Next Article in Journal
Life Cycle Mining Deformation Monitoring and Analysis Using Sentinel-1 and Radarsat-2 InSAR Time Series
Previous Article in Journal
Automated Flood Prediction along Railway Tracks Using Remotely Sensed Data and Traditional Flood Models
 
 
Font Type:
Arial Georgia Verdana
Font Size:
Aa Aa Aa
Line Spacing:
Column Width:
Background:
Article

Evaluation of GPM IMERG Satellite Precipitation Products in Event-Based Flood Modeling over the Sunshui River Basin in Southwestern China

1
School of Water Resources and Environment, China University of Geosciences, Beijing 100083, China
2
Key Laboratory of Groundwater Conservation of MWR, China University of Geosciences, Beijing 100083, China
*
Author to whom correspondence should be addressed.
Remote Sens. 2024, 16(13), 2333; https://doi.org/10.3390/rs16132333
Submission received: 19 May 2024 / Revised: 14 June 2024 / Accepted: 21 June 2024 / Published: 26 June 2024

Abstract

This study evaluates the applicability of hourly Global Precipitation Measurement Mission (GPM) Integrated Multi-satellitE Retrievals for GPM (IMERG) data for event-based flood modeling in the Sunshui River Basin, southwestern China, using the hydrologic modeling system (HEC-HMS) model. The accuracies of IMERG V6, IMERG V7, and the corrected IMERG V7 satellite precipitation products (SPPs) were assessed against ground rainfall observations. The performance of flood modeling based on the original and the corrected SPPs was then evaluated and compared. In addition, the ability of different numbers (one–eight) of ground stations to correct IMERG V7 data for flood modeling was investigated. The results indicate that IMERG V6 data generally underestimate the actual rainfall of the study area, while IMERG V7 and the corrected IMERG V7 data using the geographical discrepancy analysis (GDA) method overestimate rainfall. The corrected IMERG V7 data performed best in capturing the actual rainfall events, followed by IMERG V7 and IMERG V6 data, respectively. The IMERG V7-generated flood hydrographs exhibited the same trend as those of the measured data, yet the former generally overestimated the flood peak due to its overestimation of rainfall. The corrected IMERG V7 data led to superior event-based flood modeling performance compared to the other datasets. Furthermore, when the number of ground stations used to correct the IMERG V7 data in the study area was greater than or equal to four, the flood modeling performance was satisfactory. The results confirm the applicability of IMERG V7 data for fine time scales in event-based flood modeling and reveal that using the GDA method to correct SPPs can greatly enhance the accuracy of flood modeling. This study can act as a basis for flood research in data-scarce areas.

1. Introduction

Floods are major natural disasters faced by humans, particularly in mountainous areas, often causing severe geological disasters such as landslides and mudslides. Such disasters pose serious threats to life, property safety, local economic development, and the ecological environment [1,2,3]. Obtaining accurate rainfall data is of great importance to flood forecasting, early warning systems, and flood management. However, due to the complex terrain and economic development lag in some areas of southwest China, rain gauge stations are often sparsely distributed and may not function. As a consequence, long-term continuous rainfall records are often insufficient or non-existent [4,5,6]. Satellite precipitation products (SPPs) based on remote sensing technology can provide rainfall data and model floods in these data-scarce areas [7,8,9].
The Global Precipitation Measurement (GPM) core observatory satellite, launched jointly by NASA and JAXA on 27 February 2014, marked a significant enhancement in global rainfall observation capabilities [10,11]. One of the key products of this project is the Integrated Multi-satellitE Retrievals algorithm for GPM (IMERG). GPM provides rainfall information globally and plays an irreplaceable role in data-scarce areas. GPM has undergone several iterations and improvements since the project’s inception, with the GPM IMERG V6 product frequently used globally [12,13,14,15,16]. For example, Andualem (2020) evaluated the performance of IMERG V6, including IMERG-Early (IMERG-E), IMERG-Late (IMERG-L), and IMERG-Final (IMERG-F), in the Gilgel Abay basin of the Upper Blue Nile in Ethiopia, and demonstrated strong correlations between these products and ground-based rainfall data on annual, monthly, and daily time scales [14]. Li (2021) revealed that GPM IMERG Day Final Run V6 could capture the spatial patterns of light rain over mainland China [15]. Setti (2022) explored the application of satellite rainfall products TRMM-3B42v7, PERSIANN-CDR, and GPM IMERG V6 for coastal river basins in India and found that IMERG V6 outperformed the other products in terms of the false alarm rates in the detection of rainfall events on daily and monthly scales [16].
IMERG V7, the latest version of GPM, was released in July 2023, with extensive improvements based on feedback from IMERG V6, including updates to the algorithm that enhance data accuracy and application flexibility [17]. IMERG V7 offers rainfall data with a spatial resolution of 0.1° × 0.1° and a temporal resolution of 30 min. The product is available in three types based on time delay and accuracy: IMERG-E, IMERG-L, and IMERG-F. IMERG-E is primarily designed for near-real-time flood forecasting, providing data with a 4 h delay. IMERG-L offers data with a 12 h delay and is suitable for applications such as water resource management, and the calibrated IMERG-F, with a 3.5-month delay, is mainly used for data post-processing and research, serving as a post-product of real-time satellite measurements [18]. As the IMERG V7 data have only recently been released, its application is currently limited.
Recent research on the GPM IMERG product focuses on evaluating the performance of the rainfall product at either daily or monthly scales [19,20,21,22] and spatially downscaling the rainfall product [23,24,25]. For example, Ji (2022) assessed the performance of five satellite precipitation products, namely TRMM3B42, PERSIANN-CDR, GPM-IMERG, CMORPH, and GSMaP, in the Yarlung Zangbo River Basin, finding that GPM excelled in daily streamflow simulation, followed by CMORPH, TRMM, GSMaP, and PERSIANN [19].Wang (2020) found that IMERG V6 performed satisfactorily in estimating rainfall in Korea [22]. He (2023) used the mixed geographically weighted regression model (MGWR) to downscale the daily IMERG V6 data (IMERG-F) and revealed that the downscaled data correlated well with ground observations in the Yellow River basin for the years 2002, 2012, and 2020 [24]. Yi (2023) applied random forest regression to downscale the annual and monthly IMERG V6 data (IMERG-F) in the Yangtze River basin, demonstrating a large improvement in the accuracy of the downscaled rainfall product [25].
Several studies have also employed IMERG products in flood simulations and forecasting on a fine temporal scale (e.g., event-based or hourly [26,27,28]). Predicting the amount and timing of peak flows in flood events is crucial for addressing flood control and disaster reduction. Saouabe (2020) explored the applicability of hourly IMERG-E data to hydrological modeling in the mountainous river basins of Morocco [26]. Ouaba (2022) used hourly IMERG-E and IMERG-F data to simulate the river flow in the Bourrous basin of Morocco [28]. These studies provide feasible methods for flood modeling and forecasting with satellite data sources. However, such event-based flood modeling and forecasting using IMERG products still face several challenges. For example, the large discrepancies between the SPPs and ground observation data limit the accuracy of flood modeling [29]. Thus, a bias correction is required for SPPs.
This study employs hourly IMERG data to simulate event-based floods in the Sunshui River basin in Southwest China. Given that the IMERG V6 data represent the most widely used IMERG product, as well as the fact that IMERG V7 has just been released and its applicability requires verification, we compare both products to ground observations. SPPs have regional and temporal systematic biases and random errors; thus, data correction is required using measured rainfall data from ground gauge stations [30,31]. However, not all regions have sufficient rainfall gauge stations, especially in high-altitude mountainous areas. It is also necessary to determine the number of gauge stations required to correct SPPs. Consequently, the aims of this study are to (1) assess the performance of hourly IMERG V6 and V7 rainfall data in the study area; (2) correct the IMERG rainfall data using the GDA method, employing the corrected data in event-based flood modeling; and (3) explore the minimum number of gauge stations to correct the IMERG rainfall data in flood modeling.
Figure 1 presents the framework of the study. First, we preprocessed the downloaded hourly IMERG V6 and V7 rainfall data on multiple spatiotemporal scales and evaluated their performance (IMERG V6, V7, and the corrected IMERG V7) using two continuous and two statistical contingency indicators. Second, we constructed the HEC-HMS model to use in the study area with the basin physiographic characteristics and calibrated and validated the model with ground rainfall and runoff observations. The original and corrected IMERG V7 data were then input into the validated HEC-HMS model to simulate the flood events. Finally, by employing the stepwise incremental correction method, we discuss the effects of using different numbers of stations to correct the IMERG data for event-based flood modeling in the study area.

