Exploration of Deep-Learning-Based Error-Correction Methods for Meteorological Remote-Sensing Data: A Case Study of Atmospheric Motion Vectors
Abstract
1. Introduction
2. Data
2.1. AMV Data
2.2. Reanalysis Data
2.3. Error Estimation
- (1)
- Using various quality-evaluation functions, such as Mean Absolute Error (MAE), Root Mean Square Error (RMSE), and correlation coefficient (R), along with a coefficient for measuring the consistency of wind field fluid characteristics.
- (2)
- Based on numerical weather prediction models and their corresponding assimilation systems, we can conduct assimilation forecast experiments to evaluate the real-world effectiveness of our research findings.
3. Methods
3.1. Dataset
3.2. Model Building
3.2.1. Multi-Task Learning
3.2.2. Time Model
3.2.3. Space Model
3.2.4. Time-Space Correction Network
3.3. Assimilation Experiment Settings
4. Results
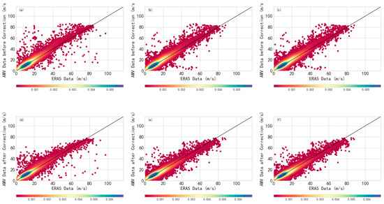
4.1. Error-Correction Effectiveness
4.2. Further Evaluation
4.3. Assimilation Experiment Results
- (1)
- Assimilation of single-channel AMVs data before error correction (BC-Single);
- (2)
- Assimilation of single-channel AMVs data after error correction (AC-Single);
- (3)
- Assimilation of multi-channel AMVs data before error correction (BC-Multi);
- (4)
- Assimilation of multi-channel AMVs data after error correction (AC-Multi).
- (1)
- When analyzing the data, it is important to consider the proximity of each data point in terms of both horizontal distance and pressure height. In this study, a close horizontal distance is defined as 0.5 degrees of latitude and longitude, while a similar pressure height is determined by data within 50 hPa of each other. By considering these factors, we can ensure that we are comparing data points that are in the same pressure layer and are geographically close to each other. If multiple data points exist simultaneously, make the following judgments: if the data point is located between 150–300 hPa, prioritize selecting data from the C009 channel; if the data point is between 300–500 hPa, prioritize selecting data from the C010 channel; if the data point is below 500 hPa, prioritize selecting data from the C012 channel. If there are multiple data points from the same channel, select the data with the higher QI value;
- (2)
- When there is a single data point within the same horizontal distance and height layer, it should be used;
- (3)
- When data points are spread out across various height layers but have the same horizontal distance, it is recommended to utilize all of them.
5. Discussions
- (1)
- By analyzing the temporal and spatial aspects of AMVs independently and combining their features, the model effectively utilizes the unique data properties of AMVs and improves its ability to extract and fit features;
- (2)
- The multi-scale temporal dimension module set for AMV temporal characteristics effectively extracts temporal features, retaining long-term continuous features and capturing small-scale variation features, thus making the wind field’s temporal continuity more complete;
- (3)
- In the spatial dimension, a setup with multiple layers for encoding and decoding is utilized. This setup not only learns the larger spatial features of AMVs but also improves the ability to capture finer details. The channel attention module, created separately, aids in constraining the features of AMVs by considering the pressure and temperature field characteristics, thereby enhancing their physical attributes.
- (1)
- The model’s correction effect has a long-lasting duration. In challenging circumstances where there is a lack of new data for training, the model’s correction effect can remain stable for a minimum of 4 months;
- (2)
- Deep-learning technology can effectively correct AMV errors, showing significant correction effects across various dimensions, including daily observation errors of different channels, observation errors at different pressure levels, and observation errors with different QI quality labels;
- (3)
- As the amount of data increases, the error-correction capabilities of deep-learning technology can be further enhanced. By utilizing extensive historical observation data and top-notch reanalysis data, the model’s ability to correct errors will enhance as it continuously receives and undergoes training with more data;
- (4)
- The WRFDA assimilation experiment results further confirm the effectiveness of AMV error correction. The assimilation effect of corrected AMV data is significantly enhanced, and the newly set multi-channel fusion optimization strategy can further improve the assimilation effect of AMVs data.
