Characterizing the Macro and Micro Properties of Precipitation during the Landfall of Typhoon Lekima by Using GPM Observations
Abstract
1. Introduction
2. Data and Methodology
3. Evaluation of Consistency between GPM and Ground-Based Radar Measurements
3.1. Spatiotemporal Matching Methods for Data
3.2. Comparison of Reflectivity between GPM and Ground-Based Radar
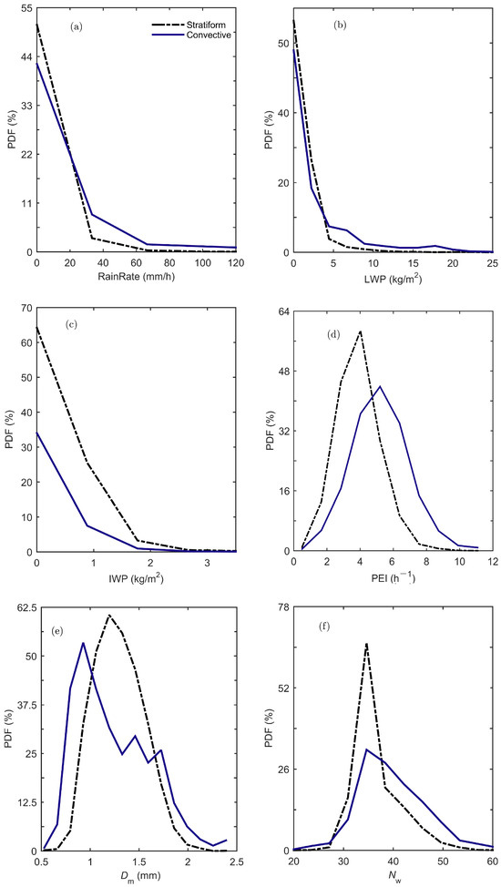
4. Macro and Micro Properties of Precipitation
4.1. Macro Properties of Clouds and Precipitation Types
4.2. Horizontal Structure of Precipitation
4.3. Vertical Structure of Precipitation
4.4. Micro Properties of Precipitation
5. Conclusions
Author Contributions
Funding
Institutional Review Board Statement
Informed Consent Statement
Data Availability Statement
Conflicts of Interest
References
- Didlake, A.C.; Kumjian, M.R. Examining storm asymmetries in Hurricane Irma (2017) using polarimetric radar observations. Geophys. Res. Lett. 2018, 45, 13513–13522. [Google Scholar] [CrossRef]
- Wu, D.; Zhao, K.; Kumjian, M.R.; Chen, X.; Huang, H.; Wang, M. Kinematics and microphysics of convection in the outer rainband of typhoon Nida (2016) revealed by polarimetric radar. Mon. Wea. Rev. 2018, 146, 2147–2159. [Google Scholar] [CrossRef]
- Laurencin, C.N.; Didlake, A.C.; Loeffler, S.D.; Kumjian, M.R.; Heymsfield, G.M. Hydrometeor size sorting in the asymmetric eyewall of Hurricane Matthew (2016). J. Geophys. Res. Atmos. 2020, 125, e2020JD032671. [Google Scholar] [CrossRef]
- Wang, M.; Zhao, K.; Pan, Y.; Xue, M. Evaluation of simulated drop size distributions and microphysical processes using polarimetric radar observations for landfalling typhoon matmo (2014). J. Geophys. Res. Atmos. 2020, 125, e2019JD031527. [Google Scholar] [CrossRef]
- Elsberry, R.L. Advances in research and forecasting of tropical cyclones from 1963–2013. Asia-Pac. J. Atmos. Sci. 2014, 50, 3–16. [Google Scholar] [CrossRef]
- Jiang, H.; Ramirez, E.M.; Cecil, D.J. Convective and rainfall properties of tropical cyclone inner cores and rainbands from 11 years of TRMM data. Mon. Wea. Rev. 2013, 141, 431–450. [Google Scholar] [CrossRef][Green Version]
- Jing, Y.S.; Li, J.; Weng, Y.; Weng, Y.Y.; Wang, J. The assessment of drought relief by Typhoon Saomai based on MODIS remote sensing data in Shanghai, China. Nat. Hazards 2014, 71, 1215–1225. [Google Scholar] [CrossRef]
- Kitabatake, N.; Hoshino, S.; Sakuragi, T. Estimation of Tropical Cyclone Intensity using TRMM/TMI Brightness Temperature Data with Asymmetric Components. Pap. Meteor. Geophys. 2014, 65, 57–74. [Google Scholar] [CrossRef]
- Hou, A.Y.; Kakar, R.K.; Neeck, S.; Azarbarzin, A.A.; Kummerow, C.D.; Kojima, M.; Oki, R.; Nakamura, K.; Iguchi, T. The Global Precipitation Measurement Mission. Bull. Amer. Meteor. Soc. 2014, 95, 701–722. [Google Scholar] [CrossRef]
- Gail, S.J.; Dalia, K.; Walter, P.; George, H.; Chris, K.; Erich, S.; Ramesh, K. The Global Precipitation Measurement (GPM) Mission for Science and Society. Bull. Amer. Meteor. Soc. 2017, 98, 1679–1695. [Google Scholar]
