Can the Accuracy of Fine-Resolution Precipitation Products Be Assessed from the Surrounding Water Balance and Drought Chain (WBDC) in the Qinghai–Tibetan Plateau?
Abstract
:1. Introduction
2. Materials and Methods
2.1. “Down to Top” Surrounding Assessment Methodology
2.2. The Framework for Precipitation Product Assessment
2.3. Study Area
2.4. High-Resolution Precipitation Product Materials
2.4.1. Gauge Rainfall Observation in the Central and Western Tibetan Plateau
2.4.2. Precipitation Products
2.5. Other Datasets
2.5.1. Evapotranspiration
- ERA5-land monthly total evaporation products [31] and ERA5 monthly total evaporation products were downloaded from Copernicus Climate Data Store https://cds.climate.copernicus.eu/cdsapp#!/home (accessed on 21 December 2023)
- ETMonitor Global actual evapotranspiration dataset 1-km resolution [39] from 2001–2018 was downloaded from https://www.tpdc.ac.cn/. DOI:10.11888/Hydro.tpdc.270298.CSTR:18406.11.Hydro.tpdc.270298 (accessed on 21 December 2023)
- Monthly mean evapotranspiration dataset for the Tibet Plateau (2001–2018) [40] was downloaded from https://www.tpdc.ac.cn/. DOI:10.11888/Hydro.tpdc.270995.CSTR: 18406.11.Hydro.tpdc.270995 (accessed on 21 December 2023)
- GLDAS Noah Land Surface Model L4 0.25 × 0.25-degree V2.1 evapotranspiration dataset [41], which forces the combination of model and observation data, was downloaded from the Goddard Earth Sciences Data and Information Services Center https://disc.gsfc.nasa.gov/datasets/GLDASNOAH025M2.1/summary?keywords=gldas (accessed on 21 December 2023)
2.5.2. Runoff Dataset
2.5.3. Microwave Remote Sensing-Based Soil Moisture Dataset
2.5.4. Vegetation Remote Sensing and Survey Dataset
2.6. Drought Indices
2.6.1. Precipitation-Based Index
- 5.
- Calculate the monthly EP (Equation (2)).
- 6.
- Calculate the mean () for each month.
- 7.
- Calculate the difference between the and , which is (Equation (3)).
- 8.
- When the is represented by a negative number, it indicates conditions drier than the average. If this dry period continues, add the days of prolonged dryness to the existing period and recalculate the for that specific period.
- 9.
- Calculate the and again.
- 10.
- Divide the monthly using the standard deviation () of the over the past years (Equation (4)).
2.6.2. Soil Moisture-Based Index
2.6.3. MODIS Vegetation-Based Index
2.7. Statistical Methodology
2.7.1. Assessment Indices
2.7.2. Predictors for Correlation Estimations
3. Results
3.1. Validation Based on Rain Gauge Observations
3.2. Evaluation of Precipitation Climatology in QTP Based on Water Balance Principles
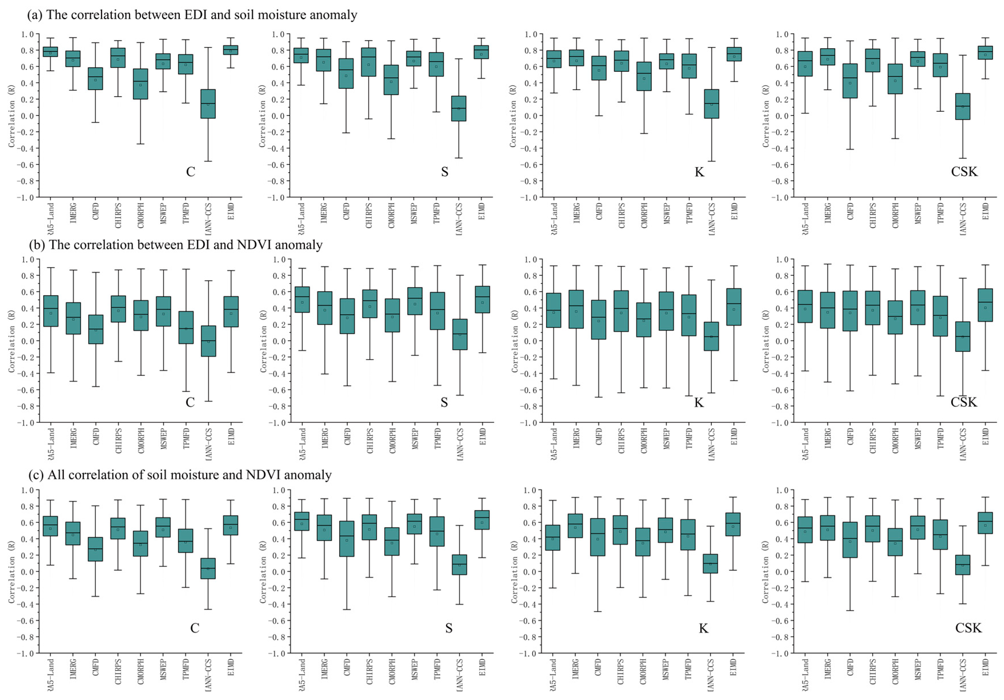
3.3. Evaluation of Precipitation Product Correlation for the QTP Based on Drought Chains
3.4. Comprehensive Evaluation of Precipitation Products
4. Discussion
4.1. The Water Balance Method for Estimating Precipitation Accuracy
4.2. The Drought Chain Method for Estimating Precipitation Accuracy
4.3. Comprehensive Evaluation of Precipitation Products
5. Conclusions