Author Contributions
Funding
Data Availability Statement
Conflicts of Interest
References
- Zeng, Q.C. Weather forecast—From empirical to physicomathematical theory and super-computing system engineering. Physics 2013, 42, 300–314. [Google Scholar]
- Benjamin, S.G.; Brown, J.M.; Brunet, G.; Lynch, P.; Saito, K.; Schlatter, T.W. 100 years of progress in forecasting and NWP applications. Meteorol. Monogr. 2019, 59, 13.1–13.67. [Google Scholar] [CrossRef]
- Bauer, P.; Thorpe, A.; Brunet, G. The quiet revolution of numerical weather prediction. Nature 2015, 525, 47–55. [Google Scholar] [CrossRef] [PubMed]
- Bannister, R.N. A review of operational methods of variational and ensemble-variational data assimilation. Q. J. R. Meteorol. Soc. 2017, 143, 607–633. [Google Scholar] [CrossRef]
- Zhang, L.; Liu, Y.; Liu, Y.; Gong, J.; Lu, H.; Jin, Z.; Tian, W.; Liu, G.; Zhou, B.; Zhao, B. The operational global four-dimensional variational data assimilation system at the China Meteorological Administration. Q. J. R. Meteorol. Soc. 2019, 145, 1882–1896. [Google Scholar] [CrossRef]
- Xue, J.S. Scientific issues and perspective of assimilation of meteorological satellite data. Acta Meteorol. Sin. 2009, 67, 903–911. [Google Scholar]
- Eyre, J.; English, S.; Forsythe, M. Assimilation of satellite data in numerical weather prediction. Part I: The early years. Q. J. R. Meteorol. Soc. 2020, 146, 49–68. [Google Scholar] [CrossRef]
- Sun, X.J.; Zhang, C.L.; Fang, L.; Lu, W.; Zhao, S.J.; Ye, S. A review of the technical system of spaceborne Doppler wind lidar and its assessment method. Natl. Remote Sens. Bull. 2022, 26, 1260–1273. [Google Scholar] [CrossRef]
- Velden, C.S.; Hayden, C.M.; Nieman SJ, W.; Paul Menzel, W.; Wanzong, S.; Goerss, J.S. Upper-tropospheric winds derived from geostationary satellite water vapor observations. Bull. Am. Meteorol. Soc. 1997, 78, 173. [Google Scholar] [CrossRef][Green Version]
- Jianmin, X.; Qisong, Z. Status review on atmospheric motion vectors-derivation and application. J. Appl. Meteorol. Sci. 2006, 17, 574–582. [Google Scholar]
- Lee, E.; Todling, R.; Karpowicz, B.M.; Jin, J.; Sewnath, A.; Park, S.K. Assessment of Geo-Kompsat-2A Atmospheric Motion Vector Data and Its Assimilation Impact in the GEOS Atmospheric Data Assimilation System. Remote Sens. 2022, 14, 5287. [Google Scholar] [CrossRef]
- Chen, K.; Guan, P. The Impacts of Assimilating Fengyun-4A Atmospheric Motion Vectors on Typhoon Forecasts. Atmosphere 2023, 14, 375. [Google Scholar] [CrossRef]
- Lyu, X.; Wang, X. The Impact of High-Density Airborne Observations and Atmospheric Motion Vector Observation Assimilation on the Prediction of Rapid Intensification of Hurricane Matthew (2016). Atmosphere 2024, 15, 395. [Google Scholar] [CrossRef]
- Yang, C.Y.; Lu, Q.F.; Jing, L. Numerical experiments of assimilation and forecasts by using dualchannels AMV products of FY-2 C based on height reassignment. J. PLA Univ. Sci. Technol. (Nat. Sci. Ed.)/Jiefangjun Ligong Daxue Xuebao 2012, 13, 6. [Google Scholar]
- Folger, K.; Weissmann, M. Lidar-Based Height Correction for the Assimilation of Atmospheric Motion Vectors. J. Appl. Meteorol. Climatol. 2016, 55, 2211–2227. [Google Scholar] [CrossRef]
