Prediction of Open Woodland Transpiration Incorporating Sun-Induced Chlorophyll Fluorescence and Vegetation Structure
Abstract
:1. Introduction
2. Materials and Methods
2.1. Study Area
2.2. Data
2.2.1. Transpiration Field Measurements
2.2.2. LiDAR Data and Vegetation Structure
2.2.3. Satellite Remote Sensing Data
2.3. Method
2.3.1. Model Framework Overview
2.3.2. Radiative Transfer Models
2.3.3. Determination of 3D Vegetation Structure
2.3.4. LAI Partitioning
2.3.5. Two-Step Parameter Inversion
2.3.6. Model Simulation
3. Results
3.1. Relationships between SIF and T
3.1.1. Correlations between SIF and T at Multiple Temporal Scales
3.1.2. Correlation between SIF and T from the Canopy and Understory
3.1.3. Timeseries of SIF and T Comparison across All Sites
3.2. Influence of Environmental Factors on SIF–T Correlation
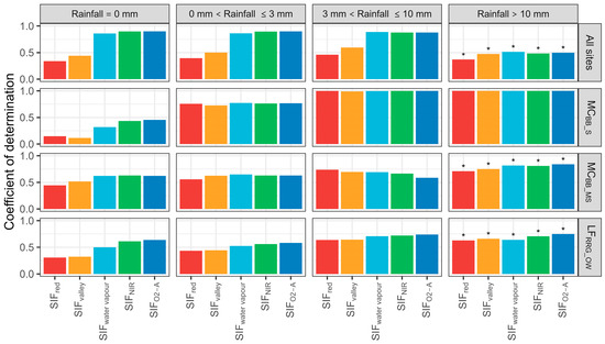
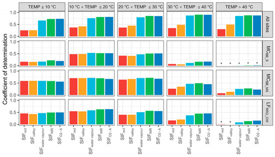
3.2.1. Influence of Soil Reflectance and LAI on SIF–T Correlations
3.2.2. Influence of Canopy Leaf Area Index, Temperature, and Rainfall on SIF–T Correlations
4. Discussion
4.1. SIF Emission Performance in Explaining T Variation
4.2. Further Research
5. Conclusions
Supplementary Materials
Author Contributions
Funding
Data Availability Statement
Acknowledgments
Conflicts of Interest
References
- Cui, Y.; Chen, X.; Gao, J.; Yan, B.; Tang, G.; Hong, Y. Global Water Cycle and Remote Sensing Big Data: Overview, Challenge, and Opportunities. Big Earth Data 2018, 2, 282–297. [Google Scholar] [CrossRef]
- Huntington, T.G. Evidence for Intensification of the Global Water Cycle: Review and Synthesis. J. Hydrol. 2006, 319, 83–95. [Google Scholar] [CrossRef]
- Mehta, V.M.; DeCandis, A.J.; Mehta, A.V. Remote-Sensing-Based Estimates of the Fundamental Global Water Cycle: Annual Cycle. J. Geophys. Res. Atmos. 2005, 110, 1–14. [Google Scholar] [CrossRef]
- Abbott, B.W.; Bishop, K.; Zarnetske, J.P.; Minaudo, C.; Chapin, F.S.; Krause, S.; Hannah, D.M.; Conner, L.; Ellison, D.; Godsey, S.E.; et al. Human Domination of the Global Water Cycle Absent from Depictions and Perceptions. Nat. Geosci. 2019, 12, 533–540. [Google Scholar] [CrossRef]
- Haddeland, I.; Heinke, J.; Biemans, H.; Eisner, S.; Flörke, M.; Hanasaki, N.; Konzmann, M.; Ludwig, F.; Masaki, Y.; Schewe, J.; et al. Global Water Resources Affected by Human Interventions and Climate Change. Proc. Natl. Acad. Sci. USA 2013, 111, 3251–3256. [Google Scholar] [CrossRef] [PubMed]
- Avand, M.; Moradi, H.; lasboyee, M.R. Using Machine Learning Models, Remote Sensing, and GIS to Investigate the Effects of Changing Climates and Land Uses on Flood Probability. J. Hydrol. 2021, 595, 125663. [Google Scholar] [CrossRef]
- West, H.; Quinn, N.; Horswell, M. Remote Sensing for Drought Monitoring & Impact Assessment: Progress, Past Challenges and Future Opportunities. Remote Sens. Environ. 2019, 232, 111291. [Google Scholar] [CrossRef]
- Miguez-Macho, G.; Fan, Y. The Role of Groundwater in the Amazon Water Cycle: 2. Influence on Seasonal Soil Moisture and Evapotranspiration. J. Geophys. Res. Atmos. 2012, 117, D15. [Google Scholar] [CrossRef]
- Mu, Q.; Heinsch, F.A.; Zhao, M.; Running, S.W. Development of a Global Evapotranspiration Algorithm Based on MODIS and Global Meteorology Data. Remote Sens. Environ. 2007, 111, 519–536. [Google Scholar] [CrossRef]