Author Contributions
Funding
Data Availability Statement
Acknowledgments
Conflicts of Interest
References
- Yao, T.; Bolch, T.; Chen, D.; Gao, J.; Immerzeel, W.W.; Piao, S.; Su, F.; Thompson, L.G.; Wada, Y.; Wang, L.; et al. The imbalance of the Asian water tower. Nat. Rev. Earth Environ. 2022, 3, 618–632. [Google Scholar] [CrossRef]
- Shiyi, L. The contemporary glaciers in China based on the second Chinese glacier inventor. Acta Geogr. Sin. 2015, 70, 3–16. [Google Scholar]
- Zhan, C.; Chen, Y.; Yang, K.; La, Z.; Zhou, X.; Jiang, Y.; Ling, X.; Tian, J.; Wang, Y.; Li, X.; et al. First evaluation of GPM-era satellite precipitation products with new observations on the western Tibetan plateau. Atmos. Res. 2023, 283, 106559. [Google Scholar] [CrossRef]
- Liu, J. Study on Spatial and Temporal Variation of the Boundary and Area of the Semi-Arid Region in Northern China over the Past 60 Years. Master’s Dissertation, Northwest University, Xi’an, China, 2019. [Google Scholar]
- Tong, K.; Su, F.; Yang, D.; Hao, Z. Evaluation of satellite precipitation retrievals and their potential utilities in hydrologic modeling over the Tibetan Plateau. J. Hydrol. 2014, 519, 423–437. [Google Scholar] [CrossRef]
- Sun, Q.; Miao, C.; Duan, Q.; Ashouri, H.; Sorooshian, S.; Hsu, K. A Review of Global Precipitation Data Sets: Data Sources, Estimation, and Intercomparisons. Rev. Geophys. 2018, 56, 107–179. [Google Scholar] [CrossRef]
- Lanza, L.G.; Stagi, L. Certified accuracy of rainfall data as a standard requirement in scientific investigations. Adv. Geosci. 2008, 16, 43–48. [Google Scholar] [CrossRef]
- Brunetti, M.; Maugeri, M.; Monti, F.; Nanni, T. Temperature and precipitation variability in Italy in the last two centuries from homogenised instrumental time series. Int. J. Climatol. 2006, 26, 345–381. [Google Scholar] [CrossRef]
- Herrera, S.; Kotlarski, S.; Soares, P.M.M.; Cardoso, R.M.; Jaczewski, A.; Gutiérrez, J.M.; Maraun, D. Uncertainty in gridded precipitation products: Influence of station density, interpolation method and grid resolution. Int. J. Climatol. 2019, 39, 3717–3729. [Google Scholar] [CrossRef]
- Merino, A.; García-Ortega, E.; Navarro, A.; Fernández-González, S.; Tapiador, F.J.; Sánchez, J.L. Evaluation of gridded rain-gauge-based precipitation datasets: Impact of station density, spatial resolution, altitude gradient and climate. Int. J. Climatol. 2021, 41, 3027–3043. [Google Scholar] [CrossRef]
- Yang, K.; Chen, Y.; Zhan, C.; Ling, X.; Zhou, X.; Jiang, Y.; Yao, X.; Lu, H.; Ma, X.; Ouyang, L.; et al. Cross-sectional rainfall observation on the central-western Tibetan plateau in the warm season: System design and preliminary results. Sci. China Earth Sci. 2023, 66, 1015–1030. [Google Scholar] [CrossRef]
- Marek, R. Der Wasserhaushalt im Murgebiete. (Ein Beitrag zur Hydrographie der Mur). Mitteilungen Des Naturwissenschaftlichen Ver. Für Steiermark 1901, 37, 3–57. Available online: https://www.zobodat.at/pdf/MittNatVerSt_37_0003-0057.pdf (accessed on 21 December 2023).