- Hoffman, R.N.; Lukens, K.E.; Ide, K.; Garrett, K. A collocation study of atmospheric motion vectors (AMVs) compared to Aeolus wind profiles with a feature track correction (FTC) observation operator. Q. J. R. Meteorol. Soc. 2022, 148, 321–337. [Google Scholar] [CrossRef]
- Lean, K.; Bormann, N. Using Model Cloud Information to Reassign Low-Level Atmospheric Motion Vectors in the ECMWF Assimilation System. J. Appl. Meteorol. Climatol. 2023, 62, 361–376. [Google Scholar] [CrossRef]
- Jian, S.; Zhuo, C.; Heng, L.; Simeng, Q.; Xin, W.; Limin, Y.; Wei, X. Application of artificial intelligence technology to numerical weather prediction. J. Mech. Eng. 2021, 32, 1–11. [Google Scholar]
- Key, J.; Maslanik, J.A.; Schweiger, A.J. Classification of merged AVHRR and SMMR Arctic data with neural networks. Photogramm. Eng. Remote Sens. 1989, 55, 1331–1338. [Google Scholar]
- Dai, L.; Zhang, C.; Xue, L.; Ma, L.; Lu, X. Eyed tropical cyclone intensity objective estimation model based on infrared satellite image and relevance vector machine. J. Remote Sens. 2018, 22, 581–590. [Google Scholar] [CrossRef]
- Han, L.; Chen, M.; Chen, K.; Chen, H.; Zhang, Y.; Lu, B.; Song, L.; Qin, R. A Deep Learning Method for Bias Correction of ECMWF 24–240 h Forecasts. Adv. Atmos. Sci. 2021, 38, 1444–1459. [Google Scholar] [CrossRef]
- Ziyi, D.; Zhenhong, D.; Sensen, W.; Yadong, L.; Feng, Z.; Renyi, L. An automatic marine mesoscale eddy detection model based on improved U-Net network. Haiyang Xuebao 2022, 44, 123–131. [Google Scholar]
- Hess, P.; Boers, N. Deep Learning for Improving Numerical Weather Prediction of Heavy Rainfall. J. Adv. Model. Earth Syst. 2022, 14, e2021MS002765. [Google Scholar] [CrossRef]
- Litjens, G.; Kooi, T.; Bejnordi, B.E.; Setio, A.A.A.; Ciompi, F.; Ghafoorian, M.; van der Laak, J.A.W.M.; van Ginneken, B.; Sánchez, C.I. A survey on deep learning in medical image analysis. Med. Image Anal. 2017, 42, 60–88. [Google Scholar] [CrossRef]
- Liu, W.; Wang, Z.; Liu, X.; Zeng, N.; Liu, Y.; Alsaadi, F.E. A survey of deep neural network architectures and their applications. Neurocomputing 2017, 234, 11–26. [Google Scholar] [CrossRef]
- Pouyanfar, S.; Sadiq, S.; Yan, Y.; Tian, H.; Tao, Y.; Reyes, M.P.; Shyu, M.-L.; Chen, S.-C.; Iyengar, S.S. A Survey on Deep Learning: Algorithms, Techniques, and Applications. ACM Comput. Surv. 2018, 51, 92. [Google Scholar] [CrossRef]
- Alom, M.Z.; Taha, T.M.; Yakopcic, C.; Westberg, S.; Sidike, P.; Nasrin, M.S.; Hasan, M.; Van Essen, B.C.; Awwal, A.A.S.; Asari, V.K. A State-of-the-Art Survey on Deep Learning Theory and Architectures. Electronics 2019, 8, 292. [Google Scholar] [CrossRef]
- Li, T.; Wu, D.; Wang, L.; Yu, X. Recognition algorithm for deep convective clouds based on FY4A. Neural Comput. Appl. 2022, 34, 21067–21088. [Google Scholar] [CrossRef]
- Oh, S.G.; Son, S.W.; Kim, Y.H.; Park, C.; Ko, J.; Shin, K.; Ha, J.-H.; Lee, H. Deep learning model for heavy rainfall nowcasting in South Korea. Weather. Clim. Extrem. 2024, 44, 100652. [Google Scholar] [CrossRef]
- Wang, C.; Li, X. A Deep Learning Model for Estimating Tropical Cyclone Wind Radius from Geostationary Satellite Infrared Imagery. Mon. Weather. Rev. 2023, 151, 403–417. [Google Scholar] [CrossRef]
- Otsuka, M.; Seko, H.; Shimoji, K.; Yamashita, K. Characteristics of Himawari-8 Rapid Scan Atmospheric Motion Vectors Utilized in Mesoscale Data Assimilation. J. Meteorol. Soc. Jpn. 2018, 96, 111–131. [Google Scholar] [CrossRef]