- Schlesinger, W.H.; Jasechko, S. Transpiration in the Global Water Cycle. Agric. For. Meteorol. 2014, 189–190, 115–117. [Google Scholar] [CrossRef]
- Jasechko, S.; Sharp, Z.D.; Gibson, J.J.; Birks, S.J.; Yi, Y.; Fawcett, P.J. Terrestrial Water Fluxes Dominated by Transpiration. Nature 2013, 496, 347–350. [Google Scholar] [CrossRef] [PubMed]
- Tuzet, A.J. Stomatal Conductance, Photosynthesis, and Transpiration, Modeling. In Encyclopedia of Agrophysics; Encyclopedia of Earth Sciences Series; Springer: Berlin/Heidelberg, Germany, 2011; Part 4; pp. 855–858. [Google Scholar] [CrossRef]
- Moore, D.J.P.; Hu, J.; Sacks, W.J.; Schimel, D.S.; Monson, R.K. Estimating Transpiration and the Sensitivity of Carbon Uptake to Water Availability in a Subalpine Forest Using a Simple Ecosystem Process Model Informed by Measured Net CO2 and H2O Fluxes. Agric. For. Meteorol. 2008, 148, 1467–1477. [Google Scholar] [CrossRef]
- Boegh, E.; Soegaard, H.; Hanan, N.; Kabat, P.; Lesch, L. A Remote Sensing Study of the NDVI–Ts Relationship and the Transpiration from Sparse Vegetation in the Sahel Based on High-Resolution Satellite Data. Remote Sens. Environ. 1999, 69, 224–240. [Google Scholar] [CrossRef]
- Pagán, B.R.; Maes, W.H.; Gentine, P.; Martens, B.; Miralles, D.G. Exploring the Potential of Satellite Solar-Induced Fluorescence to Constrain Global Transpiration Estimates. Remote Sens. 2019, 11, 413. [Google Scholar] [CrossRef]
- Monteith, J.L. Evaporation and Environment. Symp. Soc. Exp. Biol. 1965, 19, 205–234. [Google Scholar] [PubMed]
- Priestley, C.H.B.; Taylor, R.J. On the Assessment of Surface Heat Flux and Evaporation Using Large-Scale Parameters. Mon. Weather Rev. 1972, 100, 81–92. [Google Scholar] [CrossRef]
- Wutzler, T.; Lucas-Moffat, A.; Migliavacca, M.; Knauer, J.; Sickel, K.; Šigut, L.; Menzer, O.; Reichstein, M. Basic and Extensible Post-Processing of Eddy Covariance Flux Data with REddyProc. Biogeosciences 2018, 15, 5015–5030. [Google Scholar] [CrossRef]
- Doody, T.M.; Colloff, M.J.; Davies, M.; Koul, V.; Benyon, R.G.; Nagler, P.L. Quantifying Water Requirements of Riparian River Red Gum (Eucalyptus Camaldulensis) in the Murray–Darling Basin, Australia—Implications for the Management of Environmental Flows. Ecohydrology 2015, 8, 1471–1487. [Google Scholar] [CrossRef]
- Steppe, K.; De Pauw, D.J.W.; Doody, T.M.; Teskey, R.O. A Comparison of Sap Flux Density Using Thermal Dissipation, Heat Pulse Velocity and Heat Field Deformation Methods. Agric. For. Meteorol. 2010, 150, 1046–1056. [Google Scholar] [CrossRef]
- Zhang, H.; Simmonds, L.P.; Morison, J.I.L.L.; Payne, D. Estimation of Transpiration by Single Trees: Comparison of Sap Flow Measurements with a Combination Equation. Agric. For. Meteorol. 1997, 87, 155–169. [Google Scholar] [CrossRef]
- Nagler, P.; Jetton, A.; Fleming, J.; Didan, K.; Glenn, E.; Erker, J.; Morino, K.; Milliken, J.; Gloss, S. Evapotranspiration in a Cottonwood (Populus fremontii) Restoration Plantation Estimated by Sap Flow and Remote Sensing Methods. Agric. For. Meteorol. 2007, 144, 95–110. [Google Scholar] [CrossRef]