- Kirchner, J.W. Catchments as simple dynamical systems: Catchment characterization, rainfall-runoff modeling, and doing hydrology backward. Water Resour. Res. 2009, 45, W02429. [Google Scholar] [CrossRef]
- Álvarez-Garretón, C.; Beck, H.E.; Wood, E.F.; McVicar, T.R.; Zambrano-Bigiarini, M.; Baez-Villanueva, O.M.; Sheffield, J.; Karger, D.N. Bias correction of global high-resolution precipitation climatologies using streamflow observations from 9372 catchments. J. Clim. 2019, 33, 1299–1315. [Google Scholar]
- Yao, N.; Li, Y.; Lei, T.; Peng, L. Drought evolution, severity and trends in mainland China over 1961–2013. Sci. Total Environ. 2018, 616–617, 73–89. [Google Scholar] [CrossRef] [PubMed]
- Zhu, Y.; Zhang, H.; Ding, M.; Li, L.; Zhang, Y. The multiple perspective response of vegetation to drought on the Qinghai Tibetan plateau. Remote Sens. 2023, 15, 902. [Google Scholar] [CrossRef]
- Wu, W.; Li, Y.; Luo, X.; Zhang, Y.; Ji, X.; Li, X. Performance evaluation of the CHIRPS precipitation dataset and its utility in drought monitoring over Yunnan Province, China. Geomat. Nat. Hazards Risk 2019, 10, 2145–2162. [Google Scholar] [CrossRef]
- Yu, L.; Leng, G.; Python, A. A comprehensive validation for GPM IMERG precipitation products to detect extremes and drought over mainland China. Weather Clim. Extrem. 2022, 36, 100458. [Google Scholar] [CrossRef]
- Bai, X.; Shen, W.; Wu, X.; Wang, P. Applicability of long-term satellite-based precipitation products for drought indices considering global warming. Environ. Manag. 2019, 255, 109846. [Google Scholar] [CrossRef]
- Sharma, S.; Khadka, N.; Hamal, K.; Shrestha, D.; Talchabhadel, R.; Chen, Y. How Accurately Can Satellite Products (TMPA and IMERG) Detect Precipitation Patterns, Extremities, and Drought Across the Nepalese Himalaya? Earth Space Sci. 2020, 7, e2020EA001315. [Google Scholar] [CrossRef]
- Wilhite, D.A.; Glantz, M.H. Understanding: The drought phenomenon: The role of definitions. Water Int. 1985, 10, 111–120. [Google Scholar] [CrossRef]
- Li, R.; Tsunekawa, A.; Tsubo, M. Index-based assessment of agricultural drought in a semi-arid region of inner Mongolia, China. J. Arid Land 2014, 6, 3–15. [Google Scholar] [CrossRef]
- Hu, F.M.; Wei, Z.S.; Yang, X.N.; Xie, W.J.; Li, Y.X.; Cui, C.L.; Yang, B.B.; Tao, C.X.; Zhang, W.; Meng, L.K. Assessment of SMAP and SMOS soil moisture products using triple collocation method over Inner Mongolia. J. Hydrol. Reg. Stud. 2022, 40, 101027. [Google Scholar] [CrossRef]
- Kogan, F.N. Global drought and flood-watch from NOAA polar-orbiting satellites. Adv. Space Res. 1998, 21, 477–480. [Google Scholar] [CrossRef]
- Zheng, H.; Yang, Z.L.; Lin, P.; Wei, J.; Wu, W.Y.; Li, L.; Zhao, L.; Wang, S. On the Sensitivity of the Precipitation Partitioning Into Evapotranspiration and Runoff in Land Surface Parameterizations. Water Resour. Res. 2019, 55, 111–195. [Google Scholar] [CrossRef]
- Akbar, R.; Gianotti, D.J.S.; Salvucci, G.D.; Entekhabi, D. Partitioning of Historical Precipitation Into Evaporation and Runoff Based on Hydrologic Dynamics Identified with Recent SMAP Satellite Measurements. Water Resour. Res. 2020, 56, e2020WR027307. [Google Scholar] [CrossRef]
