Spatially Explicit Individual Tree Height Growth Models from Bi-Temporal Aerial Laser Scanning
Abstract
1. Introduction
2. Materials and Methods
2.1. Study Site and Experimental Area
2.2. Field and Lidar Data Acquisition
2.3. ALS Processing for Individual Trees and Competition Metrics
2.4. Statistical Analyses
2.5. Model Development and Validation
3. Results
3.1. Bi-Temporal Data Consistency
3.2. Modelling Annualized Height Increments
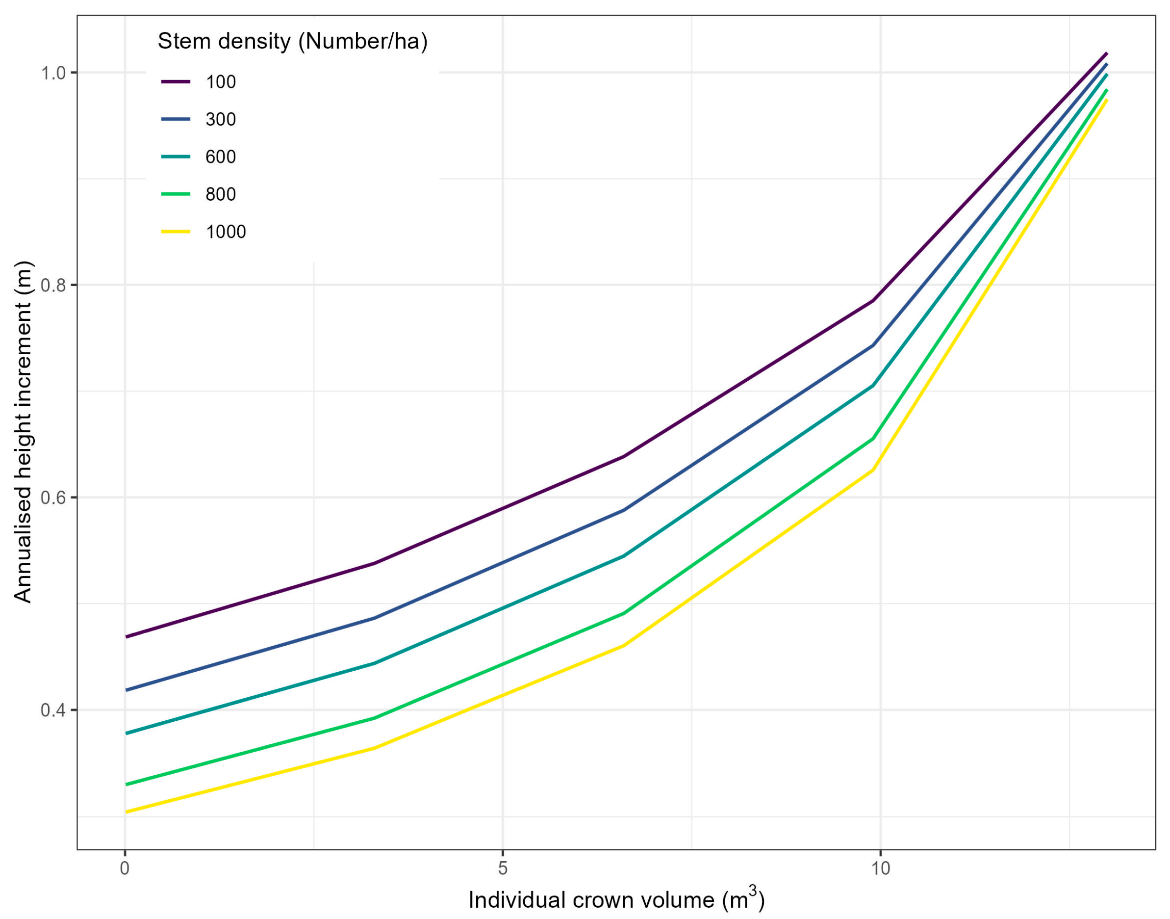
3.3. Competition Indices Modulate Height Increments
4. Discussion
4.1. Tree Attributes Related to Growth
4.2. The Spatially Explicit Individual-Tree-Based Mixed-Effects Model
4.3. Crown-Based Individual Tree Competition Indices
4.4. Limitations and Future Directions
5. Conclusions
Supplementary Materials
Author Contributions
Funding
Data Availability Statement
Acknowledgments
Conflicts of Interest
References
- Burkhart, H.E.; Tomé, M. Modeling Forest Trees and Stands; Springer: Dordrecht, The Netherlands, 2012. [Google Scholar]
- Weiskittel, A.R.; Hann, D.W.; Kershaw, J.A., Jr.; Vanclay, J.K. Forest Growth and Yield Modeling; John Wiley & Sons: Hoboken, NJ, USA, 2011. [Google Scholar]
- Pretzsch, H. Forest dynamics, growth, and yield. In Forest Dynamics, Growth and Yield: From Measurement to Model; Pretzsch, H., Ed.; Springer: Berlin/Heidelberg, Germany, 2009; pp. 1–39. [Google Scholar]
- Munro, D.D. Forest Growth Models—A Prognosis; Royal College of Forestry: Stockholm, Sweden, 1974; pp. 7–21. [Google Scholar]
- Gillet, F. Plant competition. In Encyclopedia of Ecology; Jorgensen, S.E., Fath, B.D., Eds.; Elsevier: Amsterdam, The Netherlands, 2008; pp. 2783–2793. [Google Scholar]
- Tomé, M.; Burkhart, H.E. Distance-dependent competition measures for predicting growth of individual trees. For. Sci. 1989, 35, 816–831. [Google Scholar] [CrossRef]
- Curtis, R.O. Stand density measures: An interpretation. For. Sci. 1970, 16, 403–414. [Google Scholar]
- Oliver, C.D.; Larson, B.C. Forest Stand Dynamics; Updated ed.; Yale School of the Environment; John Wiley and Sons: Hoboken, NJ, USA, 1996. [Google Scholar]
- Thorpe, H.C.; Astrup, R.; Trowbridge, A.; Coates, K.D. Competition and tree crowns: A neighborhood analysis of three boreal tree species. For. Ecol. Manag. 2010, 259, 1586–1596. [Google Scholar] [CrossRef]
- Twery, M.J.; Weiskittel, A.R. Forest-management modelling. In Environmental Modelling; John Wiley and Sons: Hoboken, NJ, USA, 2013; pp. 379–398. [Google Scholar] [CrossRef]
- Pretzsch, H.; Grote, R.; Reineking, B.; Rötzer, T.; Seifert, S. Models for forest ecosystem management: A European perspective. Ann. Bot. 2007, 101, 1065–1087. [Google Scholar] [CrossRef] [PubMed]
- Vospernik, S. Possibilities and limitations of individual-tree growth models—A review on model evaluations. Die Bodenkult. J. Land Manag. Food Environ. 2017, 68, 103–112. [Google Scholar] [CrossRef][Green Version]
- Weiner, J. Asymmetric competition in plant populations. Trends Ecol. Evol. 1990, 5, 360–364. [Google Scholar] [CrossRef] [PubMed]
