Abstract
The inversion of temperature by detecting the ratio of the intensity of airglow vibrational and rotational spectral lines is a traditional method for obtaining mesopause temperature. However, previous studies have shown that there is significant uncertainty in the temperature inversion using this technology. A spectrograph instrument called the Mesosphere Airglow Fine Spectrometer (MAFS) was previously developed by our research team. Based on the MAFS, this work systematically evaluated the impact of the spectral line extraction methods and residual background noise elimination methods on temperature inversion results of the OH (6-2) Q-branch as the target. The fitting of residual background noise using different numbers of sampling points can cause the inverted temperature to vary by 5 K to 10 K without changing the overall trend. The temperature inversion results obtained using the three-region single-fit method were generally 3 K to 5 K higher than those obtained using the two-region double-fit method. Moreover, the temperature obtained using the Gaussian fitting area varied by approximately 15 K, with changes in the residual background noise fitting method; however, when using a spectrum peak instead of the Gaussian fitting area, this variation decreased to approximately 10 K. When the temperature is higher, both the residual background noise fitting and the spectral line intensity extraction methods have a more significant impact on the uncertainty of temperature inversion.
1. Introduction
The mesosphere and lower thermosphere (MLT) region (80–100 km) is an important energy-coupling region of Earth’s atmosphere because it is located in the transition region between the neutral atmosphere and ionosphere. Temperature, a basic atmospheric state parameter, is used to study dynamic processes at various scales in the MLT region to evaluate long-term climate change. It also plays an important role in ensuring the environmental safety of near-space activities [1,2,3,4,5]. Passive optical remote sensing technology is a primary method of acquiring atmospheric temperatures in the MLT region. Airglow radiation from O2 and OH as light sources can be used to precisely measure the intensities and ratios of vibrational and rotational spectral lines, thereby facilitating rotational temperature retrieval. A typical spectral photometry instrument utilizes oblique scanning of narrowband filters and high-sensitivity CCD imaging for static spectral detection. Such instruments possess large optical throughput, thus maintaining high temporal resolution, and feature a concise and flexible structure [6,7]. Another type of instrument is based on the principle of high-precision scanning or static spectrometers to capture the fine spectral lines of airglow radiation. Although the optical throughput and temporal resolution are reduced due to optical slits, the high spectral resolution of these instruments enables effective daytime and nighttime observations [8,9]. These two types of instruments have been widely used globally, such as in the early Planetary Scale Mesopause Observing System (PSMOS) [10], Network for the Detection of Mesospheric Change (NDMC), led by German scientists [11], and the “Meridian Project” and seamless double-layer airglow observation network in China [12].
Active optical remote sensing technology such as Na-LiDAR is also a significant component for studying atmospheric temperature in the MLT region. Sodium atoms in the mesosphere can emit resonance fluorescence when excited by three pulsed laser beams with a stable frequency of 589 nm and narrow linewidth, which are actively launched by lidar. Finally, analyzing the Doppler broadening of the echo signals enables atmospheric temperature data acquisition for the mesosphere region at an altitude range of approximately 75–105 km [13]. The temperature derived from the Na-LiDAR demonstrated excellent consistency with the observations from SABER. Data from this lidar have been extensively utilized to examine atmospheric dynamics in the mesopause region [14,15]. However, active remote sensing instruments such as LiDAR are not suitable for large-scale network observation due to issues such as high maintenance costs. This article focuses on passive optical remote sensing technology.
Maintaining the consistency of observational data across large-scale multi-instrument networks remains challenging because of factors such as instrument disparities and variable background atmospheric environments at different stations. Previous studies suggested that the accuracy of rotation temperature detected by ground-based passive optical remote sensing technology can reach a level of ±0.5 to 3 K [9,16,17]. However, relatively large systematic deviations are observed between data obtained with such technology and data obtained by satellite and lidar technology. Oberheide et al. and Smith et al. found OH airglow temperatures to be 7.5 K and 9.5 K higher, respectively, than Sounding of the Atmosphere using Broadband Emission Radiometry (SABER) satellite measurements [18,19]. Liu et al. showed that varying the Einstein coefficients could result in a maximum 20 K difference in the OH airglow rotational temperature compared to that of SABER [9]. Zhao et al. and Shiokawa et al. compared the airglow rotational temperature with Na-Lidar and observed a systematic deviation of 15 K to 30 K [20,21]. During rotational temperature inversion, background atmospheric radiation and stray light outside the target spectral line have substantial impacts, and inaccurate elimination and evaluation of these factors can significantly compromise the temperature inversion accuracy, thus posing challenges for temperature correction. Shiokawa et al. compared measured and synthetic spectra to obtain the temperature, preliminarily removed background noise, and mathematically corrected systematic deviations [21]. Liu partially rectified inverted temperature values by eliminating contamination from high-energy particles and spectral background noise in the observed spectrum; moreover, in their research on spectral line extraction, they introduced two methods, with one based on the peak height and the other based on the integrated intensity within a wavelength range twice the FWHM of the spectral line center [22]. Wang’s study of temperature inversion accuracy via spatial heterodyne detection suggested that the impact of measurement noise on temperature uncertainty ranged from 0.1% to 15.2% at varying altitudes [23]. Niu et al. discovered that eliminating background atmospheric radiation and sky stray light via synchronous Mesospheric Airglow Spectral Photometer (MASP) and Na-Lidar observations significantly reduced temperature measurement deviations; however, verifying the accuracy of this method requires extensive synchronous observation data [24]. Moreover, comprehensive analyses of temperature uncertainty stemming from the airglow rotational temperature inversion method are lacking.