2. Study Area and Data Description

2.1. Study Area

The Sunshui River, located in Liangshan Prefecture in Sichuan Province, China, is the secondary tributary of the Yalong River. The river length stretches 92 km, and the basin covers an area of 1600 km2. The Sunshui River basin (102°11′E–102°42′E and 27°54′N–28°29′N, Figure 2) is characterized by a subtropical humid climate, with average annual temperatures ranging from 10 to 20 °C and average annual precipitation reaching 1150 mm, which is mainly concentrated from May to September. The average annual flow is 35.35 m3/s, and the maximum annual flow reaches 52.39 m3/s. The average elevation of the basin is 2663 m, and the average river slope is 22.4°.
The heavy rains in recent years have resulted in frequent flooding, causing severe economic losses. For example, the basin experienced the heaviest rainstorm in 200 years on 31 August 2012 with the amount of daily rainfall reaching 149.2 mm. A total of 19 townships, 111,500 residents, and approximately 57.34 km2 of farmlands were affected by this rainstorm and the resulting floods, and the direct economic losses were as high as CNY 3.1 billion.

2.2. Data and Preprocessing

2.2.1. Rainfall and Flood Data

We employed two types of rainfall data in the study: the measured hourly data from the ground gauge stations (used as reference data) and the SPPs. The former was collected from the Hydrological Yearbook of the Yangtze River basin for the period 2014–2018, covering eight rain gauge stations (Dengxiangrong, Xianggu, Xide, Mishi, Poluo, Zeyue, Mianshan, and Sunshuiguan). The locations of the stations are shown in Figure 1.
The SPPs were obtained from the GPM IMERG Final Precipitation L3 V6 and V7 (IMERG V6 and V7) products. These data can be accessed at the NASA Data and Information Service Center (https://disc.gsfc.nasa.gov/, accessed on 18 December 2023). We used the IMERG V6 and V7 products from 2014 to 2018 over the study area, with a temporal resolution of 0.5 h and a spatial resolution of 0.1° × 0.1°.
In order to maintain the temporal and spatial consistency between the satellite data and ground observations, we converted the time steps of IMERG V6 and V7 data from Co-ordinated Universal Time (UTC) to China Standard Time (UTC+8) and aggregated the time resolution of 0.5 h to 1 h. Moreover, we used bilinear interpolation to resample the gridded IMERG data to the ground station locations, which is a technique proven to have strong signal filtering capabilities [32].
The measured hourly flow data at the outlet of the basin (Sunshuiguan hydrological station) were also collected from the Hydrological Yearbook of the Yangtze River basin for HEC-HMS model calibration and validation. Seven flood events were recorded from 2014 to 2018, the details of which are reported in Table 1. For convenience, the flood events are labeled based on their occurrence dates. For example, the flood event occurring on 1 July 2014 is denoted as flood event 20140701.

2.2.2. Geographic and Topographic Data

In constructing the HEC-HMS model to simulate flood events over the study area, the digital elevation model (DEM) data and the land use data, together with the soil data, were required. We collected the DEM data from the Geospatial Data Cloud (www.gscloud.cn, accessed on 12 December 2023) with a resolution of 30 m × 30 m, collected the land use data from the FROM-GLC10 digital product (http://data.ess.tsinghua.edu.cn, accessed on 12 December 2023) with a resolution of 10 m × 10 m, and collected the soil data from the World Soil Database (https://www.fao.org/soils-portal/data-hub/en/, accessed on 12 December 2023) with a resolution of 1 km × 1 km. Figure 3 displays the land use and soil types of the Sunshui River basin. The dominant land use types in the basin are forests and grasslands, accounting for 53.6% and 24.4% of the total area, respectively. The main soil type is loam.

3. Methodology

3.1. Geographical Discrepancy Analysis (GDA) Method

The commonly used methods for bias correction of satellite rainfall data include linear regression, mean bias correction, Bayesian fusion, geographically weighted regression, and geographic differential analysis (GDA) [24,33,34,35]. We selected the GDA method to correct the GPM IMERG rainfall data due to its superior correction performance and simple application [36]. The equations used to execute the method are described as follows:
D i = j = 1 n V j × d i j k = 1 n d i k
P = P i + D i if P i + D i > 0 , 0 otherwise .
where Di denotes the bias adjustment at satellite grid point i, which was determined using the weighted discrepancies from neighboring ground stations; n is the number of ground stations; dij is the distance from ground station j to grid i; Vj is the rainfall difference between the measured (from ground station j ) and simulated (from the satellite) value; Pi is the initial satellite rainfall data at grid i; and P is the corrected satellite rainfall data at grid i.
After the correction, we obtained the bias-corrected SPPs for each grid point. We then further interpolated these gridded data to the ground station data using bilinear interpolation; we used the ground station data as the input for the subsequent hydrological model.
The quality of the original and bias-corrected IMERG data was assessed by comparing it to the ground observations. The comparisons were performed using two continuous statistical indicators, namely, the bias and correlation coefficient (CC) and two statistical contingency indicators: the false alarm rate (FAR) and probability of detection (POD) (Table 2). The closer the indicator is to its optimal value (0 for the bias and FAR and 1 for CC and POD), the closer the satellite rainfall data are to the ground observations, and the higher the accuracy of the satellite rainfall data.
The performance of SPPs can be enhanced through bias correction using ground observations. However, the minimum number of ground gauge stations required for the effective correction of satellite data in hydrological modeling is not known. In order to investigate the impact of the number of ground gauge stations on the correction results, we used a stepwise incremental correction method to correct the IMERG rainfall products.
The Sunshui River basin has eight ground rainfall stations and 12 grid points (Figure 4). The stepwise incremental correction method sequentially employs data from one to eight ground stations to correct the 12 gridded datasets. In order to fully consider the impacts of ground station locations on the correction results, we used a random sampling method. Due to high computational complexity, we set up a total of eight random samples. Namely, when using one station to correct the 12 gridded datasets, we randomly sampled one station from the eight ground rainfall stations for a total of eight times; if the selected sample was the same as the previous one, resampling was required. When using two stations to correct the gridded data, we randomly sampled two of the eight stations for a total of eight times; if the selected samples were the same as the previous ones, resampling was required. By using this method, a total of 64 sets of bias-corrected satellite rainfall data sets were obtained. By inputting these data into the validated HEC-HMS model, the number of ground gauge stations required to correct the IMERG data in flood simulation could be evaluated.

