Virtual Array-Based Signal Detection and Carrier Frequency Offset Estimation in a Multistatic Collaborative Passive Detection System
Abstract
1. Introduction
2. Signal Model
3. Derivation of the Proposed Method
3.1. Construction of Virtual Array Signal Model
3.2. Virtual Beamforming
4. Simulation Results
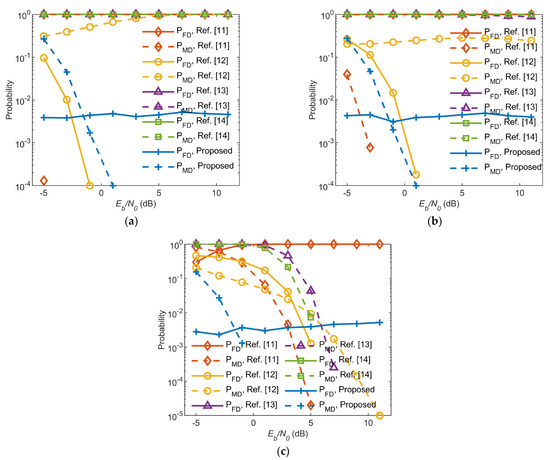
4.1. Performance Analysis of Signal Detection
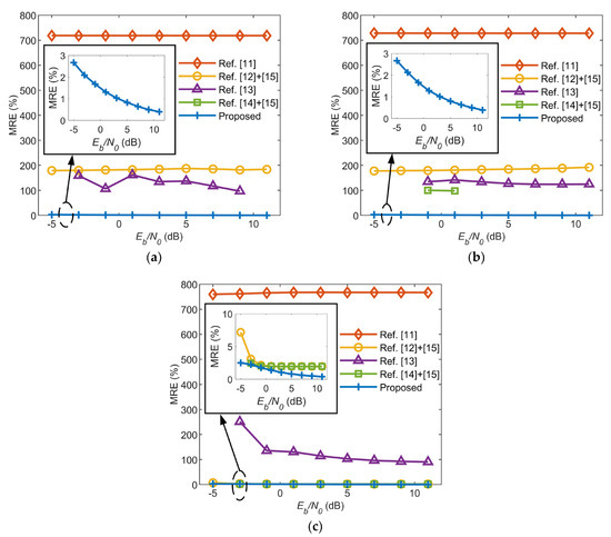
4.2. Performance Analysis of CFO Estimation
5. Discussion
6. Conclusions
Author Contributions
Funding
Data Availability Statement
Conflicts of Interest
References
- Wan, X.; Yi, J.; Zhan, W.; Xie, D.; Shu, K.; Song, J.; Cheng, F.; Rao, Y.; Gong, Z.; Ke, H. Research progresses and development trends of the multi-illuminator-based passive radar. J. Radars 2020, 9, 939–961. [Google Scholar]
- Zhe, G. Evolution of netted radar systems. IEEE Access 2020, 8, 124961–124977. [Google Scholar]
- Zaimbashi, A. Multistatic passive radar sensing algorithms with calibrated receivers. IEEE Sens. J. 2020, 20, 7878–7885. [Google Scholar] [CrossRef]
- Cao, X.; Yi, J.; Gong, Z.; Wan, X. Automatic target recognition based on RCS and angular diversity for multistatic passive radar. IEEE Trans. Aerosp. Electron. Syst. 2022, 58, 4226–4240. [Google Scholar] [CrossRef]
- Cao, X.; Yi, J.; Gong, Z.; Wan, X. Automatic target recognition combining angular diversity and time diversity for multistatic passive radar. Sci. China-Inf. Sci. 2022, 65, 179303:1–179303:2. [Google Scholar] [CrossRef]
- Kuschel, H.; Cristallini, D.; Olsen, K.E. Tutorial: Passive radar tutorial. IEEE Aerosp. Electron. Syst. Mag. 2019, 34, 2–19. [Google Scholar] [CrossRef]
- Pickholtz, R.; Schilling, D.; Milstein, L. Theory of spread- spectrum communications—A tutorial. IEEE Trans. Commun. 1982, 30, 855–884. [Google Scholar] [CrossRef]
- Haab, D.B.; Sego, T.C.; Holschuh, T.V.; Moradi, H.; F-Boroujeny, B. Multicode signaling in a filter bank multicarrier spread spectrum system and its application to HF communications. IEEE Open J. Commun. Soc. 2023, 4, 442–455. [Google Scholar] [CrossRef]
- Nadi, M.; Cheldavi, A. Secure communication enabled by time-modulated metasurface antenna based on spread-spectrum technique. IEEE Antennas Wirel. Propag. Lett. 2024, 23, 1144–1148. [Google Scholar] [CrossRef]
- Wang, Y.; Luo, Z.; Wang, X. A CNN-GRU based approach for strong in-band interference mitigation in wireless communication systems. In Proceedings of the 2023 2nd International Conference on Computing, Communication, Perception and Quantum Technology (CCPQT), Xiamen, China, 4–7 August 2023. [Google Scholar]
- Minn, H.; Bhargava, V.K.; Letaief, K.B. A robust timing and frequency synchronization for OFDM systems. IEEE Trans. Wirel. Commun. 2003, 2, 822–839. [Google Scholar] [CrossRef]
- Abdzadeh-Ziabari, H.; Zhu, W.-P.; Swamy, M.N.S. Improved coarse timing estimation in OFDM systems using high-order statistics. IEEE Trans. Commun. 2016, 64, 5239–5253. [Google Scholar] [CrossRef]
- Schmidl, T.M.; Cox, D.C. Robust frequency and timing synchronization for OFDM. IEEE Trans. Commun. 1997, 45, 1613–1621. [Google Scholar] [CrossRef]
