emphasize that the WISE-UAE site, located inland away from the coast and high terrain, is highly representative of the desert environment. The wind speed sensor at this site is precisely positioned at a height of 10 m, with no obstacles obstructing the prevailing wind directions. This setup ensures that the bias and RMSE values at WISE-UAE more accurately reflect true wind conditions in hyper-arid regions, in contrast to airport stations, where obstacles or environmental factors may affect the observations. As a result, the WISE-UAE site serves as a key reference point for evaluating the performance of reanalysis products in this region.
On a diurnal cycle, pressure peaks are observed at 10 LT and 22 LT, while the lowest pressures are seen near 4 LT and 16 LT. These fluctuations are associated with the semi-diurnal tide in this area, showing a notable amplitude of about 1 hPa [53,64]. In winter, the combination of decreased surface pressures in the pre-dawn and early morning hours, together with elevated relative humidity and reduced ground temperatures, promotes the formation of condensation and fog, phenomena that are notably frequent in this region [1,65].
Both reanalysis products exhibit semi-diurnal tide variability in surface pressure, but ERA5 underestimates the surface pressure, whereas ERA5L overestimates it, regardless of the season (Figure 1m–p and Figure 2d). The range of median bias in surface pressure is between −0.24 and −1.34 hPa for ERA5 and 0.68 and 2.07 hPa for ERA5L (Figure 2d).

3.2. Evaluation of Skin Temperature

Within ERA5 and ERA5L, skin temperature is estimated using a sophisticated land surface model that incorporates variables such as air temperature, soil moisture, vegetation cover, and cloud cover [15,16,66]. This model effectively simulates the energy and water fluxes at the land surface, facilitating the estimation of skin temperature across the globe. Despite the comprehensive coverage and advanced modeling techniques employed in ERA5 and ERA5L, the validation of these reanalysis skin temperatures with in situ measurements remains indispensable. In situ validation, involving the comparison of reanalysis data with ground-based observations, serves as a benchmark for accuracy, particularly in hyper-arid regions like the UAE. These regions present unique challenges for both remote sensing and reanalysis models due to extreme temperatures and scarce vegetation.
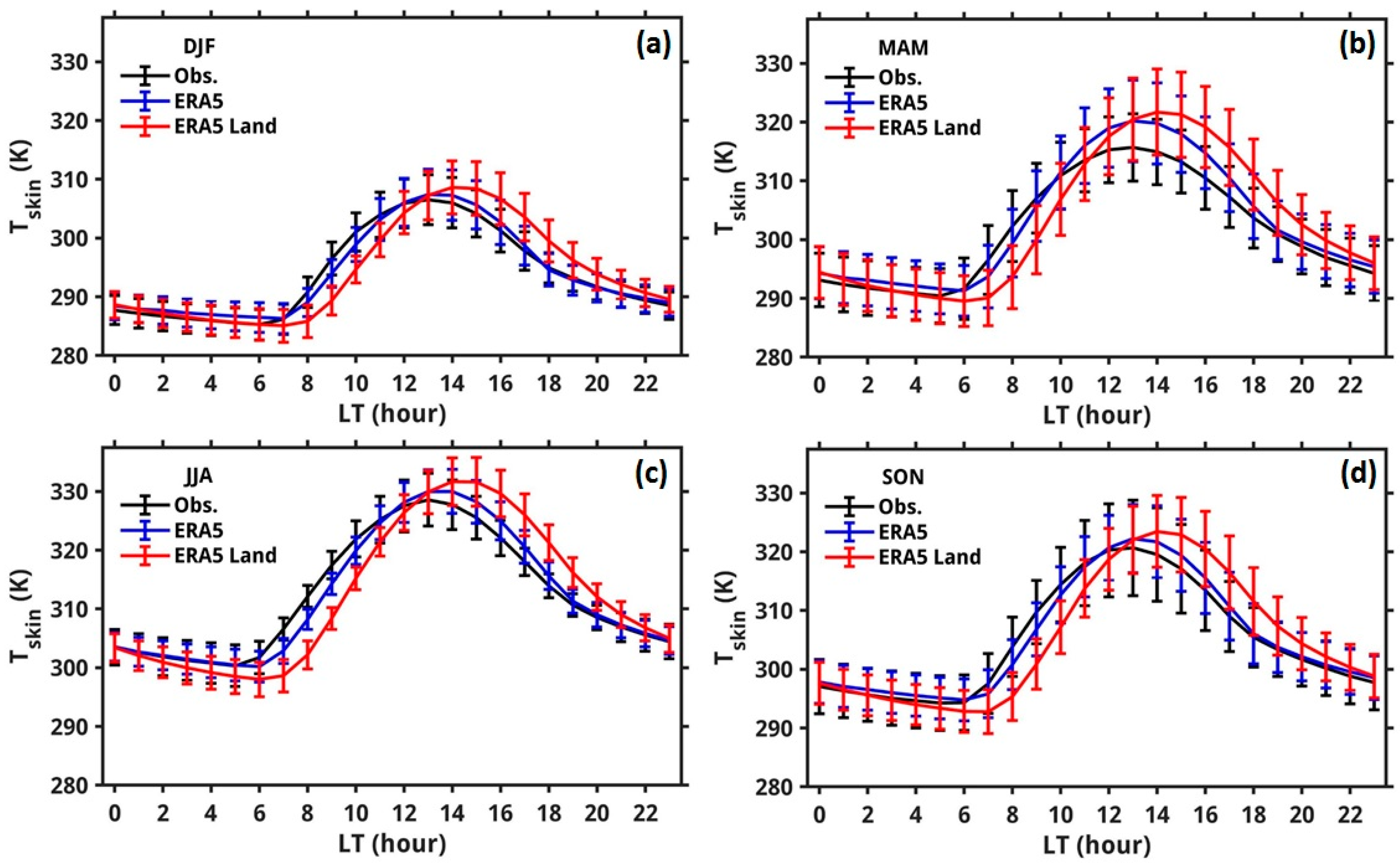
In situ measurements in such environments are crucial for identifying biases and uncertainties in reanalysis datasets, ensuring they accurately represent the unique land–atmosphere interactions occurring in arid landscapes. The validation of ERA5 and ERA5L skin temperatures in hyper-arid regions is not only essential for improving dataset accuracy but also for enhancing our understanding of how these regions respond to and impact climate change, reinforcing the global importance of precise LST data in climate science. To our knowledge, this is the first study in which the bias in ERA5 and ERA5L skin temperature has been analyzed for a hyper-arid region such as the UAE. Figure 3 shows the diurnal cycles of skin temperature from observations and ERA5 and ERA5L products. The biases in ERA5 and ERA5L skin temperature, with respect to observations for each hour of the day and during different seasons, are illustrated in box plots in Figure 4.
The peak in skin temperature occurs 1–2 h earlier than the peak in air temperature, with the highest daily minimum and maximum temperatures noted during the summer season (Figure 4). This aligns with the soil temperature variability documented at the Al Ain location by [53]. Regardless of the season, the reanalysis skin temperatures from both ERA5 and ERA5L demonstrate a small bias (<1 K) during the early morning hours. However, during daytime hours, both reanalysis products exhibit a pronounced warm bias, accompanied by a 1 h delay in the daily maximum skin temperature (Figure 3). The bias in daily maximum and minimum skin temperature in ERA5 and ERA5L for the four seasons is shown in Figure 7b. Irrespective of the season, ERA5 shows a positive (warm) bias. The bias has a higher median of 4.0 K during the spring season in daily maximum Tskin, while the median bias ranges from −1.5 K in summer to 1.0 K in winter for daily minimum Tskin (Figure 8b).

