Scaling Properties of Magnetic Field Fluctuations in the High-Latitude Ionosphere
Abstract
1. Introduction
2. Materials
3. Methods
3.1. Data Processing
3.2. Empirical Mode Decomposition Detrending
3.3. Methods of Analysis
4. Results
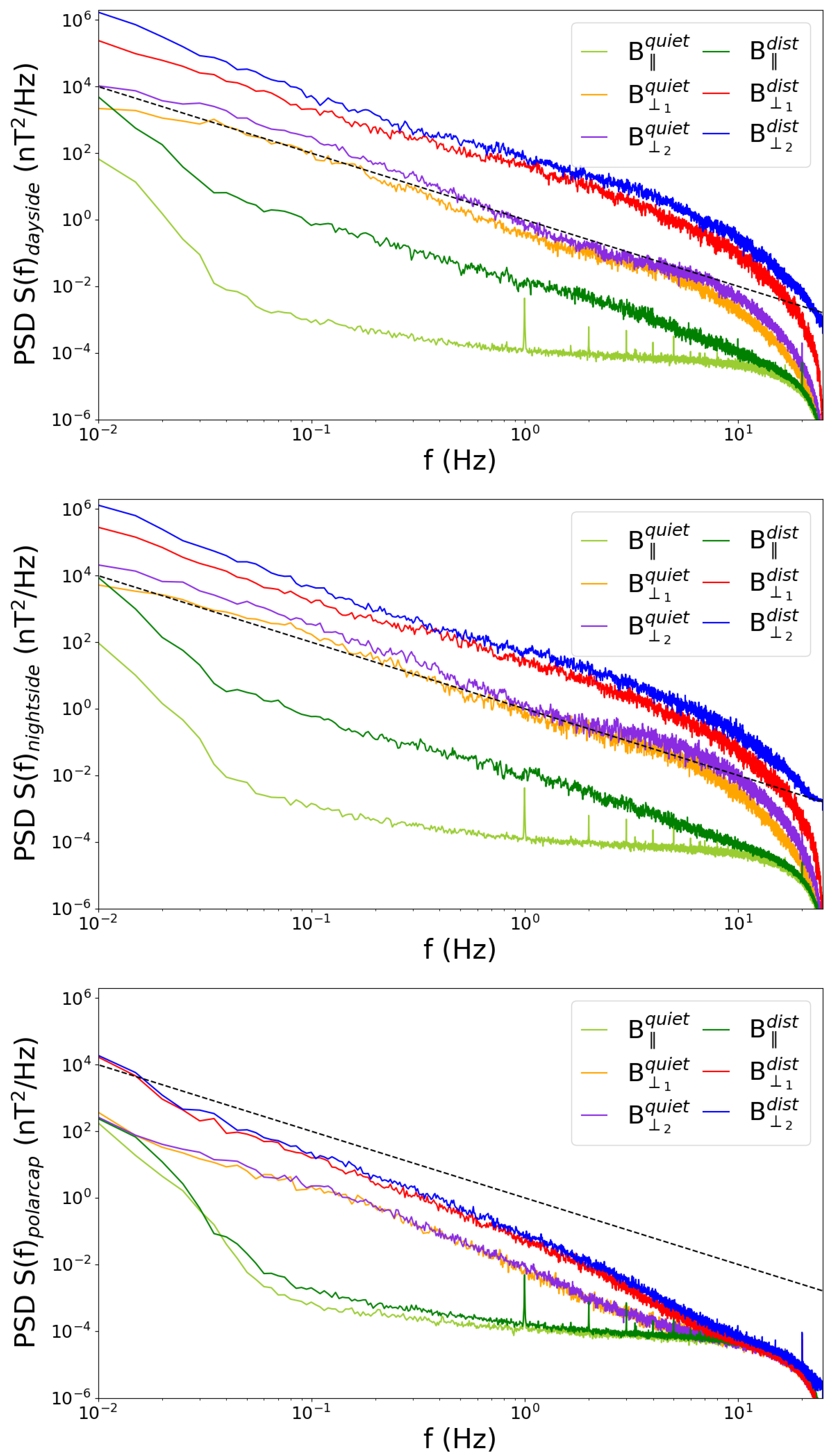
4.1. Spectral Analysis
4.2. Structure Function Analysis
5. Discussion
6. Conclusions
- An evident anisotropy in energy content between magnetic field fluctuations in the plane perpendicular and parallel to the geomagnetic field;
- The energy associated with magnetic field fluctuations in each region greatly increases during disturbed geomagnetic conditions but retain spectral behavior similar to quiet conditions;
- Power-law-like spectra in the plane perpendicular to the geomagnetic field for over two decades in frequency, with spectral indices being dependent on the region.