- Jonard, F.; De Cannière, S.; Brüggemann, N.; Gentine, P.; Short Gianotti, D.J.; Lobet, G.; Miralles, D.G.; Montzka, C.; Pagán, B.R.; Rascher, U.; et al. Value of Sun-Induced Chlorophyll Fluorescence for Quantifying Hydrological States and Fluxes: Current Status and Challenges. Agric. For. Meteorol. 2020, 291, 108088. [Google Scholar] [CrossRef]
- Sun, Y.; Fu, R.; Dickinson, R.; Joiner, J.; Frankenberg, C.; Gu, L.; Xia, Y.; Fernando, N. Drought Onset Mechanisms Revealed by Satellite Solar-Induced Chlorophyll Fluorescence: Insights from Two Contrasting Extreme Events. J. Geophys. Res. Biogeosci. 2015, 120, 2427–2440. [Google Scholar] [CrossRef]
- Ma, X.; Huete, A.; Cleverly, J.; Eamus, D.; Chevallier, F.; Joiner, J.; Poulter, B.; Zhang, Y.; Guanter, L.; Meyer, W.; et al. Drought Rapidly Diminishes the Large Net CO2 Uptake in 2011 over Semi-Arid Australia. Sci. Rep. 2016, 6, 37747. [Google Scholar] [CrossRef] [PubMed]
- MacBean, N.; Maignan, F.; Bacour, C.; Lewis, P.; Peylin, P.; Guanter, L.; Köhler, P.; Gómez-Dans, J.; Disney, M. Strong Constraint on Modelled Global Carbon Uptake Using Solar-Induced Chlorophyll Fluorescence Data. Sci. Rep. 2018, 8, 1973. [Google Scholar] [CrossRef] [PubMed]
- Mohammed, G.H.; Colombo, R.; Middleton, E.M.; Rascher, U.; van der Tol, C.; Nedbal, L.; Goulas, Y.; Pérez-Priego, O.; Damm, A.; Meroni, M.; et al. Remote Sensing of Solar-Induced Chlorophyll Fluorescence (SIF) in Vegetation: 50 years of Progress. Remote Sens. Environ. 2019, 231, 111177. [Google Scholar] [CrossRef] [PubMed]
- Palombi, L.; Cecchi, G.; Lognoli, D.; Raimondi, V.; Toci, G.; Agati, G. A Retrieval Algorithm to Evaluate the Photosystem I and Photosystem II Spectral Contributions to Leaf Chlorophyll Fluorescence at Physiological Temperatures. Photosynth. Res. 2011, 108, 225–239. [Google Scholar] [CrossRef]
- Porcar-Castell, A.; Malenovský, Z.; Magney, T.; Van Wittenberghe, S.; Fernández-Marín, B.; Maignan, F.; Zhang, Y.; Maseyk, K.; Atherton, J.; Albert, L.P.; et al. Chlorophyll a Fluorescence Illuminates a Path Connecting Plant Molecular Biology to Earth-System Science. Nat. Plants 2021, 7, 998–1009. [Google Scholar] [CrossRef]
- Franck, F.; Juneau, P.; Popovic, R. Resolution of the Photosystem I and Photosystem II Contributions to Chlorophyll Fluorescence of Intact Leaves at Room Temperature. Biochim. Biophys. Acta Bioenerg. 2002, 1556, 239–246. [Google Scholar] [CrossRef]
- Wientjes, E.; Philippi, J.; Borst, J.W.; van Amerongen, H. Imaging the Photosystem I/Photosystem II Chlorophyll Ratio inside the Leaf. Biochim. Biophys. Acta-Bioenerg. 2017, 1858, 259–265. [Google Scholar] [CrossRef]
- Verrelst, J.; Rivera, J.P.; Gitelson, A.; Delegido, J.; Moreno, J.; Camps-Valls, G. Spectral Band Selection for Vegetation Properties Retrieval Using Gaussian Processes Regression. Int. J. Appl. Earth Obs. Geoinf. 2016, 52, 554–567. [Google Scholar] [CrossRef]
- Li, D.; Wu, S.; Liu, L.; Zhang, Y.; Li, S. Vulnerability of the Global Terrestrial Ecosystems to Climate Change. Glob. Chang. Biol. 2018, 24, 4095–4106. [Google Scholar] [CrossRef] [PubMed]
- Magney, T.S.; Frankenberg, C.; Köhler, P.; North, G.; Davis, T.S.; Dold, C.; Dutta, D.; Fisher, J.B.; Grossmann, K.; Harrington, A.; et al. Disentangling Changes in the Spectral Shape of Chlorophyll Fluorescence: Implications for Remote Sensing of Photosynthesis. J. Geophys. Res. Biogeosci. 2019, 124, 1491–1507. [Google Scholar] [CrossRef]