- Hare, F.K. Drought and desiccation-Twin hazards of a variable climate. In Planning for Drought; Whilhite, D., Easterling, W., Wood, D., Eds.; Westview Press: Boulder, CO, USA, 1987; pp. 3–9. [Google Scholar]
- Georg, M.; Sabine, K.; Kaiser, J.; Liu, X.; Zhao, X. Status and Dynamics of the Kobresia Pygmaea Ecosystem on the Tibetan Plateau. Ambio 2008, 37, 272–279. [Google Scholar]
- Pen-Chao, K.; Sun, Y.H. A preliminary study on the classification, distribution and ecological nature of genus Stipa L. of China. Acta Phytotaxon. Sin. 1982, 20, 34–44. [Google Scholar]
- Lu, S.L.; Wu, Z.L. On Geographical Distribution of the Genus Stipa L. in China. Acta Phytotaxon. Sin. 1996, 34, 242–253. [Google Scholar]
- Muñoz Sabater, J.; Dutra, E.; Agustí-Panareda, A.; Albergel, C.; Arduini, G.; Balsamo, G.; Boussetta, S.; Choulga, M.; Harrigan, S.; Hersbach, H.; et al. ERA5-land: A state-of-the-art global reanalysis dataset for land applications. Earth Syst. Sci. Data 2021, 13, 4349–4383. [Google Scholar] [CrossRef]
- Huffman, G.J.; Bolvin, D.T.; Nelkin, E.J.; Tan, J. Integrated Multi-Satellite Retrievals for GPM (IMERG) technical documentation. NASA Technol. Doc. 2019, 612, 1–77. Available online: https://pmm.nasa.gov/sites/default/files/document_files/IMERG_doc_190909.pdf (accessed on 21 December 2023).
- He, J.; Yang, K.; Tang, W.; Lu, H.; Qin, J.; Chen, Y.; Li, X. The first high-resolution meteorological forcing dataset for land process studies over China. Sci. Data 2020, 7, 25. [Google Scholar] [CrossRef] [PubMed]
- Hong, Y.; Hsu, K.-L.; Sorooshian, S.; Gao, X. Precipitation estimation from remotely sensed imagery using an artificial neural network cloud classification system. J. Appl. Meteor. 2004, 43, 1834–1853. [Google Scholar] [CrossRef]
- Jiang, Y.; Yang, K.; Shao, C.; Zhou, X.; Zhao, L.; Chen, Y.; Wu, H. A downscaling approach for constructing high-resolution precipitation dataset over the Tibetan Plateau from ERA5 reanalysis. Atmos. Res. 2021, 256, 105574. [Google Scholar] [CrossRef]
- Beck, H.E.; Wood, E.F.; Pan, M.; Fisher, C.K.; Miralles, D.M.; van Dijk, A.I.J.M.; McVicar, T.R.; Adler, R.F. MSWEP V2 global 3-hourly 0.1° precipitation: Methodology and quantitative assessment. Bull. Am. Meteorol. Soc. 2019, 100, 473–500. [Google Scholar] [CrossRef]
- Funk, C.; Peterson, P.; Landsfeld, M.; Pedreros, D.H.; Verdin, J.P.; Shukla, S.; Husak, G.; Rowland, J.; Harrison, L.; Hoell, A.; et al. The climate hazards infrared precipitation with stations—A new environmental record for monitoring extremes. Sci. Data 2015, 2, 150066. [Google Scholar] [CrossRef] [PubMed]
- Xie, P.; Joyce, R.; Wu, S.; Yoo, S.; Yarosh, Y.; Sun, F.; Lin, R. Reprocessed, bias-corrected CMORPH global high-resolution precipitation estimates from 1998. J. Hydrometeorol. 2017, 18, 1617–1641. [Google Scholar] [CrossRef]
- Zheng, C.L.; Jia, L.; Hu, G.C. Global land surface evapotranspiration monitoring by ETMonitor model driven by multi-source satellite earth observations. J. Hydrol. 2022, 613, 128444. [Google Scholar] [CrossRef]
