Enhancing Extreme Precipitation Forecasts through Machine Learning Quality Control of Precipitable Water Data from Satellite FengYun-2E: A Comparative Study of Minimum Covariance Determinant and Isolation Forest Methods
Abstract
1. Introduction
2. Materials and Methods
2.1. Case Review
2.2. NWP Model and Assimilation System
2.3. Data Description
- Conventional surface and upper-air observational data PREPBUFR provided by the U.S. National Centers for Environmental Prediction (NCEP) include multiple subsets of data, such as upper-air observation reports (ADPUPA), satellite-derived wind reports (SATWND), sea surface observation reports (SFCSHP), land surface observation reports (ADPSFC), vertical azimuth display wind observations (VADWND), and ASCAT scatterometer data (ASCATW). These data were subjected to NCEP preprocessing, including QC, format unification, and bias correction, to ensure data quality and consistency. These preprocessed data are widely applied in the data assimilation processes for global and regional NWP models to enhance their forecasting capabilities. In this study, these data served as baseline assimilation data to provide stable and reliable observational inputs for the model.
- Quality-controlled IPW data (hereafter referred to as CMA IPW) from conventional observation stations in China, which were provided by the Atmospheric Sounding Center of the China Meteorological Administration (CMA). After undergoing rigorous quality control procedures, the accuracy and reliability of the data were fully guaranteed. In this study, these data served as a reference dataset to help us understand normal meteorological patterns and to assist in fine-tuning our unsupervised ML models for quality control of FY2E TPW data. This approach allowed us to leverage both ML techniques and domain knowledge in the two processes, aiming to improve the accuracy of precipitation event predictions.
- The TPW data observed by FY2E covering China and its surrounding areas were provided by the National Satellite Meteorological Center of China. Note that IPW and TPW both refer to the total amount of water vapor in a vertical column of the atmosphere. Although these terms are often used to describe the same physical quantity, the choice of terminology may vary depending on the specific research context, measurement technique, and instrumentation. In this study, we used the IPW when referring to ground-based measurements and the TPW for satellite observations, which is consistent with the conventions in our data sources. The FY2E TPW offers more comprehensive water vapor distribution information than ground observations. In this study, the FY2E TPW data were used to train the unsupervised ML models. Figure 3 provides an overview of the spatial distributions of the FY2E TPW and CMA IPW data at 12:00 UTC on 8 July 2013, illustrating the typical patterns observed during the study period.
| ID | Assimilation Configuration |
|---|---|
| CTRL | No DA |
| EXPR1 | Assimilating conventional data only |
| EXPR2 | Assimilating conventional data + PW with MCD-QC |
| EXPR3 | Assimilating conventional data + PW with Isolation Forest-QC |
2.4. QC Process
2.4.1. Introduction to ML-Based QC Methods
- MCD
- 2.
- Isolation Forest
- ψ sample points were randomly selected from the given dataset to form a subset X′ of , which was placed in the root node.
- A dimension was randomly designated from dimensions, and a split point was randomly generated in the current data, satisfying .
- The split point generated a hyperplane that divided the current data space into two subspaces: sample points with a specified dimension less than were placed in the left child node , whereas those greater than or equal to were placed in the right child node .
- Steps b and c were recursively executed until all leaf nodes contained only one sample point or the Isolation Tree reached the specified height.
- Steps a to d were repeated until Isolation Trees were generated.