- Sun, Y.; Frankenberg, C.; Wood, J.D.; Schimel, D.S.; Jung, M.; Guanter, L.; Drewry, D.T.; Verma, M.; Porcar-Castell, A.; Griffis, T.J. OCO-2 Advances Photosynthesis Observation from Space via Solar-Induced Chlorophyll Fluorescence. Science 2017, 358, eaam5747. [Google Scholar] [CrossRef] [PubMed]
- Lu, X.; Liu, Z.; An, S.; Miralles, D.G.; Maes, W.; Liu, Y.; Tang, J. Potential of Solar-Induced Chlorophyll Fluorescence to Estimate Transpiration in a Temperate Forest. Agric. For. Meteorol. 2018, 252, 75–87. [Google Scholar] [CrossRef]
- Damm, A.; Roethlin, S.; Fritsche, L. Towards Advanced Retrievals of Plant Transpiration Using Suninduced Chlorophyll Fluorescence: First Considerations. In Proceedings of the International Geoscience and Remote Sensing Symposium (IGARSS), Valencia, Spain, 22–27 July 2018; Institute of Electrical and Electronics Engineers Inc.: New York, NY, USA, 2018; pp. 5983–5986. [Google Scholar]
- Maes, W.H.; Pagán, B.R.; Martens, B.; Gentine, P.; Guanter, L.; Steppe, K.; Verhoest, N.E.C.; Dorigo, W.; Li, X.; Xiao, J.; et al. Sun-Induced Fluorescence Closely Linked to Ecosystem Transpiration as Evidenced by Satellite Data and Radiative Transfer Models. Remote Sens. Environ. 2020, 249, 112030. [Google Scholar] [CrossRef]
- Shan, N.; Ju, W.; Migliavacca, M.; Martini, D.; Guanter, L.; Chen, J.; Goulas, Y.; Zhang, Y. Modeling Canopy Conductance and Transpiration from Solar-Induced Chlorophyll Fluorescence. Agric. For. Meteorol. 2019, 268, 189–201. [Google Scholar] [CrossRef]
- Ahmed, K.R.; Paul-Limoges, E.; Rascher, U.; Hanus, J.; Miglietta, F.; Colombo, R.; Peressotti, A.; Genangeli, A.; Damm, A. Empirical Insights on the Use of Sun-Induced Chlorophyll Fluorescence to Estimate Short-Term Changes in Crop Transpiration under Controlled Water Limitation. ISPRS J. Photogramm. Remote Sens. 2023, 203, 71–85. [Google Scholar] [CrossRef]
- Liu, Y.; Zhang, Y.; Shan, N.; Zhang, Z.; Wei, Z. Global Assessment of Partitioning Transpiration from Evapotranspiration Based on Satellite Solar-Induced Chlorophyll Fluorescence Data. J. Hydrol. 2022, 612, 128044. [Google Scholar] [CrossRef]
- Gao, S.; Huete, A.; Kobayashi, H.; Doody, T.M.; Liu, W.; Wang, Y.; Zhang, Y.; Lu, X. Simulation of Solar-Induced Chlorophyll Fluorescence in a Heterogeneous Forest Using 3-D Radiative Transfer Modelling and Airborne LiDAR. ISPRS J. Photogramm. Remote Sens. 2022, 191, 1–17. [Google Scholar] [CrossRef]
- Zeng, Y.; Badgley, G.; Chen, M.; Li, J.; Anderegg, L.D.L.; Kornfeld, A.; Liu, Q.; Xu, B.; Yang, B.; Yan, K.; et al. A Radiative Transfer Model for Solar Induced Fluorescence Using Spectral Invariants Theory. Remote Sens. Environ. 2020, 240, 111678. [Google Scholar] [CrossRef]
- Hernández-Clemente, R.; North, P.R.J.; Hornero, A.; Zarco-Tejada, P.J. Assessing the Effects of Forest Health on Sun-Induced Chlorophyll Fluorescence Using the FluorFLIGHT 3-D Radiative Transfer Model to Account for Forest Structure. Remote Sens. Environ. 2017, 193, 165–179. [Google Scholar] [CrossRef]