3.2. HEC-HMS Model

The HEC-HMS model by the Hydrologic Engineering Center was developed by the US Army Corps of Engineers (USACE) and is a hydrological model that is widely used in flood analysis and simulation [9,27]. This model offers various methods for simulating the rainfall-runoff process [37]. Considering the climate and land use characteristics of the southwestern regions of China, we selected the SCS-CN (soil conservation service curve number) method for rainfall loss simulation, the Clark unit hydrograph method for surface runoff simulation, the exponential decay method for baseflow, and the Muskingum method for channel flow routing simulation. The detailed information is as follows:
  • Rainfall loss simulation
Loss models typically calculate runoff by deducting the amount of water lost from the total rainfall [38]. On impermeable surfaces, rainfall directly leads to runoff; on permeable surfaces, some water is absorbed, resulting in moisture loss. This loss is calculated by using the SCS-CN method, which estimates the net rainfall based on factors such as precipitation amount, soil type, land use, and initial soil moisture, using the following formula:
P e = ( P I a ) 2 P I a + S
I a = 0.2 S
S = 25400 C N 254
where Pe is the accumulated net rainfall, P is the rainfall depth, Ia is the initial rainfall loss, S is the potential maximum retention, and CN is a dimensionless empirical parameter in hydrology used to predict direct runoff or infiltration from excess rainfall, with values ranging from 30 to 100.
2.
Surface runoff simulation
The Clark unit hydrograph method is a synthetic flow process line method that uses instantaneous unit hydrographs. It does not require analyzing the past observed hydrograph to obtain a unit hydrograph [39]. The main parameters involved are the time of concentration ( T c ) and the storage coefficient ( R ). The calculation formula is as follows:
T c = 2.2 ( L L C S l o p e 10 85 ) 0.3
R T c + R = 0.65
where L is the length of the main river channel in the basin, Lc is the distance from the centroid of the basin to the outlet, and S l o p e 10 85 is the average slope of the longest flow path in the basin from 10% to 85%.
3.
Baseflow simulation
Baseflow is the runoff generated by early rainfall, commonly used to represent the natural drainage process of stored water within a catchment. The calculation formula is as follows:
Q t = Q o K t
where Q o represents the initial flow, which can be represented by the annual average flow of the river in the simulation, K represents the exponential decay constant, and t represents the time step.
4.
Channel flow routing simulation
The Muskingum method is widely used to simulate channel flow routing due to its simplicity and minimal parameter input [40]. This method includes three parameters: K, X, and the number of sub-reaches. K represents the travel time through a river segment, and X is the relative weight of the inflow and outflow on channel storage, with values ranging from 0 to 0.5.
We divided the Sunshui River basin into eight subbasins according to the ground gauge stations (Figure 4). By referring to Ouaba et al. (2023) [9], we selected four parameters, namely, CN, I a , T c , and R, for model calibration, and we fixed the other parameter values in terms of the basin’s physiographic characteristics. The simplex method was employed to optimize the model parameters while considering their physical meanings to ensure the rationality of their values. Seven flood events were selected in the study area from 2014 to 2018 (Table 1) for the HEC-HMS model. Four events from 2014 to 2016 were used for model calibration, and the remaining three events from 2017 to 2018 were used for model validation.
Six indicators were used to assess the performance of the hydrological model [41,42], namely, Nash–Sutcliffe efficiency ( N S E ), maximum peak flow error ( R M P F E ), percent bias ( P b i a s ), root mean square error ( R M S E ), coefficient of determination ( R 2 ), and peak timing error ( Δ T ). The indicator calculation formulas are provided in Table 3. The closer the indicator is to its optimal value (0 for R M P F E , P b i a s , and Δ T , 1 for N S E , R M S E , and R 2 ), the better the performance of the HEC-HMS flood modeling. Based on the indicator values, model performance can be divided into four levels (Table 4): very good; good; satisfactory; and unsatisfactory.

4. Results and Discussion

4.1. Evaluation and Correction of IMERG Rainfall Data

The IMERG V6 and V7 data were compared to the ground observations to assess their accuracy and reliability in the Sunshui River basin. Table 5 reports the four evaluation indicators calculated throughout the study period.
The rainfall determined using the IMERG V6 data was underestimated since all the bias values were negative, with three out of eight stations having a bias of less than 10%. The average absolute bias for all stations reached 11%, indicating that the rainfall data were underestimated on average by 11%. The CC between the satellite data and measured data ranged from 0.11 to 0.39, with an average value of 0.23 for all stations. The FAR values were relatively high, ranging from 0.53 to 0.74, with an average value of 0.66 for all stations, indicating that, on average, 66% of rainfall events were false alarms. The POD ranged from 0.43 to 0.76, with values lower than 0.50 for half of the stations and an average POD of 0.56 across the stations.
Compared to IMERG V6, the IMERG V7 data overestimated rainfall for most stations. The average absolute bias decreased to 9%, with four out of eight stations having a bias of less than 10%. The CC between the satellite data and measured data was higher than that from IMERG V6, ranging from 0.38 to 0.53, and the average CC reached 0.45. This indicates a stronger correlation between the IMERG V7 and measured data. The FAR of all stations was lower, with the average value decreasing to 0.57. Moreover, the POD values were higher, and the average value across stations increased to 0.69. Six out of eight stations have a POD greater than or equal to 0.70. The results indicate that IMERG V7 data have an enhanced ability to capture actual rainfall events compared to IMERG V6. In particular, IMERG V7 rainfall data is closer to the measured values and, thus, is more reliable than IMERG V6 in the study area.
However, IMERG V7 still has some biases, primarily due to overestimating the actual rainfall. Therefore, further corrections were performed using the GDA method. After data correction, the bias for seven out of the eight stations decreased, and the average absolute bias decreased to 4%. Moreover, the bias was less than 10% for seven stations. The correlation coefficient between the corrected and ground data improved significantly, ranging from 0.47 to 0.76, and the average CC increased from 0.45 to 0.64. This indicates that the corrected IMERG V7 data have a stronger correlation with the ground observations. The corrected IMERG V7 exhibited a lower FAR than the uncorrected version for most stations, with the average FAR decreasing from 0.57 to 0.51. This shows that the correction reduced the misidentification of non-precipitation as precipitation. The POD greatly improved for all stations, with average values increasing from 0.69 to 0.87. Thus, the GDA-corrected IMERG V7 data perform better in detecting rainfall events and capturing the actual rainfall events more accurately compared to the non-corrected version.
Figure 5 presents the scatter plots of IMERG V6, IMERG V7, and the corrected IMERG V7 rainfall data from all stations. As the data are on an hourly scale, the points are highly scattered, with IMERG V6 exhibiting more scattering than the other two datasets. The slope of the fitted (red) line varies with the dataset. The slope from IMERG V6 is less than 45°, indicating that rainfall was generally underestimated, whereas the slope from IMERG V7 exceeds 45°, suggesting an overall overestimation of rainfall. Although the corrected IMERG V7 data also overestimate rainfall, the magnitude of the overestimation is lower, and the points are more clustered compared to the other two cases. This indicates that the corrected IMERG V7 data are relatively closer to the observed data.