- Han, X.; Wu, J.; Zhou, H.; Liu, L.; Yang, J.; Shen, Q.; Wu, J. Intensification of Historical Drought over China Based on a Multi-model Drought Index. Int. J. Climatol. 2020, 40, 5407–5419. [Google Scholar] [CrossRef]
- Rodell, M.; Houser, P.R.; Jambor, U.; Gottschalck, J.; Mitchell, K.E.; Meng, C.; Arsenault, K.R.; Cosgrove, B.; Radakovich, J.D.; Bosilovich, M.G.; et al. The Global Land Data Assimilation System. Bull. Am. Meteorol. Soc. 2004, 85, 381–394. [Google Scholar] [CrossRef]
- Bai, P.; Liu, X. Intercomparison and evaluation of three global high-resolution evapotranspiration products across China. J. Hydrol. 2018, 566, 743–755. [Google Scholar] [CrossRef]
- Byun, H.-R.; Wilhite, D.A. Objective quantification of drought severity and duration. J. Clim. 1999, 12, 2747–2756. [Google Scholar] [CrossRef]
- Yong, B.; Wang, C.; Chen, J.; Chen, J.; Wang, T.; Li, L.; Barry, D.A. Missing water from the Qiangtang Basin on the Tibetan Plateau. Geology 2020, 49, 867–872. [Google Scholar] [CrossRef]
- Tang, Q.; Lan, C.; Su, F.; Liu, X.; Sun, H.; Ding, J.; Wang, L.; Leng, G.; Zhang, Y.; Sang, Y.; et al. Streamflow change on the Qinghai-Tibet Plateau and its impacts. Chin. Sci. Bull. 2019, 64, 2807–2821. [Google Scholar]
- Weligamage, H.G.; Fowler, K.; Tim, J.P.; Saft, M.; Murray, C.P.; Ryu, D. Partitioning of Precipitation into Terrestrial Water Balance Components under a Drying Climate. Water Resour. Res. 2023, 59, e2022WR033538. [Google Scholar] [CrossRef]
- Lei, Y.; Li, R.; Husi, L.; Shi, J. Seasonal variations of recharge-storage-runoff process over the Tibetan Plateau. J. Hydrometeorol. 2023, 24, 1619–1633. [Google Scholar] [CrossRef]
- Camici, S.; Christian, M.; Luca, C.; Ivan, M.; Luca, L.B. Which rainfall score is more informative about the performance in river discharge simulation? A comprehensive assessment on 1318 basins over Europe. Hydrol. Earth Syst. Sci. 2020, 24, 4869–4885. [Google Scholar] [CrossRef]
- Liu, J.; Chai, L.; Lu, Z.; Liu, S.; Qu, Y.; Geng, D.; Song, Y.; Guan, Y.; Guo, Z.; Wang, J.; et al. Evaluation of SMAP, SMOS-IC, FY3B, JAXA, and LPRM Soil Moisture Products over the Qinghai-Tibet Plateau and Its Surrounding Areas. Remote Sens. 2019, 11, 792. [Google Scholar] [CrossRef]
- Zhang, Y.; Huang, Y.; Xu, H.; Wang, S.; Long, T.; Zhao, Q. Evaluation of Precipitation Frequency and Intensity as Estimated by the GPM IMERG Precipitation Product at Daily and Hourly Scales over the Tibetan Plateau. Atmosphere 2023, 14, 1653. [Google Scholar] [CrossRef]
- Aksu, H.; Taflan, G.Y.; Yaldiz, S.G.; Akgl, M.A. Evaluation of IMERG for GPM satellite-based precipitation products for extreme precipitation indices over Turkiye. Atmos. Res. 2023, 291, 106826. [Google Scholar] [CrossRef]
- Li, R.; Wang, J.; Zhao, T.; Shi, J. Index-based Evaluation of Vegetation Response to Meteorological Drought in Northern China. Nat. Hazard 2016, 84, 2179–2193. [Google Scholar] [CrossRef]
- Liu, Y.; Wu, C.; Jassal, R.S.; Wang, X.; Shang, R. Satellite Observed Land Surface Greening in Summer Controlled by the Precipitation Frequency Rather Than Its Total Over Tibetan Plateau. Earths Future 2022, 10, e2022EF002760. [Google Scholar] [CrossRef]