- Liu, W.; Atherton, J.; Mõttus, M.; Gastellu-Etchegorry, J.P.; Malenovský, Z.; Raumonen, P.; Åkerblom, M.; Mäkipää, R.; Porcar-Castell, A. Simulating Solar-Induced Chlorophyll Fluorescence in a Boreal Forest Stand Reconstructed from Terrestrial Laser Scanning Measurements. Remote Sens. Environ. 2019, 232, 111274. [Google Scholar] [CrossRef]
- Zhao, F.; Dai, X.; Verhoef, W.; Guo, Y.; van der Tol, C.; Li, Y.; Huang, Y. FluorWPS: A Monte Carlo Ray-Tracing Model to Compute Sun-Induced Chlorophyll Fluorescence of Three-Dimensional Canopy. Remote Sens. Environ. 2016, 187, 385–399. [Google Scholar] [CrossRef]
- Lu, X.; Liu, Z.; Zhao, F.; Tang, J. Comparison of Total Emitted Solar-Induced Chlorophyll Fluorescence (SIF) and Top-of-Canopy (TOC) SIF in Estimating Photosynthesis. Remote Sens. Environ. 2020, 251, 112083. [Google Scholar] [CrossRef]
- Chu, H.; Luo, X.; Ouyang, Z.; Chan, W.S.; Dengel, S.; Biraud, S.C.; Torn, M.S.; Metzger, S.; Kumar, J.; Arain, M.A.; et al. Representativeness of Eddy-Covariance Flux Footprints for Areas Surrounding AmeriFlux Sites. Agric. For. Meteorol. 2021, 301–302, 108350. [Google Scholar] [CrossRef]
- Doody, T.M.; Gehrig, S.L.; Vervoort, R.W.; Colloff, M.J.; Doble, R. Determining Water Requirements for Black Box (Eucalyptus Largiflorens) Floodplain Woodlands of High Conservation Value Using Drip-Irrigation. Hydrol. Process 2021, 35, e14291. [Google Scholar] [CrossRef]
- Doody, T.M.; Gao, S.; Vervoort, W.; Pritchard, J.; Davies, M.; Nolan, M.; Nagler, P.L. A River Basin Spatial Model to Quantitively Advance Understanding of Riverine Tree Response Dynamics to Water Availability and Hydrological Management. J. Environ. Manag. 2023, 332, 117393. [Google Scholar] [CrossRef]
- Doody, T.M.; Benyon, R.G.; Gao, S. Fine Scale 20-Year Timeseries of Plantation Forest Evapotranspiration for the Lower Limestone Coast. Hydrol. Process 2023, 37, e14836. [Google Scholar] [CrossRef]
- ABS Water and the Murray Darling Basin—A Statistical Profile, 2000-01 to 2005-06; Australian Bureau of Statistics: Canberra, Australia, 2008.
- Van Dijk, A.I.J.M.; Beck, H.E.; Crosbie, R.S.; De Jeu, R.A.M.; Liu, Y.Y.; Podger, G.M.; Timbal, B.; Viney, N.R. The Millennium Drought in Southeast Australia (2001–2009): Natural and Human Causes and Implications for Water Resources, Ecosystems, Economy, and Society. Water Resour. Res. 2013, 49, 1040–1057. [Google Scholar] [CrossRef]
- Roberts, J.; Marston, F. Water Regime for Wetland and Floodplain Plants A Source Book for the Murray–Darling Basin; National Water Commission: Canberra, Australia, 2011. [Google Scholar]
- Overton, I.C.; Jolly, I.D. Integrated Studies of Floodplain Vegetation Health, Saline Groundwater and Flooding on the Chowilla Floodplain South Australia.; CSIRO Land and Water: Adelaide, Australia, 2004. [Google Scholar]
- Hart, B.; Walker, G.; Katupitiya, A.; Doolan, J. Salinity Management in the Murray–Darling Basin, Australia. Water 2020, 12, 1829. [Google Scholar] [CrossRef]
- Doody, T.M.; Benger, S.N.; Pritchard, J.L.; Overton, I.C.; Doody, T.M.; Benger, S.N.; Pritchard, J.L.; Overton, I.C. Ecological Response of Eucalyptus Camaldulensis (River Red Gum) to Extended Drought and Flooding along the River Murray, South Australia (1997–2011) and Implications for Environmental Flow Management. Mar. Freshw. Res. 2014, 65, 1082–1093. [Google Scholar] [CrossRef]