- Turbulent energy dissipation pattern in FAC regions is a function of both MLT sector and geomagnetic activity. In particular, the latter considerably alters the nature of magnetic field fluctuations, leading to enhanced intermittent turbulent dynamics in disturbed geomagnetic conditions;
- Polar cap regions are characterized by distinct scaling properties with respect to FAC regions, which suggests a different driver of turbulence;
- Asymmetries in the measure of intermittency between hemispheres are mainly observed in quiet conditions, whereas consistent results are obtained in disturbed conditions.
Author Contributions
Funding
Data Availability Statement
Acknowledgments
Conflicts of Interest
Abbreviations
| IMF | Interplanetary Magnetic Field |
| FAC | Field-Aligned Current |
| GPS | Global Positioning System |
| GNSS | Global Navigation Satellite System |
| ASM | Absolute Scalar Magnetometer |
| VFM | Vector Field Magnetometer |
| QD | Quasi Dipole |
| MLT | Magnetic Local Time |
| UTC | Coordinated Universal Time |
| SME | SuperMag Auroral Electrojet |
| EMD | Empirical Mode Decomposition |
| PSD | Power Spectral Density |
References
- Dungey, J.W. Interplanetary Magnetic Field and the Auroral Zones. Phys. Rev. Lett. 1961, 6, 47–48. [Google Scholar] [CrossRef]
- Zmuda, A.J.; Martin, J.H.; Heuring, F.T. Transverse magnetic disturbances at 1100 kilometers in the auroral region. J. Geophys. Res. 1966, 71, 5033–5045. [Google Scholar] [CrossRef]
- Weimer, D.R. Maps of ionospheric field-aligned currents as a function of the interplanetary magnetic field derived from Dynamics Explorer 2 data. J. Geophys. Res. 2001, 106, 12889–12902. [Google Scholar] [CrossRef]
- Liu, H.; Lühr, H. Strong disturbance of the upper thermospheric density due to magnetic storms: CHAMP observations. J. Geophys. Res. (Space Phys.) 2005, 110, A09S29. [Google Scholar] [CrossRef]
- Rother, M.; Schlegel, K.; Lühr, H. CHAMP observation of intense kilometer-scale field-aligned currents, evidence for an ionospheric Alfvén resonator. Ann. Geophys. 2007, 25, 1603–1615. [Google Scholar] [CrossRef]
- Iijima, T.; Fujii, R.; Potemra, T.A.; Saflekos, N.A. Field-aligned currents in the south polar cusp and their relationship to the interplanetary magnetic field. J. Geophys. Res. 1978, 83, 5595–5603. [Google Scholar] [CrossRef]
- Lühr, H.; Warnecke, J.; Zanetti, L.J.; Lindqvist, P.A.; Hughes, T.J. Fine structure of field-aligned current sheets deduced from spacecraft and ground-based observations: Initial FREJA results. Geophys. Res. Lett. 1994, 21, 1883–1886. [Google Scholar] [CrossRef]
- Holappa, L.; Robinson, R.; Pulkkinen, A.; Asikainen, T.; Mursula, K. Explicit IMF by-dependence in geomagnetic activity: Quantifying ionospheric electrodynamics. J. Geophys. Res. Space Phys. 2021, 126, e2021JA029202. [Google Scholar] [CrossRef]
- Ritter, P.; Lühr, H. Curl-B technique applied to Swarm constellation for determining field-aligned currents. Earth Planets Space 2006, 58, 463–476. [Google Scholar] [CrossRef]
- Neubert, T.; Christiansen, F. Small-scale, field-aligned currents at the top-side ionosphere. Geophys. Res. Lett. 2003, 30, 2010. [Google Scholar] [CrossRef]
- Consolini, G.; De Michelis, P.; Alberti, T.; Giannattasio, F.; Coco, I.; Tozzi, R.; Chang, T.T.S. On the Multifractal Features of Low-Frequency Magnetic Field Fluctuations in the Field-Aligned Current Ionospheric Polar Regions: Swarm Observations. J. Geophys. Res. (Space Phys.) 2020, 125, e27429. [Google Scholar] [CrossRef]