Large-scale network observations with multiple instruments are susceptible to factors such as instrument inconsistency, observational variability, and atmospheric environment changes. These factors may lead to inconsistencies in the observed data, posing persistent challenges for network observations. Besides precise laboratory calibrations, assessing and correcting errors through comparative observations and algorithmic studies are crucial. A spectrograph instrument called the Mesosphere Airglow Fine Spectrometer (MAFS) was previously developed by our research team. Based on the MAFS, this work aimed to systematically assess the impact of residual background noise elimination methods on temperature inversion using the OH (6-2) Q branch spectrum as the target spectral line. Furthermore, we explored and proposed methods to enhance the accuracy of temperature inversion.
2. Methods
2.1. Detection Principle
Our MAFS utilizes the OH (6-2) spectral band, which is primarily distributed within 834–837 nm, as shown in Figure 1a. Multiple similar instruments have adopted this spectral band [16,25,26]. The spectral lines Q1 (1.5), Q1 (2.5), and Q1 (3.5) exhibit large intervals and strong intensities, which are ideal for temperature inversion. In addition, the influence of water vapor is minimal in this wavelength band, and infrared-enhanced coatings are commonly available for optical components. Specially processed CCD chips can also achieve high quantum efficiency (greater than 70%) in this wavelength band.
Figure 1.
(a) OH (6-2) Q-branch band position. (b) Linear relationship between E(J) and ln(I/A·L(J)) in the range of rotational temperature from 150 K to 250 K. (c) Relationship between spectral line intensities in the 150 K to 250 K rotational temperature range.
For OH airglow, the slope method is typically used to retrieve the rotational temperature. The OH airglow is located at an altitude of approximately 87 km, with a thickness of about 6 to 8 km. At this altitude, it is generally believed that the OH airglow bands arise from levels that probably have rather long lifetimes and are in a non-local thermal equilibrium state. Its rotational temperature is equal to the kinetic temperature of the surrounding environment. Rotational energy levels within a vibrational state follow the Boltzmann distribution, thus allowing the rotational temperature to be determined from the ratio of the two spectral lines as follows [27]:
where Tb,a represents the rotational temperature, Ib and Ia are the spectral line intensities, J′b and J′a are the rotational energy levels of the higher vibrational level v’, J″b+1 and J″a+1 are the rotational energy levels of the lower vibrational level v″, Ev(J) is the energy of the (J, v) energy level, and A represents the Einstein coefficient. The rotational temperature calculated using the Einstein coefficient by LWR (Langhoff, Werner, and Rosmus) (Langhoff et al., 1986) is generally considered closest to the actual temperature [28].
By reversing Equation (1), we can obtain the relationship formula for the emission intensity of the spectral lines. Abbreviating as A and letting L(J) = 2(2J’b + 1) with J replacing J′b, Equation (1) can be transformed as follows:
The presence of more than two spectral lines in the detection results indicates multiple values for I and J. Therefore, based on Equation (2), a linear fit can be determined between and , with the slope denoted as . This gives the following:
MAFS selected three strong spectral lines of the Q1 branch, Q1 (1.5), Q1 (2.5), and Q1 (3.5), for linear fitting to obtain the rotational temperature. The radiative database used in this manuscript is from the HITRAN on the Web. In the molecular simulation part, it has the functions of setting wavelength, temperature, and pressure. Thus, we set the temperature range from 150 K to 250 K and the pressure range of 0.27–0.35 Pa. For the pressure parameter, Takahashi et al. found that the pressure at around 87 km of altitude varied from 0.27 to 0.35 Pa [29]. For the temperature parameter, we set the temperature query range from 150 K to 250 K. While utilizing HITRAN database parameters, we noted that a linear relationship between and was established for rotational temperatures between 150 K and 250 K, as depicted in Figure 1b. Using HITRAN’s spectral line intensities, the relative intensity relationship for rotational temperatures between 150 K and 250 K was obtained via slope method inversion, as shown in Figure 1c.
2.2. Instrument
The core component of our instrument is a customized echelle grating with a low line density, high incidence angle, high diffraction order, and small free spectral range. The grating equation is as follows:
We use an echelle grating of 31 L/mm with a 64° incident angle, and our detection targets are three spectral lines: Q1 (1.5) at 834.7 nm, Q1 (2.5) at 835.5 nm, and Q1 (3.5) at 836.3 nm. Using the echelle grating in Equation (4), we calculated the diffraction angles of the three spectral lines across various diffraction orders, as shown in Figure 2a. The diffraction efficiency is highest when the diffraction angle is closest to the Littrow angle. Therefore, diffraction angles of 69° and 70°, which are close to the Littrow angle, are selected. Given the actual optical path structure design of the optical instrument, diffraction angles within a range less than the Littrow angle were used. A schematic illustrating the principle of light dispersion on an echelle grating is shown in Figure 2b. Therefore, the 69th diffraction order angles for the three spectral lines, i.e., 62.45°, 62.67°, and 62.87°, were chosen. In addition, the three spectral lines satisfied the condition of being within the same free-spectral range, and the FSR is 12 nm.
Figure 2.
(a) Magnitudes of the diffraction angles for the three spectral lines at different diffraction orders. (b) Principle of light dispersion on echelle grating.