- Laattoe, T.; Werner, A.D.; Woods, J.A.; Cartwright, I. Terrestrial Freshwater Lenses: Unexplored Subterranean Oases. J. Hydrol. 2017, 553, 501–507. [Google Scholar] [CrossRef]
- Benyon, R.G.; Doody, T.M. Water Use by Tree Plantations in South East South Australia; CSIRO Forestry and Forest Products: Mt. Gambier, Australia, 2004. [Google Scholar]
- Burgess, S.S.O.; Adams, M.A.; Turner, N.C.; Beverly, C.R.; Ong, C.K.; Khan, A.A.H.; Bleby, T.M. An Improved Heat Pulse Method to Measure Low and Reverse Rates of Sap Flow in Woody Plants. Tree Physiol. 2001, 21, 589–598. [Google Scholar] [CrossRef] [PubMed]
- Dubayah, R.O.; Drake, J.B. Lidar Remote Sensing for Forestry; Oxford Academic: Oxford, UK, 2000; Volume 98. [Google Scholar]
- Frouin, R.; Murakami, H. Estimating Photosynthetically Available Radiation at the Ocean Surface from ADEOS-II Global Imager Data. J. Oceanogr. 2007, 63, 493–503. [Google Scholar] [CrossRef]
- Huete, A.; Didan, K.; Miura, T.; Rodriguez, E.P.; Gao, X.; Ferreira, L.G. Overview of the Radiometric and Biophysical Performance of the MODIS Vegetation Indices. Remote Sens. Environ. 2002, 83, 195–213. [Google Scholar] [CrossRef]
- Alexandrov, T.; Bianconcini, S.; Dagum, E.B.; Maass, P.; McElroy, T.S. A Review of Some Modern Approaches to the Problem of Trend Extraction. Econ. Rev. 2012, 31, 593–624. [Google Scholar] [CrossRef]
- Chen, J.M.; Rich, P.M.; Gower, S.T.; Norman, J.M.; Plummer, S. Leaf Area Index of Boreal Forests: Theory, Techniques, and Measurements. J. Geophys. Res. Atmos. 1997, 102, 29429–29443. [Google Scholar] [CrossRef]
- Putzenlechner, B.; Castro, S.; Kiese, R.; Ludwig, R.; Marzahn, P.; Sharp, I.; Sanchez-Azofeifa, A. Validation of Sentinel-2 FAPAR Products Using Ground Observations across Three Forest Ecosystems. Remote Sens. Environ. 2019, 232, 111310. [Google Scholar] [CrossRef]
- Weiss, M.; Baret, F.; Jay, S. S2ToolBox Level 2 Products: LAI, FAPAR, FCOVER, Version 2.0; Institut National de la Recherche Agronomique (INRA): Avignon, France, 2020. [Google Scholar]
- Kobayashi, H.; Iwabuchi, H. A Coupled 1-D Atmosphere and 3-D Canopy Radiative Transfer Model for Canopy Reflectance, Light Environment, and Photosynthesis Simulation in a Heterogeneous Landscape. Remote Sens. Environ. 2008, 112, 173–185. [Google Scholar] [CrossRef]
- Kobayashi, H.; Delbart, N.; Suzuki, R.; Kushida, K. A Satellite-Based Method for Monitoring Seasonality in the Overstory Leaf Area Index of Siberian Larch Forest. J. Geophys. Res. Biogeosci. 2010, 115, 1002. [Google Scholar] [CrossRef]
- Wu, J.; Kobayashi, H.; Stark, S.C.; Meng, R.; Guan, K.; Tran, N.N.; Gao, S.; Yang, W.; Restrepo-Coupe, N.; Miura, T.; et al. Biological Processes Dominate Seasonality of Remotely Sensed Canopy Greenness in an Amazon Evergreen Forest. New Phytol. 2018, 217, 1507–1520. [Google Scholar] [CrossRef] [PubMed]
- Kobayashi, H.; Baldocchi, D.D.; Ryu, Y.; Chen, Q.; Ma, S.; Osuna, J.L.; Ustin, S.L. Modeling Energy and Carbon Fluxes in a Heterogeneous Oak Woodland: A Three-Dimensional Approach. Agric. For. Meteorol. 2012, 152, 83–100. [Google Scholar] [CrossRef]
- Köhler, P.; Guanter, L.; Kobayashi, H.; Walther, S.; Yang, W. Assessing the Potential of Sun-Induced Fluorescence and the Canopy Scattering Coefficient to Track Large-Scale Vegetation Dynamics in Amazon Forests. Remote Sens. Environ. 2018, 204, 769–785. [Google Scholar] [CrossRef]