3.3. Evaluation of Surface Radiation Fluxes

Net surface radiation (Rn) is critical in the Earth’s energy budget, and is calculated by the algebraic sum of net shortwave (SWnet = SWdown − SWup) and net longwave radiation (LWnet = LWdown − LWup). As a fundamental component in determining the Earth’s surface energy balance, Rn is pivotal in driving soil and atmospheric heat exchanges, evapotranspiration, and plant photosynthetic processes. Therefore, an accurate assessment of Rn is fundamental for models that simulate land processes, water cycles, and ecological systems. Measuring Rn is accomplished through a variety of methods, including ground-based observations, model simulations, remote sensing techniques, and reanalysis data assimilation. Ground observations, while highly accurate, are geographically limited, making it difficult to meet the demands of comprehensive regional or global analysis. Basic models can provide localized Rn estimates from standard meteorological data, but these lack broader applicability. Conversely, advanced global climate models offer Rn predictions on a global scale, though they often have to contend with limited spatial resolution.
Remote sensing offers a means to obtain high-resolution Rn data, with several algorithms designed to retrieve Rn using data from instruments such as MODIS, SEVIRI, and Landsat. However, the temporal resolution of remote sensing data is sometimes insufficient for certain meteorological and hydrological studies due to limitations imposed by satellite pass times and cloud cover. Reanalysis datasets fill this gap by combining observational data with atmospheric models to furnish Rn information with both high spatial and temporal resolution on a global scale. Nevertheless, the validity of these reanalysis datasets must be confirmed through a comprehensive comparison with ground-based measurements to ensure their accuracy and usefulness. The precision of Rn data is critical for deepening our understanding of climate change, the water cycle, and the degradation of the cryosphere. Inaccuracies in Rn data can lead to significant errors in energy balance studies and affect forecasts and evaluations related to weather, agriculture, and environmental preservation. Consequently, it is crucial to validate the components of Rn, particularly net shortwave and net longwave radiation fluxes, to maintain the integrity of climate models and the strength of related climatological research. This section aims to meticulously validate the net shortwave and net longwave radiation fluxes from ERA5, ERA5L, and CERES using in situ measurements from the WISE-UAE station, located in a hyper-arid region. Figure 5 shows the diurnal cycles of net shortwave and net longwave radiation fluxes from observations and ERA5, ERA5L, and CERES products. The biases in ERA5, ERA5L, and CERES radiation fluxes, with respect to observations for each hour of the day and during different seasons, are illustrated in box plots in Figure 6 and Figure 7.
Regardless of the season, both in situ and satellite-based (CERES) observations exhibit similar diurnal patterns in net shortwave and net longwave radiation, with the peak in net shortwave radiation typically occurring at 12 LT and the lowest point of net longwave radiation at around 13 LT (Figure 5). Nonetheless, there are notable discrepancies between CERES-derived net surface fluxes and those measured at the ground, as depicted in Figure 5. The median bias for the daily maximum net shortwave radiation observed by CERES ranges between 24.5 W m−2 and 150.9 W m−2, as shown in Figure 6c. A similar variation in median bias is observed for the daily maximum net longwave radiation flux by CERES, with values ranging from −10.3 W m−2 to −37.6 W m−2 (Figure 8c). We found the net shortwave radiation flux bias of 24 Wm−2 reported in this study to be within the −5 to +42 Wm−2 range estimated by Inamdar and Guillevic [67] at eight stations in the United States, including at an arid site in the Sonoran Desert. The scores for the net longwave radiation flux, on the other hand, are lower than those reported by Xu, Liang, He, Ma, Zhang, Zhang and Liang [31] for 288 sites over the world, for which the seasonal mean biases are up to +5 Wm−2 and the RMSE values are up to 15 Wm−2. In desert sites, such as in the Australian Desert and Sonoran Desert, the biases in the surface net longwave radiation flux are in the range of −10 Wm−2 to −20 Wm−2, with RMSEs typically between 20 Wm−2 and 30 Wm−2, comparable to those reported here. It is important to note that deficiencies in the representation of the atmospheric composition and/or the surface properties will impact the performance of the CERES product for both shortwave and longwave fluxes.
These discrepancies may be due to several factors. The overestimation of net shortwave radiation by CERES could stem from inaccuracies in representing surface albedo in hyper-arid regions, as small errors in surface reflectivity can significantly affect absorbed solar radiation [68,69]. Additionally, CERES may not fully capture the effects of dust, aerosols, or minimal cloud cover, which scatter and absorb sunlight, leading to an overestimation of the net shortwave flux [68,69]. Model predictions of the surface fluxes in this region are highly sensitive to the amount and optical properties of aerosols [70]. For longwave radiation, the underestimation observed may result from difficulties in accurately capturing surface emissivity and temperature (as noted in Figure 4 and Figure 8b, both reanalysis products have considerable surface temperature biases), particularly in regions with rapid nighttime cooling and heterogeneous surfaces. Moreover, atmospheric water vapor and aerosols, both influential in outgoing longwave radiation, may not be properly represented by CERES in arid environments [68,69].
In line with CERES surface fluxes, the reanalysis of net radiation fluxes, encompassing both shortwave and longwave radiation, exhibits a significant positive bias when compared to ground-based observations. Moreover, the reanalysis data for net shortwave radiation fluxes tends to display a 1 h delay in the peak of daily net shortwave radiation. Specifically, the ERA5 and ERA5L data for net longwave radiation flux show a lag of one and two hours, respectively, in reaching the daily minimum (Figure 5). The biases in daily maximum of net shortwave and net longwave radiation fluxes in ERA5 and ERA5L across the four seasons are depicted in Figure 8c. The median bias for net shortwave radiation flux at its daily maximum varies from 87.5 W m−2 in summer for ERA5 to 97.8 W m−2 in summer for ERA5L. Meanwhile, the median bias for net longwave radiation flux at its daily minimum ranges from −24.4 W m−2 in autumn for ERA5 to −32.7 W m−2 in autumn for ERA5L, as shown in Figure 8c.

3.4. Intercomparison of Reanalysis/Satellite Products with Observations on a Daily Time Scale

In Figure 9, a scatter plot analysis is shown and represents the correlation between the daily averaged in situ measurements and two reanalysis products, ERA5 and ERA5 Land, for four meteorological parameters: 2 m temperature (T2m), 2 m relative humidity (RH2m), 10 m wind speed (WS10m), and surface pressure. The plots are organized into two rows, one for each reanalysis product, and four columns, each corresponding to a different parameter. Figure 10a,b, similar to Figure 9a,e, focuses on Tskin. Figure 11a–f depicts a scatter plot analysis of the correlation between daily averaged in situ measurements of net shortwave and net longwave radiation and the two reanalysis products, ERA5 and ERA5 Land, as well as CERES, across four seasons.
Temperature (T2m): The scatter plots for T2m indicate an exceptional correlation with the in situ measurements for both ERA5 and ERA5 Land, as denoted by the correlation coefficients (R) of 0.99 (Figure 9a–e, Table 3). This near-perfect correlation suggests that the reanalysis temperatures are highly representative of the observed temperatures, making them reliable for applications that require accurate temperature data, such as climate modeling and agricultural planning.
Relative Humidity (RH2m): The RH2m shows a very strong correlation with both reanalysis products, with an R-value of 0.95 (Figure 9b–f, Table 3). While not as high as the temperature correlation, this is still indicative of a very good agreement between the reanalysis humidity data and the in situ observations. The slight spread away from the 1:1 line, especially at higher humidity values, could suggest a tendency of the reanalysis to either slightly overestimate or underestimate extreme humidity levels.
Wind Speed (WS10m): Wind speed correlations are robust, with R-values of 0.88 for both ERA5 and ERA5 Land (Figure 9c,g, Table 3). The plots exhibit a consistent linear trend, although there is a visible spread, suggesting variability in the accuracy of wind speed predictions. This might be attributed to the complexity of capturing wind dynamics in hyper-arid regions, where local topography and thermal gradients can significantly influence wind patterns.
The overall performance metrics of ERA5 and ERA5L with daily averaged data for WISE-UAE and seven airport stations in the UAE are given in Table S3. Overall, there are noticeable improvements in bias and RMSE for both temperature and wind speed when compared to the hourly averages. This suggests that the reanalysis datasets fail to simulate the diurnal cycle of the considered weather variables in the region, which may arise due to the deficiencies in the physics schemes, coarse spatial resolution, and incorrect representation of the diurnal variability in the sea surface temperatures [59]. For T2m, ERA5L continues to outperform ERA5, with RMSE values being significantly lower than in the daily data (e.g., at WISE-UAE, RMSE drops from 1.94 K to 0.74 K). Similarly, for RH2m, the biases are smaller in the daily data, and ERA5L shows a clear improvement, particularly at stations like OMFJ. The RMSE for RH2m is also notably lower, reflecting less variability in the daily averages. WS10m shows consistent minor biases across both timescales, but the RMSE decreases in the daily data, indicating that daily averaging smooths out short-term variations and provides more stable performance metrics. Overall, the daily averaging of observations highlights ERA5L’s improved accuracy over ERA5, particularly in reducing biases and RMSEs for temperature and humidity.
Surface Pressure: Both reanalysis datasets show a perfect correlation (R = 1.00, Figure 9d,h, Table 3) with in situ surface pressure measurements. The data points tightly cluster around the 1:1 line, indicating that the reanalysis surface pressure is virtually indistinguishable from the tower measurements. This level of accuracy is crucial for a range of applications, including weather forecasting and climate research.
Skin temperature (Tskin): In both panels in Figure 10, (a) ERA5 and (b) ERA5 Land exhibit a strong correlation (R = 0.98) with the in situ measurements, as indicated by the proximity of the data points to the solid black line, which denotes a perfect 1:1 match. This high degree of correlation suggests that both ERA5 and ERA5L reanalyses reliably represent the actual surface temperatures observed in the hyper-arid environment of the UAE across different seasons. It is also noteworthy that the distribution of data points across all seasons suggests a consistent performance of the reanalysis products throughout the year. However, slight deviations from the 1:1 correspondence line could indicate potential biases under specific seasonal conditions. Furthermore, a lead–lag relationship between the two time series is particularly evident during the winter season, as depicted in Figure S2. The results presented here validate the reanalysis products as accurate tools for representing surface temperature in this region on daily time scale, which is crucial for climate studies and meteorological research in hyper-arid zones.
Radiation fluxes: The R-values indicate a strong agreement between in situ measurements and reanalysis/satellite products, with R-values of 0.86 for both ERA5 and ERA5L for net shortwave radiation, and a slightly lower correlation of R = 0.83 for CERES (Figure 11a–c). For net longwave radiation, the correlations remain robust with R = 0.82 for ERA5, R = 0.84 for ERA5 Land, and R = 0.73 for CERES (Figure 11d–f). These good correlations suggest that the reanalysis products and CERES satellite data generally capture the variability and magnitude of the surface radiation fluxes well. However, the CERES data show a marginally lower correlation, particularly for net longwave radiation, which may warrant further investigation into sensor discrepancies or algorithm differences. Deviations from the 1:1 line, particularly in certain seasons, may suggest seasonal biases or systematic errors in the datasets. Such biases are crucial for understanding model limitations and improving the accuracy of climate models in hyper-arid regions. Overall, the strong performance of ERA5 and ERA5 Land reanalysis radiation products on daily timescale across all seasons bolsters their utility for climate research, while the slightly lower performance of CERES highlights areas for potential refinement.