The optical system design of the MAFS employs the classic Czerny–Tuner (C-T) structure of optical paths. The main body employs a catadioptric optical path that makes the optical structure compact and saves space, as shown in Figure 3a. The laboratory prototype of the MAFS built based on this schematic diagram is shown in Figure 3b. In the observation area of the instrument, light traverses a light-receiving system of cylindrical lenses and optical slits, thus forming a parallel beam. Subsequently, through the dispersion of the echelle grating and reflector-induced optical folding, the lens reformulates the light into a parallel beam. Subsequently, the light reaches the filter for spectral band filtering and finally forms an image on the CCD sensor. Based on the parameters provided by the manufacturer of the PIXIS_1024 series of cooled CCDs, the CCD’s operating temperature is −70 °C, with a typical dark current of 0.02-e/p/sec and a maximum dark current of 0.07-e/p/sec. Some of the main technical parameters of the instrument are listed in Table 1.
Figure 3.
(a) Optical system design of MAFS. (b) Laboratory prototype of MAFS.
Table 1.
Main technical parameters of the instrument.
2.3. Data Processing and Inversion Algorithms
The overall data processing and retrieval process shown in Figure 4 is divided into three major steps: image processing, refined spectral extraction, and temperature retrieval.
Figure 4.
Overall data processing and retrieval process.
2.3.1. Original Image Processing
To obtain effective image data for subsequent inversion, the original data were subjected to cosmic ray removal, noise reduction (such as background dark noise), and pincushion distortion correction. During this process, the median filtering method was used to initially filter out background noise spots from the original image. The resulting image after subtracting the CCD background dark noise under shaded conditions is shown in Figure 5a. This dark noise is the inherent electrical component signal of the CCD sensor itself. For noise introduced by optical components, it needs to be acquired by covering the optical receiving module. In our laboratory calibration, we compared the two types of dark noise obtained by covering the optical receiving module and closing the shutter, respectively, and found them to be essentially the same, with little to no impact on our investigation of residual background noise. Since the observation is conducted using the remote control of the instrument, we can only control the CCD and not the optical receiving module. Therefore, we chose to close the shutter to capture the dark noise. By filtering out invalid numerical regions based on the light intensity and calculating the offset correction values for each pixel row by identifying the peak light intensity positions, the lens-induced pincushion distortion was effectively corrected. The corrected spectral images are shown in Figure 5b.
Figure 5.
(a) Spectral image after initially filtering out the background noise from the original image. (b) Spectral image after correcting pincushion distortion.
2.3.2. Spectral Intensity Extraction
In this step, the main focus is on fitting and subtracting the residual background noise from the original spectral data. After applying Gaussian fitting to the remaining spectral signal peaks, the final refined nightglow spectral intensity data were obtained. The natural signal peaks obtained through the superposition of the column pixels are shown in Figure 6a. For the calculation of the signal-to-noise ratio (SNR) of the three spectral lines, besides the target spectral line images and dark noise images with the same exposure time (600 s), we obtained bias noise images with an exposure time of 0.5 s under the condition that the cooled CCD in the laboratory was working normally with the shutter closed. Subsequently, the SNR of each spectral line was calculated based on the cumulative signal intensity of the spectral line and the dark noise from the 600 s exposure after subtracting the bias. Finally, the SNRs of OH (6-2) Q1 (1.5), Q1 (2.5), and Q1 (3.5) are 13.26, 7.97, and 4.52. Considering that the observed Q1 (3.5) was excessively weak, introducing it as a spectral line intensity would introduce significant errors. As depicted in Figure 1b, the HITRAN spectral data revealed a consistent linear relationship between and for both the two-line and three-line methods. In addition, within the altitude range of 0 to 90 km, we used the Line-By-Line Radiative Transfer Model (LBLRTM) software (v.12.11) to calculate the overall atmospheric transmittance covering the range of 0 to 90 km. The transmittance of OH (6-2) Q1 (1.5) at 834.7 nm is 0.724, and the transmittance of OH (6-2) Q1 (2.5) at 835.5 nm is 0.725. The difference in transmittances between these two spectral lines is practically negligible, thus having minimal impact on the retrieval of rotational temperature through the application of the slope method. Therefore, the rotational temperature can also be retrieved using only two spectral lines, and the subsequent spectral data processing will focus on the two lines, Q1 (1.5) and Q1 (2.5). Polynomial fitting of the residual background noise was performed in the three regions around the signal peaks of Q1 (1.5) and Q1 (2.5), as shown in Figure 6b. The fitted residual background noise beneath the peak was substituted for the peak position, as shown in Figure 6c. Finally, the cumulative intensity in Figure 6b was subtracted from the cumulative intensity in Figure 6c to obtain the spectral line signal peak after removing the residual background noise. Performing a Gaussian fit on this peak yielded the spectral line signal peak, as shown in Figure 6d.
Figure 6.
(a) Natural signal peaks obtained through the superposition of column pixels. (b) Three regions around the signal peaks of the two spectral lines Q1 (1.5) and Q1 (2.5). (c) Fitted residual background noise beneath the peak. (d) Spectral line signal peak after removing the residual background noise and performing a Gaussian fit.
2.3.3. Rotational Temperature Retrieval
The process of retrieving the temperature begins with extracting the nightglow spectral intensity. Using the slope method, we aimed to retrieve the rotational temperature and compare the varying temperature derived from different algorithms, with the residual background noise during the retrieval process taken into consideration. This will further enable us to complete the error assessment of temperature retrieval. Finally, the validation of the inversion algorithm will be assisted by comparing the results with NRLMSISE-00 model data, SABER temperature observation data, and the MASP observational data.