- Velden, C.; Lewis, W.E.; Bresky, W.; Stettner, D.; Daniels, J.; Wanzong, S. Assimilation of high-resolution satellite-derived atmospheric motion vectors: Impact on HWRF forecasts of tropical cyclone track and intensity. Mon. Wea. Rev. 2017, 145, 1107–1125. [Google Scholar] [CrossRef]
- Kunii, M.; Otsuka, M.; Shimoji, K.; Seko, H. Ensemble data assimilation and forecast experiments for the September 2015 heavy rainfall event in Kanto and Tohoku Regions with atmospheric motion vectors from Himawari-8. SOLA 2016, 12, 209–214. [Google Scholar] [CrossRef][Green Version]
- Zhao, J.; Gao, J.; Jones, T.A.; Hu, J. Impact of Assimilating High-Resolution Atmospheric Motion Vectors on Convective Scale Short-Term Forecasts: 2. Assimilation Experiments of GOES-16 Satellite Derived Winds. J. Adv. Model. Earth Syst. 2021, 13, 1–25. [Google Scholar] [CrossRef]
- Lu, F.; Zhang, X.H.; Chen, B.Y.; Liu, H.; Wu, R.; Han, Q.; Zhang, Z.Q. FY-4 geostationary meteorological satellite imaging characteristics and its application prospects. J. Mar. Meteorol. 2017, 37, 1–12. [Google Scholar]
- Zhang, Z.Q.; Lu, F.; Fang, X.; Tang, S.; Zhang, X.; Xu, Y.; Han, W.; Nie, S.; Shen, Y.; Zhou, Y. Application and development of FY-4 meteorological satellite. Aerosp. Shanghai 2017, 34, 8–19. [Google Scholar]
- Wan, X.; Gong, J.; Han, W.; Tian, W. The Evaluation of FY-4A AMVs in GRAPES_RAFS. Meteorol. Mon. 2019, 45, 458–468. [Google Scholar]
- Chen, Y.; Shen, J.; Fan, S.; Meng, D.; Wang, C. Characteristics of Fengyun-4A Satellite Atmospheric Motion Vectors and Their Impacts on Data Assimilation. Adv. Atmos. Sci. 2020, 37, 1222–1238. [Google Scholar] [CrossRef]
- Chen, Y.; Shen, J.; Fan, S.; Wang, C. A study of the observational error statistics and assimilation applications of the FY-4A satellite atmospheric motion vector. Trans. Atmos Sci. 2021, 44, 418–427. [Google Scholar]
- Faghmous, J.H.; Kumar, V. A Big Data Guide to Understanding Climate Change: The Case for Theory-Guided Data Science. Big Data 2014, 2, 155–163. [Google Scholar] [CrossRef]
- Gheysari, A.F.; Maghoul, P.; Ojo, E.R.; Shalaby, A. Reliability of ERA5 and ERA5-Land reanalysis data in the Canadian Prairies. Theor. Appl. Climatol. 2024, 155, 3087–3098. [Google Scholar] [CrossRef]
- Hersbach, H.; Bell, B.; Berrisford, P.; Hirahara, S.; Horányi, A.; Muñoz-Sabater, J.; Nicolas, J.; Peubey, C.; Radu, R.; Schepers, D.; et al. The ERA5 global reanalysis. Q. J. R. Meteorol. Soc. 2020, 146, 1999–2049. [Google Scholar] [CrossRef]
- Graham, R.M.; Hudson, S.R.; Maturilli, M. Improved Performance of ERA5 in Arctic Gateway Relative to Four Global Atmospheric Reanalyses. Geophys. Res. Lett. 2019, 46, 6138–6147. [Google Scholar] [CrossRef]
- Taszarek, M.; Pilguj, N.; Allen, J.T.; Gensini, V.; Brooks, H.E.; Szuster, P. Comparison of Convective Parameters Derived from ERA5 and MERRA-2 with Rawinsonde Data over Europe and North America. J. Clim. 2021, 34, 3211–3237. [Google Scholar] [CrossRef]
- Benjamin, S.G.; Schwartz, B.E.; Cole, R.E. Accuracy of ACARS Wind and Temperature Observations Determined by Collocation. Weather. Forecast. 1999, 14, 1032. [Google Scholar] [CrossRef]
- Gao, F.; Zhang, X.Y.; Jacobs, N.A.; Huang, X.Y.; Zhang, X.; Childs, P.P. Estimation of TAMDAR Observational Error and Assimilation Experiments. Weather. Forecast. 2012, 27, 856–877. [Google Scholar] [CrossRef]