2.4.2. Data Preprocessing and QC Experiments’ Design
3. Results
3.1. QC Results
3.2. Analysis of Simulated Circulation Fields
3.3. Analysis of Precipitation Forecasts
3.3.1. Simulated Precipitation Distribution
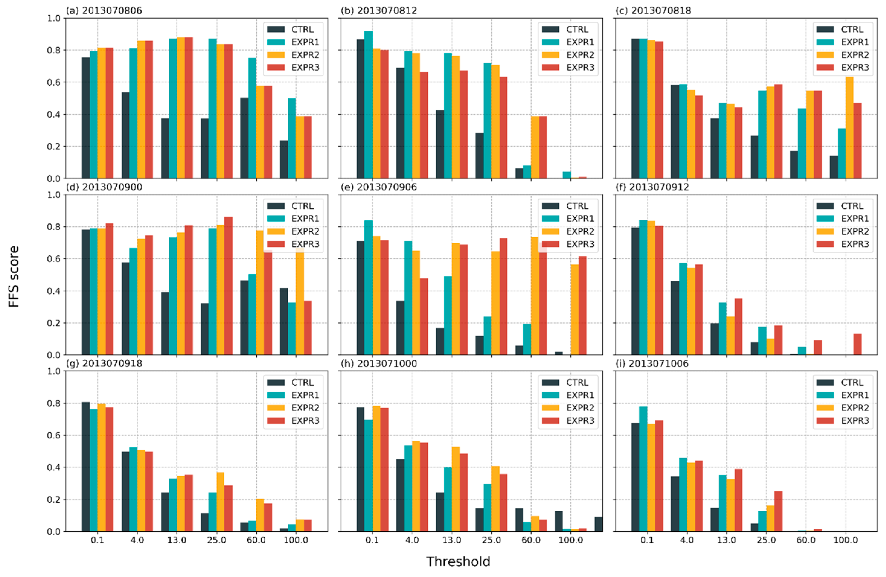
3.3.2. Quantitative Precipitation Verification
4. Discussion
5. Conclusions
Author Contributions
Funding
Data Availability Statement
Conflicts of Interest
References
- Wang, J.; Zhang, L.; Dai, A.; Van Hove, T.; Van Baelen, J. A near-global, 2-hourly data set of atmospheric precipitable water from ground-based GPS measurements. J. Geophys. Res. 2007, 112, D11107. [Google Scholar] [CrossRef]
- Kursinski, E.R.; Hajj, G.A.; Schofield, J.T.; Linfield, R.P.; Hardy, K.R. Observing Earth’s atmosphere with radio occultation measurements using the Global Positioning System. J. Geophys. Res. 1997, 102, 23429–23465. [Google Scholar] [CrossRef]
- Trenberth, K.E.; Dai, A.; Rasmussen, R.M.; Parsons, D.B. The changing character of precipitation. Bull. Am. Meteorol. Soc. 2003, 84, 1205–1218. [Google Scholar] [CrossRef]
- Zhu, Y.; Newell, R.E. A proposed algorithm for moisture fluxes from atmospheric rivers. Mon. Weather Rev. 1998, 126, 725–735. [Google Scholar] [CrossRef]
- Ralph, F.M.; Neiman, P.J.; Wick, G.A. Satellite and CALJET aircraft observations of atmospheric rivers over the eastern North Pacific Ocean during the winter of 1997/98. Mon. Weather Rev. 2004, 132, 1721–1745. [Google Scholar] [CrossRef]
- Xu, Y.; Chen, X.; Liu, M.; Wang, J.; Zhang, F.; Cui, J.; Zhou, H. Spatial–temporal relationship study between NWP PWV and precipitation: A case study of “July 20” heavy rainstorm in Zhengzhou. Remote Sens. 2022, 14, 3636. [Google Scholar] [CrossRef]
- Kwon, E.H.; Sohn, B.J.; Chang, D.E.; Ahn, M.H.; Yang, S. Use of numerical forecasts for improving TMI rain retrievals over the mountainous area in Korea. J. Appl. Meteorol. Climatol. 2008, 47, 1995–2007. [Google Scholar] [CrossRef]
- Rakesh, V.; Singh, R.; Pal, P.K.; Joshi, P.C. Impacts of satellite-observed winds and total precipitable water on WRF short-range forecasts over the Indian region during the 2006 summer monsoon. Weather Forecast. 2009, 24, 1706–1731. [Google Scholar] [CrossRef]
- Wang, P.; Li, J.; Lu, B.; Schmit, T.J.; Lu, J.; Lee, Y.-K.; Li, J.; Liu, Z. Impact of moisture information from advanced Himawari imager measurements on heavy precipitation forecasts in a regional NWP model. J. Geophys. Res. Atmos. 2018, 123, 6022–6038. [Google Scholar] [CrossRef]
- Risanto, C.B.; Castro, C.L.; Arellano, A.F., Jr.; Moker, J.M., Jr.; Adams, D.K. The impact of assimilating GPS precipitable water vapor in convective-permitting WRF-ARW on North American monsoon precipitation forecasts over Northwest Mexico. Mon. Weather Rev. 2021, 149, 3013–3035. [Google Scholar] [CrossRef]
- Bennitt, G.V.; Jupp, A. Operational assimilation of GPS zenith total delay observations into the Met Office numerical weather prediction models. Mon. Weather Rev. 2012, 140, 2706–2719. [Google Scholar] [CrossRef]