4.2. Event-Based Flood Modeling

We initially employed the ground rainfall observations, DEM, land use and land cover (LULC), and soil data to construct the HEC-HMS model, optimize the model parameters, and evaluate the applicability of the model. Figure 6 and Figure 7 present the simulation results. There is strong agreement between the simulated and observed hydrographs during both the calibration and validation periods. The simulated hydrographs can also accurately capture the timing of flood peaks. Table 6 reveals that all flood events have R M S E values of lower than 0.5, R 2 values of higher than 0.75, and N S E values of higher than 0.65. Six of the seven flood events have R M P F E values of lower than 35%, P b i a s values within ±10%, and Δ T of lower than 2 h. Thus, based on the standard values of all indicators (Table 4), the simulation results for the majority of flood events (six of seven) are satisfactory.
In order to evaluate the performance of hourly SPPs in event-based flood modeling over the study area, the SPPs were then used as the input in the validated HEC-HMS model. Since IMERG V7 outperforms IMERG V6 in the study area, the former and its correction were used as input to the model. Figure 6 and Figure 7 and Table 7 present the results.
The trend of the IMERG V7-simulated flood hydrograph is consistent with that of the measured hydrograph. Moreover, the simulated hydrograph could accurately capture the peak flow timing, while the peak flows and volume were overestimated greatly (Figure 6 and Figure 7). This is also reflected in the high values of P b i a s , with its average reaching 81.87% (Table 7). The overestimation of flood peaks and flood volume may be attributed to the overestimation of rainfall from IMERG V7. Six flood events exhibit NSE values of below 0.65 and RMSE values of greater than 0.7, whereas two flood events had RMPFE values of greater than 50%. Thus, based on RMPFE, the simulation results for five flood events are satisfactory, whereas according to N S E , P b i a s , and R M S E , only one flood event simulation result was satisfactory. This indicates that IMERG V7 can be used to forecast the trends of hourly flood hydrographs, yet there may be large deviations in predicting peak flows and volumes.
The corrected IMERG V7 data significantly improved the modeling results compared to the non-corrected version, with better performance in capturing the trends and flood peaks of the hydrographs. Among the seven flood events, five exhibited N S E values of greater than 0.75, six had RMPFE values within 20%, and four had P b i a s within ±5%. The R M S E values of all events are below 0.5, and only one event had a peak time difference of greater than 3 h. Based on the standard values of all indicators (Table 4), the simulation results for six flood events are good. Overall, the accuracy of the flood simulations improved greatly when using the corrected IMERG V7 data, demonstrating the effectiveness of the GDA method in enhancing the precision of IMERG data for flood modeling.

4.3. Flood Modeling with Different Numbers of Correction Gauge Stations

The flood modeling results in the previous sections are based on the corrected IMERG V7 data using eight ground gauge stations within the basin. However, not all areas have a sufficient number of ground stations. Therefore, in this section, we discuss the minimum number of stations required to correct the SPPs.
We employed stepwise incremental correction to correct the IMERG V7 rainfall data. We randomly sampled eight times at each stepwise incremental correction, obtaining a total of 56 sets of bias-corrected satellite rainfall data. In Figure 8, taking one of the results as an example, the simulated flood hydrographs based on the corrected IMERG V7 data using one to eight ground stations (Xide, Poluo, Zeyue, Xianggu, Mianshan, Mishi, Dengxiangrong, and Sunshuiguan, respectively) are depicted. One station in this figure corresponds to the first station, Xide; two stations correspond to the first two stations, Xide and Poluo; three stations correspond to the first three stations, Xide, Poluo, Zeyue, and so on). When using just one station to correct the IMERG V7 data, the simulated flood peak error is still generally very high, and five out of seven flood events were overestimated for peak flood flow by approximately 1–1.2 times. Thus, using only one station to correct the IMERG V7 rainfall data did not obtain satisfactory peak flood modeling results. However, the modeling results improved as the number of stations increased, particularly for flood events 20140701, 20140816, 20150904, and 20170621.
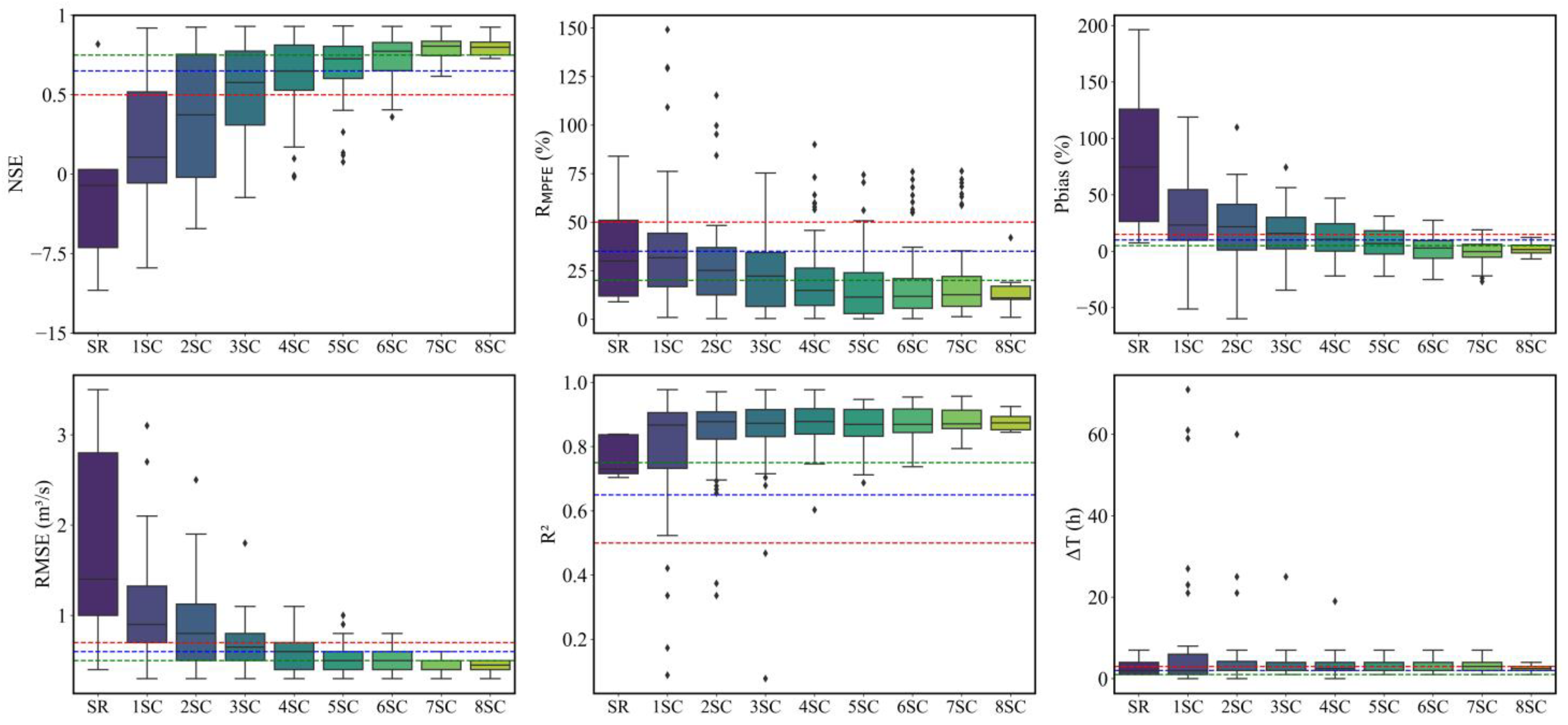
Figure 9 presents the boxplot of the six indicators used to evaluate the effects of the number of correction stations used in flood modeling. In this figure, SR refers to the results with the original IMERG V7 data used as the model input, and 1SC–8SC represent the results with the corrected IMERG V7 data using one to eight stations as the model input.
By considering the six indicator values shown in Figure 9 and their standard values in Table 4, we discussed the minimum number of correction stations required in flood modeling. The results indicate that using one to three correction stations resulted in unsatisfactory NSE and RMSE values. When using four or more correction stations, the simulation results of these two indicators were satisfactory. The simulation results for RMPFE and R2 following station correction were consistently above satisfactory levels. When using three or more correction stations, the simulation results for ΔT and Pbias were relatively stable, with limited outliers. Therefore, when the number of correction stations was four or more, the model performance (considering all indicators) could reach a satisfactory level. Based on this, the threshold for the number of stations used for flood modeling correction with IMERG V7 data in the study area can be taken as four.