4. Discussion and Summary

In this study, we conducted, for the first time, a comprehensive validation of ERA5 and ERA5L reanalysis products, along with CERES radiative fluxes, using measurements acquired at a site in the Empty Quarter Desert in the UAE during the WISE-UAE field experiment. The period of data considered for this analysis spans from 15 July 2022 to December 2023. The parameters validated cover a broad spectrum of meteorological variables, including air temperature (T2m), relative humidity (RH2m), wind speed (WS10m), surface pressure, skin temperature (Tskin), and net radiation fluxes. The validation of reanalysis and CERES products was performed on diurnal and daily timescales across four seasons. To provide a broader spatial context for evaluating the performance of ERA5 and ERA5L across the UAE, we extended the validation to include seven UAE airport stations—Abu Dhabi (OMAA), Al Maktoum (OMDW), Dubai (OMDB), Sharjah (OMSJ), Al Ain (OMAL), Ras Al Khaimah (OMRK), and Fujairah (OMFJ)—for key parameters such as the 2 m air temperature, relative humidity, and 10 m wind speed.
Both ERA5 and ERA5L demonstrate strong agreement with the observed diurnal cycle of T2m across all seasons, with ERA5L showing a marginally better fit with the observations. Each of the reanalysis products exhibits a warm bias during the night and a cold bias during the daytime, with magnitudes generally within 2 K. The warm night biases and cold day biases in temperature are likely influenced by the unique thermal properties of desert surfaces, which have a low heat capacity and high thermal inertia. During the night, the rapid radiative cooling of the surface can lead to a decoupling of the boundary layer, reducing mixing and trapping heat closer to the surface, which may not be fully captured by reanalysis models. Similarly, during the day, the intense surface heating can lead to deeper boundary layers, which can result in cold biases if the models underestimate the depth of mixing or surface energy fluxes. An incorrect representation of the aerosol loading and the aerosol optical properties may also contribute to these discrepancies. ERA5L reduces biases in T2m across most locations, particularly at the WISE-UAE site, where the bias drops from 0.35 K (ERA5) to −0.07 K (ERA5L). Similar improvements are observed in the daily averaged statistics, where ERA5L further reduces T2m biases. Our analysis reveals that the wind speed at the site typically does not exceed 6 m s−1 and exhibits a distinctive bimodal distribution, underscored by the dynamics of the sea-breeze circulation and the nocturnal low-level jet. The first peak in wind speed, ranging from 4–6 m s−1 observed between 16 and 18 LT, is attributed to the daily advancement of the sea breeze inland. The secondary peak of 3–4 m s−1 between 8 and 10 LT is associated with the downward mixing of momentum from the nocturnal low-level jet which starts after sunrise. This finding aligns with previous studies in desert environments that have demonstrated the downward mixing of momentum from elevated jets to the surface, a process that effectively enhances surface wind speeds in the early hours [53,61,62,63]. Notably, the prominence of this peak varies seasonally, with a diminished intensity observed during the winter months, suggesting a possible modulation by the seasonal variation in temperature gradients and the strength of the low-level jet.
While the ERA5 and ERA5L reanalysis products demonstrate a commendable accuracy in replicating the diurnal wind speed pattern, especially during the daytime, a notable discrepancy emerges during the nighttime. The reanalysis products tend to overestimate wind speeds by approximately 2 m s−1, a bias that persists across all seasons. This overestimation may be related to the stable boundary layer conditions that typically form in desert environments after sunset. Under such conditions, reanalysis models may overestimate the strength of turbulent mixing and wind strength near the surface, leading to higher wind speed estimates than those observed. This is also evident in hourly WS10m, where mean biases range from −0.7 m s−1 to 0.29 m s−1 across different locations, with ERA5L showing slight improvements. An incorrect representation of the wind’s subgrid-scale variability and of the surface drag parameterization scheme are also factors that may explain wind biases in numerical models (e.g., [22,71,72]). In the daily averaged data, ERA5L shows marginal improvements in RMSE for WS10m, with values ranging from 0.57 m s−1 to 1.15 m s−1. This overestimation may reflect limitations in the reanalysis models’ representations of nocturnal boundary layer processes, particularly the stabilization of the boundary layer and the attenuation of surface wind speeds under stable conditions [9,52].
At night, the Earth’s surface cools due to the emission of longwave radiation back into the atmosphere, leading to the formation of a stable boundary layer characterized by a temperature inversion. Under such conditions, the cooler, denser air near the ground reduces vertical mixing. The reanalysis products’ overestimations of 10 m wind speeds during nighttime could artificially enhance the mixing within the boundary layer, homogenizing the temperature profile near the surface by bringing warmer air from above down to the 2 m level. This mechanism could contribute to the warm bias in 2 m air temperature during nighttime, as the models may over represent the downward mixing of warmer air due to overestimated wind speeds.
During the day, we observed a 1–3 K cold bias in T2m within the reanalysis datasets. This can be linked to biases in (i) Tskin, which is also underestimated by up to 10 K; (ii) surface net shortwave radiation flux, which is underpredicted by up to 100 W m−2; and (iii) surface net longwave radiation, which is underestimated by up to 50 W m−2. The positive biases in Tskin and net shortwave radiation indicate that the reanalysis models might overestimate the solar radiation absorbed by the Earth’s surface. However, this does not translate into a higher air T2m, as evidenced by the cold bias in this field, suggesting an interference from other factors. The cold bias in T2m may arise from an underestimation of the surface sensible heat flux, possibly due to incorrect representations of surface properties, such as surface albedo, emissivity, and aerodynamic roughness length [72]. Other factors include deficiencies in the representation of the observed aerosol loading and optical properties, cloud cover, topography, as well as deficiencies in the soil model. The latter may be more prominent in arid regions where the water table can be very shallow and, at some sites, may even reach the surface [29]. The negative bias in net longwave radiation is an indication that the reanalyses emit more longwave radiation than observed, which can be attributed to the higher-than-observed surface skin temperature.
The observed time-lagged biases in capturing daily temperature extremes, as well as the delays in peak radiation times, suggest deficiencies in the models’ data assimilation processes, the physical representation of diurnal cycles, and the handling of surface and atmospheric boundary layer processes. Improving the representation of these processes, especially in arid environments, will be critical for enhancing the accuracy and reliability of reanalysis products. In addition, incorporating improved dust and aerosol representations into the models could address biases in radiation fluxes, as these particles strongly influence both shortwave and longwave radiation in arid regions. Continuous validation against high-quality, high-resolution observational data is crucial for reducing these biases, thereby enhancing the utility of reanalysis products for a wide range of applications in climate research and operational meteorology. This validation work contributes significantly to the ongoing evaluation and improvement of global reanalysis products, offering valuable insights for researchers utilizing these datasets for meteorological and climatological studies.
For future work, we recommend prioritizing enhanced field campaigns in desert regions to gather higher-resolution in situ data, including turbulence flux measurements, for the more accurate validation and refinement of model parameterizations. Additionally, incorporating machine learning techniques could help fine-tune model parameters in reanalysis products, offering a more adaptive approach to better capture region-specific processes.