- Zhang, S.Q.; Zupanski, M.; Hou, A.Y.; Lin, X.; Cheung, S.H. Assimilation of precipitation-affected radiances in a cloud-resolving WRF ensemble data assimilation system. Mon. Weather Rev. 2013, 141, 754–772. [Google Scholar] [CrossRef]
- Cucurull, L.; Derber, J.C. Operational implementation of COSMIC observations into NCEP’s global data assimilation system. Weather Forecast. 2008, 23, 702–711. [Google Scholar] [CrossRef]
- Poli, P.; Healy, S.B.; Dee, D.P. Assimilation of Global Positioning System radio occultation data in the ECMWF ERA-Interim reanalysis. Q. J. R. Meteorol. Soc. 2010, 136, 1972–1990. [Google Scholar] [CrossRef]
- Gandin, L.S. Complex quality control of meteorological observations. Mon. Weather Rev. 1988, 116, 1137–1156. [Google Scholar] [CrossRef]
- Lorenc, A.C.; Hammon, O. Objective quality control of observations using Bayesian methods. Theory, and a practical implementation. Q. J. R. Meteorol. Soc. 1988, 114, 515–543. [Google Scholar] [CrossRef]
- Lussana, C.; Uboldi, F.; Salvati, M.R. A spatial consistency test for surface observations from mesoscale meteorological networks. Q. J. R. Meteorol. Soc. 2010, 136, 1075–1088. [Google Scholar] [CrossRef]
- Hastuti, M.I.; Min, K.-H. Impact of assimilating GK-2A all-sky radiance with a new observation error for summer precipitation forecasting. Remote Sens. 2023, 15, 3113. [Google Scholar] [CrossRef]
- Nakabayashi, A.; Ueno, G. Nonlinear filtering method using a switching error model for outlier contaminated observations. IEEE Trans. Autom. Control 2019, 65, 3150–3156. [Google Scholar] [CrossRef]
- Fowler, A.; Van Leeuwen, P.J. Observation impact in data assimilation: The effect of non-Gaussian observation error. Tellus A 2013, 65, 20035. [Google Scholar] [CrossRef]
- Ye, X.; Zhou, J.; Xiong, X. A GEP-based method for quality control of surface temperature observations. J. Trop. Meteorol. 2014, 06, 1196–1200. (In Chinese) [Google Scholar]
- Han, W.; Jochum, M. A Machine Learning Approach for Data Quality Control of Earth Observation Data Management System. In Proceedings of the IGARSS 2020–2020 IEEE International Geoscience and Remote Sensing Symposium, Waikoloa, HI, USA, 26 September–2 October 2020; pp. 3101–3103. [Google Scholar] [CrossRef]
- Zhou, C.; Wei, C.; Yang, F.; Wei, J. A quality control method for high frequency radar data based on machine learning neural networks. Appl. Sci. 2023, 13, 11826. [Google Scholar] [CrossRef]
- Polz, J.; Schmidt, L.; Glawion, L.; Graf, M.; Werner, C.; Chwala, C.; Mollenhauer, H.; Rebmann, C.; Kunstmann, H.; Bumberger, J. Supervised and unsupervised machine-learning for automated quality control of environmental sensor data. In Proceedings of the EGU General Assembly 2021, Online, 19–30 April 2021. EGU21-14485. [Google Scholar] [CrossRef]