- Soares, P.; Tomé, M. Distance-dependent competition measures for Eucalyptus plantations in Portugal. Ann. For. Sci. 1999, 56, 307–319. [Google Scholar] [CrossRef]
- Biging, G.S.; Dobbertin, M. Evaluation of competition indices in individual tree growth models. For. Sci. 1995, 41, 360–377. [Google Scholar] [CrossRef]
- Berger, U.; Piou, C.; Schiffers, K.; Grimm, V. Competition among plants: Concepts, individual-based modelling approaches, and a proposal for a future research strategy. Perspect. Plant Ecol. Evol. Syst. 2008, 9, 121–135. [Google Scholar] [CrossRef]
- Hegyi, F. A simulation model for managing jack-pine stands simulation. R. Coll. For. Res. Notes 1974, 30, 74–90. [Google Scholar]
- Kuehne, C.; Weiskittel, A.R.; Waskiewicz, J. Comparing performance of contrasting distance-independent and distance-dependent competition metrics in predicting individual tree diameter increment and survival within structurally-heterogeneous, mixed-species forests of Northeastern United States. For. Ecol. Manag. 2019, 433, 205–216. [Google Scholar] [CrossRef]
- Pont, D.; Dungey, H.S.; Suontama, M.; Stovold, G.T. Spatial models with inter-tree competition from airborne laser scanning improve estimates of genetic variance. Front. Plant Sci. 2021, 11, 596315. [Google Scholar] [CrossRef] [PubMed]
- Coops, N.C. Characterizing forest growth and productivity using remotely sensed data. Curr. For. Rep. 2015, 1, 195–205. [Google Scholar] [CrossRef]
- Fassnacht, F.E.; White, J.C.; Wulder, M.A.; Næsset, E. Remote sensing in forestry: Current challenges, considerations and directions. For. Int. J. For. Res. 2023, 97, 11–37. [Google Scholar] [CrossRef]
- Hardiman, B.S.; Gough, C.M.; Halperin, A.; Hofmeister, K.L.; Nave, L.E.; Bohrer, G.; Curtis, P.S. Maintaining high rates of carbon storage in old forests: A mechanism linking canopy structure to forest function. For. Ecol. Manag. 2013, 298, 111–119. [Google Scholar] [CrossRef]
- Lechner, A.M.; Foody, G.M.; Boyd, D.S. Applications in remote sensing to forest ecology and management. One Earth 2020, 2, 405–412. [Google Scholar] [CrossRef]
- Maltamo, M.; Næsset, E.; Vauhkonen, J. Forestry Applications of Airborne Laser Scanning, 1st ed.; Springer: Dordrecht, The Netherlands, 2014; Volume 27, p. 460. [Google Scholar]
- White, J.C.; Coops, N.C.; Wulder, M.A.; Vastaranta, M.; Hilker, T.; Tompalski, P. Remote sensing technologies for enhancing forest inventories: A review. Can. J. Remote Sens. 2016, 42, 619–641. [Google Scholar] [CrossRef]
- Coops, N.C.; Tompalski, P.; Goodbody, T.R.H.; Queinnec, M.; Luther, J.E.; Bolton, D.K.; White, J.C.; Wulder, M.A.; van Lier, O.R.; Hermosilla, T. Modelling lidar-derived estimates of forest attributes over space and time: A review of approaches and future trends. Remote Sens. Environ. 2021, 260, 112477. [Google Scholar] [CrossRef]