3. Results and Analysis
3.1. Observations and Data
Since January 2024, the MAFS has been conducting long-term observations at the Tulihe Climate Observatory in Hulunbeir, Inner Mongolia Autonomous Region, China (50°29′N, 121°41′E, altitude 732.6 m). Additionally, two other instruments independently developed by our research team, namely, the MASP and the Mesosphere Airglow Wide-angle Imager (MAWI), have also been installed and deployed, as shown in Figure 7a. To ensure reliable outdoor operation in extremely cold environments, we engineered and implemented temperature-regulated enclosures for each critical optical system. Using a 350 W TEC air conditioner, we ensured the normal operation of the instrument at −30 °C (between January and March) by maintaining a stable temperature of +20 °C inside the enclosure, thereby achieving a temperature difference of 50 °C between the inside and outside, as depicted in Figure 7b. The daily observation period was from 19:00 to 06:00 the next day. The light-receiving window on top of the MAFS faces the sky and remains parallel to the horizontal ground. After calibration and measurement in the laboratory, the horizontal field-of-view angle was 0.01°, the vertical field-of-view angle was 0.06°, the detection height was 87 km, and the detection area covered 4.81 km2. The exposure time of the cooled CCD camera was 600 s. Therefore, prior to each daily observation, a 600-s CCD dark noise image was captured to facilitate subsequent data processing.
Figure 7.
(a) Joint observations using three instruments independently developed by the research team. (b) MAFS equipped with temperature-controlled housing.
By April 2024, the MA series instrument had been operating stably for 3 months. Through the evaluation of MAWI detection images, MAFS detection data were screened daily, and 6–8 days of high-quality detection data from clear nights without moonlight were selected. To mitigate background light pollution from dawn and dusk, we selected 7.5 h of detected data from 20:30 to 04:00 on the following day for further processing.
3.2. Temperature Inversion Results
3.2.1. Sampling Methods for Fitting Residual Background Noise
To perform a comparative experiment on the fitting parameters to remove the residual background noise, we adjusted the cumulative pixel samples around the signal peak to fit and eliminate the residual noise. First, the areas surrounding the Q1 (1.5) and Q1 (2.5) spectral line peaks for OH (6-2) were divided into regions I, II, and III, as shown in Figure 6b.
The following discussion mainly focuses on two sampling methods for the accumulated pixels: Method 1. changing the number of sampling points required for fitting in region II; Method 2. changing the number of sampling regions required for fitting.
For sampling method 1, the sampling points in region II were located between the Q1 (1.5) and Q1 (2.5) spectral line peaks of OH (6-2). Consequently, the sampling points in region II offered a more crucial reference for accurately fitting and reconstructing the residual background noise beneath the signal peak compared with that in regions I and III. The sampling points for region II fitting were categorized into four groups using sampling method 1, and the effects of varying the fitting parameters over four to seven points on the rotational temperature inversion were explored.
For sampling method 2, because three sampling regions were included in total, the fitting of the residual background noise under each peak must rely on the sampling points from adjacent regions. The sampling regions were divided using sampling method 2 into two groups based on the fitting requirements: a. Single-fit with three regions, with sampling points from regions I, II, and III used for fitting and two pieces of residual background noise under the Q1 (1.5) and Q1 (2.5) spectral line peaks obtained simultaneously; b. Double-fit with two regions, with sampling points from regions I and II used for fitting to obtain the residual background noise under the Q1 (1.5) spectral line peak and sampling points from regions II and III used for fitting to obtain the residual background noise under the Q1 (2.5) spectral line peak.
3.2.2. Temperature Inversion Results Based on Peak Values
In the compared experiment, the spectral line intensity was extracted from the cumulative peak-to-peak value of the signal. Eight sets of different rotational temperature inversion results were obtained by combining sampling methods 1 and 2.
As shown in Figure 8a, modifying either sampling method 1 or 2 did not alter the basic trend of the temperature inversion curve, although it did introduce overall fluctuations in the calculated inversion results. In Figure 8b, based on the fewest sampling points in method 1 and a three-region single-fit in method 2, the inversion temperatures exhibited the highest positive deviation from the average. Conversely, with the most sampling points in method 1 and a two-region double-fit in method 2, the inversion temperatures displayed the highest negative deviation. As shown in Figure 8c, as the rotational temperature increased, the deviations of the inversion results from the mean exhibited a radial pattern. Therefore, when the range of rotational temperatures discussed is relatively high, changing the sampling methods a and b will have a more significant impact on obtaining different temperature results. As shown in Figure 8d, when method 2 was fixed, reducing the number of sampling points in method 1 led to higher inversional rotational temperatures. Conversely, when method 1 was fixed, the three-region single-fit of method 2 yielded higher inversion temperatures than the two-region double-fit.
Figure 8.
(a) Trend of rotational temperature measurement values on a single day, taking the data from 5 February 2024 as an example. (b) Degree of deviation of the eight sets of inversion results from the overall average, where the overall average refers to the average value obtained from the eight different temperatures measured at each time point. (c) Trend of the deviation between the eight sets of inversion results and the overall average as the temperature changes. (d) Overnight average of the eight sets of temperature inversion results.
3.2.3. Comparison of Results from Different Spectral Line Extraction Methods
For the comparative experiment on spectral line intensity extraction, two methods were considered: extraction of the cumulative signal peak-to-peak value and extraction of the cumulative signal peak Gaussian fitting area. Based on the cumulative signal peak, four methods of spectral line intensity extraction were identified: peak value and area of cumulative signal peak and peak value and area after the Gaussian fitting of the cumulative signal peak. To compare the simplified and complex processing methods for extraction, two spectral line intensity extraction methods were selected: cumulative signal peak-to-peak value and cumulative signal peak Gaussian fitting area.