- Zhou, K.; Zheng, Y.; Li, B.; Dong, W.; Zhang, X. Forecasting Different Types of Convective Weather: A Deep Learning Approach. J. Meteorol. Res. 2019, 33, 797–809. [Google Scholar] [CrossRef]
- Zhang, W.; Han, L.; Sun, J.; Guo, H.; Dai, J. Application of Multi-channel 3D-cube Successive Convolution Network for Convective Storm Nowcasting. In Proceedings of the 2019 IEEE International Conference on Big Data (Big Data), Los Angeles, CA, USA, 9–12 December 2019. [Google Scholar]
- Liu, N.; Yan, Z.; Tong, X.; Jiang, J.; Li, H.; Xia, J.; Lou, X.; Ren, R.; Fang, Y. Meshless Surface Wind Speed Field Reconstruction Based on Machine Learning. Adv. Atmos. Sci. 2022, 39, 1721–1733. [Google Scholar] [CrossRef]
- Zhang, Y.; Yang, Q. A survey on multi-task learning. IEEE Trans. Knowl. Data Eng. 2021, 34, 5586–5609. [Google Scholar] [CrossRef]
- Ruiz, C.; Alaíz, C.M.; Dorronsoro, J.R. A survey on kernel-based multi-task learning. Neurocomputing 2024, 577, 127255. [Google Scholar] [CrossRef]
- Li, Y.; Liu, Y.; Sun, R.; Guo, F.; Xu, X.; Xu, H. Convective Storm VIL and Lightning Nowcasting Using Satellite and Weather Radar Measurements Based on Multi-Task Learning Models. Adv. Atmos. Sci. 2023, 40, 887–899. [Google Scholar] [CrossRef]
- Chu, W.T.; Liang, Y.H.; Ho, K.C. Visual Weather Property Prediction by Multi-Task Learning and Two-Dimensional RNNs. Atmosphere 2021, 12, 584. [Google Scholar] [CrossRef]
- Qiu, M.; Zhao, P.; Zhang, K.; Huang, J.; Shi, X.; Wang, X.; Chu, W. A short-term rainfall prediction model using multi-task convolutional neural networks. In Proceedings of the 2017 IEEE International Conference on Data Mining (ICDM), New Orleans, LA, USA, 18–21 November 2017; IEEE: New York City, NY, USA, 2017; pp. 395–404. [Google Scholar]
- Ni, L.; Wang, D.; Singh, V.P.; Wu, J.; Wang, Y.; Tao, Y.; Zhang, J. Streamflow and rainfall forecasting by two long short-term memory-based models. J. Hydrol. 2020, 583, 124296. [Google Scholar] [CrossRef]
- Wang, F.; Cao, Y.; Wang, Q.; Zhang, T.; Su, D. Estimating Precipitation Using LSTM-Based Raindrop Spectrum in Guizhou. Atmosphere 2023, 14, 1031. [Google Scholar] [CrossRef]
- Parasyris, A.; Alexandrakis, G.; Kozyrakis, G.V.; Spanoudaki, K.; Kampanis, N.A. Predicting Meteorological Variables on Local Level with SARIMA, LSTM and Hybrid Techniques. Atmosphere 2022, 13, 878. [Google Scholar] [CrossRef]
- Vaswani, A.; Shazeer, N.; Parmar, N.; Uszkoreit, J.; Jones, L.; Gomez, A.N.; Kaiser, L.; Polosukhin, I. Attention Is All You Need. Learning 2017, 5. [Google Scholar]
- Huang, J.; Zhang, Y.; Ma, G.; Zhu, L.; Tian, W. Research on Precipitation Estimation Algorithm from Fengyun-4 Satellite Based on Improved U-Net. J. Comput. Eng. Appl. 2023, 59, 285. [Google Scholar]
- Mishra, S.; Guhathakurta, P.K. Identification of Cloud Types for Meteorological Satellite Images: A Character-Based CNN-LSTM Hybrid Caption Model. In Proceedings of the International Conference on Computational Intelligence in Communications and Business Analytics, Kalyani, India, 27–28 January 2023; Springer Nature: Cham, Switzerland, 2023; pp. 199–212. [Google Scholar]
- Kattenborn, T.; Leitloff, J.; Schiefer, F.; Hinz, S. Review on Convolutional Neural Networks (CNN) in vegetation remote sensing. ISPRS J. Photogramm. Remote Sens. 2021, 173, 24–49. [Google Scholar] [CrossRef]