- Tompalski, P.; Coops, N.C.; White, J.C.; Goodbody, T.R.H.; Hennigar, C.R.; Wulder, M.A.; Socha, J.; Woods, M.E. Estimating changes in forest attributes and enhancing growth projections: A review of existing approaches and future directions using airborne 3D point cloud data. Curr. For. Rep. 2021, 7, 1–24. [Google Scholar] [CrossRef]
- Næsset, E. Predicting forest stand characteristics with airborne scanning laser using a practical two-stage procedure and field data. Remote Sens. Environ. 2002, 80, 88–99. [Google Scholar] [CrossRef]
- Becknell, J.M.; Keller, M.; Piotto, D.; Longo, M.; Nara dos-Santos, M.; Scaranello, M.A.; Bruno de Oliveira Cavalcante, R.; Porder, S. Landscape-scale lidar analysis of aboveground biomass distribution in secondary Brazilian Atlantic Forest. Biotropica 2018, 50, 520–530. [Google Scholar] [CrossRef]
- Bollandsås, O.M.; Gregoire, T.G.; Næsset, E.; Øyen, B.-H. Detection of biomass change in a Norwegian mountain forest area using small footprint airborne laser scanner data. Stat. Methods Appl. 2012, 22, 113–129. [Google Scholar] [CrossRef]
- Dalponte, M.; Liu, S.; Gianelle, D. Detection of forest changes with multi-temporal Lidar data. In Proceedings of the IEEE International Geoscience and Remote Sensing Symposium (IGARSS), Valencia, Spain, 22–27 July 2018; pp. 9011–9013. [Google Scholar]
- Økseter, R.; Bollandsås, O.M.; Gobakken, T.; Næsset, E. Modeling and predicting aboveground biomass change in young forest using multi-temporal airborne laser scanner data. Scand. J. For. Res. 2015, 30, 458–469. [Google Scholar] [CrossRef]
- Ma, Q.; Su, Y.; Tao, S.; Guo, Q. Quantifying individual tree growth and tree competition using bi-temporal airborne laser scanning data: A case study in the Sierra Nevada Mountains, California. Int. J. Digit. Earth 2018, 11, 485–503. [Google Scholar] [CrossRef]
- Hao, Y.; Widagdo, F.R.A.; Liu, X.; Quan, Y.; Dong, L.; Li, F. Individual tree diameter estimation in small-scale forest inventory using UAV laser scanning. Remote Sens. 2021, 13, 24. [Google Scholar] [CrossRef]
- Hill, S.; Latifi, H.; Heurich, M.; Müller, J. Individual tree- and stand-based development following natural disturbance in a heterogeneously structured forest: A LiDAR-based approach. Ecol. Inform. 2017, 38, 12–25. [Google Scholar] [CrossRef]
- Lo, C.-S.; Lin, C. Growth-competition-based stem diameter and volume modeling for tree-level forest inventory using airborne LiDAR data. IEEE Trans. Geosci. Remote Sens. 2013, 51, 2216–2226. [Google Scholar] [CrossRef]
- Dubayah, R.O.; Sheldon, S.L.; Clark, D.B.; Hofton, M.A.; Blair, J.B.; Hurtt, G.C.; Chazdon, R.L. Estimation of tropical forest height and biomass dynamics using lidar remote sensing at La Selva, Costa Rica. J. Geophys. Res. Biogeosci. 2010, 115, 1–17. [Google Scholar] [CrossRef]
- Duncanson, L.; Dubayah, R. Monitoring individual tree-based change with airborne lidar. Ecol. Evol. 2018, 8, 5079–5089. [Google Scholar] [CrossRef]