- Just, A.; Schlüter, S.; Graf, M.; Schmidt, L.; Polz, J.; Glawion, L.; Werner, C.; Chwala, C.; Mollenhauer, H.; Kunstmann, H.; et al. Gradient boosting machine learning to improve satellite-derived column water vapor measurement error. Atmos. Meas. Tech. 2019, 13, 4669–4681. [Google Scholar] [CrossRef] [PubMed]
- Zhang, B.; Yao, Y. Precipitable water vapor fusion based on a generalized regression neural network. J. Geod. 2021, 95, 47. [Google Scholar] [CrossRef]
- Xia, X.; Fu, D.; Shao, W.; Jiang, R.; Wu, S.; Zhang, P.; Yang, D.; Xia, X. Retrieving precipitable water vapor over land from satellite passive microwave radiometer measurements using automated machine learning. Geophys. Res. Lett. 2023, 50, e2023GL105197. [Google Scholar] [CrossRef]
- Rousseeuw, P.J.; Driessen, K.V. A fast algorithm for the minimum covariance determinant estimator. Technometrics 1999, 41, 212–223. [Google Scholar] [CrossRef]
- Liu, F.T.; Ting, K.M.; Zhou, Z.H. Isolation forest. In Proceedings of the 2008 Eighth IEEE International Conference on Data Mining, Pisa, Italy, 15–19 December 2008; pp. 413–422. [Google Scholar] [CrossRef]
- Li, J.; Zhang, Y.; Chen, S.; Shao, D.; Hu, J.; Feng, J.; Tan, Q.; Wu, D.; Kang, J. Comparing Quality Control Procedures Based on Minimum Covariance Determinant and One-Class Support Vector Machine Methods of Aircraft Meteorological Data Relay Data Assimilation in a Binary Typhoon Forecasting Case. Atmosphere 2023, 14, 1341. [Google Scholar] [CrossRef]
- Zhang, K.; Kang, X.; Li, S. Isolation Forest for Anomaly Detection in Hyperspectral Images. In Proceedings of the IGARSS 2019—2019 IEEE International Geoscience and Remote Sensing Symposium, Yokohama, Japan, 28 July–2 August 2019; pp. 437–440. [Google Scholar] [CrossRef]
- Niu, Z.; Zhang, L.; Dong, P.; Weng, F.; Huang, W.; Zhu, J. Effects of direct assimilation of FY-4A AGRI water vapor channels on the Meiyu heavy-rainfall quantitative precipitation forecasts. Remote Sens. 2022, 14, 3484. [Google Scholar] [CrossRef]
- Lu, H.; Ding, L.; Ma, Z.; Li, H.; Lu, T.; Su, M.; Xu, J. Spatiotemporal assessments on the satellite-based precipitation products from Fengyun and GPM over the Yunnan-Kweichow Plateau, China. Earth Space Sci. 2020, 7, e2019EA000857. [Google Scholar] [CrossRef]
- Min, W.B.; Li, B.; Peng, J. Evaluation of total precipitable water derived from FY-2E satellite data over the southeast of Tibetan Plateau and its adjacent areas. Resour. Environ. Yangtze Basin 2015, 24, 625–631. (In Chinese) [Google Scholar]
- Sha, Y.; Gagne, D.J.; West, G.; Stull, R. Deep-learning-based precipitation observation quality control. J. Atmos. Ocean. Technol. 2021, 38, 1075–1091. [Google Scholar] [CrossRef]
- Kleist, D.T.; Parrish, D.F.; Derber, J.C.; Treadon, R.; Wu, W.S.; Lord, S. Introduction of the GSI into the NCEP global data assimilation system. Weather Forecast. 2009, 24, 1691–1705. [Google Scholar] [CrossRef]