- Gail, S.J.; Dalia, K.; Walter, P.; George, H.; Chris, K.; Erich, S.; Ramesh, K. The Global Precipitation Measurement (GPM) mission’s scientific achievements and societal contributions: Reviewing four years of advanced rain and snow observations. Quart. J. Roy. Meteor. Soc. 2018, 144 (Suppl. S1), 27–48. [Google Scholar]
- Liu, C.; Zipser, E.J. The global distribution of largest, deepest, and most intense precipitation systems. Geophys. Res. Lett. 2015, 42, 3591–3595. [Google Scholar] [CrossRef]
- Huang, H.; Chen, F.J. Precipitation Microphysics of Tropical Cyclones Over the western North Pacific Based on GPM DPR Observations: A Preliminary Analysis. J. Geophys. Res. Atmos. 2019, 124, 3124–3142. [Google Scholar] [CrossRef]
- Chen, F.; Sheng, S.; Bao, Z.; Wen, H.; Hua, L.; Paul, N.J.; Fu, Y. Precipitation Clouds Delineation Scheme in Tropical Cyclones and Its Validation Using Precipitation and Cloud Parameter Datasets from TRMM. J. Appl. Meteor. Climatol. 2018, 57, 821–836. [Google Scholar] [CrossRef]
- Zhang, A.Q.; Chen, Y.; Pan, X.; Hu, Y.; Chen, S.; Li, W. Precipitation Microphysics of Tropical Cyclones over Northeast China in 2020. Remote Sens. 2022, 14, 2188. [Google Scholar] [CrossRef]
- Yang, Z.; Yuan, T.; Jiang, H.; Zhang, L.; Zhang, C. Stratiform and Convective Precipitation Properties of Tropical Cyclones in the Northwest Pacific. J. Geophys. Res. Atmos. 2018, 123, 3513–3529. [Google Scholar] [CrossRef]
- Qi, W.Q.; Yong, B.; Gourley, J.J. Monitoring the super typhoon Lekima by GPM-based near-real-time satellite precipitation estimates. J. Hydrol. 2021, 603, 126968. [Google Scholar] [CrossRef]
- Klemas, V.V. The role of remote sensing in predicting and determining coastal storm impacts. J. Coast. Res. 2009, 25, 1264–1275. [Google Scholar] [CrossRef]
- Min, C.; Chen, S.; Gourley, J.J.; Chen, H.; Huang, C. Coverage of China new generation weather radar network. Adv. Meteorol. 2019, 2019, 5789358. [Google Scholar] [CrossRef]
- Warren, R.A.; Protat, A.; Siems, S.T.; Ramsay, H.A.; Louf, V.; Manton, M.J.; Kane, T.A. Calibrating Ground-Based Radars against TRMM and GPM. J. Atmos. Oceanic. Technol. 2018, 35, 323–346. [Google Scholar] [CrossRef]
- Chu, Z.G.; Ma, Y.Z.; Zhang, G.F.; Wang, Z.H.; Han, J. Mitigating spatial discontinuity of multi-radar QPE based on GPM/KuPR. Hydrology 2018, 5, 48. [Google Scholar] [CrossRef]
- Hamada, A.; Takayabu, Y.N. Improvements in Detection of Light Precipitation with the Global Precipitation Measurement Dual-Frequency Precipitation Radar (GPM DPR). J. Atmos. Oceanic. Technol. 2016, 33, 653–667. [Google Scholar] [CrossRef]
- Iguchi, T.; Oki, R.; Smith, E.; Furuhama, Y. Global precipitation measurement program and the development of dual-frequency precipitation radar. J.-Commun. Res. Lab. 2002, 49, 37–46. [Google Scholar]
- Sui, C.H.; Li, X.F.; Yang, M.J. On the definition of precipitation efficiency. J. Atmos. Sci. 2010, 64, 4506. [Google Scholar] [CrossRef]
- Wang, M.; Zhao, K.; Xue, M.; Zhang, G.; Liu, S.; Wen, L.; Chen, G. Precipitation microphysics characteristics of a typhoon Matmo (2014) rainband after landfall over eastern China based on polarimetric radar observations. J. Geophys. Res. Atmos. 2016, 121, 12415–12433. [Google Scholar] [CrossRef]
- Liang, L.; Robert, M. Changes in the TRMM Version-5 and Version-6 Precipitation Radar Products Due to Orbit Boost. J. Meteorol. Soc. Japan 2009, 87A, 93–107. [Google Scholar]