- Vega, C.; St-Onge, B. Height growth reconstruction of a boreal forest canopy over a period of 58 years using a combination of photogrammetric and lidar models. Remote Sens. Environ. 2008, 112, 1784–1794. [Google Scholar] [CrossRef]
- Holmgren, J. Estimation of Forest Variables Using Airborne Laser Scanning; Swedish University of Agricultural Sciences: Umeå, Sweden, 2003. [Google Scholar]
- Popescu, S.C.; Wynne, R.H.; Scrivani, J.A. Fusion of small-footprint Lidar and multispectral data to estimate plot-level volume and biomass in deciduous and pine forests in Virginia, USA. For. Sci. 2004, 50, 551. [Google Scholar] [CrossRef]
- Yang, Z.; Liu, Q.; Luo, P.; Ye, Q.; Duan, G.; Sharma, R.P.; Zhang, H.; Wang, G.; Fu, L. Prediction of individual tree diameter and height to crown base using nonlinear simultaneous regression and airborne LiDAR data. Remote Sens. 2020, 12, 2238. [Google Scholar] [CrossRef]
- Nakajima, T. Estimating tree growth using crown metrics derived from LiDAR data. J. Indian Soc. Remote Sens. 2015, 44, 217–223. [Google Scholar] [CrossRef]
- Pont, D. Assessment of Individual Trees Using Aerial Laser Scanning in New Zealand Radiata Pine Forests; University of Canterbury: Christchurch, New Zealand, 2016. [Google Scholar]
- Pont, D. Analyses of basic crown-stem growth relationship in Radiata pine. In Proceedings of the 4th International Workshop on Functional-Structural Plant Models (FSPM), Montpellier, France, 7–11 June 2004; pp. 105–109. [Google Scholar]
- Tompalski, P.; White, J.C.; Coops, N.C.; Wulder, M.A.; Leboeuf, A.; Sinclair, I.; Butson, C.R.; Lemonde, M.-O. Quantifying the precision of forest stand height and canopy cover estimates derived from air photo interpretation. For. Int. J. For. Res. 2021, 94, 611–629. [Google Scholar] [CrossRef]
- Nguyen, T.H.; Jones, S.; Soto-Berelov, M.; Haywood, A.; Hislop, S. Estimate forest biomass dynamics using multi-temporal lidar and single date inventory data. In Proceedings of the GARSS 2019—2019 IEEE International Geoscience and Remote Sensing Symposium 2019, Yokohama, Japan, 28 July–2 August 2019; pp. 7338–7341. [Google Scholar] [CrossRef]
- Poudel, K.; Flewelling, J.; Temesgen, H. Predicting volume and biomass change from multi-temporal lidar sampling and remeasured field inventory data in Panther creek watershed, Oregon, USA. Forests 2018, 9, 28. [Google Scholar] [CrossRef]
- Silva, C.A.; Klauberg, C.; Hudak, A.T.; Vierling, L.A.; Fennema, S.J.; Corte, A.P.D. Modeling and mapping basal area of Pinus taeda L. plantation using airborne LiDAR data. An. Acad. Bras. Ciências 2017, 89, 1895–1905. [Google Scholar] [CrossRef] [PubMed]
- Pedersen, R.Ø.; Bollandsås, O.M.; Gobakken, T.; Næsset, E. Deriving individual tree competition indices from airborne laser scanning. For. Ecol. Manag. 2012, 280, 150–165. [Google Scholar] [CrossRef]
- Beets, P.N.; Brownlie, R.K. Puruki experimental catchment: Site, climate, forest management and research. N. Z. J. For. Sci. 1987, 17, 137–156. [Google Scholar]
- Garrett, L.; Wakelin, S.A.; Pearce, S.H.; Wakelin, S.J.; Barnard, T. Puruki experimental forest—Half a century of forestry research. N. Z. J. For. 2021, 66, 3–10. [Google Scholar]