- Skamarock, C.; Klemp, J.B.; Dudhia, J.; Gill, D.O.; Barker, D.M.; Duda, M.G.; Huang, X.-Y.; Wang, W.; Powers, J.G. A Description of the Advanced Research WRF Model Version 4; NCAR Technical Note; National Center for Atmospheric Research: Bolder, CO, USA, 2019. [Google Scholar]
- Huang, Y.; Cui, X. Moisture sources of an extreme precipitation event in Sichuan, China, based on the Lagrangian method. Atmos. Sci. Lett. 2015, 16, 177–183. [Google Scholar] [CrossRef]
- Cheng, X.; Li, Y.; Xu, L. An analysis of an extreme rainstorm caused by the interaction of the Tibetan Plateau vortex and the Southwest China vortex from an intensive observation. Meteorol. Atmos. Phys. 2016, 128, 373–399. [Google Scholar] [CrossRef]
- Yuan, X.; Yang, K.; Lu, H.; Wang, Y.; Ma, X. Impacts of moisture transport through and over the Yarlung Tsangpo Grand Canyon on precipitation in the eastern Tibetan Plateau. Atmos. Res. 2023, 282, 106533. [Google Scholar] [CrossRef]
- Li, J.; Lu, C.; Chen, J.; Zhou, X.; Yang, K.; Li, J.; Wu, X.; Xu, X.; Wu, S.; Hu, R.; et al. The influence of complex terrain on cloud and precipitation on the foot and slope of the southeastern Tibetan Plateau. Clim. Dyn. 2024, 62, 3143–3163. [Google Scholar] [CrossRef]
- Ziegler, C.L. Retrieval of thermal and microphysical variables in observed convective storms. Part 1: Model development and preliminary testing. J. Atmos. Sci. 1985, 42, 1487–1509. [Google Scholar] [CrossRef]
- Iacono, M.J.; Delamere, J.S.; Mlawer, E.J.; Shephard, M.W.; Clough, S.A.; Collins, W.D. Radiative forcing by long-lived greenhouse gases: Calculations with the AER radiative transfer models. J. Geophys. Res. 2008, 113, D13103. [Google Scholar] [CrossRef]
- Berg, L.K.; Gustafson, W.I.; Kassianov, E.I.; Deng, L. Evaluation of a modified scheme for shallow convection: Implementation of CuP and case studies. Mon. Weather Rev. 2013, 141, 134–147. [Google Scholar] [CrossRef]
- Park, S.; Bretherton, C.S. The University of Washington shallow convection and moist turbulence schemes and their impact on climate simulations with the community atmosphere model. J. Clim. 2009, 22, 3449–3469. [Google Scholar] [CrossRef]
- Hersbach, H.; Bell, B.; Berrisford, P.; Hirahara, S.; Horányi, A.; Muñoz-Sabater, J.; Nicolas, J.; Peubey, C.; Radu, R.; Schepers, D.; et al. The ERA5 global reanalysis. Q. J. R. Meteorol. Soc. 2020, 146, 1999–2049. [Google Scholar] [CrossRef]
- Dutta, S.; Prasad, V.S.; Rajan, D. Impact study of integrated precipitable water estimated from Indian GPS measurements. Mausam 2014, 65, 461–480. [Google Scholar] [CrossRef]
- Gao, J.; Liu, Y. Determination of land degradation causes in Tongyu County, Northeast China via land cover change detection. Int. J. Appl. Earth Obs. Geoinf. 2010, 12, 9–16. [Google Scholar] [CrossRef]
- Huffman, G.J.; Stocker, E.F.; Bolvin, D.T.; Nelkin, E.J.; Tan, J. GPM IMERG Final Precipitation L3 Half Hourly 0.1 Degree × 0.1 Degree V06; Goddard Earth Sciences Data and Information Services Center (GES DISC): Greenbelt, MD, USA, 2019. [Google Scholar] [CrossRef]