4.4. Discussion

This study analyzed the performance of the IMERG V6 and V7 products for the Sunshui River basin. The results showed that the newly released V7 product surpasses the V6 product in terms of all indicators (bias, CC, FAR, and POD), confirming that optimizations in data processing, cloud detection algorithms, and rainfall estimation techniques for IMERG V7 reduced the data noise and improved the detection of rainfall events. Previous studies have shown that upgrades to the IMERG versions significantly improved rainfall data accuracy. For example, Ren (2019) evaluated the accuracy of the IMERG V3, V4, and V5 hourly products in mainland China using ground observation data as a benchmark. The authors revealed that the accuracy of the V5 product generally surpasses that of V3 and V4 [43].
In terms of satellite rainfall data correction, Cheema (2012) compared the GDA method with regression analysis (RA) in correcting TRMM data and found that GDA performs better in complex mountainous terrains [26]. Our study used the GDA method to correct IMERG V7 data. The results also indicate that using this method can improve the accuracy of flood modeling based on satellite rainfall data. The six evaluation indicators (NSE, RMPFE, ΔT, R2, Pbias, and RMSE) show that the performance of event-based flood modeling using the corrected IMERG V7 with HEC-HMS is superior to that when using the original data. Furthermore, using four stations to correct the IMERG V7 data over the study area can ensure the accuracy of flood modeling. When using ground observations to correct the satellite rainfall data over areas with complex terrain (where the ground stations are not uniformly distributed but are concentrated in a specific area, such as densely populated or flat terrain), more stations may be required to capture the spatial variability of rainfall [44,45]. This study demonstrates the applicability of IMERG V7 data in event-based flood modeling, emphasizes the importance and necessity of combining ground-measured data to correct SPPs, and also confirms the effectiveness of the GDA method in correcting IMERG satellite data.
Despite the progress made by this study, it also has some limitations. For example, due to data constraints, the number of flood events obtained and analyzed is relatively few, which may affect the flood simulation results to some extent. Moreover, when discussing the minimum number of stations required to correct SPPs, we only considered the number of stations and did not take into account factors such as the catchment area, the frequency and intensity of flood events, and topographical conditions. Due to limitations in computing resources, we did not consider the impact of all different correction rain gauge station locations on the results. Therefore, additional influencing factors need to be considered in future research, and the proposed method should be validated in a broader area to evaluate its applicability under different conditions.

5. Conclusions

This study evaluated the performance of hourly IMERG V6 and V7 rainfall data against ground rainfall observations in the Sunshui River basin and corrected the IMERG V7 data using the GDA method. The HEC-HMS model was employed to simulate flood events with ground rainfall observations, IMERG V7, and the corrected IMERG V7 rainfall data. Furthermore, the effect of the number of ground stations on correcting IMERG V7 data in flood modeling was discussed. Based on the results, the following key conclusions can be made:
  • Compared to IMERG V6, IMERG V7 exhibited enhanced correlation with ground observations in the study area, although it overestimated the actual rainfall to some extent. The decreased bias and FAR values and increased POD values highlight the potential of IMERG V7 data in data-sparse regions globally.
  • By employing the GDA method to correct hourly GPM satellite products, great improvements were made when applying IMERG V7 data to capture rainfall events, with the bias and FAR values decreasing and the CC and POD values increasing. This confirms the effectiveness of the GDA method to improve the accuracy of satellite products on a fine time scale. The corrected IMERG V7 data also improved the performance of flood event modeling when using the HEC-HMS model.
  • We explored the effect of the number of ground stations on correcting IMERG V7 data in flood modeling to reveal that the minimum number of ground stations required to effectively correct IMERG V7 data in this study is four. Using four or more stations results in satisfactory model performance for HEC-HMS. This finding can provide references for hydrological research using satellite precipitation data in data-sparse regions.

Author Contributions

Conceptualization, X.L. (Xiaoyu Lyu) and Z.L.; methodology, X.L. (Xiaoyu Lyu), Z.L. and X.L. (Xintong Li); software, X.L. (Xiaoyu Lyu) and X.L. (Xintong Li); validation, X.L. (Xiaoyu Lyu); formal analysis, X.L. (Xiaoyu Lyu); investigation, X.L. (Xiaoyu Lyu) and X.L. (Xintong Li); resources, Z.L.; data curation, X.L. (Xiaoyu Lyu) and X.L. (Xintong Li); writing—original draft preparation, X.L. (Xiaoyu Lyu); writing—review and editing, Z.L.; visualization, X.L. (Xiaoyu Lyu); supervision, Z.L.; project administration, Z.L.; funding acquisition, Z.L. All authors have read and agreed to the published version of the manuscript.

Funding

This research was supported by the National Natural Science Foundation of China (No. 42171047 and No. 41101038) and the Belt and Road Special Foundation of the State Key Laboratory of Hydrology-Water Resources and Hydraulic Engineering (2021nkms03).

Data Availability Statement

GPM IMERG V6 and V7 rainfall data can be accessed from the NASA Data and Information Service Center (https://disc.gsfc.nasa.gov/). The measured rainfall and runoff data at the ground stations in the study area are unavailable due to privacy.

Acknowledgments

The authors thank the anonymous referees for their comments and suggestions that have led to the quality of the paper being improved.

Conflicts of Interest

The authors declare no conflicts of interest.