- Beets, P.N.; Reutebuch, S.; Kimberley, M.O.; Oliver, G.R.; Pearce, S.H.; McGaughey, R.J. Leaf area index, biomass carbon and growth rate of radiata pine genetic types and relationships with LiDAR. Forests 2011, 2, 637–659. [Google Scholar] [CrossRef]
- Pont, D.; Kimberley, M.O.; Brownlie, R.K.; Sabatia, C.O.; Watt, M.S. Calibrated tree counting on remotely sensed images of planted forests. Int. J. Remote Sens. 2015, 36, 3819–3836. [Google Scholar] [CrossRef]
- ESRI. ArcGIS Realease 10.8; ESRI: Redlands, CA, USA, 2021. [Google Scholar]
- Suarez-Minguez, J.C. An Analysis of the Consequences of Stand Variability in Sitka Spruce Plantations in Britain Using a Combination of Airborne LiDAR Analysis and Models; University of Sheffield: Sheffield, UK, 2010. [Google Scholar]
- Chen, Q.; Gong, P.; Baldocchi, D.; Tian, Y.Q. Estimating basal area and stem volume for individual trees from LiDAR data. Photogramm. Eng. Remote Sens. 2007, 73, 1355–1365. [Google Scholar] [CrossRef]
- R Core Team. R: A Language and Environment for Statistical Computing, 4.3.1; R Foundation for Statistical Computing: Vienna, Austria, 2023. [Google Scholar]
- RStudio Team. RStudio: Integrated Development for R, RStudio; PBC: Boston, MA, USA, 2023. [Google Scholar]
- Wickham, H.; Averick, M.; Bryan, J.; Chang, W.; McGowan, L.D.; François, R.; Grolemund, G.; Hayes, A.; Henry, L.; Hester, J.; et al. Welcome to the tidyverse. J. Open Source Softw. 2019, 4, 1686. [Google Scholar] [CrossRef]
- Bates, D.; Achler, M.; Bolker, B.; Walker, S. Fitting Linear Mixed-Effects Models Using—lme4. J. Stat. Softw. 2015, 67, 1–48. [Google Scholar] [CrossRef]
- Hamner, B.; Frasco, M. Metrics: Evaluation Metrics for Machine Learning; R Package Version 0.1.4; R Package Team: Vienna, Austria, 2018. [Google Scholar]
- Cook, R.D.; Weisberg, S. Applied Regression Including Computing and Graphics; John Wiley & Sons: Hoboken, NJ, USA, 2009. [Google Scholar]
- Schumacher, F.X. A new growth curve and its application to timber yield studies. J. For. 1939, 37, 819–820. [Google Scholar]
- Woollons, R.C.; Snowdon, P.; Mitchell, N.D. Augmenting empirical stand projection equations with edaphic and climatic variables. For. Ecol. Manag. 1997, 98, 267–275. [Google Scholar] [CrossRef]
- Bolker, B.M.; Brooks, M.E.; Clark, C.J.; Geange, S.W.; Poulsen, J.R.; Stevens, M.H.H.; White, J.S.S. Generalized linear mixed models: A practical guide for ecology and evolution. Trends Ecol. Evol. 2009, 24, 127–135. [Google Scholar] [CrossRef] [PubMed]
- Schall, R. Estimation in generalized linear models with random effects. Biometrika 1991, 78, 719–727. [Google Scholar] [CrossRef]
- Robinson, A.P.; Monserud, R.A. Criteria for comparing the adaptability of forest growth models. For. Ecol. Manag. 2003, 172, 53–67. [Google Scholar] [CrossRef]
- Vanclay, J.K.; Skovsgaard, J.P. Evaluating forest growth models. Ecol. Model. 1997, 98, 1–12. [Google Scholar] [CrossRef]