- De Maesschalck, R.; Jouan-Rimbaud, D.; Massart, D.L. The Mahalanobis distance. Chemom. Intell. Lab. Syst. 2000, 50, 1–18. [Google Scholar] [CrossRef]
- Pedregosa, F.; Varoquaux, G.; Gramfort, A.; Michel, V.; Thirion, B.; Grisel, O.; Blondel, M.; Prettenhofer, P.; Weiss, R.; Dubourg, V.; et al. Scikit-learn: Machine learning in Python. J. Mach. Learn. Res. 2011, 12, 2825–2830. [Google Scholar]
- Liang, T.; Sun, L.; Li, H. MODIS aerosol optical depth retrieval based on random forest approach. Remote Sens. Lett. 2021, 12, 179–189. [Google Scholar] [CrossRef]
- Do, P.N.; Chung, K.S.; Lin, P.L.; Ke, C.Y.; Ellis, S.M. Assimilating retrieved water vapor and radar data from NCAR S-PolKa: Performance and validation using real cases. Mon. Weather Rev. 2022, 150, 1177–1199. [Google Scholar] [CrossRef]




















| Description | |
|---|---|
| Dynamics | Primitive equation, non-hydrostatic |
| Vertical layers | 72 levels |
| Grid spacing | 9 km; 3 km |
| Pressure at top level | 10 hPa |
| Model domain | d01: 381 × 369 d02: 421 × 412 |
| Radiation | RRTMG for shortwave and RRTMG scheme for longwave |
| Cumulus convection | Kain–Fritsch–Cumulus Potential scheme |
| Microphysics | NSSL 2-moment scheme |
| PBL | UW (Bretherton and Park) scheme |
| Lead Time | EXPR2-Skewness | EXPR3-Skewness | EXPR2-Kurtosis | EXPR3-Kurtosis |
|---|---|---|---|---|
| 2013070806 | 0.13 | −0.08 | −0.83 | 0.19 |
| 2013070812 | 0.04 | −0.18 | −0.57 | 0.01 |
| 2013070818 | −0.08 | −0.01 | −0.72 | −0.39 |
| 2013070900 | −0.48 | −0.09 | 0.11 | 0.72 |
| 2013070906 | −0.10 | −0.26 | −0.50 | 0.23 |
| 2013070912 | −0.48 | −0.28 | −0.32 | −0.63 |
| 2013070918 | −0.59 | −0.30 | 0.20 | −0.56 |
| 2013071000 | −0.53 | −0.06 | −0.53 | −0.84 |
| 2013071006 | −0.07 | −0.10 | −0.68 | −0.54 |
| Lead Time | Before QC | EXPR2-MCD | EXPR3-Isolation Forest |
|---|---|---|---|
| 0 | 4.13 | 2.58 | 2.28 |
| 6 | 4.29 | 2.74 | 2.69 |
| 12 | 4.45 | 2.60 | 2.73 |
| 18 | 4.98 | 3.33 | 3.00 |
| 24 | 4.40 | 2.38 | 2.44 |
| 30 | 4.63 | 3.58 | 3.30 |
| 36 | 4.29 | 2.69 | 2.45 |
| 42 | 4.40 | 3.35 | 1.90 |
| 78 | 3.83 | 2.50 | 2.13 |
| Lead Time | CTRL | EXPR1 | EXPR2 | EXPR3 | No-QC |
|---|---|---|---|---|---|
| 2013070806 | 20.22 | 15.21 | 8.43 | 8.43 | 33.53 |
| 2013070812 | 27.02 | 20.01 | 10.99 | 11.53 | 33.58 |
| 2013070818 | 35.53 | 24.62 | 15.51 | 15.90 | 43.16 |
| 2013070900 | 41.57 | 20.12 | 14.09 | 12.26 | 21.47 |
| 2013070906 | 49.77 | 10.58 | 10.00 | 8.82 | 33.95 |
| 2013070912 | 55.24 | 14.16 | 10.38 | 8.63 | 23.89 |
| 2013070918 | 59.91 | 13.02 | 13.26 | 14.56 | 31.63 |
| 2013071000 | 64.03 | 22.98 | 10.97 | 12.72 | 16.58 |
| 2013071006 | 69.31 | 9.39 | 6.45 | 7.57 | 26.70 |
| Lead Time | CTRL | EXPR1 | EXPR2 | EXPR3 | No-QC |
|---|---|---|---|---|---|
| 2013070806 | 0.38 | 0.54 | 0.44 | 0.44 | 0.23 |
| 2013070812 | 0.31 | 0.31 | 0.23 | 0.19 | 0.13 |
| 2013070818 | 0.28 | 0.20 | 0.33 | 0.28 | 0.11 |