- Bolen, S.M.; Chandrasekar, V. Quantitative Cross Validation of Space-Based and Ground-Based Radar Observations. J. Appl. Meteor. Climatol. 2000, 39, 2071–2079. [Google Scholar] [CrossRef]
- Biswas, S.K.; Chandrasekar, V. Cross-Validation of Observations between the GPM Dual-Frequency Precipitation Radar and Ground Based Dual-Polarization Radars. Remote Sens. 2018, 10, 1773. [Google Scholar] [CrossRef]
- Huang, H.; Zhao, K.; Fu, P.L.; Chen, H.N.; Chen, G.; Zhang, Y. Validation of Precipitation Measurements from the Dual-Frequency Precipitation Radar Onboard the GPM Core Observatory Using a Polarimetric Radar in South China. IEEE. Trans. Geosci. Remote. Sens. 2022, 60, 4104216. [Google Scholar] [CrossRef]
- Li, Z.; Wen, Y.X.; Liao, L.; Wolff, D.; Meneghini, R.; Schuur, T. Joint Collaboration on Comparing NOAA’s Ground-Based Weather Radar and NASA–JAXA’s Spaceborne Radar. Bull. Amer. Meteor. Soc. 2023, 104, 1435–1451. [Google Scholar] [CrossRef]
- Zhong, L.Z.; Yang, R.F.; Wen, Y.X.; Chen, L.; Gou, Y.B.; Li, R.Y.; Zhou, Q.; Hong, Y. Cross-evaluation of reflectivity from the space-borne precipitation radar and multi-type ground-based weather radar network in China. Atmos. Res. 2017, 196, 200–210. [Google Scholar] [CrossRef]
- Le, M.; Chandrasekar, V.; Biswas, S. Evaluation and Validation of GPM Dual-Frequency Classification Module after Launch. J. Atmos. Oceanic Technol. 2016, 33, 2699–2716. [Google Scholar] [CrossRef]
- Anagnostou, E.N.; Morales, C.A.; Dinku, T. The Use of TRMM Precipitation Radar Observations in Determining Ground Radar Calibration Biases. J. Atmos. Oceanic. Technol. 2001, 18, 616–628. [Google Scholar] [CrossRef]
- Wang, J.; Wolff, D.B. Comparisons of Reflectivities from the TRMM Precipitation Radar and Ground-Based Radars. J. Atmos. Oceanic. Technol. 2009, 26, 857–875. [Google Scholar] [CrossRef]
- Liao, L.; Meneghini, R. Validation of TRMM Precipitation Radar through Comparison of Its Multiyear Measurements with Ground-Based Radar. J. Appl. Meteor. Climatol. 2009, 48, 804–817. [Google Scholar] [CrossRef]
- Schwaller, M.R.; Morris, K.R. A Ground Validation Network for the Global Precipitation Measurement Mission. J. Atmos. Oceanic. Technol. 2011, 28, 301–319. [Google Scholar] [CrossRef]
- Acosta-Coll, M.; Morales, A.; Zamora-Musa, R.; Butt, S.A. Cross-Evaluation of Reflectivity from NEXRAD and Global Precipitation Mission during Extreme Weather Events. Sensors 2022, 22, 5773. [Google Scholar] [CrossRef] [PubMed]
- Chen, F.; Fu, Y.; Yang, Y. Regional variability of precipitation in tropical cyclones over the western North Pacific revealed by the GPM dual-frequency precipitation radar and microwave imager. J. Geophys. Res. Atmos. 2019, 124, 11281–11296. [Google Scholar] [CrossRef]
- Hoshino, S.; Nakazawa, T. Estimation of tropical cyclone’s intensity using TRMM/TMI brightness temperature data. J. Meteor. Soc. Jpn. 2007, 85, 437–454. [Google Scholar] [CrossRef]
- Liao, L.; Meneghini, R. GPM DPR Retrievals: Algorithm, Evaluation, and Validation. Remote Sens. 2022, 14, 843. [Google Scholar] [CrossRef]