Supplementary Materials

The following supporting information can be downloaded at https://www.mdpi.com/article/10.3390/rs16193593/s1, Figure S1: Box plot of bias in reanalysis data (blue (red) box is ERA5 (ERA5L) with respect to metar stations for (a,b) winter, (c,d) spring, (e,f) summer, and (g,h) autumn in daily minima and maxima of 2m air temperature; Table S1: Range of median bias (K) and RMSE (K) in ERA5 and ERA5L daily maximum and minimum T2m for seven airport stations in the UAE; Table S2: Mean bias and RMSE in ERA5 and ERA5L hourly averaged T2m (K), RH2m (%), and WS10m (m s−1) for WISE-UAE and seven airport stations in the UAE. Values in the brackets indicates the intercomparison statistics of ERA5-Land products with respect to observations; Table S3: Same as Table S2, but for daily averaged data; Figure S2: Daily averaged skin temperature from ground-based observations, ERA5, and ERA5 Land for the period 25 July, 2022–December, 2023.

Author Contributions

N.N.: conceptualization; data acquisition and analysis; interpretation of the results; writing the original draft. D.F.: conceptualization, formal analysis; interpretation of the results; inputs to the manuscripts, supervision and funding acquisition. A.A.: formal analysis, interpretation of the results; inputs to the manuscripts. R.F.: formal analysis, interpretation of the results; inputs to the manuscripts. All authors have read and agreed to the published version of the manuscript.

Funding

This research was funded by Federal Authority for Nuclear Regulation (FANR) through the research project Modeling of Radionuclides Dispersion in the UAE Environment (MORAD). The grant number is 8434000306. The APC was funded by Khalifa University of Science and Technology, United Arab Emirates.

Data Availability Statement

All the data used in the present analysis are available at https://doi.org/10.5281/zenodo.10836654, accessed on 10 September 2024. MATLAB software version R2022b was utilized for data analysis and plotting in this study.

Acknowledgments

We would like to thank Khalifa University’s high-performance computing and research computing facilities for their support of this research work. We are also grateful to the SHAMS solar power company (https://www.shamspower.ae/, accessed on 10 September 2024) and Emirates Tech (ETECH; https://www.etechuae.com/, accessed on 10 September 2024) for their invaluable support and assistance in the deployment of the instruments during the WISE-UAE field campaign.

Conflicts of Interest

The authors declare they have no conflicts of interest.