| 2013070900 | 0.52 | 0.48 | 0.48 | 0.47 | 0.10 |
| 2013070906 | 0.32 | 0.29 | 0.46 | 0.36 | −0.01 |
| 2013070912 | 0.06 | 0.06 | 0.00 | 0.04 | 0.13 |
| 2013070918 | 0.10 | 0.12 | 0.13 | 0.13 | 0.10 |
| 2013071000 | 0.23 | 0.09 | 0.11 | 0.10 | 0.08 |
| 2013071006 | 0.29 | 0.17 | 0.06 | 0.13 | 0.01 |
| Lead Time | CTRL | EXPR1 | EXPR2 | EXPR3 | No-QC |
|---|---|---|---|---|---|
| 2013070806 | 8.94 | 2.80 | 1.17 | 1.17 | 8.92 |
| 2013070812 | 12.83 | 5.23 | 3.25 | 3.85 | 6.98 |
| 2013070818 | 17.07 | 4.81 | 3.81 | 3.51 | 8.10 |
| 2013070900 | 20.69 | 2.92 | 4.20 | 3.25 | 1.46 |
| 2013070906 | 25.16 | 2.18 | 3.08 | 3.22 | 9.78 |
| 2013070912 | 28.71 | 3.96 | 2.93 | 2.50 | 4.62 |
| 2013070918 | 32.25 | −0.75 | 1.91 | 2.28 | 4.49 |
| 2013071000 | 35.08 | −1.34 | 0.72 | 1.05 | 0.12 |
| 2013071006 | 38.67 | 0.05 | 1.09 | 1.64 | 6.55 |
Disclaimer/Publisher’s Note: The statements, opinions and data contained in all publications are solely those of the individual author(s) and contributor(s) and not of MDPI and/or the editor(s). MDPI and/or the editor(s) disclaim responsibility for any injury to people or property resulting from any ideas, methods, instructions or products referred to in the content. |
© 2024 by the authors. Licensee MDPI, Basel, Switzerland. This article is an open access article distributed under the terms and conditions of the Creative Commons Attribution (CC BY) license (https://creativecommons.org/licenses/by/4.0/).
Share and Cite
Shen, W.; Chen, S.; Xu, J.; Zhang, Y.; Liang, X.; Zhang, Y. Enhancing Extreme Precipitation Forecasts through Machine Learning Quality Control of Precipitable Water Data from Satellite FengYun-2E: A Comparative Study of Minimum Covariance Determinant and Isolation Forest Methods. Remote Sens. 2024, 16, 3104. https://doi.org/10.3390/rs16163104
Shen W, Chen S, Xu J, Zhang Y, Liang X, Zhang Y. Enhancing Extreme Precipitation Forecasts through Machine Learning Quality Control of Precipitable Water Data from Satellite FengYun-2E: A Comparative Study of Minimum Covariance Determinant and Isolation Forest Methods. Remote Sensing. 2024; 16(16):3104. https://doi.org/10.3390/rs16163104
Chicago/Turabian StyleShen, Wenqi, Siqi Chen, Jianjun Xu, Yu Zhang, Xudong Liang, and Yong Zhang. 2024. "Enhancing Extreme Precipitation Forecasts through Machine Learning Quality Control of Precipitable Water Data from Satellite FengYun-2E: A Comparative Study of Minimum Covariance Determinant and Isolation Forest Methods" Remote Sensing 16, no. 16: 3104. https://doi.org/10.3390/rs16163104
APA StyleShen, W., Chen, S., Xu, J., Zhang, Y., Liang, X., & Zhang, Y. (2024). Enhancing Extreme Precipitation Forecasts through Machine Learning Quality Control of Precipitable Water Data from Satellite FengYun-2E: A Comparative Study of Minimum Covariance Determinant and Isolation Forest Methods. Remote Sensing, 16(16), 3104. https://doi.org/10.3390/rs16163104