- Awaka, J.; Le, M.; Chandrasekar, V.; Yoshida, N.; Higashiuwatoko, T.; Kubota, T.; Iguchi, T. Rain Type Classification Algorithm Module for GPM Dual-Frequency Precipitation Radar. J. Atmos. Oceanic. Technol. 2016, 33, 1887–1898. [Google Scholar] [CrossRef]
- Cecil, D.J.; Zipser, E.J.; Nesbitt, S.W. Reflectivity, ice scattering, and lightning characteristics of hurricane eyewalls and rainbands. Part I: Quantitative description. Mon. Wea. Rev. 2002, 130, 769–784. [Google Scholar] [CrossRef]
- Chen, R.; Li, Z.; Kuligowski, R.J.; Ferraro, R.; Weng, F. A study of warm rain detection using A-Train satellite data. Geophys. Res. Lett. 2011, 38, L04804. [Google Scholar] [CrossRef]
- Suzuki, K.; Stephens, G.L.; Heever, S.C.; Nakajima, T.Y. Diagnosis of the warm rain process in cloud-resolving models using joint CloudSat and MODIS observations. J. Atmos. Sci. 2011, 68, 2655–2670. [Google Scholar] [CrossRef]
- Narayana Rao, T.; Radhakrishna, B.; Nakamura, K.; Prabhakara Rao, N. Differences in raindrop size distribution from southwest monsoon to northeast monsoon at Gadanki. Quart. J. Roy. Meteor. Soc. 2009, 135, 1630–1637. [Google Scholar] [CrossRef]
- Iguchi, T.; Seto, S.; Meneghini, R.; Yoshida, N.; Awaka, J.; Kubota, T. GPM/DPR Level-2 Algorithm Theoretical Basis Document; NASA Goddard Space Flight Center: Greenbelt, MD, USA, 2020; Available online: https://www.eorc.jaxa.jp/GPM/doc/algorithm/ATBD_DPR_202006_with_Appendix_a.pdf (accessed on 1 June 2020).
- Bringi, V.N.; Chandrasekar, V.; Hubbert, J. Raindrop size distribution in different climatic regimes from disdrometer and dual-polarized radar analysis. J. Atmos. Sci. 2003, 60, 354–365. [Google Scholar] [CrossRef]
- Wen, L.; Zhao, K.; Zhang, G.; Xue, M.; Zhang, G.; Liu, S.; Chen, G. Statistical characteristics of raindrop size distributions observed in East China during the Asian summer monsoon season using 2-D video disdrometer and Micro Rain Radar data. J. Geophys. Res. Atmos. 2016, 121, 2265–2282. [Google Scholar] [CrossRef]
- Yang, J.; Zhang, Y.; Wang, Z.; Zhang, D. Cloud Type and Life Stage Dependency of Liquid–Ice Mass Partitioning in Mixed-Phase Clouds. Remote Sens. 2022, 14, 1431. [Google Scholar] [CrossRef]
- Williams, C.R.; White, A.B.; Gage, K.S.; Ralph, F.M. Vertical structure of precipitation and related microphysics observed by NOAA profilers and TRMM during NAME 2004. J. Clim. 2007, 20, 1693–1712. [Google Scholar] [CrossRef]
- Carr, N.; Kirstetter, P.E.; Gourley, J.J.; Hong, Y. Polarimetric Signatures of Midlatitude Warm-Rain Precipitation Events. J. Appl. Meteor. Clim. 2017, 56, 697–711. [Google Scholar] [CrossRef]
- Maki, M.; Keenan, T.D.; Sasaki, Y.; Nakamura, K. Characteristics of the raindrop size distribution in tropical continental squall lines observed in Darwin, Australia. J. Appl. Meteor. 2001, 40, 1393–1412. [Google Scholar] [CrossRef]
- Houze, R.A. Clouds in tropical cyclones. Mon. Wea. Rev. 2010, 138, 293–344. [Google Scholar] [CrossRef]
- Kumjian, M.R.; Prat, O.P. The impact of raindrop collisional processes on the polarimetric radar variables. J. Atmos. Sci. 2014, 71, 3052–3067. [Google Scholar] [CrossRef]
- Hence, D.A.; Houze, R.A. Vertical Structure of Hurricane Eyewalls as Seen by the TRMM Precipitation Radar. J. Atmos. Sci. 2011, 68, 1637–1652. [Google Scholar] [CrossRef]