The temperature fluctuation pattern depicted in Figure 9a resembles that shown in Figure 8a. In Figure 9b, the general structure of the curves is consistent, although the shape of the temperature curve does not align perfectly over time. A comparison of the deviations of the peak values and Gaussian fitting areas from their overall means in Figure 8b and Figure 9c revealed that the temperature groups with the greatest positive and negative deviations from the overall average remained consistent between the two figures. A comparison of the mean deviation in both directions of the two spectral line extraction methods revealed that the temperature group employing the Gaussian fitting area for the spectral line intensity exhibited a more pronounced deviation from the mean than the one using the peak value. In Figure 8c and Figure 9d, from the low-temperature region to the high-temperature region, as the rotational temperature increased, the trends of all the temperature groups in both cases exhibited a radial pattern. A comparison of the slopes of the fitted trend lines revealed that the Gaussian fitting area-based temperature group exhibited a broader radial pattern, suggesting a more significant impact of temperature inversion on high-temperature regions, particularly with the Gaussian fitting spectral line extraction method. As shown in Figure 9e, as the number of fitted sampling points increased, the overnight average temperature decreased for both methods. In addition, in both cases, the overnight average temperature obtained using the three-region single-fit method was higher than that obtained using the two-region double-fit method. However, the overall average overnight temperature based on the Gaussian fitting area was generally higher than that based on the peak value. In Figure 9f, the slope under the Gaussian fitting area condition was larger than that under the peak value condition. As the number of sampling points increased, the downward trend under the condition of the Gaussian fitting area was more significant than that under the condition of the peak value.
Figure 9.
(a) Taking the data from February 5, 2024 as an example, change trends in the rotational temperature measurement values under the condition of Gaussian fitting area are shown. (b) Difference in the average temperature inversion results obtained at each moment based on the peak value and the Gaussian fitting area. (c) Under the condition of Gaussian fitting area, the degree of deviation of the eight sets of inversion results from the overall average value. (d) Under the condition of Gaussian fitting area, the trend of the eight sets of inversion results’ deviation from the overall average value as the temperature changes. (e) Relationship between the magnitude of the temperature inversion results of the two spectral line extraction methods in terms of the overnight average values. Squares correspond to single-fit classes, while triangles correspond to double-fit classes. (f) Slope of the overnight average temperature for the two spectral line extraction methods as the number of sampling points changes.
Therefore, when changing sampling method 1, the temperature curve will fluctuate within a range of 5 K to 10 K without altering the overall trend. Similarly, modifying sampling method 2 will also cause the temperature curve to fluctuate without changing its trend. In addition, the temperatures calculated using the three-region single-fit method were generally 3 K to 5 K higher than those obtained using the two-region double-fit method.
3.2.4. Comparison of Multi-Day Detection Data
To assess the applicability of single-day detection patterns to multi-day data, we analyzed six nights of high-quality data from 5–7 February, 31 March, 3 April, and 8 April 2024, spanning a three-month period.
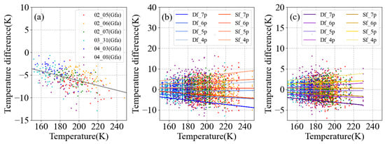
To verify the universality of the temperature fluctuation thresholds generated by adopting different fitting methods, we plotted a trend line graph of the correlation between the six days and the temperature region, as shown in Figure 10. A comparison of the temperature observation data for the six days in Figure 10 with those in Figure 8c and Figure 9d revealed that the patterns summarized based on single-day detection data were generally applicable to multiday detection data.
Figure 10.
(a) Taking the two-region double-fit method and the 7-point sampling mode as an example, the fitted trend of the correlation between all observations within the six days and the temperature region is presented. (b) The fitted trend of the correlation between temperature regions under the condition of Gaussian fitting area. (c) The fitted trend of the correlation between temperature regions under peak conditions.
3.3. Discussion of the Factors Influencing Differences in Inversion Results
3.3.1. Influencing Factors
To further explore the impact of residual background noise fitting on the temperature inversion results, this section discusses the factors that cause differences in the temperature inversion results by demonstrating the shape of the residual background noise under the peak restored by various background noise fitting methods and evaluating the spectral line intensity after secondary denoising, as shown in Figure 11. In the residual background noise obtained using the three-region single-fit and two-region double-fit methods, the residual background noise increased as the number of sampling points increased. Excessive sampling points may cause a loss in the signal region beneath the peak, leading to a lower inverted temperature, whereas insufficient sampling points may retain noise, resulting in a higher inverted temperature.
Figure 11.
(a) Noise shapes restored by various background noise fitting methods. (b) Residual background noise obtained by different fitting methods within a small threshold range. (c) Taking the spectral line image captured on 5 February 2024 as an example, the intensity ratio of each group of spectral lines under each background residual noise fitting method is presented. Squares correspond to single-fit classes, while triangles correspond to double-fit classes. (d) Temperature inversion results for each group of spectral lines under each background residual noise fitting method. Squares correspond to single-fit classes, while triangles correspond to double-fit classes.