References

  1. Fonseca, R.; Francis, D.; Nelli, N.; Cherif, C. Regional atmospheric circulation patterns driving consecutive fog events in the United Arab Emirates. Atmos. Res. 2023, 282, 106506. [Google Scholar] [CrossRef]
  2. Francis, D.; Chaboureau, J.-P.; Nelli, N.; Cuesta, J.; Alshamsi, N.; Temimi, M.; Pauluis, O.; Xue, L. Summertime dust storms over the Arabian Peninsula and impacts on radiation, circulation, cloud development and rain. Atmos. Res. 2021, 250, 105364. [Google Scholar] [CrossRef]
  3. Francis, D.; Fonseca, R.; Bozkurt, D.; Nelli, N.; Guan, B. Atmospheric River Rapids and Their Role in the Extreme Rainfall Event of April 2023 in the Middle East. Geophys Res. Lett. 2024, 51, e2024GL109446. [Google Scholar] [CrossRef]
  4. Francis, D.; Fonseca, R.; Nelli, N.; Bozkurt, D.; Cuesta, J.; Bosc, E. On the Middle East’s severe dust storms in spring 2022: Triggers and impacts. Atmos. Environ. 2023, 296, 119539. [Google Scholar] [CrossRef]
  5. Francis, D.; Fonseca, R.; Nelli, N.; Teixido, O.; Mohamed, R.; Perry, R. Increased Shamal winds and dust activity over the Arabian Peninsula during the COVID-19 lockdown period in 2020. Aeolian Res. 2022, 55, 100786. [Google Scholar] [CrossRef]
  6. Francis, D.; Temimi, M.; Fonseca, R.; Nelli, N.R.; Abida, R.; Weston, M.; Whebe, Y. On the analysis of a summertime convective event in a hyperarid environment. Q. J. R. Meteorol. Soc. 2021, 147, 501–525. [Google Scholar] [CrossRef]
  7. Nelli, N.; Fissehaye, S.; Francis, D.; Fonseca, R.; Temimi, M.; Weston, M.; Abida, R.; Nesterov, O. Characteristics of Atmospheric Aerosols Over the UAE Inferred From CALIPSO and Sun Photometer Aerosol Optical Depth. Earth Space Sci. 2021, 8, e2020EA001360. [Google Scholar] [CrossRef]
  8. Nelli, N.; Francis, D.; Abida, R.; Fonseca, R.; Masson, O.; Bosc, E. In-situ measurements of fog microphysics: Visibility parameterization and estimation of fog droplet sedimentation velocity. Atmos. Res. 2024, 309, 107570. [Google Scholar] [CrossRef]
  9. Nelli, N.R.; Francis, D.; Fonseca, R.; Abida, R.; Weston, M.; Wehbe, Y.; Al Hosary, T. The atmospheric controls of extreme convective events over the southern Arabian Peninsula during the spring season. Atmos. Res. 2021, 262, 105788. [Google Scholar] [CrossRef]
  10. Francis, D.; Fonseca, R. Recent and projected changes in climate patterns in the Middle East and North Africa (MENA) region. Sci. Rep. 2024, 14, 10279. [Google Scholar] [CrossRef]
  11. Murakami, H.; Vecchi, G.A.; Underwood, S. Increasing frequency of extremely severe cyclonic storms over the Arabian Sea. Nat. Clim. Change 2017, 7, 885–889. [Google Scholar] [CrossRef]
  12. Zittis, G.; Almazroui, M.; Alpert, P.; Ciais, P.; Cramer, W.; Dahdal, Y.; Fnais, M.; Francis, D.; Hadjinicolaou, P.; Howari, F.; et al. Climate Change and Weather Extremes in the Eastern Mediterranean and Middle East. Rev. Geophys. 2022, 60, e2021RG000762. [Google Scholar] [CrossRef]
  13. Almazroui, M.; Nazrul Islam, M.; Athar, H.; Jones, P.D.; Rahman, M.A. Recent climate change in the Arabian Peninsula: Annual rainfall and temperature analysis of Saudi Arabia for 1978–2009. Int. J. Climatol. 2012, 32, 953–966. [Google Scholar] [CrossRef]
  14. Hersbach, H.; Bell, B.; Berrisford, P.; Biavati, G.; Horányi, A.; Muñoz Sabater, J.; Nicolas, J.; Peubey, C.; Radu, R.; Rozum, I.; et al. ERA5 hourly data on single levels from 1940 to present. Copernicus Climate Change Service (C3S) Climate Data Store (CDS). 2024. Available online: https://cds.climate.copernicus.eu/cdsapp#!/dataset/10.24381/cds.adbb2d47?tab=overview (accessed on 10 September 2024).
  15. Hersbach, H.; Bell, B.; Berrisford, P.; Hirahara, S.; Horányi, A.; Muñoz-Sabater, J.; Nicolas, J.; Peubey, C.; Radu, R.; Schepers, D.; et al. The ERA5 global reanalysis. Q. J. R. Meteorol. Soc. 2020, 146, 1999–2049. [Google Scholar] [CrossRef]
  16. Muñoz-Sabater, J.; Dutra, E.; Agustí-Panareda, A.; Albergel, C.; Arduini, G.; Balsamo, G.; Boussetta, S.; Choulga, M.; Harrigan, S.; Hersbach, H.; et al. ERA5-Land: A state-of-the-art global reanalysis dataset for land applications. Earth Syst. Sci. Data 2021, 13, 4349–4383. [Google Scholar] [CrossRef]
  17. Yilmaz, M. Accuracy assessment of temperature trends from ERA5 and ERA5-Land. Sci. Total Environ. 2023, 856, 159182. [Google Scholar] [CrossRef]
  18. Mahto, S.S.; Mishra, V. Does ERA-5 Outperform Other Reanalysis Products for Hydrologic Applications in India? J. Geophys. Res. Atmos. 2019, 124, 9423–9441. [Google Scholar] [CrossRef]
  19. Sheridan, S.C.; Lee, C.C.; Smith, E.T. A Comparison Between Station Observations and Reanalysis Data in the Identification of Extreme Temperature Events. Geophys Res. Lett. 2020, 47, e2020GL088120. [Google Scholar] [CrossRef]
  20. Tahir, Z.u.R.; Azhar, M.; Mumtaz, M.; Asim, M.; Moeenuddin, G.; Sharif, H.; Hassan, S. Evaluation of the reanalysis surface solar radiation from NCEP, ECMWF, NASA, and JMA using surface observations for Balochistan, Pakistan. J. Renew. Sustain. Energy 2020, 12, 023703. [Google Scholar] [CrossRef]
  21. Bosilovich, M.G.; Chen, J.; Robertson, F.R.; Adler, R.F. Evaluation of Global Precipitation in Reanalyses. J. Appl. Meteorol. Climatol. 2008, 47, 2279–2299. [Google Scholar] [CrossRef]
  22. Temimi, M.; Fonseca, R.; Nelli, N.; Weston, M.; Thota, M.; Valappil, V.; Branch, O.; Wizemann, H.-D.; Kondapalli, N.K.; Wehbe, Y.; et al. Assessing the Impact of Changes in Land Surface Conditions on WRF Predictions in Arid Regions. J. Hydrometeorol. 2020, 21, 2829–2853. [Google Scholar] [CrossRef]
  23. Bojinski, S.; Verstraete, M.; Peterson, T.C.; Richter, C.; Simmons, A.; Zemp, M. The Concept of Essential Climate Variables in Support of Climate Research, Applications, and Policy. Bull. Am. Meteorol. Soc. 2014, 95, 1431–1443. [Google Scholar] [CrossRef]
  24. Li, Z.L.; Wu, H.; Duan, S.B.; Zhao, W.; Ren, H.; Liu, X.; Leng, P.; Tang, R.; Ye, X.; Zhu, J.; et al. Satellite Remote Sensing of Global Land Surface Temperature: Definition, Methods, Products, and Applications. Rev. Geophys. 2023, 61, e2022RG000777. [Google Scholar] [CrossRef]
  25. Zemp, M. The status of the global climate observing system 2021: The GCOS status report. In The Status of the Global Climate Observing System 2021: The GCOS Status Report; Eggleston, S., Míguez, B.M., Oakley, T., Rea, A., Robbez, M., Tassone, C., Eds.; GCOS: Geneva, Switzerland, 2021. [Google Scholar]
  26. Dirmeyer, P.A.; Chen, L.; Wu, J.; Shin, C.-S.; Huang, B.; Cash, B.A.; Bosilovich, M.G.; Mahanama, S.; Koster, R.D.; Santanello, J.A.; et al. Verification of Land–Atmosphere Coupling in Forecast Models, Reanalyses, and Land Surface Models Using Flux Site Observations. J. Hydrometeorol. 2018, 19, 375–392. [Google Scholar] [CrossRef] [PubMed]
  27. Schär, C.; Vidale, P.L.; Lüthi, D.; Frei, C.; Häberli, C.; Liniger, M.A.; Appenzeller, C. The role of increasing temperature variability in European summer heatwaves. Nature 2004, 427, 332–336. [Google Scholar] [CrossRef]
  28. Seneviratne, S.I.; Lüthi, D.; Litschi, M.; Schär, C. Land–atmosphere coupling and climate change in Europe. Nature 2006, 443, 205–209. [Google Scholar] [CrossRef]
  29. Fonseca, R.; Zorzano-Mier, M.P.; Azua-Bustos, A.; González-Silva, C.; Martín-Torres, J. A surface temperature and moisture intercomparison study of the Weather Research and Forecasting model, in-situ measurements and satellite observations over the Atacama Desert. Q. J. R. Meteorol. Soc. 2019, 145, 2202–2220. [Google Scholar] [CrossRef]
  30. Jia, A.; Jiang, B.; Liang, S.; Zhang, X.; Ma, H. Validation and Spatiotemporal Analysis of CERES Surface Net Radiation Product. Remote Sens. 2016, 8, 90. [Google Scholar] [CrossRef]
  31. Xu, J.; Liang, S.; He, T.; Ma, H.; Zhang, Y.; Zhang, G.; Liang, H. Variability and trends in land surface longwave radiation fluxes from six satellite and reanalysis products. Int. J. Digit. Earth 2023, 16, 2912–2940. [Google Scholar] [CrossRef]
  32. Wang, Y.-R.; Hessen, D.O.; Samset, B.H.; Stordal, F. Evaluating global and regional land warming trends in the past decades with both MODIS and ERA5-Land land surface temperature data. Remote Sens. Environ. 2022, 280, 113181. [Google Scholar] [CrossRef]
  33. Dai, A. The diurnal cycle from observations and ERA5 in surface pressure, temperature, humidity, and winds. Clim. Dyn. 2023, 61, 2965–2990. [Google Scholar] [CrossRef]
  34. Babar, B.; Graversen, R.; Boström, T. Solar radiation estimation at high latitudes: Assessment of the CMSAF databases, ASR and ERA5. Sol. Energy 2019, 182, 397–411. [Google Scholar] [CrossRef]
  35. Tarek, M.; Brissette, F.P.; Arsenault, R. Evaluation of the ERA5 reanalysis as a potential reference dataset for hydrological modelling over North America. Hydrol. Earth Syst. Sci. 2020, 24, 2527–2544. [Google Scholar] [CrossRef]
  36. Bonshoms, M.; Ubeda, J.; Liguori, G.; Körner, P.; Navarro, Á.; Cruz, R. Validation of ERA5-Land temperature and relative humidity on four Peruvian glaciers using on-glacier observations. J. Mt. Sci. 2022, 19, 1849–1873. [Google Scholar] [CrossRef]
  37. Cavaiola, M.; Tuju, P.E.; Ferrari, F.; Casciaro, G.; Mazzino, A. Ensemble Machine Learning greatly improves ERA5 skills for wind energy applications. Energy AI 2023, 13, 100269. [Google Scholar] [CrossRef]
  38. Kumar, S.; Mukhopadhyay, P.; Balaji, C. A machine learning based deep convective trigger for climate models. Clim. Dyn. 2024, 62, 8183–8200. [Google Scholar] [CrossRef]
  39. Hu, W.; Scholz, Y.; Yeligeti, M.; von Bremen, L.; Deng, Y. Downscaling ERA5 wind speed data: A machine learning approach considering topographic influences. Environ. Res. Lett. 2023, 18, 094007. [Google Scholar] [CrossRef]
  40. Galea, D.; Ma, H.-Y.; Wu, W.-Y.; Kobayashi, D. Deep Learning Image Segmentation for Atmospheric Rivers. Artif. Intell. Earth Syst. 2024, 3, 230048. [Google Scholar] [CrossRef]
  41. Lin, X.; Fan, J.; Hou, Z.J.; Wang, J. Machine Learning of Key Variables Impacting Extreme Precipitation in Various Regions of the Contiguous United States. J. Adv. Model. Earth Syst. 2023, 15, e2022MS003334. [Google Scholar] [CrossRef]