- Houze, R.A. Orographic effects on precipitating clouds. Rev. Geophys. 2012, 50, RG1001. [Google Scholar] [CrossRef]
- Houze, R.A. Cloud Dynamics; Academic Press: New York, NY, USA, 2014; Volume 104. [Google Scholar]
- Yang, J.; Wang, Z.; Heymsfield, A.J.; DeMott, P.J.; Twohy, C.H.; Suski, K.J.; Toohey, D.W. High ice concentration observed in tropical maritime stratiform mixed-phase clouds with top temperatures warmer than −8 °C. Atmos. Res. 2020, 233, 104719. [Google Scholar] [CrossRef]
- Yang, J.; Wang, Z.; Heymsfield, A.; Luo, T. Liquid-Ice Mass Partition in Tropical Maritime Convective Clouds. J. Atmos. Sci. 2016, 73, 4959–4978. [Google Scholar] [CrossRef]
- Deng, Y.; Yang, J.; Yin, Y.; Cui, S.; Zhang, B.; Bao, X.; Gao, W.; Chen, B.; Li, J.; Gao, W.; et al. Quantifying the spatial inhomogeneity of ice concentration in mixed-phase stratiform cloud using airborne observation. Atmos. Res. 2024, 298, 107153. [Google Scholar] [CrossRef]
- Yang, J.; Qin, Z.; Deng, Y.; Chen, M.; Jing, X.; Yin, Y.; Lu, C.; Chen, B.; Zhang, B.; Bao, X. On the cluster scales of hydrometeors in mixed-phase stratiform clouds. Geophys. Res. Lett. 2024, 51, e2024GL108166. [Google Scholar] [CrossRef]











| Samples | Rain Rate (mm h−1) | LWP (kg m−2) | IWP (kg m−2) | PEI (h−1) | Dm (mm) | Nw | |
|---|---|---|---|---|---|---|---|
| Convective | 1146 | 14.37 | 2.67 | 0.28 | 5.2 | 1.52 | 39.52 |
| Stratiform | 4966 | 5.7 | 1.28 | 0.40 | 3.9 | 1.29 | 36.44 |
Disclaimer/Publisher’s Note: The statements, opinions and data contained in all publications are solely those of the individual author(s) and contributor(s) and not of MDPI and/or the editor(s). MDPI and/or the editor(s) disclaim responsibility for any injury to people or property resulting from any ideas, methods, instructions or products referred to in the content. |
© 2024 by the authors. Licensee MDPI, Basel, Switzerland. This article is an open access article distributed under the terms and conditions of the Creative Commons Attribution (CC BY) license (https://creativecommons.org/licenses/by/4.0/).
Share and Cite
Wang, Z.; Yang, J.; Chen, F.; Liu, Y.; Shi, L. Characterizing the Macro and Micro Properties of Precipitation during the Landfall of Typhoon Lekima by Using GPM Observations. Remote Sens. 2024, 16, 2765. https://doi.org/10.3390/rs16152765
Wang Z, Yang J, Chen F, Liu Y, Shi L. Characterizing the Macro and Micro Properties of Precipitation during the Landfall of Typhoon Lekima by Using GPM Observations. Remote Sensing. 2024; 16(15):2765. https://doi.org/10.3390/rs16152765
Chicago/Turabian StyleWang, Zhimin, Jing Yang, Fengjiao Chen, Yiting Liu, and Lijuan Shi. 2024. "Characterizing the Macro and Micro Properties of Precipitation during the Landfall of Typhoon Lekima by Using GPM Observations" Remote Sensing 16, no. 15: 2765. https://doi.org/10.3390/rs16152765
APA StyleWang, Z., Yang, J., Chen, F., Liu, Y., & Shi, L. (2024). Characterizing the Macro and Micro Properties of Precipitation during the Landfall of Typhoon Lekima by Using GPM Observations. Remote Sensing, 16(15), 2765. https://doi.org/10.3390/rs16152765