- Serrano, S.M.; Gouveia, C.M.; Camarero, J.J.; Beguería, S.; Trigo, R.M.; López-Moreno, J.I.; Azorín-Molina, C.; Pasho, E.; Lorenzo-Lacruz, J.; Revuelto, J.; et al. Drought Impacts on Vegetation Activity, Growth and Primary Production in Humid and Arid Ecoystems. In Cambio Climático. Extremos e Impactos: Ponencias Presentadas al VIII Congreso Internacional de la Asociación Española de Climatología, Asociación Española de Climatología. 2012, pp. 691–699. Available online: https://digital.csic.es/bitstream/10261/126669/1/44-Extremos.pdf (accessed on 21 December 2023).
- Wang, P.; Huang, K.; Hu, S. Distinct fine-root responses to precipitation changes in herbaceous and woody plants: A meta-analysis. New Phytol. 2020, 225, 1491–1499. [Google Scholar] [CrossRef] [PubMed]
- Zhang, G.; Chen, W.; Xie, H. Tibetan Plateau’s lake level and volume changes from NASA’s ICESat/ICESat-2 and Landsat Missions. Geophys. Res. Lett. 2019, 46, 13107–13118. [Google Scholar] [CrossRef]
- Kaya, Y.; Sanli, F.B.; Abdikan, S. Determination of long-term volume change in lakes by integration of UAV and satellite data: The case of Lake Burdur in Türkiye. Environ. Sci. Pollut. Res. Int. 2023, 30, 117729–117747. [Google Scholar] [CrossRef] [PubMed]
- Ghorbanian, A.; Mohammadzadeh, A.; Jamali, S.; Duan, Z. Performance Evaluation of Six Gridded Precipitation Products throughout Iran Using Ground Observations over the Last Two Decades (2000–2020). Remote Sens. 2022, 14, 3783. [Google Scholar] [CrossRef]
- Bai, L.; Wen, Y.; Shi, C.; Yang, Y.; Zhang, F.; Wu, J.; Gu, J.; Pan, Y.; Sun, S.; Meng, J. Which Precipitation Product Works Best in the Qinghai-Tibet Plateau, Multi-Source Blended Data, Global/Regional Reanalysis Data, or Satellite Retrieved Precipitation Data? Remote. Sens. 2020, 12, 683. [Google Scholar] [CrossRef]
- Anjum, M.N.; Irfan, M.; Waseem, M.; Leta, M.K.; Niazi, U.M.; Rahman, S.; Ghanim, A.A.; Mukhtar, M.A.; Nadeem, M.U. Assessment of PERSIANN-CCS, PERSIANN-CDR, SM2RAIN-ASCAT, and CHIRPS-2.0 rainfall products over a semi-arid subtropical climatic region. Water 2022, 14, 147. [Google Scholar] [CrossRef]
- Zambrano-Bigiarini, M.; Nauditt, A.; Birkel, C.; Verbist, K.; Ribbe, L. Temporal and spatial evaluation of satellite-based rainfall estimates across the complex topographical and climatic gradients of Chile. Hydrol. Earth Syst. Sci. 2016, 21, 1295–1320. [Google Scholar] [CrossRef]
- Ali, S.; Chen, Y.; Azmat, M.; Kayumba, P.M.; Ahmed, Z.; Mind’je, R.; Ghaffar, A.; Qin, J.; Tariq, A. Long-term performance evaluation of the latest multi-source weighted-ensemble precipitation (MSWEP) over the highlands of indo-pak (1981–2009). Remote. Sens. 2022, 14, 4773. [Google Scholar] [CrossRef]
- Adam, J.C.; Lettenmaier, D.P. Adjustment of global gridded precipitation for systematic bias. J. Geophys. Res. 2003, 108, 4257. [Google Scholar] [CrossRef]
- Wu, X.; Su, J.; Ren, W.; Lü, H.; Yuan, F. Statistical comparison and hydrological utility evaluation of ERA5-Land and IMERG precipitation products on the Tibetan Plateau. J. Hydrol. Part A 2023, 620, 129384. [Google Scholar] [CrossRef]