  42. Sun, H.; Yao, T.; Su, F.; He, Z.; Tang, G.; Li, N.; Zheng, B.; Huang, J.; Meng, F.; Ou, T.; et al. Corrected ERA5 Precipitation by Machine Learning Significantly Improved Flow Simulations for the Third Pole Basins. J. Hydrometeorol. 2022, 23, 1663–1679. [Google Scholar] [CrossRef]
  43. Fonseca, R.; Francis, D.; Nelli, N.; Thota, M. Climatology of the heat low and the intertropical discontinuity in the Arabian Peninsula. Int. J. Climatol. 2021, 42, 1092–1117. [Google Scholar] [CrossRef]
  44. Nelli, N.; Francis, D.; Fonseca, R.; Masson, O.; Sow, M.; Bosc, E. First measurements of electric field variability during fog events in the United Arab Emirates. J. Arid Environ. 2024, 220, 105096. [Google Scholar] [CrossRef]
  45. Nelli, N.; Francis, D.; Sow, M.; Fonseca, R.; Alkatheeri, A.; Bosc, E.; Bergametti, G. The Wind-Blown Sand Experiment in the Empty Quarter Desert: Roughness Length and Saltation Characteristics. Earth Space Sci. 2024, 11, e2024EA003512. [Google Scholar] [CrossRef]
  46. Doelling, D.R.; Loeb, N.G.; Keyes, D.F.; Nordeen, M.L.; Morstad, D.; Nguyen, C.; Wielicki, B.A.; Young, D.F.; Sun, M. Geostationary Enhanced Temporal Interpolation for CERES Flux Products. J. Atmos. Ocean. Technol. 2013, 30, 1072–1090. [Google Scholar] [CrossRef]
  47. Doelling, D.R.; Sun, M.; Nguyen, L.T.; Nordeen, M.L.; Haney, C.O.; Keyes, D.F.; Mlynczak, P.E. Advances in Geostationary-Derived Longwave Fluxes for the CERES Synoptic (SYN1deg) Product. J. Atmos. Ocean. Technol. 2016, 33, 503–521. [Google Scholar] [CrossRef]
  48. Kratz, D.P.; Gupta, S.K.; Wilber, A.C.; Sothcott, V.E. Validation of the CERES Edition-4A Surface-Only Flux Algorithms. J. Appl. Meteorol. Climatol. 2020, 59, 281–295. [Google Scholar] [CrossRef]
  49. Rao, K.G.; Narendra Reddy, N. Surface layer structure for ten categories of land surfaces of the Indian region with instrumented Mini Boundary Layer Mast Network (MBLM-Net) establishment during PRWONAM. J. Atmos. Sol. Terr. Phys. 2018, 173, 66–95. [Google Scholar] [CrossRef]
  50. Rao, K.G.; Reddy, N.N. On Moisture Flux of the Indian Summer Monsoon: A New Perspective. Geophys Res. Lett. 2019, 46, 1794–1804. [Google Scholar] [CrossRef]
  51. Reddy, N.N.; Rao, K.G. Roughness Lengths at Four Stations Within the Micrometeorological Network over the Indian Monsoon Region. Bound. Layer Meteorol. 2015, 158, 151–164. [Google Scholar] [CrossRef]
  52. Reddy, N.N.; Rao, K.G. Contrasting variations in the surface layer structure between the convective and non-convective periods in the summer monsoon season for Bangalore location during PRWONAM. J. Atmos. Sol. Terr. Phys. 2018, 167, 156–168. [Google Scholar] [CrossRef]
  53. Nelli, N.R.; Temimi, M.; Fonseca, R.M.; Weston, M.J.; Thota, M.S.; Valappil, V.K.; Branch, O.; Wizemann, H.-D.; Wulfmeyer, V.; Wehbe, Y. Micrometeorological measurements in an arid environment: Diurnal characteristics and surface energy balance closure. Atmos. Res. 2020, 234, 104745. [Google Scholar] [CrossRef]
  54. Murphy, A.H.; Winkler, R.L. A General Framework for Forecast Verification. Mon. Weather Rev. 1987, 115, 1330–1338. [Google Scholar] [CrossRef]
  55. Branch, O.; Schwitalla, T.; Temimi, M.; Fonseca, R.; Nelli, N.; Weston, M.; Milovac, J.; Wulfmeyer, V. Seasonal and diurnal performance of daily forecasts with WRF V3.8.1 over the United Arab Emirates. Geosci. Model Dev. 2021, 14, 1615–1637. [Google Scholar] [CrossRef]
  56. Mohan, T.S.; Temimi, M.; Ajayamohan, R.S.; Nelli, N.R.; Fonseca, R.; Weston, M.; Valappil, V. On the Investigation of the Typology of Fog Events in an Arid Environment and the Link with Climate Patterns. Mon. Weather Rev. 2020, 148, 3181–3202. [Google Scholar] [CrossRef]
  57. Fonseca, R.; Francis, D.; Nelli, N.; Farrah, S.; Wehbe, Y.; Al Hosari, T.; Al Mazroui, A. Assessment of the WRF Model as a Guidance Tool Into Cloud Seeding Operations in the United Arab Emirates. Earth Space Sci. 2022, 9, e2022EA002269. [Google Scholar] [CrossRef]
  58. Nesterov, O.; Temimi, M.; Fonseca, R.; Nelli, N.R.; Addad, Y.; Bosc, E.; Abida, R. Validation and statistical analysis of the Group for High Resolution Sea Surface Temperature data in the Arabian Gulf. Oceanologia 2021, 63, 497–515. [Google Scholar] [CrossRef]
  59. Dai, A. The diurnal cycle from observations and ERA5 in precipitation, clouds, boundary layer height, buoyancy, and surface fluxes. Clim. Dyn. 2024, 62, 5879–5908. [Google Scholar] [CrossRef]
  60. Elvidge, A.D.; Renfrew, I.A. The Causes of Foehn Warming in the Lee of Mountains. Bull. Am. Meteorol. Soc. 2016, 97, 455–466. [Google Scholar] [CrossRef]
  61. Bou Karam Francis, D.; Flamant, C.; Chaboureau, J.P.; Banks, J.; Cuesta, J.; Brindley, H.; Oolman, L. Dust emission and transport over Iraq associated with the summer Shamal winds. Aeolian Res. 2017, 24, 15–31. [Google Scholar] [CrossRef]
  62. Giannakopoulou, E.M.; Toumi, R. The Persian Gulf summertime low-level jet over sloping terrain. Q. J. R. Meteorol. Soc. 2011, 138, 145–157. [Google Scholar] [CrossRef]
  63. Nelli, N.; Francis, D.; Fonseca, R.; Bosc, E.; Addad, Y.; Temimi, M.; Abida, R.; Weston, M.; Cherif, C. Characterization of the atmospheric circulation near the Empty Quarter Desert during major weather events. Front. Environ. Sci. 2022, 10, 972380. [Google Scholar] [CrossRef]
  64. Bitan, A.; Sa’Aroni, H. The horizontal and vertical extension of the Persian Gulf pressure trough. Int. J. Climatol. 1992, 12, 733–747. [Google Scholar] [CrossRef]
  65. Aldababseh, A.; Temimi, M. Analysis of the Long-Term Variability of Poor Visibility Events in the UAE and the Link with Climate Dynamics. Atmosphere 2017, 8, 242. [Google Scholar] [CrossRef]
  66. Trigo, I.F.; Boussetta, S.; Viterbo, P.; Balsamo, G.; Beljaars, A.; Sandu, I. Comparison of model land skin temperature with remotely sensed estimates and assessment of surface-atmosphere coupling. J. Geophys. Res. Atmos. 2015, 120, 12096–12111. [Google Scholar] [CrossRef]
  67. Inamdar, A.K.; Guillevic, P.C. Net Surface Shortwave Radiation from GOES Imagery—Product Evaluation Using Ground-Based Measurements from SURFRAD. Remote Sens. 2015, 7, 10788–10814. [Google Scholar] [CrossRef]
  68. Huang, Y.; Taylor, P.C.; Rose, F.G.; Rutan, D.A.; Shupe, M.D.; Webster, M.A.; Smith, M.M. Toward a more realistic representation of surface albedo in NASA CERES-derived surface radiative fluxes: A comparison with the MOSAiC field campaign: Comparison of CERES and MOSAiC surface radiation fluxes. Elem. Sci. Anthr. 2022, 10, 00013. [Google Scholar] [CrossRef]
  69. Yan, H.; Huang, J.; Minnis, P.; Wang, T.; Bi, J. Comparison of CERES surface radiation fluxes with surface observations over Loess Plateau. Remote Sens. Environ. 2011, 115, 1489–1500. [Google Scholar] [CrossRef]
  70. Fonseca, R.; Francis, D.; Weston, M.; Nelli, N.; Farah, S.; Wehbe, Y.; AlHosari, T.; Teixido, O.; Mohamed, R. Sensitivity of Summertime Convection to Aerosol Loading and Properties in the United Arab Emirates. Atmosphere 2021, 12, 1687. [Google Scholar] [CrossRef]
  71. Fonseca, R.; Temimi, M.; Thota, M.S.; Nelli, N.R.; Weston, M.J.; Suzuki, K.; Uchida, J.; Kumar, K.N.; Branch, O.; Wehbe, Y.; et al. On the Analysis of the Performance of WRF and NICAM in a Hyperarid Environment. Weather Forecast. 2020, 35, 891–919. [Google Scholar] [CrossRef]
  72. Nelli, N.R.; Temimi, M.; Fonseca, R.M.; Weston, M.J.; Thota, M.S.; Valappil, V.K.; Branch, O.; Wulfmeyer, V.; Wehbe, Y.; Al Hosary, T.; et al. Impact of Roughness Length on WRF Simulated Land-Atmosphere Interactions Over a Hyper-Arid Region. Earth Space Sci. 2020, 7, e2020EA001165. [Google Scholar] [CrossRef]
Figure 1. Diurnal variations in meteorological parameters from ground-based observations and reanalysis products over a hyper-arid region in the United Arab Emirates. Parameters shown are the composite of (ad) the 2 m temperature (T2m, K), (eh) 2 m relative humidity (RH2m, %), (il) 10 m wind speed (WS10m, m s−1), and (mp) surface pressure (hPa) for four seasons: December–January–February (DJF, first column), March–April–May (MAM, second column), June–July–August (JJA, third column), and September–October–November (SON, fourth column). Ground-based observations, ERA5, and ERA5 Land reanalysis data are depicted with black, blue, and red solid lines, respectively. Error bars indicate one standard deviation.
Figure 1. Diurnal variations in meteorological parameters from ground-based observations and reanalysis products over a hyper-arid region in the United Arab Emirates. Parameters shown are the composite of (ad) the 2 m temperature (T2m, K), (eh) 2 m relative humidity (RH2m, %), (il) 10 m wind speed (WS10m, m s−1), and (mp) surface pressure (hPa) for four seasons: December–January–February (DJF, first column), March–April–May (MAM, second column), June–July–August (JJA, third column), and September–October–November (SON, fourth column). Ground-based observations, ERA5, and ERA5 Land reanalysis data are depicted with black, blue, and red solid lines, respectively. Error bars indicate one standard deviation.
Remotesensing 16 03593 g001
Figure 2. Box plots of bias with respect to in situ measurements for winter (blue boxes), spring (red boxes), summer (green boxes), and autumn (magenta boxes): (a) 2 m air temperature (T2m), (b) 2 m relative humidity (RH2m), (c) 10 m wind speed (WS10m), and (d) surface pressure. The top (bottom) panel in each subplot indicates the bias in ERA5 (ERA5L) with respect to the observation.
Figure 2. Box plots of bias with respect to in situ measurements for winter (blue boxes), spring (red boxes), summer (green boxes), and autumn (magenta boxes): (a) 2 m air temperature (T2m), (b) 2 m relative humidity (RH2m), (c) 10 m wind speed (WS10m), and (d) surface pressure. The top (bottom) panel in each subplot indicates the bias in ERA5 (ERA5L) with respect to the observation.
Remotesensing 16 03593 g002aRemotesensing 16 03593 g002b
Figure 3. The same as Figure 1, but for skin temperature (K).