References

  1. Ali, R.; Kuriqi, A.; Kisi, O. Human–Environment Natural Disasters Interconnection in China: A Review. Climate 2020, 8, 48. [Google Scholar] [CrossRef]
  2. Kegel, J.F.; MacAfee, E.; de Jong, E. Desensitised flood risk perception to extensive disasters in a marginalised urban kampong in Indonesia. Environ. Hazards 2024, 1–22. [Google Scholar] [CrossRef]
  3. Dharmarathne, G.; Waduge, A.O.; Bogahawaththa, M.; Rathnayake, U.; Meddage, D.P.P. Adapting cities to the surge: A comprehensive review of climate-induced urban flooding. Results Eng. 2024, 22, 102123. [Google Scholar] [CrossRef]
  4. Jiang, X.; Liu, Y.; Wu, Y.; Wang, G.; Zhang, X.; Meng, Q.; Gu, P.; Liu, T. Evaluation of the Performance of Multi-Source Precipitation Data in Southwest China. Water 2021, 13, 3200. [Google Scholar] [CrossRef]
  5. Lei, H.; Zhao, H.; Ao, T.; Hu, W. Quantifying the Reliability and Uncertainty of Satellite, Reanalysis, and Merged Precipitation Products in Hydrological Simulations over the Topographically Diverse Basin in Southwest China. Remote Sens. 2023, 15, 213. [Google Scholar] [CrossRef]
  6. Zhu, Y.; Liu, L.; Qin, F.; Zhou, L.; Zhang, X.; Chen, T.; Li, X.; Ao, T. Application of the Regression-Augmented Regionalization Approach for BTOP Model in Ungauged Basins. Water 2021, 13, 2294. [Google Scholar] [CrossRef]
  7. Kabenge, M.; Elaru, J.; Wang, H.; Li, F. Characterizing flood hazard risk in data-scarce areas, using a remote sensing and GIS-based flood hazard index. Nat. Hazards 2017, 89, 1369–1387. [Google Scholar] [CrossRef]
  8. Masood, M.; Naveed, M.; Iqbal, M.; Nabi, G.; Kashif, H.M.; Jawad, M.; Mujtaba, A. Evaluation of Satellite Precipitation Products for Estimation of Floods in Data-Scarce Environment. Adv. Meteorol. 2023, 2023, e1685720. [Google Scholar] [CrossRef]
  9. Ouaba, M.; Saidi, M.E.; Alam, M.J.B. Flood modeling through remote sensing datasets such as LPRM soil moisture and GPM-IMERG precipitation: A case study of ungauged basins across Morocco. Earth Sci. Inform. 2023, 16, 653–674. [Google Scholar] [CrossRef]
  10. Pradhan, R.K.; Markonis, Y.; Godoy, M.R.V.; Villalba-Pradas, A.; Andreadis, K.M.; Nikolopoulos, E.I.; Papalexiou, S.M.; Rahim, A.; Tapiador, F.J.; Hanel, M. Review of GPM IMERG performance: A global perspective. Remote Sens. Environ. 2022, 268, 112754. [Google Scholar] [CrossRef]
  11. Fan, N.; Lin, X.; Guo, H. An Analysis for the Applicability of Global Precipitation Measurement Mission (GPM) IMERG Precipitation Data in Typhoons. Atmosphere 2023, 14, 1224. [Google Scholar] [CrossRef]
  12. Batista, F.F.; Rodrigues, D.T.; e Silva, C.M.S. Analysis of climatic extremes in the Parnaíba River Basin, Northeast Brazil, using GPM IMERG-V6 products. Weather Clim. Extrem. 2024, 43, 100646. [Google Scholar] [CrossRef]
  13. Yu, L.; Leng, G.; Python, A.; Peng, J. A Comprehensive Evaluation of Latest GPM IMERG V06 Early, Late and Final Precipitation Products across China. Remote Sens. 2021, 13, 1208. [Google Scholar] [CrossRef]
  14. Andualem, T.G.; Malede, D.A.; Ejigu, M.T. Performance evaluation of integrated multi-satellite retrieval for global precipitation measurement products over Gilgel Abay watershed, Upper Blue Nile Basin, Ethiopia. Model. Earth Syst. Environ. 2020, 6, 1853–1861. [Google Scholar] [CrossRef]
  15. Li, X.; Sungmin, O.; Wang, N.; Huang, Y. Evaluation of the GPM IMERG V06 products for light rain over Mainland ChinaGPM IMERG V06. Atmos. Res. 2021, 253, 105510. [Google Scholar] [CrossRef]
  16. Setti, S.; Yumnam, K.; Rathinasamy, M.; Agarwal, A. Assessment of satellite precipitation products at different time scales over a cyclone prone coastal river basin in India. J. Water Clim. Chang. 2022, 14, 38–65. [Google Scholar] [CrossRef]
  17. Huffman, G.J.; Bolvin, D.T.; Braithwaite, D.; Hsu, K.L.; Joyce, R.J.; Kidd, C.; Nelkin, E.J.; Sorooshian, S.; Stocker, E.F.; Tan, J.; et al. Integrated Multi-satellite Retrievals for the Global Precipitation Measurement (GPM) Mission (IMERG). In Satellite Precipitation Measurement; Levizzani, V., Kidd, C., Kirschbaum, D.B., Kummerow, C.D., Nakamura, K., Turk, F.J., Eds.; Springer International Publishing: Cham, Switzerland, 2020; Volume 67, pp. 343–353. [Google Scholar] [CrossRef]
  18. Gan, F.; Zhang, Y.; Diao, X.; Cao, G.; Tan, K.; Zhong, X.; Gao, Y. Performance evaluation of IMERG products based on the extremely heavy rainstorm event (2021) once in a thousand years in Henan, China. Atmos. Res. 2023, 285, 106639. [Google Scholar] [CrossRef]
  19. Ji, H.; Peng, D.; Gu, Y.; Liang, Y.; Luo, X. Evaluation of multiple satellite precipitation products and their potential utilities in the Yarlung Zangbo River Basin. Scientific Reports. 2022, 12, 13334. [Google Scholar] [CrossRef]
  20. Yuan, F.; Zhang, L.; Soe, K.M.W.; Ren, L.; Zhao, C.; Zhu, Y.; Jiang, S.; Liu, Y. Applications of TRMM- and GPM-Era Multiple-Satellite Precipitation Products for Flood Simulations at Sub-Daily Scales in a Sparsely Gauged Watershed in Myanmar. Remote Sens. 2019, 11, 140. [Google Scholar] [CrossRef]
  21. Chen, F.; Li, X. Evaluation of IMERG and TRMM 3B43 Monthly Precipitation Products over Mainland China. Remote Sens. 2016, 8, 472. [Google Scholar] [CrossRef]
  22. Wang, J.; Petersen, W.A.; Wolff, D.B.; Ryu, G.H. Evaluation of GPM Imerg Products Over South Korea. In Proceedings of the IGARSS 2020—2020 IEEE International Geoscience and Remote Sensing Symposium, Waikoloa, HI, USA, 26 September–2 October 2020; pp. 5356–5359. [Google Scholar] [CrossRef]
  23. Tu, L.; Duan, L. Spatial downscaling analysis of GPM IMERG precipitation dataset based on multiscale geographically weighted regression model: A case study of the Inner Mongolia Reach of the Yellow River basin. Front. Environ. Sci. 2024, 12, 1389587. [Google Scholar] [CrossRef]
  24. Bai, H.; Ming, Y.; Liu, Q.; Huang, C. Downscaling of GPM satellite precipitation data in the Yellow River Basin based on MGWR model. Arid Land Geogr. 2023, 46, 1052–1062. [Google Scholar] [CrossRef]
  25. Yi, D.U.; Zequn, L.I.N.; ZHUANG, S.; Runting, C.H.E.N.; Dagang, W.A.N.G. Spatial Downscaling of GPM Satellite Precipitation Products in the Yangtze River Basin, China. Remote Sens. Technol. Appl. 2023, 38, 697–707. [Google Scholar] [CrossRef]
  26. Saouabe, T.; El Khalki, E.M.; Saidi, M.E.M.; Najmi, A.; Hadri, A.; Rachidi, S.; Jadoud, M.; Tramblay, Y. Evaluation of the GPM-IMERG Precipitation Product for Flood Modeling in a Semi-Arid Mountainous Basin in Morocco. Water 2020, 12, 2516. [Google Scholar] [CrossRef]
  27. Gilewski, P.; Nawalany, M. Inter-Comparison of Rain-Gauge, Radar, and Satellite (IMERG GPM) Precipitation Estimates Performance for Rainfall-Runoff Modeling in a Mountainous Catchment in Poland. Water 2018, 10, 1665. [Google Scholar] [CrossRef]
  28. Ouaba, M.; El Khalki, E.M.; Saidi, M.E.; Alam, M.J.B. Estimation of Flood Discharge in Ungauged Basin Using GPM-IMERG Satellite-Based Precipitation Dataset in a Moroccan Arid Zone. Earth Syst. Environ. 2022, 6, 541–556. [Google Scholar] [CrossRef]
  29. Tang, X.; Yin, Z.; Qin, G.; Guo, L.; Li, H. Integration of Satellite Precipitation Data and Deep Learning for Improving Flash Flood Simulation in a Poor-Gauged Mountainous Catchment. Remote Sens. 2021, 13, 5083. [Google Scholar] [CrossRef]
  30. Zhang, X.; Tang, Q. Combining satellite precipitation and long-term ground observations for hydrological monitoring in China. J. Geophys. Res. Atmos. 2015, 120, 6426–6443. [Google Scholar] [CrossRef]
  31. Tian, Y.; Peters-Lidard, C.D.; Eylander, J.B. Real-Time Bias Reduction for Satellite-Based Precipitation Estimates. J. Hydrometeorol. 2010, 11, 1275–1285. [Google Scholar] [CrossRef]
  32. Ye, H.; Su, K.; Huang, S. Image Enhancement Method Based on Bilinear Interpolating and Wavelet Transform. In Proceedings of the 2021 IEEE 5th Advanced Information Technology, Electronic and Automation Control Conference (IAEAC), Chongqing, China, 12–14 March 2021; pp. 1147–1150. [Google Scholar] [CrossRef]
  33. Hale, R.C.; Gallo, K.P.; Tarpley, D.; Yu, Y. Characterization of variability at in situ locations for calibration/validation of satellite-derived land surface temperature data. Remote Sens. Lett. 2011, 2, 41–50. [Google Scholar] [CrossRef]
  34. Ning, X.; Hui, F.K.; Welsh, A.H. A double fixed rank kriging approach to spatial regression models with covariate measurement error. Environmetrics 2023, 34, e2771. [Google Scholar] [CrossRef]
  35. Oh, M.S.; Shin, D.W.; Kim, H.J. Bayesian analysis of regression models with spatially correlated errors and missing observations. Comput. Stat. Data Anal. 2002, 39, 387–400. [Google Scholar] [CrossRef]
  36. Cheema, M.J.M.; Bastiaanssen, W.G.M. Local calibration of remotely sensed rainfall from the TRMM satellite for different periods and spatial scales in the Indus Basin. Int. J. Remote Sens. 2012, 33, 2603–2627. [Google Scholar] [CrossRef]
  37. Belay, Y.Y.; Gouday, Y.A.; Alemnew, H.N. Comparison of HEC-HMS hydrologic model for estimation of runoff computation techniques as a design input: Case of Middle Awash multi-purpose dam, Ethiopia. Appl. Water Sci. 2022, 12, 237. [Google Scholar] [CrossRef]
  38. Goodarzi, M.R.; Poorattar, M.J.; Vazirian, M.; Talebi, A. Evaluation of a weather forecasting model and HEC-HMS for flood forecasting: Case study of Talesh catchment. Appl. Water Sci. 2024, 14, 34. [Google Scholar] [CrossRef]
  39. Dandupati, G.; Chodavarapu, S.; Chalumuri, R.N.; Ahirwar, A. Runoff modeling with various unit-hydrograph approaches for Sarada river basin, India. Arab. J. Geosci. 2024, 17, 150. [Google Scholar] [CrossRef]
  40. Gelete, G.; Nourani, V.; Gokcekus, H.; Gichamo, T. Ensemble physically based semi-distributed models for the rainfall-runoff process modeling in the data-scarce Katar catchment, Ethiopia. J. Hydroinformatics 2023, 25, 567–592. [Google Scholar] [CrossRef]