A comparison of Figure 11c,d revealed that variations in the spectral line intensity ratio were aligned with the changes in the spectral line temperature inversion results as the number of sampling points increased. Therefore, the difference in the inversion temperature results is related to the change in the ratio of the spectral line intensity, which in turn is related to the magnitude of the residual background noise. Consequently, the fitting and restoration of residual background noise are important factors affecting the inversion results of rotational temperature. Furthermore, different methods of spectral line intensity extraction can have varying degrees of secondary impacts on the factors influencing the residual background noise. As shown in Figure 11d, the fluctuation range of the temperature inversion results for the Gaussian fitting area was approximately 15 K, while the fluctuation range of the temperature inversion results for the signal peak amplitude was approximately 10 K. When the spectral line intensity was extracted through the Gaussian fitting area, the inversion results of the rotational temperature were more sensitive to the influencing factors of the residual background noise.
3.3.2. Data Comparison
A comparative study was conducted using data from the MASP and NRLMSISE-00 models to evaluate the effectiveness and accuracy of the MAFS temperature inversion method. The MASP employed for comparison in this study underwent extensive optimization and calibration of its rotational temperature inversion algorithm by aligning it with observations from the sodium fluorescence lidar at the Chinese Academy of Sciences National Space Science Center [24]. Therefore, the comparative analysis results of the MAFS and MASP observational data possessed significant reference values (as shown in Figure 12).

Figure 12.
Fluctuations in the MAFS peak group average temperature curve, MAFS Gaussian fitting area group average temperature curve, MASP temperature curve, NRLMSISE-00 model temperature curve, SABER temperature observation data during this period, and average temperatures of each curve throughout the night: (a,c,e,g) The detection data from 3–6 February 2024; (b,d,f,h) The average temperature from 3–6 February 2024.
A comparison of the similarities and differences between the four temperature curves revealed that the temperature curves of the MAFS and MASP generally show similar fluctuation trends. Considering the difference in the actual sounding observation angles between the two instruments (The MASP features a field of view (FOV) of 12.9°), the observation area differed at the same altitude. As the rotational temperature measured at each moment represents the average temperature within the observation area of the instrument, a certain degree of difference in temperature curves occurred between the two instruments.
A comparison of the temperature curves by the two MAFS with that of the MASP revealed that the MASP temperature curve was more closely aligned with the Gaussian fitting area group temperature curve during most detection time periods. Furthermore, the Gaussian-fitting area group temperature curve was closer to the MASP in terms of magnitude than the peak group temperature curve, and its overnight average was slightly higher than that of the MASP. The fitting method for the temperature region below the Gaussian-fitting area group mean temperature curve adopted more sampling points and used a quadratic fitting method with three regions. Moreover, the temperature curve in this region was closer to the temperature inversion results of MASP.
To further validate the corrected inverted temperatures, we utilized the observation data from the spaceborne SABER during its transit as a reference. The nearest SABER temperature profile to the MAFS location (50°N, 121°E) during the MAFS observation period was selected. A weighted average within the altitude range of 86–88 km was used to obtain the average temperature at 87 km. During the observations from 3–6 February 2024, the SABER profiles were located at (49°N, 117°E), (51°N, 111°E), (49°N, 130°E), and (50°N, 124°E). The observation times were recorded as 01:33 local time on February 4, 01:44 local time on 5 February, 00:16 local time on February 6, and 00:26 local time on February 7. Correspondingly, the temperatures recorded at these four times were 205.53 K, 225.27 K, 223.27 K, and 219.3 K. The observation data from the spaceborne SABER was in closer alignment with the MAFS Gaussian fitting area group average temperature curve, but the SABER data were higher by approximately 5 to 10 K compared to MAFS. This difference was mainly attributed to significant disparities between the ground-based MAFS observation and SABER’s limb mode, FOV coverage, and observation position.
4. Conclusions
A spectrograph instrument called the MAFS was previously developed by our research team. We systematically evaluated the impact of spectral line extraction methods and residual background noise elimination methods on temperature inversion results based on the spectral lines of the OH (6-2) Q-branch as the target spectral line. The change in sampling method 1, which involves adopting different numbers of sampling points, leads to temperature curve fluctuations within a 5 K to 10 K range, thus keeping its overall trend unchanged. The change in sampling method 2, which involves adopting different fitting methods, will also cause the temperature curve to fluctuate without altering its overall trend. The temperature calculated using the single-fit method with three regions is generally higher by 3 K to 5 K compared to the double-fit method with two regions. After comparing with MASP observational data, it is evident that the double-fit method with two regions may have an advantage in reproducing the fluctuations of residual background noise. While utilizing distinct spectral line intensity extraction methods, we note that the temperature inversion results for sampling methods 1 and 2 exhibit a fluctuation range of approximately 15 K under Gaussian fitting area conditions, whereas under peak value conditions, the range reduces to approximately 10 K. Compared with the observation data of MASP, the temperature inversion results under the condition of Gaussian fitting area are closer to MASP. The observation data from the spaceborne SABER were in closer alignment with the MAFS Gaussian fitting area group average temperature curve, but the SABER data were higher by approximately 5 to 10 K compared to MAFS. In high-temperature regions, changing the sampling methods 1 and 2 as well as using different spectral line intensity extraction methods will have a more significant impact on the variation of temperature inversion. For instance, when the temperature observation region is at 185 K, the difference between the two sets of inversion results with the largest temperature variation is 11 K. While in the case of 215 K, the discrepancy between the two sets of inversion results with the most significant temperature variation amounts to 15 K.
Since the number of sampling points for residual background noise obtained from the current MAFS detection image processing is relatively limited, a more detailed group discussion on the impact of sampling points cannot be conducted. Therefore, enlarging the effective signal region to enhance the resolution of signal peaks is an important direction for the iteration of MAFS. Considering that spectral lines have specific shapes, another improvement direction for the iteration of spectrometers is to adapt to different application scenarios by replacing certain optical components. Compared with MASP, MAFS suffers from weaker spectral line signals due to differences in spectral dispersion principles, resulting in weaker spectral lines being overwhelmed by noise. Improving the detection efficiency by enhancing the light-collecting system is also a future research direction for MAFS. For downloading MAFS data, please refer to the Supplementary Materials.