Figure 3. The same as Figure 1, but for skin temperature (K).
Remotesensing 16 03593 g003
Figure 4. Box plots of bias in skin temperature with respect to in situ measurements for winter (blue boxes), spring (red boxes), summer (green boxes), and autumn (magenta boxes). (a) ERA5 and (b) ERA5L.
Figure 4. Box plots of bias in skin temperature with respect to in situ measurements for winter (blue boxes), spring (red boxes), summer (green boxes), and autumn (magenta boxes). (a) ERA5 and (b) ERA5L.
Remotesensing 16 03593 g004
Figure 5. The same as Figure 1, but for net shortwave radiation (W m−2, (ad)) and net longwave radiation (W m−2, (eh)).
Figure 5. The same as Figure 1, but for net shortwave radiation (W m−2, (ad)) and net longwave radiation (W m−2, (eh)).
Remotesensing 16 03593 g005
Figure 6. Box plots of bias in net shortwave radiation flux with respect to in situ measurements for winter (blue boxes), spring (red boxes), summer (green boxes), and autumn (magenta boxes). The bias in (a) ERA5 and (b) ERA5L with respect to the observations. (c) Bias in CERES with respect to the observations.
Figure 6. Box plots of bias in net shortwave radiation flux with respect to in situ measurements for winter (blue boxes), spring (red boxes), summer (green boxes), and autumn (magenta boxes). The bias in (a) ERA5 and (b) ERA5L with respect to the observations. (c) Bias in CERES with respect to the observations.
Remotesensing 16 03593 g006
Figure 7. The same as Figure 6, but for the net longwave radiation flux.
Figure 7. The same as Figure 6, but for the net longwave radiation flux.
Remotesensing 16 03593 g007
Figure 8. Box plots of bias with respect to in situ measurements for winter (blue boxes), spring (red boxes), summer (green boxes), and autumn (magenta boxes) in daily minima/maxima of (a) 2 m air temperature (K), (b) skin temperature; (c) daily maximum in net shortwave radiation and net longwave radiation.
Figure 8. Box plots of bias with respect to in situ measurements for winter (blue boxes), spring (red boxes), summer (green boxes), and autumn (magenta boxes) in daily minima/maxima of (a) 2 m air temperature (K), (b) skin temperature; (c) daily maximum in net shortwave radiation and net longwave radiation.
Remotesensing 16 03593 g008aRemotesensing 16 03593 g008b
Figure 9. Correlation analysis of daily averaged in situ measurements with reanalysis data for key meteorological parameters in a hyper-arid region of the UAE. The first row (ad) corresponds to ERA5 and the second row (eh) to ERA5 Land. Each column represents a scatter plot for (a) T2m (K), (b) RH2m (%), (c) WS10m (m s−1), and (d) surface pressure (hPa). The solid black line indicates the 1:1 correspondence, serving as a reference for an ideal match.
Figure 9. Correlation analysis of daily averaged in situ measurements with reanalysis data for key meteorological parameters in a hyper-arid region of the UAE. The first row (ad) corresponds to ERA5 and the second row (eh) to ERA5 Land. Each column represents a scatter plot for (a) T2m (K), (b) RH2m (%), (c) WS10m (m s−1), and (d) surface pressure (hPa). The solid black line indicates the 1:1 correspondence, serving as a reference for an ideal match.
Remotesensing 16 03593 g009
Figure 10. The same as Figure 9, but for skin temperature (Tskin, K). (a) ERA5 and (b) ERA5 Land.
Figure 10. The same as Figure 9, but for skin temperature (Tskin, K). (a) ERA5 and (b) ERA5 Land.
Remotesensing 16 03593 g010
Figure 11. Correlation analysis of daily averaged in situ measurements with reanalysis data and remote sensing satellite (CERES) data for net shortwave and net longwave radiation fluxes in a hyper-arid region of the UAE. The first column (ad) corresponds to ERA5, the second column (be) to ERA5 Land, and the third column (cf) to CERES. The solid black line indicates the 1:1 correspondence, serving as a reference for an ideal match.
Figure 11. Correlation analysis of daily averaged in situ measurements with reanalysis data and remote sensing satellite (CERES) data for net shortwave and net longwave radiation fluxes in a hyper-arid region of the UAE. The first column (ad) corresponds to ERA5, the second column (be) to ERA5 Land, and the third column (cf) to CERES. The solid black line indicates the 1:1 correspondence, serving as a reference for an ideal match.
Remotesensing 16 03593 g011
Table 1. List of meteorological instruments used in the present study, along with their specifications.
Table 1. List of meteorological instruments used in the present study, along with their specifications.
S. No.Instrument (Make and Model)Measured ParametersMeasurement Height and Sampling IntervalAccuracy
1Temperature and RH sensor (Campbell Scientific, USA; HygoVUE10) Temperature and relative humidity2 m and 1 minTemperature: ±0.2 °C (over the range of −40 to +70 °C)
Relative humidity: ±1.5–2%
2All-in-one weather sensor (Lufft, Germany; WS501)Temperature and RH, wind speed and wind direction, global solar radiation, and air pressure10 m and 1 minWind speed: ±0.3 m s−1
Wind direction: <3°
3Net Radiometer (Kipp and Zonen, USA; CNR4)Four components of radiation fluxes (upward and downward SW and LW radiation fluxes)2 m and 1 minPyranometers: ±10 W m−2
Pygeometer: <6 W m−2
4Soil temperature sensor (Campbell Scientific, USA; 107-33-PT)Soil temperature+5 cm, skin, −5 cm±0.2 °C (over the range of 0 to +50 °C)
Table 2. List of stations (WISE-UAE and airport stations) included in the validation study, along with their names, geographical coordinates (latitude, longitude, and elevation), and corresponding ERA5 and ERA5 Land grid points.
Table 2. List of stations (WISE-UAE and airport stations) included in the validation study, along with their names, geographical coordinates (latitude, longitude, and elevation), and corresponding ERA5 and ERA5 Land grid points.
Station Name (Metar Code)Station LatitudeStation LongitudeStation Elevation (m)ERA5 Grid LatitudeERA5 Grid LatitudeERA5 Land Grid LatitudeERA5 Grid Land Latitude
WISE-UAE23.576153.724211923.553.7523.653.7
Abu Dhabi (OMAA)24.43354.65112724.554.7524.454.7
Al Maktoum (OMDW)24.89755.1611925.055.2524.955.2
Dubai (OMDB)25.253955.3656525.2555.2525.355.4
Sharjah (OMSJ)25.328655.51723325.2555.525.355.5
Al Ain (OMAL)24.261755.609226224.2555.524.355.6
Ras Al Khaimah (OMRK)25.613555.93883125.556.025.655.9
Fujairah (OMFJ)25.112256.3242825.056.2525.156.3
Table 3. Summary of the daily averaged ERA5, ERA5L, and CERES parameters and intercomparison with observations at the WISE-UAE location. These include the correlation coefficient (R), slope of scatter plots in Figure 9, Figure 10 and Figure 11, mean bias (MB), root mean square error (RMSE), and the number of daily averaged points (N). The statistics presented in this table are statistically significant at the 95% confidence level. Values indicates the intercomparison statistics of ERA5 (ERA5-Land, CERES *) products with respect to the observations.
Table 3. Summary of the daily averaged ERA5, ERA5L, and CERES parameters and intercomparison with observations at the WISE-UAE location. These include the correlation coefficient (R), slope of scatter plots in Figure 9, Figure 10 and Figure 11, mean bias (MB), root mean square error (RMSE), and the number of daily averaged points (N). The statistics presented in this table are statistically significant at the 95% confidence level. Values indicates the intercomparison statistics of ERA5 (ERA5-Land, CERES *) products with respect to the observations.
ParameterDatasetsRSlopeMBRMSEN
Temperature at 2 m (K)Winter0.92 (0.90)0.92 (0.89)0.44 (0.12)0.91 (0.91)101 (101)
Spring0.99 (0.99)0.98 (0.98)0.65 (0.16)0.85 (0.64)92 (92)
Summer0.92 (0.94)0.94 (0.94)0.11 (−0.35)0.63 (0.66)130 (130)
Autumn0.99 (0.99)1.06 (1.08)0.34 (−0.07)0.63 (0.57)182 (182)
RH at 2 m (%)Winter0.94 (0.94)0.93 (0.88)−2.73 (−1.06)4.96 (4.41)101 (101)
Spring0.95 (0.95)0.92 (0.93)−4.37 (−2.65)5.87 (4.82)92 (92)
Summer0.86 (0.87)0.89 (0.90)−4.53 (−2.27)6.84 (5.50)130 (130)
Autumn0.92 (0.93)0.81 (0.83)−4.02 (−1.86)6.02 (4.49)182 (182)
Wind speed at 10 m (m s−1)Winter0.9 (0.9)0.87 (0.86)0.88 (0.83)1.00 (0.96)101 (101)
Spring0.95 (0.95)0.86 (0.82)0.54 (0.52)0.69 (0.69)92 (92)
Summer0.88 (0.88)0.77 (0.75)0.28 (0.23)0.58 (0.58)130 (130)
Autumn0.78 (0.79)0.71 (0.68)0.57 (0.49)0.73 (0.68)182 (182)
Surface pressure (hPa)Winter1 (1)1.04 (1.03)−0.77 (1.38)0.79 (1.40)101 (101)
Spring1 (1)1 (0.98)−0.81 (1.20)0.82 (1.21)92 (92)
Summer1 (1)1 (1)−0.82 (1.19)0.83 (1.20)130 (130)
Autumn1 (1)1.01 (0.99)−0.88 (1.17)0.89 (1.18)182 (182)
Skin temperature (K)Winter0.76 (0.78)0.71 (0.73)0.31 (0.39)1.57 (1.52)101 (101)
Spring0.99 (0.99)0.92 (0.92)1.46 (1.47)1.67 (1.70)92 (92)
Summer0.78 (0.81)0.90 (0.92)0.11 (−0.05)1.42 (1.34)130 (130)
Autumn0.96 (0.96)1.17 (1.18)0.48 (0.29)1.77 (1.76)182 (182)
Net shortwave radiation (W m−2)Winter0.75 (0.77, 0.69 *)0.86 (0.89, 0.59 *)4.87 (4.74, 7.45 *)14.73 (14.17, 21.83 *)101 (101, 75 *)
Spring0.88 (0.88, 0.94 *)0.92 (0.91, 0.72 *)7.06 (10.16, 16.82 *)14.93 (16.64, 21.6 *)92 (92, 92 *)
Summer0.64 (0.64, 0.66 *)0.86 (0.87, 0.65 *)15.72 (19.49, 37.92 *)22.38 (25.1, 41.61 *)130 (130, 130 *)
Autumn0.58 (0.59, 0.57 *)0.63 (0.62, 0.48 *)11.86 (13.25, 24.24 *)21.52 (22.4, 31.95 *)180 (180, 180 *)
Net longwave radiation (W m−2)Winter0.82 (0.83, 0.88 *)0.75 (0.74, 0.63 *)−13.34 (−13.07, −10.75 *)15.71 (15.48, 14.69 *)101 (101, 75 *)
Spring0.92 (0.91, 0.9 *)0.89 (0.91, 0.6 *)−16.91 (−17.34, −6.3 *)18.59 (18.99, 14.93 *)92 (92, 92 *)
Summer0.83 (0.83, 0.78 *)0.74 (0.79, 0.45 *)−22.5 (−22.02, −12.57 *)24.13 (23.54, 20.37 *)130 (130, 130 *)
Autumn0.55 (0.57, 0.51 *)0.37 (0.40, 0.32 *)−27.68 (−26.37, −25.73 *)30.28 (28.80, 29.18 *)180 (180, 180 *)
Disclaimer/Publisher’s Note: The statements, opinions and data contained in all publications are solely those of the individual author(s) and contributor(s) and not of MDPI and/or the editor(s). MDPI and/or the editor(s) disclaim responsibility for any injury to people or property resulting from any ideas, methods, instructions or products referred to in the content.