- Cavanaugh, J.E. Unifying the derivations for the Akaike and corrected Akaike information criteria. Stat. Probab. Lett. 1997, 33, 201–208. [Google Scholar] [CrossRef]
- Onyutha, C. From R-squared to coefficient of model accuracy for assessing “goodness-of-fits”. Geosci. Model Dev. Discuss. 2020, 1–25. [Google Scholar] [CrossRef]
- Salciccioli, J.D.; Crutain, Y.; Komorowski, M.; Marshall, D.C. Sensitivity analysis and model validation. In Secondary Analysis of Electronic Health Records, Data; MIT Critical Data., Ed.; Springer International Publishing: Cham, Switzerland, 2016; pp. 263–271. [Google Scholar]
- Aakala, T.; Fraver, S.; D’Amato, A.W.; Palik, B.J. Influence of competition and age on tree growth in structurally complex old-growth forests in northern Minnesota, USA. For. Ecol. Manag. 2013, 308, 128–135. [Google Scholar] [CrossRef]
- Pretzsch, H. Canopy space filling and tree crown morphology in mixed-species stands compared with monocultures. For. Ecol. Manag. 2014, 327, 251–264. [Google Scholar] [CrossRef]
- Willson, D.; Monleon, V.J.; Weiskittel, A.R. Quantification and incorporation of uncertainty in forest growth and yield projections using a Bayesian probabilistic framework: A demonstration for plantation coastal Douglas-fir in the Pacific Northwest, USA. Math. Comput. For. Nat. Resour. Sci. 2019, 11, 264–285. [Google Scholar]
- West, P.W.; Ratkowsky, D.A.; Davis, A.W. Problems of hypothesis testing of regressions with multiple measurements from individual sampling units. For. Ecol. Manag. 1984, 7, 207–224. [Google Scholar] [CrossRef]
- West, P.W.; Davis, A.W.; Ratkowsky, D.A. Approaches to regression analysis with multiple measurements from individual sampling units. J. Stat. Comput. Simul. 1986, 26, 149–175. [Google Scholar] [CrossRef]
- Schabenberger, O.; Gregoire, T.G. A conspectus on estimating function theory and its applicability to recurrent modeling issues in forest biometry. Silva Fenn. 1995, 29, 4–70. [Google Scholar] [CrossRef]
- Fox, J.C.; Ades, P.K.; Bi, H. Stochastic structure and individual-tree growth models. For. Ecol. Manag. 2001, 154, 261–276. [Google Scholar] [CrossRef]
- Lappi, J. Calibration of height and volume equations with random parameters. For. Sci. 1991, 37, 781–801. [Google Scholar] [CrossRef]
- Lappi, J.; Bailey, R.L. A height prediction model with random stand and tree parameters: An alternative to traditional site index methods. For. Sci. 1988, 34, 907–927. [Google Scholar] [CrossRef]
- Penner, M.; Hökkä, H.; Penttilä, T. A method for using random parameters in analyzing permanent sample plots. Silva Fenn. 1995, 29, 287–296. [Google Scholar] [CrossRef]
- Ogana, F.N.; Holmström, E.; Sharma, R.P.; Langvall, O.; Nilsson, U. Optimizing height measurement for the long-term forest experiments in Sweden. For. Ecol. Manag. 2023, 532, 120843. [Google Scholar] [CrossRef]