- Tang, G.; Clark, M.P.; Papalexiou, S.M.; Ma, Z.; Hong, Y. Have satellite precipitation products improved over last two decades? A comprehensive comparison of GPM IMERG with nine satellite and reanalysis datasets. Remote Sens. Environ. 2020, 240, 111697. [Google Scholar] [CrossRef]
- Food and Agriculture Organization (FAO). Trees, Forests and Land Use in Drylands: The First Global Assessment–Full Report; FAO Forestry Paper; FAO: Rome, Italy, 2019; Volume 184, Available online: https://reliefweb.int/attachments/b109dfbf-734c-3928-a375-2c87de0d76f8/CA7148EN.pdf (accessed on 21 December 2023).











| Precipitation Product | Time Series | Spatial Resolution | Characteristics |
|---|---|---|---|
| ERA5-Land | 2001–2018 | 11.132 km | Integration of the ECMWF land surface model that is driven by downscaled meteorological forcing from ERA5 climate reanalysis. The monthly ERA5-Land products were from Copernicus Climate Data Store https://cds.climate.copernicus.eu/cdsapp#!/home (accessed on 21 December 2023) |
| GPM IMERG | 2001–2018 | 0.1 degree | Using both forward and backward morphing and including monthly gauge analyses, the final version of the dataset for 2001 to 2018 was downloaded from https://disc.gsfc.nasa.gov/datasets/GPM3IMERGHH06/summary?keywords=GPM (accessed on 21 December 2023) |
| CMFD | 2001–2018 | 0.1 degree | The dataset was created through a fusion of remote sensing products, reanalysis datasets, and in situ observation data at weather stations downloaded from DOI: 10.3972/westdc.002.2014.db (accessed on 21 December 2023) |
| CHIRPS | 2001–2018 | 0.1 degree | CHIRPS incorporates in-house climatology, CHPclim, 0.05-resolution satellite imagery, and in situ station data to create gridded rainfall time series for trend analysis and seasonal drought monitoring. Monthly dataset is available from https://data.chc.ucsb.edu/products/CHIRPS-2.0/global_monthly/netcdf (accessed on 21 December 2023) |
| CMORPH-ADL | 2001–2018 | 8 km | Bias correction is performed for the raw CMORPH through probability density function (PDF) matching against the CPC daily gauge analysis over land and through adjustment against the Global Precipitation Climatology Project (GPCP) pentad merged analysis of precipitation over the ocean. A 30 min dataset is available from the National Centers for Environmental Information https://www.ncei.noaa.gov/data/cmorph-high-resolution-global-precipitation-estimates/access/30min/8km (accessed on 21 December 2023) |
| MSWEP | 2001–2018 | 0.1 degree | The MSWEP product is unique in that it merges gauge, satellite, and reanalysis data. Monthly data are available from https://www.gloh2o.org/mswep/ (accessed on 21 December 2023) |
| TPMFD | 2001–2018 | 3 km | The ERA5 precipitation is corrected by high-resolution simulation at coarse spatial resolution and downscaled using a convolution neural network (CNN)-based model at the daily scale. |