Share and Cite

MDPI and ACS Style

Nelli, N.; Francis, D.; Alkatheeri, A.; Fonseca, R. Evaluation of Reanalysis and Satellite Products against Ground-Based Observations in a Desert Environment. Remote Sens. 2024, 16, 3593. https://doi.org/10.3390/rs16193593

AMA Style

Nelli N, Francis D, Alkatheeri A, Fonseca R. Evaluation of Reanalysis and Satellite Products against Ground-Based Observations in a Desert Environment. Remote Sensing. 2024; 16(19):3593. https://doi.org/10.3390/rs16193593

Chicago/Turabian Style

Nelli, Narendra, Diana Francis, Abdulrahman Alkatheeri, and Ricardo Fonseca. 2024. "Evaluation of Reanalysis and Satellite Products against Ground-Based Observations in a Desert Environment" Remote Sensing 16, no. 19: 3593. https://doi.org/10.3390/rs16193593

APA Style

Nelli, N., Francis, D., Alkatheeri, A., & Fonseca, R. (2024). Evaluation of Reanalysis and Satellite Products against Ground-Based Observations in a Desert Environment. Remote Sensing, 16(19), 3593. https://doi.org/10.3390/rs16193593

Note that from the first issue of 2016, this journal uses article numbers instead of page numbers. See further details here.

Article Metrics

Back to TopTop