- Patrício, M.S.; Dias, C.R.G.; Nunes, L. Mixed-effects generalized height-diameter model: A tool for forestry management of young sweet chestnut stands. For. Ecol. Manag. 2022, 514, 120209. [Google Scholar] [CrossRef]
- Coonen, E.J.; Sillett, S.C. Separating effects of crown structure and competition for light on trunk growth of Sequoia sempervirens. For. Ecol. Manag. 2015, 358, 26–40. [Google Scholar] [CrossRef]
- Di Salvatore, U.; Marchi, M.; Cantiani, P. Single-tree crown shape and crown volume models for Pinus nigra J. F. Arnold in central Italy. Ann. For. Sci. 2021, 78, 76. [Google Scholar] [CrossRef]
- Zhu, Z.; Kleinn, C.; Nölke, N. Assessing tree crown volume—A review. For. Int. J. For. Res. 2020, 94, 18–35. [Google Scholar] [CrossRef]
- Uhl, E.; Biber, P.; Ulbricht, M.; Heym, M.; Horváth, T.; Lakatos, F.; Gál, J.; Steinacker, L.; Tonon, G.; Ventura, M.; et al. Analysing the effect of stand density and site conditions on structure and growth of Oak species using Nelder trials along an environmental gradient: Experimental design, evaluation methods, and results. For. Ecosyst. 2015, 2, 17. [Google Scholar] [CrossRef]
- Bella, I.E. A new competition model for individual trees. For. Sci. 1971, 17, 364–372. [Google Scholar]
- Fraver, S.; D’Amato, A.W.; Bradford, J.B.; Jonsson, B.G.; Jönsson, M.; Esseen, P.-A. Tree growth and competition in an old-growth Picea abies forest of boreal Sweden: Influence of tree spatial patterning. J. Veg. Sci. 2014, 25, 374–385. [Google Scholar] [CrossRef]
- Paligi, S.S.; Lichter, J.; Kotowska, M.; Schwutke, R.L.; Audisio, M.; Mrak, K.; Penanhoat, A.; Schuldt, B.; Hertel, D.; Leuschner, C. Water status dynamics and drought tolerance of juvenile European beech, Douglas fir and Norway spruce trees as dependent on neighborhood and nitrogen supply. Tree Physiol. 2024, 44, tpae044. [Google Scholar] [CrossRef] [PubMed]
- Salas-Eljatib, C.; Weiskittel, A.R. On studying the patterns of individual-based tree mortality in natural forests: A modelling analysis. For. Ecol. Manag. 2020, 475, 118369. [Google Scholar] [CrossRef]
- Vanderwel, M.C.; Lyutsarev, V.S.; Purves, D.W. Climate-related variation in mortality and recruitment determine regional forest-type distributions. Glob. Ecol. Biogeogr. 2013, 22, 1192–1203. [Google Scholar] [CrossRef]
- Ali, S.S.; Dare, P.; Jones, S.D. Fusion of remotely sensed multispectral imagery and LiDAR data for forest structure assessment at the tree level. In Proceedings of the International Archives of the Photogrammetry, Remote Sensing and Spatial Information Sciences, Beijing, China, 28 August–1 September 2021. [Google Scholar]
- Åkerblom, M.; Kaitaniemi, P. Terrestrial laser scanning: A new standard of forest measuring and modelling? Ann. Bot. 2021, 128, 653–662. [Google Scholar] [CrossRef]
- Calders, K.; Adams, J.; Armston, J.; Bartholomeus, H.; Bauwens, S.; Bentley, L.P.; Chave, J.; Danson, F.M.; Demol, M.; Disney, M.; et al. Terrestrial laser scanning in forest ecology: Expanding the horizon. Remote Sens. Environ. 2020, 251, 112102. [Google Scholar] [CrossRef]