- Boehm, H.D.V.; Liesenberg, V.; Limin, S.H. Multi-Temporal Airborne LiDAR-Survey and Field Measurements of Tropical Peat Swamp Forest to Monitor Changes. IEEE J. Sel. Top. Appl. Earth Obs. Remote Sens. 2013, 6, 1524–1530. [Google Scholar] [CrossRef]
- Plowright, A. ForestTools: Analyzing Remotely Sensed Forest Data. In R Package, Version 0.1; R Core Team: Vienna, Austria, 2017; Volume 5. [Google Scholar]
- Beucher, S.; Meyer, F. The Morphological Approach to Segmentation: The Watershed Transformation. Math. Morphol. Image Process. 1993, 34, 433–481. [Google Scholar]
- Gao, S.; Castellazzi, P.; Vervoort, R.W.; Doody, T.M. Fine Scale Mapping of Fractional Tree Canopy Cover to Support River Basin Management. Hydrol. Process 2021, 35, e14156. [Google Scholar] [CrossRef]
- Pisek, J.; Adamson, K. Dataset of Leaf Inclination Angles for 71 Different Eucalyptus Species. Data Brief. 2020, 33, 106391. [Google Scholar] [CrossRef]
- Lu, H.; Raupach, M.R.; McVicar, T.R.; Barrett, D.J. Decomposition of Vegetation Cover into Woody and Herbaceous Components Using AVHRR NDVI Time Series. Remote Sens. Environ. 2003, 86, 1–18. [Google Scholar] [CrossRef]
- Ma, X.; Huete, A.; Moore, C.E.; Cleverly, J.; Hutley, L.B.; Beringer, J.; Leng, S.; Xie, Z.; Yu, Q.; Eamus, D. Spatiotemporal Partitioning of Savanna Plant Functional Type Productivity along NATT. Remote Sens. Environ. 2020, 246, 111855. [Google Scholar] [CrossRef]
- Zhuang, W.; Shi, H.; Ma, X.; Cleverly, J.; Beringer, J.; Zhang, Y.; He, J.; Eamus, D.; Yu, Q. Improving Estimation of Seasonal Evapotranspiration in Australian Tropical Savannas Using a Flexible Drought Index. Agric. For. Meteorol. 2020, 295, 108203. [Google Scholar] [CrossRef]
- Ma, X.; Huete, A.; Yu, Q.; Coupe, N.R.; Davies, K.; Broich, M.; Ratana, P.; Beringer, J.; Hutley, L.B.; Cleverly, J.; et al. Spatial Patterns and Temporal Dynamics in Savanna Vegetation Phenology across the North Australian Tropical Transect. Remote Sens. Environ. 2013, 139, 97–115. [Google Scholar] [CrossRef]
- Wei, S.; Yin, T.; Dissegna, M.A.; Whittle, A.J.; Ow, G.L.F.; Yusof, M.L.M.; Lauret, N.; Gastellu-Etchegorry, J.P. An Assessment Study of Three Indirect Methods for Estimating Leaf Area Density and Leaf Area Index of Individual Trees. Agric. For. Meteorol. 2020, 292–293, 108101. [Google Scholar] [CrossRef]
- Feret, J.-B.; François, C.; Asner, G.P.; Gitelson, A.A.; Martin, R.E.; Bidel, L.P.R.; Ustin, S.L.; Le Maire, G.; Jacquemoud, S. PROSPECT-4 and 5: Advances in the Leaf Optical Properties Model Separating Photosynthetic Pigments. Remote Sens. Environ. 2008, 112, 3030–3043. [Google Scholar] [CrossRef]
- Vilfan, N.; van der Tol, C.; Muller, O.; Rascher, U.; Verhoef, W. Fluspect-B: A Model for Leaf Fluorescence, Reflectance and Transmittance Spectra. Remote Sens. Environ. 2016, 186, 596–615. [Google Scholar] [CrossRef]
- Combal, B.; Baret, F.; Weiss, M.; Trubuil, A.; Macé, D.; Pragnère, A.; Myneni, R.; Knyazikhin, Y.; Wang, L. Retrieval of Canopy Biophysical Variables from Bidirectional Reflectance: Using Prior Information to Solve the Ill-Posed Inverse Problem. Remote Sens. Environ. 2003, 84, 1–15. [Google Scholar] [CrossRef]