Supplementary Materials
The following supporting information can be downloaded at https://doi.org/10.6084/m9.figshare.26354368, Explanation of Data File Format: The compressed file downloaded from figshare is named “MA DATA”. Within this directory, we provide high-quality data from 8 days of MAFS observations and 4 days of MASP observations (note that there are missing measurements for MASP). Additionally, there are folders named “DARK_MAFS”, “DARK_MASP”, and “MAWI” located in this directory. “ DARK_MAFS” and “DARK_MASP” contain the dark noise images with equal exposure times captured by the CCDs of MAFS and MASP, respectively. The “MAWI” folder contains one day’s worth of observation data as a sample. Since MAWI serves the purpose of data screening in this paper and does not participate in direct joint observations, only sample data are attached. The data in “MAWI” for other dates are generally similar (under clear and cloudless conditions).
Author Contributions
Conceptualization, B.J. and H.G.; methodology, B.J.; software, B.J.; validation, B.J., S.N., and K.R.; formal analysis, B.J.; investigation, S.S.; resources, B.J.; data curation, B.J.; writing—original draft preparation, B.J.; writing—review and editing, H.G.; visualization, B.J.; supervision, H.G.; project administration, H.G.; funding acquisition, H.G. All authors have read and agreed to the published version of the manuscript.
Funding
This research was funded by the National Key Research and Development Program of China (No. 2021YFC2802502) and the National Natural Science Foundation of China (42374223).
Data Availability Statement
The original contributions presented in the study are included in the article and Supplementary Materials, further inquiries can be directed to the corresponding author.
Conflicts of Interest
The authors declare no conflicts of interest.
References
- Lu, D.; Chen, Z.; Guo, X.; Tian, W. Recent progress in near space atmospheric environment study. Adv. Mech. 2009, 39, 674–682. [Google Scholar]
- Qian, L.; Laštovička, J.; Roble, R.; Solomon, S. Progress in observations and simulations of global change in the upper atmosphere. J. Geophys. Res. 2011, 116, A00H03. [Google Scholar] [CrossRef]
- Wan, W.; Xu, J. Recent investigation on the coupling between the ionosphere and upper atmosphere. Sci. China Earth Sci. 2014, 57, 1995–2012. [Google Scholar] [CrossRef]
- Yue, J.; Russell, J., III; Jian, Y.; Rezac, L.; Garcia, R.; López-Puertas, M.; Mlynczak, M.G. Increasing carbon dioxide concentration in the upper atmosphere observed by SABER. Geophys. Res. Lett. 2015, 42, 7194–7199. [Google Scholar] [CrossRef]
- Chen, Z.; Xu, J.; Hu, X.; Chen, H.; Chen, W.; Wei, K.; Dou, X. Advances in the Researches of the Middle and Upper Atmosphere in China in 2014−−2016. Chin. J. Space Sci. 2016, 36, 738–752. [Google Scholar] [CrossRef]
- Sargoytchev, S.I.; Brown, S.; Solheim, B.H.; Cho, Y.M.; Shepherd, G.G.; López-González, M.J. Spectral airglow temperature imager (SATI): A ground-based instrument for the monitoring of mesosphere temperature. Appl. Opt. 2004, 43, 5712–5721. [Google Scholar] [CrossRef] [PubMed]
- Wiens, R.H.; Zhang, S.P.; Peterson, R.N.; Shepherd, G.G. MORTI: A mesopause oxygen rotational temperature imager. Planet. Space Sci. 1991, 39, 1363–1375. [Google Scholar] [CrossRef]
- Marshall, R.A.; Smith, S.; Baumgardner, J.; Chakrabarti, S. Continuous ground-based multiwavelength airglow measurements. J. Geophys. Res.-Space Phys. 2011, 116, A11304. [Google Scholar] [CrossRef]
- Liu, W.; Xu, J.; Smith, A.K.; Yuan, W. Comparison of rotational temperature derived from ground-based OH airglow observations with TIMED/SABER to evaluate the Einstein coefficients. J. Geophys. Res.-Space Phys. 2015, 120, 10069–10082. [Google Scholar] [CrossRef]
- Hagan, M.; Portnyagin, Y.; Shepherd, G. PSMOS 2000 workshop-Planetary scale mesopause observing system. J. Atmos. Sol.-Terr. Phys. 2002, 64, 873–874. [Google Scholar] [CrossRef]
- Reisin, E.R.; Scheer, J.; Dyrland, M.E.; Sigernes, F.; Deehr, C.S.; Schmidt, C.; von Savigny, C. Traveling planetary wave activity from mesopause region airglow temperatures determined by the Network for the Detection of Mesospheric Change (NDMC). J. Atmos. Sol.-Terr. Phys. 2014, 119, 71–82. [Google Scholar] [CrossRef]
- Wang, C.; Xu, J.; Liu, L.; Xue, X.; Zhang, Q.; Hao, Y.; Wang, J. Contribution of the Chinese Meridian Project to space environment research: Highlights and perspectives. Sci. China Earth Sci. 2023, 66, 1423–1438. [Google Scholar] [CrossRef]