| Lidar Parameter | 2006 | 2010 |
|---|---|---|
| Flying height | 1200 m above ground | 1100 m above ground |
| Scan angle | 7° from nadir | 12° from nadir |
| Pulse density | 8–10/m2 | 8–10/m2 |
| Maximum pulse returns | 4 | 4 |
| Swath width | 295 m | 295 m |
| Total point density, all returns per m2 | 6.88 | 17.35 * |
| Competition Metric | Description | Units |
|---|---|---|
| Crown radius derived from projected crown surface area | m | |
| Crown length, difference between crown highest point and average height of crown boundary points | m | |
| The geometric volume between the crown upper surface and the ground [57] | m3 | |
| Neighborhood stem density for individual focal tree | Number/ha |
| Mixed-Effects Model | Augmented Empirical Model | |||||||
|---|---|---|---|---|---|---|---|---|
| Statistics | Bias | R2 | RMSE | AIC | Bias | R2 | RMSE | AIC |
| Height (m) | 0.03 | 0.92 | 0.92 | −6588.58 | −0.85 | 0.82 | 0.305 | 3400.010 |
| Variables | Statistics | ||
|---|---|---|---|
| Bias | R2 | RMSE | |
| Height (m) | 0.17 | 0.82 | 0.77 |
| Target Fixed Effects | Height (m) | |||
|---|---|---|---|---|
| Est. | SE | T | Sig. | |
| Intercept | 1.029 × 100 | 0.001 | 93.487 | *** |
| Crown volume (CVF) | 1.834 × 10−1 | 0.006 | 26.406 | *** |
| Stem density (SD) | −4.813 × 10−5 | 0.000 | −2.896 | ** |
| CVF × SD | −9.471 × 10−5 | 0.001 | −6.454 | *** |
| Random effect | ||||
| Neighborhood | 0.04600 | 0.214 | - | |
Disclaimer/Publisher’s Note: The statements, opinions and data contained in all publications are solely those of the individual author(s) and contributor(s) and not of MDPI and/or the editor(s). MDPI and/or the editor(s) disclaim responsibility for any injury to people or property resulting from any ideas, methods, instructions or products referred to in the content. |
© 2024 by the authors. Licensee MDPI, Basel, Switzerland. This article is an open access article distributed under the terms and conditions of the Creative Commons Attribution (CC BY) license (https://creativecommons.org/licenses/by/4.0/).
Share and Cite
Salekin, S.; Pont, D.; Dickinson, Y.; Amarasena, S. Spatially Explicit Individual Tree Height Growth Models from Bi-Temporal Aerial Laser Scanning. Remote Sens. 2024, 16, 2270. https://doi.org/10.3390/rs16132270
Salekin S, Pont D, Dickinson Y, Amarasena S. Spatially Explicit Individual Tree Height Growth Models from Bi-Temporal Aerial Laser Scanning. Remote Sensing. 2024; 16(13):2270. https://doi.org/10.3390/rs16132270
Chicago/Turabian StyleSalekin, Serajis, David Pont, Yvette Dickinson, and Sumedha Amarasena. 2024. "Spatially Explicit Individual Tree Height Growth Models from Bi-Temporal Aerial Laser Scanning" Remote Sensing 16, no. 13: 2270. https://doi.org/10.3390/rs16132270
APA StyleSalekin, S., Pont, D., Dickinson, Y., & Amarasena, S. (2024). Spatially Explicit Individual Tree Height Growth Models from Bi-Temporal Aerial Laser Scanning. Remote Sensing, 16(13), 2270. https://doi.org/10.3390/rs16132270