- Kintner, P.M., Jr. Observations of velocity shear driven plasma turbulence. J. Geophys. Res. 1976, 81, 5114–5122. [Google Scholar] [CrossRef]
- Chang, T.; Tam, S.W.Y.; Wu, C.C. Complexity induced anisotropic bimodal intermittent turbulence in space plasmas. Phys. Plasmas 2004, 11, 1287–1299. [Google Scholar] [CrossRef]
- Bruno, R.; Carbone, V. Turbulence in the Solar Wind; Springer: Cham, Switzerland, 2016; Volume 928. [Google Scholar] [CrossRef]
- Pezzopane, M.; Pignalberi, A.; Coco, I.; Consolini, G.; De Michelis, P.; Giannattasio, F.; Marcucci, M.F.; Tozzi, R. Occurrence of GPS Loss of Lock Based on a Swarm Half-Solar Cycle Dataset and Its Relation to the Background Ionosphere. Remote Sens. 2021, 13, 2209. [Google Scholar] [CrossRef]
- De Michelis, P.; Consolini, G.; Pignalberi, A.; Lovati, G.; Pezzopane, M.; Tozzi, R.; Giannattasio, F.; Coco, I.; Marcucci, M.F. Ionospheric Turbulence: A Challenge for GPS Loss of Lock Understanding. Space Weather 2022, 20, e2022SW003129. [Google Scholar] [CrossRef]
- De Michelis, P.; Consolini, G.; Tozzi, R. Magnetic field fluctuation features at Swarm’s altitude: A fractal approach. Geophys. Res. Lett. 2015, 42, 3100–3105. [Google Scholar] [CrossRef]
- Kozelov, B.V.; Golovchanskaya, I.V. Scaling of electric field fluctuations associated with the aurora during northward IMF. Geophys. Res. Lett. 2006, 33, L20109. [Google Scholar] [CrossRef]
- Spicher, A.; Miloch, W.J.; Clausen, L.B.N.; Moen, J.I. Plasma turbulence and coherent structures in the polar cap observed by the ICI-2 sounding rocket. J. Geophys. Res. (Space Phys.) 2015, 120, 10959–10978. [Google Scholar] [CrossRef]
- Tam, S.W.Y.; Chang, T.; Kintner, P.M.; Klatt, E. Intermittency analyses on the SIERRA measurements of the electric field fluctuations in the auroral zone. Geophys. Res. Lett. 2005, 32, L05109. [Google Scholar] [CrossRef]
- De Michelis, P.; Tozzi, R.; Consolini, G.; Coco, I.; Marcucci, M.F.; Giannattasio, F. Dependence of Polar Ionosphere Electron Density Features on IMF Orientation: Swarm Observations. In Proceedings of the AGU Fall Meeting Abstracts, San Francisco, CA, USA, 9–13 December 2019; Volume 2019, p. SM41A-02. [Google Scholar]
- Consolini, G.; Tozzi, R.; De Michelis, P.; Coco, I.; Giannattasio, F.; Pezzopane, M.; Marcucci, M.F.; Balasis, G. High-latitude polar pattern of ionospheric electron density: Scaling features and IMF dependence. J. Atmos. Sol.-Terr. Phys. 2021, 217, 105531. [Google Scholar] [CrossRef]
- Golovchanskaya, I.V.; Kozelov, B.V. On the origin of electric turbulence in the polar cap ionosphere. J. Geophys. Res. (Space Phys.) 2010, 115, A09321. [Google Scholar] [CrossRef]
- Abel, G.A.; Freeman, M.P.; Chisham, G.; Watkins, N.W. Investigating turbulent structure of ionospheric plasma velocity using the Halley SuperDARN radar. Nonlinear Process. Geophys. 2007, 14, 799–809. [Google Scholar] [CrossRef]
- Golovchanskaya, I.V.; Ostapenko, A.A.; Kozelov, B.V. Relationship between the high-latitude electric and magnetic turbulence and the Birkeland field-aligned currents. J. Geophys. Res. (Space Phys.) 2006, 111, A12301. [Google Scholar] [CrossRef]
- Abel, G.A.; Freeman, M.P.; Chisham, G. IMF clock angle control of multifractality in ionospheric velocity fluctuations. Geophys. Res. Lett. 2009, 36, L19102. [Google Scholar] [CrossRef]