- Velden, C.S.; Olander, T.L.; Wanzong, S. The Impact of Multispectral GOES-8 Wind Information on Atlantic Tropical Cyclone Track Forecasts in 1995. Part I: Dataset Methodology, Description, and Case Analysis. Mon. Weather. Rev. 1998, 126, 1202–1218. [Google Scholar] [CrossRef]
- Xue, C.B.; Gong, J.D.; He, C.F.; Wang, R.C. Quality control of cloud derived wind vectors from geostationary meteorological satellites with its application to data assimilation system. J. Appl. Meteor. Sci. 2013, 24, 356–364. [Google Scholar]




















| C009 | C010 | C012 | ||||
| B–C | A–C | B–C | A–C | B–C | A–C | |
| 0.940 | 0.986 | 0.958 | 0.986 | 0.910 | 0.976 | |
| 0.577 | 0.379 | 0.709 | 0.566 | 0.743 | 0.466 | |
| 6.466 | 3.253 | 5.056 | 3.480 | 5.996 | 3.148 | |
| 0.737 | 0.795 | 0.743 | 0.787 | 0.612 | 0.700 | |
| C009 | C010 | C012 | ||||
| B–C | A–C | B–C | A–C | B–C | A–C | |
| 0.826 | 0.946 | 0.879 | 0.951 | 0.792 | 0.928 | |
| 0.495 | 0.328 | 0.618 | 0.430 | 0.602 | 0.389 | |
| 5.172 | 2.832 | 4.073 | 2.613 | 4.404 | 2.616 | |
| 0.737 | 0.795 | 0.743 | 0.787 | 0.612 | 0.700 | |
| C009 | C010 | C012 | |||||
| Origin | New | Origin | New | Origin | New | ||
| OI | U | 3.786 | 3.088 | 3.825 | 3.274 | 4.680 | 3.264 |
| V | 4.894 | 3.364 | 4.579 | 3.090 | 6.077 | 3.271 | |
| AO | U | 2.710 | 2.249 | 2.612 | 1.982 | 2.946 | 1.861 |
| V | 2.884 | 2.012 | 2.785 | 1.772 | 3.091 | 1.674 | |
Disclaimer/Publisher’s Note: The statements, opinions and data contained in all publications are solely those of the individual author(s) and contributor(s) and not of MDPI and/or the editor(s). MDPI and/or the editor(s) disclaim responsibility for any injury to people or property resulting from any ideas, methods, instructions or products referred to in the content. |
© 2024 by the authors. Licensee MDPI, Basel, Switzerland. This article is an open access article distributed under the terms and conditions of the Creative Commons Attribution (CC BY) license (https://creativecommons.org/licenses/by/4.0/).
Share and Cite
Cao, H.; Leng, H.; Zhao, J.; Xu, X.; Yang, J.; Li, B.; Zhou, Y.; Huang, L. Exploration of Deep-Learning-Based Error-Correction Methods for Meteorological Remote-Sensing Data: A Case Study of Atmospheric Motion Vectors. Remote Sens. 2024, 16, 3522. https://doi.org/10.3390/rs16183522
Cao H, Leng H, Zhao J, Xu X, Yang J, Li B, Zhou Y, Huang L. Exploration of Deep-Learning-Based Error-Correction Methods for Meteorological Remote-Sensing Data: A Case Study of Atmospheric Motion Vectors. Remote Sensing. 2024; 16(18):3522. https://doi.org/10.3390/rs16183522
Chicago/Turabian StyleCao, Hang, Hongze Leng, Jun Zhao, Xiaodong Xu, Jinhui Yang, Baoxu Li, Yong Zhou, and Lilan Huang. 2024. "Exploration of Deep-Learning-Based Error-Correction Methods for Meteorological Remote-Sensing Data: A Case Study of Atmospheric Motion Vectors" Remote Sensing 16, no. 18: 3522. https://doi.org/10.3390/rs16183522
APA StyleCao, H., Leng, H., Zhao, J., Xu, X., Yang, J., Li, B., Zhou, Y., & Huang, L. (2024). Exploration of Deep-Learning-Based Error-Correction Methods for Meteorological Remote-Sensing Data: A Case Study of Atmospheric Motion Vectors. Remote Sensing, 16(18), 3522. https://doi.org/10.3390/rs16183522