- Yan, Z.; Hu, X.; Guo, W.; Guo, S.; Cheng, Y.; Gong, J.; Yue, J. Development of a mobile Doppler lidar system for wind and temperature measurements at 30–70 km. J. Quant. Spectrosc. Radiat. Transf. 2017, 188, 52–59. [Google Scholar] [CrossRef]
- Ba, J.; Yan, Z.; Hu, X.; Guo, S.; Guo, W.; Cheng, Y. Characteristics of vertical wind perturbations in the mesopause region based on lidar measurements and dynamic simulations ormalsize (in Chinese). Chin. J. Space Sci. 2017, 37, 554–563. [Google Scholar] [CrossRef]
- Guo, S.; Hu, X.; Yan, Z.; Cheng, Y.; Tu, C. Studies for mesopause temperature distribution characteristics based on the sodium lidar data (in Chinese). Chin. J. Space Sci. 2022, 42, 913–918. [Google Scholar] [CrossRef]
- Wiens, R.H.; Moise, A.; Brown, S.; Sargoytchev, S.; Peterson, R.N.; Shepherd, G.G. SATI: A spectral airglow temperature imager. Adv. Space Res. 1997, 19, 677–680. [Google Scholar] [CrossRef]
- Dalin, P.; Perminov, V.; Pertsev, N.; Romejko, V. Updated long-term trends in mesopause temperature, airglow emissions, and noctilucent clouds. J. Geophys. Res.-Atmos. 2020, 125, e2019JD030814. [Google Scholar] [CrossRef]
- Oberheide, J.; Offermann, D.; Russell, J.M., III; Mlynczak, M.G. Intercomparison of kinetic temperature from 15 μm CO2 limb emissions and OH*(3, 1) rotational temperature in nearly coincident air masses: SABER, GRIPS. Geophys. Res. Lett. 2006, 33, L14811. [Google Scholar] [CrossRef]
- Smith, S.M.; Baumgardner, J.; Mertens, C.J.; Russell, J.M.; Mlynczak, M.G.; Mendillo, M. Mesospheric OH temperatures: Simultaneous ground-based and SABER OH measurements over Millstone Hill. Adv. Space Res. 2010, 45, 239–246. [Google Scholar] [CrossRef]
- Zhao, Y.; Taylor, M.J.; Chu, X. Comparison of simultaneous Na lidar and mesospheric nightglow temperature measurements and the effects of tides on the emission layer heights. J. Geophys. Res.-Atmos. 2005, 110, D09S07. [Google Scholar] [CrossRef]
- Shiokawa, K.; Otsuka, Y.; Suzuki, S.; Katoh, T.; Katoh, Y.; Satoh, M.; Shimomai, T. Development of airglow temperature photometers with cooled-CCD detectors. Earth Planets Space 2007, 59, 585–599. [Google Scholar] [CrossRef]
- Liu, W. The Detection and Study on Airglow Spectra in Middle and Upper Atmosphere. Ph.D. Dissertation, University of Chinese Academy of Sciences, Beijing, China, 2016. [Google Scholar]
- Wang, W. Simulation and Inversion of Spatial Heterodyne Interferometric Hyperspectral Temperature Detection from O2 4-band Night Glow in Mesosphere and Lower Thermosphere. Ph.D. Dissertation, University of Science and Technology of China, Hefei, China, 2023. [Google Scholar]
- Niu, S.; Gao, H.; Yan, Z.; Ren, K.; Kou, L.; Jiang, B.; Bu, L. High-precision temperature retrieval algorithm and verification for mesospheric airglow spectrum photometer. Sci. China Earth Sci. 2024, 67, 1639–1651. [Google Scholar] [CrossRef]
- Shiokawa, K.; Otsuka, Y.; Ogawa, T.; Takahashi, H.; Nakamura, T.; Shimomai, T. Comparison of OH rotational temperatures measured by the spectral airglow temperature imager (SATI) and by a tilting-filter photometer. J. Atmos. Sol.-Terr. Phys. 2004, 66, 891–897. [Google Scholar] [CrossRef]
- Lopez-Gonzalez, M.J.; Rodriguez, E.; Wiens, R.H.; Shepherd, G.G.; Sargoytchev, S.; Brown, S.; Cho, Y.M. Seasonal variations of O2 atmospheric and OH (6−2) airglow and temperature at mid-latitudes from SATI observations. Ann. Geophys. 2004, 22, 819–828. [Google Scholar] [CrossRef]
- Mies, F.H. Calculated vibrational transition probabilities of OH (X2Π). J. Mol. Spectrosc. 1974, 53, 150–188. [Google Scholar] [CrossRef]
- Langhoff, S.R.; Werner, H.J.; Rosmus, P. Theoretical transition probabilities for the OH Meinel system. J. Mol. Spectrosc. 1986, 118, 507–529. [Google Scholar] [CrossRef]
- Takahashi, H.; Nakamura, T.; Tsuda, T.; Buriti, R.A.; Gobbi, D. First measurement of atmospheric density and pressure by meteor diffusion coefficient and airglow OH temperature in the mesopause region. Geophys. Res. Lett. 2002, 29, 6-1–6-4. [Google Scholar] [CrossRef]
Disclaimer/Publisher’s Note: The statements, opinions and data contained in all publications are solely those of the individual author(s) and contributor(s) and not of MDPI and/or the editor(s). MDPI and/or the editor(s) disclaim responsibility for any injury to people or property resulting from any ideas, methods, instructions or products referred to in the content. |
© 2024 by the authors. Licensee MDPI, Basel, Switzerland. This article is an open access article distributed under the terms and conditions of the Creative Commons Attribution (CC BY) license (https://creativecommons.org/licenses/by/4.0/).