- Kozelov, B.V.; Golovchanskaya, I.V.; Ostapenko, A.A.; Fedorenko, Y.V. Wavelet analysis of high-latitude electric and magnetic fluctuations observed by the Dynamic Explorer 2 satellite. J. Geophys. Res. (Space Phys.) 2008, 113, A03308. [Google Scholar] [CrossRef]
- De Michelis, P.; Consolini, G.; Tozzi, R.; Marcucci, M.F. Scaling Features of High-Latitude Geomagnetic Field Fluctuations at Swarm Altitude: Impact of IMF Orientation. J. Geophys. Res. (Space Phys.) 2017, 122, 10548–10562. [Google Scholar] [CrossRef]
- Friis-Christensen, E.; Lühr, H.; Hulot, G. Swarm: A constellation to study the Earth’s magnetic field. Earth Planets Space 2006, 58, 351–358. [Google Scholar] [CrossRef]
- Knudsen, D.J.; Burchill, J.K.; Buchert, S.C.; Eriksson, A.I.; Gill, R.; Wahlund, J.E.; Öhlen, L.; Smith, M.; Moffat, B. Thermal ion imagers and Langmuir probes in the Swarm electric field instruments. J. Geophys. Res. (Space Phys.) 2017, 122, 2655–2673. [Google Scholar] [CrossRef]
- Ritter, P.; Lühr, H.; Rauberg, J. Determining field-aligned currents with the Swarm constellation mission. Earth Planets Space 2013, 65, 1285–1294. [Google Scholar] [CrossRef]
- Gjerloev, J.W. The SuperMAG data processing technique. J. Geophys. Res. (Space Phys.) 2012, 117, A09213. [Google Scholar] [CrossRef]
- Matzka, J.; Stolle, C.; Yamazaki, Y.; Bronkalla, O.; Morschhauser, A. The Geomagnetic Kp Index and Derived Indices of Geomagnetic Activity. Space Weather 2021, 19, e2020SW002641. [Google Scholar] [CrossRef]
- Newell, P.; Gjerloev, J. Substorm and Magnetosphere Characteristic Scales Inferred from the SuperMAG Auroral Electrojet Indices. In Proceedings of the EGU General Assembly Conference Abstracts, Vienna, Austria, 22–27 April 2012; p. 1381. [Google Scholar]
- Finlay, C.C.; Kloss, C.; Olsen, N.; Hammer, M.D.; Tøffner-Clausen, L.; Grayver, A.; Kuvshinov, A. The CHAOS-7 geomagnetic field model and observed changes in the South Atlantic Anomaly. Earth Planets Space 2020, 72, 156. [Google Scholar] [CrossRef] [PubMed]
- Olsen, N. A new tool for determining ionospheric currents from magnetic satellite data. Geophys. Res. Lett. 1996, 23, 3635–3638. [Google Scholar] [CrossRef]
- Papini, E.; Piersanti, M.; D’Angelo, G.; Cicone, A.; Bertello, I.; Parmentier, A.; Diego, P.; Ubertini, P.; Consolini, G.; Zhima, Z. Detecting the Auroral Oval through CSES-01 Electric Field Measurements in the Ionosphere. Remote Sens. 2023, 15, 1568. [Google Scholar] [CrossRef]
- Huang, N.E.; Shen, Z.; Long, S.R.; Wu, M.C.; Shih, H.H.; Zheng, Q.; Yen, N.C.; Tung, C.C.; Liu, H.H. The empirical mode decomposition and the Hilbert spectrum for nonlinear and non-stationary time series analysis. Proc. R. Soc. Lond. Ser. A 1998, 454, 903–998. [Google Scholar] [CrossRef]
- Frisch, U. Turbulence. The Legacy of A.N. Kolmogorov; Cambridge University Press: Cambridge, UK, 1995. [Google Scholar]
- Dudok de Wit, T.; Krasnosel’skikh, V.V. Non-Gaussian statistics in space plasma turbulence: Fractal properties and pitfalls. Nonlinear Process. Geophys. 1996, 3, 262–273. [Google Scholar] [CrossRef]
- Biskamp, D. Magnetohydrodynamic Turbulence; Cambridge University Press: Cambridge, UK, 2003. [Google Scholar]
- Anselmet, F.; Gagne, Y.; Hopfinger, E.J.; Antonia, R.A. High-order velocity structure functions in turbulent shear flows. J. Fluid Mech. 1984, 140, 63–89. [Google Scholar] [CrossRef]
- Taylor, G.I. The Spectrum of Turbulence. Proc. R. Soc. Lond. Ser. A 1938, 164, 476–490. [Google Scholar] [CrossRef]