| PERSIANN-CCS | 2003–2018 | 0.04 degree | PERSIANN-CCS system enables the categorization of cloud-patch features based on cloud height, areal extent, and variability of texture estimated from satellite imagery. Monthly datasets from 2003–2018 were from persiann.eng.uci.edu/CHRSdata/PERSIANN-CCS/mthly (accessed on 21 December 2023). |
| EIMD | 2001–2018 | 0.1 degree | Monthly average of ERA5-Land and IMERG, in this paper |
| From High to Low Quality | Bias Based on Gauges (May to Sep.) | Correlation Based on Gauges (May to Sep.) | Bias Based on Watershed Runoff | Correlation Based on Drought Chain | |||
|---|---|---|---|---|---|---|---|
| Carex Moorcroftii Steppe (C) | Stipa Purpurea Steppe (S) | Kobresia Pygmaea Meadow (K) | All Three Varieties (CSK) | ||||
| 1 | CMFD | TPMFD | EIMD | EIMD | ERA5-Land | EIMD | EIMD |
| 2 | MSWEP | EIMD | TPMFD | ERA5-Land | EIMD | IMERG | MSWEP |
| 3 | TPMFD | MSWEP | CHIRPS | MSWEP | MSWEP | CHIRPS | IMERG |
| 4 | CHIRPS | IMERG | CMFD | CHIRPS | CHIRPS | MSWEP | CHIRPS |
| 5 | CMORPH | ERA5-Land | MSWEP | IMERG | IMERG | TPMFD | ERA5-Land |
| 6 | IMERG | CMFD | ERA5-Land | TPMFD | TPMFD | ERA5-Land | TPMFD |
| 7 | EIMD | CHIRPS | CMORPH | CMORPH | CMFD | CMFD | CMFD |
| 8 | PERSIANN-CCS | PERSIANN-CCS | IMERG | CMFD | CMORPH | CMORPH | CMORPH |
| 9 | ERA5-Land | CMORPH | PERSIANN-CCS | PERSIANN-CCS | PERSIANN-CCS | PERSIANN-CCS | PERSIANN-CCS |
Disclaimer/Publisher’s Note: The statements, opinions and data contained in all publications are solely those of the individual author(s) and contributor(s) and not of MDPI and/or the editor(s). MDPI and/or the editor(s) disclaim responsibility for any injury to people or property resulting from any ideas, methods, instructions or products referred to in the content. |
© 2023 by the authors. Licensee MDPI, Basel, Switzerland. This article is an open access article distributed under the terms and conditions of the Creative Commons Attribution (CC BY) license (https://creativecommons.org/licenses/by/4.0/).
Share and Cite
Li, R.; Shi, J.; Pan, J.; Yan, N.; Zhao, T.; Zhang, Q.; Wang, Y. Can the Accuracy of Fine-Resolution Precipitation Products Be Assessed from the Surrounding Water Balance and Drought Chain (WBDC) in the Qinghai–Tibetan Plateau? Remote Sens. 2024, 16, 79. https://doi.org/10.3390/rs16010079
Li R, Shi J, Pan J, Yan N, Zhao T, Zhang Q, Wang Y. Can the Accuracy of Fine-Resolution Precipitation Products Be Assessed from the Surrounding Water Balance and Drought Chain (WBDC) in the Qinghai–Tibetan Plateau? Remote Sensing. 2024; 16(1):79. https://doi.org/10.3390/rs16010079
Chicago/Turabian StyleLi, Rui, Jiancheng Shi, Jinmei Pan, Nana Yan, Tianjie Zhao, Qingtao Zhang, and Yu Wang. 2024. "Can the Accuracy of Fine-Resolution Precipitation Products Be Assessed from the Surrounding Water Balance and Drought Chain (WBDC) in the Qinghai–Tibetan Plateau?" Remote Sensing 16, no. 1: 79. https://doi.org/10.3390/rs16010079
APA StyleLi, R., Shi, J., Pan, J., Yan, N., Zhao, T., Zhang, Q., & Wang, Y. (2024). Can the Accuracy of Fine-Resolution Precipitation Products Be Assessed from the Surrounding Water Balance and Drought Chain (WBDC) in the Qinghai–Tibetan Plateau? Remote Sensing, 16(1), 79. https://doi.org/10.3390/rs16010079