- Zhang, J.; Huang, X.J. Autocorrelation based coarse timing with differential normalization. IEEE Trans. Wirel. Commun. 2012, 11, 526–530. [Google Scholar] [CrossRef]
- Singh, P.; Sharma, E.; Vasudevan, K.; Budhiraja, R. CFO and channel estimation for frequency selective MIMO-FBMC/OQAM systems. IEEE Wirel. Commun. Lett. 2018, 7, 844–847. [Google Scholar] [CrossRef]
- Rao, B.D.; Hari, K.V.S. Performance analysis of root-MUSIC. IEEE Trans. Acoust. Speech Signal Process. 1989, 37, 1939–1949. [Google Scholar] [CrossRef]
- Gudovskiy, D.A.; Chu, L.; Lee, S. A novel nondata-aided synchronization algorithm for MSK-type-modulated signals. IEEE Commun. Lett. 2015, 19, 1552–1555. [Google Scholar] [CrossRef]
- Shaw, A.; Smith, J.; Hassanien, A. MVDR beamformer design by imposing unit circle roots constraints for uniform linear arrays. IEEE Trans. Signal Process. 2021, 69, 6116–6130. [Google Scholar] [CrossRef]
- Eskandari, M.; Karbasi, S.M.; Bastani, M.H. A novel solution for root-MUSIC with reduced complexity. In Proceedings of the 2019 Sixth Iranian Conference on Radar and Surveillance Systems, Isfahan, Iran, 4–6 December 2019. [Google Scholar]


| Parameter | Variable | Value |
|---|---|---|
| Channel bandwidth | B | 250 kHz |
| Symbol period | 6.25 µs | |
| Initial magnitude of signal | 1 | |
| Initial phase of the first symbol | 0° | |
| The number of sampling points within a symbol | 32 | |
| Sampling period | ||
| The number of in-band interferences | M | 3 |
| CFO | 25.5 kHz |
Disclaimer/Publisher’s Note: The statements, opinions and data contained in all publications are solely those of the individual author(s) and contributor(s) and not of MDPI and/or the editor(s). MDPI and/or the editor(s) disclaim responsibility for any injury to people or property resulting from any ideas, methods, instructions or products referred to in the content. |
© 2024 by the authors. Licensee MDPI, Basel, Switzerland. This article is an open access article distributed under the terms and conditions of the Creative Commons Attribution (CC BY) license (https://creativecommons.org/licenses/by/4.0/).
Share and Cite
Cao, X.; Ma, H.; Zhang, H.; Jin, J. Virtual Array-Based Signal Detection and Carrier Frequency Offset Estimation in a Multistatic Collaborative Passive Detection System. Remote Sens. 2024, 16, 3152. https://doi.org/10.3390/rs16173152
Cao X, Ma H, Zhang H, Jin J. Virtual Array-Based Signal Detection and Carrier Frequency Offset Estimation in a Multistatic Collaborative Passive Detection System. Remote Sensing. 2024; 16(17):3152. https://doi.org/10.3390/rs16173152
Chicago/Turabian StyleCao, Xiaomao, Hong Ma, Hua Zhang, and Jiang Jin. 2024. "Virtual Array-Based Signal Detection and Carrier Frequency Offset Estimation in a Multistatic Collaborative Passive Detection System" Remote Sensing 16, no. 17: 3152. https://doi.org/10.3390/rs16173152
APA StyleCao, X., Ma, H., Zhang, H., & Jin, J. (2024). Virtual Array-Based Signal Detection and Carrier Frequency Offset Estimation in a Multistatic Collaborative Passive Detection System. Remote Sensing, 16(17), 3152. https://doi.org/10.3390/rs16173152