- Chaston, C.C.; Salem, C.; Bonnell, J.W.; Carlson, C.W.; Ergun, R.E.; Strangeway, R.J.; McFadden, J.P. The Turbulent Alfvénic Aurora. Phys. Rev. Lett. 2008, 100, 175003. [Google Scholar] [CrossRef] [PubMed]
- Giannattasio, F.; Consolini, G.; Coco, I.; De Michelis, P.; Pezzopane, M.; Pignalberi, A.; Tozzi, R. Dissipation of field-aligned currents in the topside ionosphere. Sci. Rep. 2022, 12, 17202. [Google Scholar] [CrossRef] [PubMed]
- Alberti, T.; Benella, S.; Carbone, V.; Consolini, G.; Quattrociocchi, V.; Stumpo, M. Contrasting Scaling Properties of Near-Sun Sub-Alfvénic and Super-Alfvénic Regions. Universe 2022, 8, 338. [Google Scholar] [CrossRef]









| DD/MM/YY | UT | (nT) | |
|---|---|---|---|
| Disturbed conditions | |||
| 23/06/2015 | 12:00–12:00+1 | 6+ | 1145 |
| 09/09/2015 | 02:00–23:00 | 5 | 1214 |
| 07/10/2015 | 02:00–23:00 | 6− | 943 |
| 20/12/2015 | 03:00–23:00 | 6 | 1100 |
| 08/05/2016 | 01:00–23:00 | 5+ | 1025 |
| 13/10/2016 | 10:00–9:00+1 | 5 | 953 |
| 25/10/2016 | 09:00–23:59 | 5+ | 900 |
| 27/05/2017 | 22:00–12:00+1 | 6 | 1381 |
| 07/09/2017 | 21:00–21:00+1 | 6+ | 1218 |
| 27/09/2017 | 18:00–9:00+1 | 6− | 948 |
| 26/08/2018 | 00:00–21:00 | 6− | 981 |
| 12/10/2021 | 00:00–16:00 | 5 | 871 |
| 03/11/2021 | 21:00–15:00 | 6+ | 1118 |
| 04/09/2022 | 01:00–23:59 | 6− | 928 |
| 27/02/2023 | 00:00–22:00 | 6+ | 921 |
| Quiet conditions | |||
| 23/09/2016 | 00:00–23:59 | 0+ | 49 |
| 09/10/2017 | 03:00–23:59 | 0 | 54 |
| 26/11/2018 | 06:00–23:59 | 0 | 42 |
| 24/03/2019 | 00:00–23.59 | 0 | 33 |
| 14/10/2020 | 00:00–23:59 | 0 | 40 |
| 10/11/2020 | 05:00–23:59 | 0+ | 55 |
| 01/12/2020 | 05:00–22:00 | 0 | 45 |
| 02/01/2021 | 00:00–23:59 | 0 | 69 |
| 14/01/2021 | 00:00–18:00 | 0+ | 36 |
| 31/01/2021 | 05:00–22:00 | 0 | 48 |
| 29/10/2021 | 00:00–15:00 | 0 | 42 |
Disclaimer/Publisher’s Note: The statements, opinions and data contained in all publications are solely those of the individual author(s) and contributor(s) and not of MDPI and/or the editor(s). MDPI and/or the editor(s) disclaim responsibility for any injury to people or property resulting from any ideas, methods, instructions or products referred to in the content. |
© 2024 by the authors. Licensee MDPI, Basel, Switzerland. This article is an open access article distributed under the terms and conditions of the Creative Commons Attribution (CC BY) license (https://creativecommons.org/licenses/by/4.0/).
Share and Cite
Mestici, S.; Giannattasio, F.; De Michelis, P.; Berrilli, F.; Consolini, G. Scaling Properties of Magnetic Field Fluctuations in the High-Latitude Ionosphere. Remote Sens. 2024, 16, 1928. https://doi.org/10.3390/rs16111928
Mestici S, Giannattasio F, De Michelis P, Berrilli F, Consolini G. Scaling Properties of Magnetic Field Fluctuations in the High-Latitude Ionosphere. Remote Sensing. 2024; 16(11):1928. https://doi.org/10.3390/rs16111928
Chicago/Turabian StyleMestici, Simone, Fabio Giannattasio, Paola De Michelis, Francesco Berrilli, and Giuseppe Consolini. 2024. "Scaling Properties of Magnetic Field Fluctuations in the High-Latitude Ionosphere" Remote Sensing 16, no. 11: 1928. https://doi.org/10.3390/rs16111928
APA StyleMestici, S., Giannattasio, F., De Michelis, P., Berrilli, F., & Consolini, G. (2024). Scaling Properties of Magnetic Field Fluctuations in the High-Latitude Ionosphere. Remote Sensing, 16(11), 1928. https://doi.org/10.3390/rs16111928