  41. Moriasi, D.N.; Arnold, J.G.; Van Liew, M.W.; Bingner, R.L.; Harmel, R.D.; Veith, T.L. Model Evaluation Guidelines for Systematic Quantification of Accuracy in Watershed Simulations. Trans. ASABE 2007, 50, 885–900. [Google Scholar] [CrossRef]
  42. Ren, Y.; Yong, B.; Lu, D.; Chen, H. Evaluation of the Integrated Multi-satellitE Retrievals (IMERG) for Global Precipitation Measurement (GPM) mission over Mainland China at multiple scales. J. Lake Sci. 2019, 31, 560–572. [Google Scholar] [CrossRef]
  43. Benkirane, M.; Amazirh, A.; Laftouhi, N.E.; Khabba, S.; Chehbouni, A. Assessment of GPM Satellite Precipitation Performance after Bias Correction, for Hydrological Modeling in a Semi-Arid Watershed (High Atlas Mountain, Morocco). Atmosphere 2023, 14, 794. [Google Scholar] [CrossRef]
  44. Baez-Villanueva, O.M.; Zambrano-Bigiarini, M.; Beck, H.E.; McNamara, I.; Ribbe, L.; Nauditt, A.; Birkel, C.; Verbist, K.; Giraldo-Osorio, J.D.; Thinh, N.X. RF-MEP: A novel Random Forest method for merging gridded precipitation products and ground-based measurements. Remote Sens. Environ. 2020, 239, 111606. [Google Scholar] [CrossRef]
  45. Ayehu, G.T.; Tadesse, T.; Gessesse, B.; Dinku, T. Validation of new satellite rainfall products over the Upper Blue Nile Basin, Ethiopia. Atmos. Meas. Tech. 2018, 11, 1921–1936. [Google Scholar] [CrossRef]
Figure 1. The framework of this study.
Figure 1. The framework of this study.
Remotesensing 16 02333 g001
Figure 2. Location of the Sunshui River basin in China.
Figure 2. Location of the Sunshui River basin in China.
Remotesensing 16 02333 g002
Figure 3. Land use types (a) and soil types (b) in the Sunshui River basin.
Figure 3. Land use types (a) and soil types (b) in the Sunshui River basin.
Remotesensing 16 02333 g003
Figure 4. Distributions of satellite grid points and ground gauge stations in the Sunshui River basin.
Figure 4. Distributions of satellite grid points and ground gauge stations in the Sunshui River basin.
Remotesensing 16 02333 g004
Figure 5. Scatter plot of IMERG V6, V7, and corrected IMERG V7 data with ground observation data. The value of the color bar represents the density value of the color in the scatter plot.
Figure 5. Scatter plot of IMERG V6, V7, and corrected IMERG V7 data with ground observation data. The value of the color bar represents the density value of the color in the scatter plot.
Remotesensing 16 02333 g005
Figure 6. Simulated and observed flood hydrographs from 2014 to 2016 in the Sunshui River basin.
Figure 6. Simulated and observed flood hydrographs from 2014 to 2016 in the Sunshui River basin.
Remotesensing 16 02333 g006
Figure 7. Simulated and observed flood hydrographs from 2017 to 2018 in the Sunshui River basin.
Figure 7. Simulated and observed flood hydrographs from 2017 to 2018 in the Sunshui River basin.
Remotesensing 16 02333 g007
Figure 8. Flood modeling based on the corrected IMERG V7 data using one to eight ground gauge stations in the Sunshui River basin.
Figure 8. Flood modeling based on the corrected IMERG V7 data using one to eight ground gauge stations in the Sunshui River basin.
Remotesensing 16 02333 g008
Figure 9. Boxplot of the evaluation indicators for flood modeling based on the corrected IMERG V7 data using one to eight ground gauge stations in the Sunshui River basin (Black diamonds in the box plot indicate outliers. The red, blue, and green dashed lines represent the thresholds of the model performance levels for ‘satisfactory’, ‘good’, and ‘very good’, respectively).
Figure 9. Boxplot of the evaluation indicators for flood modeling based on the corrected IMERG V7 data using one to eight ground gauge stations in the Sunshui River basin (Black diamonds in the box plot indicate outliers. The red, blue, and green dashed lines represent the thresholds of the model performance levels for ‘satisfactory’, ‘good’, and ‘very good’, respectively).
Remotesensing 16 02333 g009
Table 1. Flood events from 2014 to 2018 over the Sunshui River basin.
Table 1. Flood events from 2014 to 2018 over the Sunshui River basin.
Flood EventBeginEndPeak Flood (m3/s)Peak Flood Occurrence TimeRunoff Depth (mm)
201407011 July 2014 (0:00)10 July 2014 (23:00)3793 July 2014 (17:00)31.23
2014081616 August 2014 (8:00)23 August 2014 (0:00)49218 August 2014 (12:00)61.53
201509044 September 2015 (0:00)8 September 2015 (08:00)644.55 September 2015 (11:00)42.58
201607044 July 2016 (0:00)10 July 2016 (23:00)5686 July 2016 (13:00)58.42
2017062121 June 2017 (0:00)3 July 2017 (23:00)58324 June 2017 (09:00)59.15
201709099 September 2017 (0:00)19 September 2017 (20:00)446.210 September 2017 (10:00)34.2
2018071111 July 2018 (0:00)21 July 2018 (20:00)39214 July 2018 (09:00)78.33
Table 2. Indicators used to evaluate the performance of the satellite rainfall data.
Table 2. Indicators used to evaluate the performance of the satellite rainfall data.
Evaluation IndicatorEquationBest Value
Continuous statistical indicatorBias B i a s = i = 1 n S A T i i = 1 n O B S i i = 1 n O B S i × 100 0
Correlation coefficient (CC) C C = i = 1 n O B S i O B S ¯ S A T i S A T ¯ i = 1 n O B S i O B S ¯ 2 i = 1 n S A T i S A T ¯ 2 1
Statistical contingency indicatorFalse alarm rate (FAR) FAR = b a + b 0
Probability of detection (POD) P O D = a a + c 1
Note: In the table, n is the number of samples, i represents the ground station number, S A T i and S A T ¯ are the satellite rainfall data and its average, respectively, and O B S i and O B S ¯ are the measured rainfall data at ground gauge stations and their average, respectively. a is the rainfall event numbers that were observed in reality and that were also successfully forecasted from the satellite data; b is the rainfall event numbers that were forecasted from the satellite data but not observed in reality; c is the number of those observed in reality but not forecasted from the satellite data.
Table 3. Six indicators used to evaluate the performance of HEC-HMS flood modeling.
Table 3. Six indicators used to evaluate the performance of HEC-HMS flood modeling.
Evaluation IndicatorEquationBest Value
N S E N S E = 1 i = 1 n Q o , i Q s , i 2 i = 1 N Q o , i Q ¯ o , i 2 1
R M P F E R M P F E = Q s , m a x Q o , m a x Q o , m a x × 100 % 0
P b i a s P b i a s = i = 1 n Q s , i Q o , i Q o , i × 100 % 0
R M S E R M S E = i = 1 N ( Q o , i Q s , i ) 2 N 1
R 2 R 2 = i = 1 n Q o , i Q ¯ o Q s , i Q ¯ s 2 i = 1 N Q o , i Q ¯ s 2 i 1 n Q s , i Q ¯ s 2 1
Δ T Δ T = T s T o 0
Note: In the table, Q s , i , Q o , i , Q s , and Q o represent the simulated and observed flow at time i and their averages over the entire period; Q s , m a x and Q o , m a x represent the maximum simulated and observed flow; N represents the total number of time steps; T s and T o represent the times when the simulated and observed peak flows occur.
Table 4. Model performance levels.
Table 4. Model performance levels.
Performance Level N S E R M P F E P b i a s R M S E R 2 Δ T
Very good0.75~1≤20%−5~5%≤0.50.75~1≤1 h
Good0.65~0.7520~35%−10~−5% or 5~10% 0.50~0.600.65~0.751~2 h
Satisfactory0.50~0.6535~50%−15~−10% or 10~15%0.60~0.700.50~0.652~3 h
Unsatisfactory˂0.50>50%˂−15% or >15% >0.70˂0.50>3 h
Table 5. Comparison of IMERG V6, V7, and the corrected IMERG V7 SPPs with ground observations.
Table 5. Comparison of IMERG V6, V7, and the corrected IMERG V7 SPPs with ground observations.
Rainfall StationBias CCFAR POD
V6V7V7-CV6V7V7-CV6V7V7-CV6V7V7-C
Mishi−0.07 0.17 0.14 0.150.510.600.74 0.57 0.54 0.49 0.71 0.85
Poluo−0.11 0.15 0.08 0.260.470.710.64 0.56 0.49 0.58 0.74 0.93
Xianggu−0.15 0.11 0.07 0.110.420.630.73 0.56 0.49 0.43 0.70 0.90
Xide−0.18 0.07 0.03 0.130.430.750.74 0.58 0.50 0.47 0.71 0.93
Zeyue−0.12 0.05 −0.03 0.390.530.760.53 0.48 0.34 0.57 0.66 0.87
Deng Xiangrong−0.03 0.07 0.02 0.240.430.560.58 0.56 0.51 0.58 0.58 0.82
Mianshan−0.01 0.14 0.07 0.30.380.640.61 0.59 0.57 0.77 0.72 0.89
Sun shuiguan−0.20 0.00 −0.06 0.280.420.470.68 0.65 0.66 0.62 0.70 0.77
Average−0.11 0.09 0.04 0.230.450.640.66 0.57 0.51 0.56 0.69 0.87
Note: V7-C denotes the corrected IMERG V7 data.
Table 6. HEC-HMS performance in flood modeling with the ground rainfall observations as inputs.
Table 6. HEC-HMS performance in flood modeling with the ground rainfall observations as inputs.
Flood Event N S E R M P F E (%) P b i a s (%) R M S E (m3/s) R 2 Δ T (h)
201407010.86 23.00 −9.53 0.40 0.94 1.00
201408160.83 13.90 −3.27 0.40 0.84 2.00
201509040.92 24.59 1.73 0.30 0.92 2.00
201607040.84 40.00 2.21 0.40 0.89 2.00
201706210.80 32.64 6.35 0.40 0.81 2.00
201709090.89 23.62 −4.09 0.30 0.93 1.00
201807110.71 16.53 −22.01 0.50 0.92 3.00
Average0.84 24.90 −4.09 0.39 0.89 1.86
Table 7. HEC-HMS performance in flood modeling with IMERG V7 and corrected IMERG V7 rainfall data as inputs.
Table 7. HEC-HMS performance in flood modeling with IMERG V7 and corrected IMERG V7 rainfall data as inputs.
Flood Event N S E R M P F E (%) P b i a s (%) R M S E (m3/s) R 2 Δ T (h)
V7V7-CV7V7-CV7V7-CV7V7-CV7V7-CV7V7-C
20140701−6.91 0.77 11.69 20.32 125.92 1.78 2.80 0.50 0.70 0.95 1.00 1.00
20140816−1.06 0.78 51.24 0.81 74.65 6.05 1.40 0.50 0.80 0.85 2.00 3.00
20150904−3.07 0.74 34.35 10.72 94.64 −0.37 2.00 0.50 0.72 0.85 3.00 4.00
201607040.82 0.82 30.33 41.78 7.40 −6.84 0.40 0.40 0.84 0.86 1.00 1.00
20170621−10.960.84 84.37 19.43 196.33 12.30 3.50 0.40 0.84 0.89 1.00 2.00
201709090.03 0.93 16.00 10.69 47.72 −1.76 1.00 0.30 0.73 0.93 1.00 2.00
20180711−0.28 0.73 9.21 9.60 26.40 3.52 1.10 0.50 0.73 0.89 4.00 3.00
Average−3.06 0.80 33.88 16.19 81.87 2.10 1.74 0.44 0.77 0.89 1.86 2.29
Disclaimer/Publisher’s Note: The statements, opinions and data contained in all publications are solely those of the individual author(s) and contributor(s) and not of MDPI and/or the editor(s). MDPI and/or the editor(s) disclaim responsibility for any injury to people or property resulting from any ideas, methods, instructions or products referred to in the content.

Share and Cite

MDPI and ACS Style

Lyu, X.; Li, Z.; Li, X. Evaluation of GPM IMERG Satellite Precipitation Products in Event-Based Flood Modeling over the Sunshui River Basin in Southwestern China. Remote Sens. 2024, 16, 2333. https://doi.org/10.3390/rs16132333

AMA Style

Lyu X, Li Z, Li X. Evaluation of GPM IMERG Satellite Precipitation Products in Event-Based Flood Modeling over the Sunshui River Basin in Southwestern China. Remote Sensing. 2024; 16(13):2333. https://doi.org/10.3390/rs16132333

Chicago/Turabian Style

Lyu, Xiaoyu, Zhanling Li, and Xintong Li. 2024. "Evaluation of GPM IMERG Satellite Precipitation Products in Event-Based Flood Modeling over the Sunshui River Basin in Southwestern China" Remote Sensing 16, no. 13: 2333. https://doi.org/10.3390/rs16132333

APA Style

Lyu, X., Li, Z., & Li, X. (2024). Evaluation of GPM IMERG Satellite Precipitation Products in Event-Based Flood Modeling over the Sunshui River Basin in Southwestern China. Remote Sensing, 16(13), 2333. https://doi.org/10.3390/rs16132333

Note that from the first issue of 2016, this journal uses article numbers instead of page numbers. See further details here.

Article Metrics

Back to TopTop