- Bréon, F.M.; Vermote, E. Correction of MODIS Surface Reflectance Time Series for BRDF Effects. Remote Sens. Environ. 2012, 125, 1–9. [Google Scholar] [CrossRef]
- Zhao, F.; Li, R.; Verhoef, W.; Cogliati, S.; Liu, X.; Huang, Y.; Guo, Y.; Huang, J. Reconstruction of the Full Spectrum of Solar-Induced Chlorophyll Fluorescence: Intercomparison Study for a Novel Method. Remote Sens. Environ. 2018, 219, 233–246. [Google Scholar] [CrossRef]
- Kuhn, C.; de Matos Valerio, A.; Ward, N.; Loken, L.; Sawakuchi, H.O.; Kampel, M.; Richey, J.; Stadler, P.; Crawford, J.; Striegl, R.; et al. Performance of Landsat-8 and Sentinel-2 Surface Reflectance Products for River Remote Sensing Retrievals of Chlorophyll-a and Turbidity. Remote Sens. Environ. 2019, 224, 104–118. [Google Scholar] [CrossRef]
- Zhang, W.; Mao, W.; Jiang, F.; Stuecker, M.F.; Jin, F.F.; Qi, L. Tropical Indo-Pacific Compounding Thermal Conditions Drive the 2019 Australian Extreme Drought. Geophys. Res. Lett. 2021, 48, e2020GL090323. [Google Scholar] [CrossRef]
- Zeng, Y.; Badgley, G.; Dechant, B.; Ryu, Y.; Chen, M.; Berry, J.A. A Practical Approach for Estimating the Escape Ratio of Near-Infrared Solar-Induced Chlorophyll Fluorescence. Remote Sens. Environ. 2019, 232, 111209. [Google Scholar] [CrossRef]
- Yang, P.; van der Tol, C. Linking Canopy Scattering of Far-Red Sun-Induced Chlorophyll Fluorescence with Reflectance. Remote Sens. Environ. 2018, 209, 456–467. [Google Scholar] [CrossRef]
- Verrelst, J.; van der Tol, C.; Magnani, F.; Sabater, N.; Rivera, J.P.; Mohammed, G.; Moreno, J. Evaluating the Predictive Power of Sun-Induced Chlorophyll Fluorescence to Estimate Net Photosynthesis of Vegetation Canopies: A SCOPE Modeling Study. Remote Sens. Environ. 2016, 176, 139–151. [Google Scholar] [CrossRef]
- van der Tol, C.; Vilfan, N.; Dauwe, D.; Cendrero-Mateo, M.P.; Yang, P. The Scattering and Re-Absorption of Red and near-Infrared Chlorophyll Fluorescence in the Models Fluspect and SCOPE. Remote Sens. Environ. 2019, 232, 111292. [Google Scholar] [CrossRef]
- Song, L.; Guanter, L.; Guan, K.; You, L.; Huete, A.; Ju, W.; Zhang, Y. Satellite Sun-induced Chlorophyll Fluorescence Detects Early Response of Winter Wheat to Heat Stress in the Indian Indo-Gangetic Plains. Glob. Chang. Biol. 2018, 24, 4023–4037. [Google Scholar] [CrossRef] [PubMed]
- Zhang, Y.; Fang, J.; Smith, W.K.; Wang, X.; Gentine, P.; Scott, R.L.; Migliavacca, M.; Jeong, S.; Litvak, M.; Zhou, S. Satellite Solar-Induced Chlorophyll Fluorescence Tracks Physiological Drought Stress Development during 2020 Southwest US Drought. Glob. Chang. Biol. 2023, 29, 3395–3408. [Google Scholar] [CrossRef] [PubMed]
- Shan, N.; Zhang, Y.; Chen, J.M.; Ju, W.; Migliavacca, M.; Peñuelas, J.; Yang, X.; Zhang, Z.; Nelson, J.A.; Goulas, Y. A Model for Estimating Transpiration from Remotely Sensed Solar-Induced Chlorophyll Fluorescence. Remote Sens. Environ. 2021, 252, 112134. [Google Scholar] [CrossRef]
- Pedrós, R.; Goulas, Y.; Jacquemoud, S.; Louis, J.; Moya, I. FluorMODleaf: A New Leaf Fluorescence Emission Model Based on the PROSPECT Model. Remote Sens. Environ. 2010, 114, 155–167. [Google Scholar] [CrossRef]
- Alvarado-Barrientos, M.S.; Holwerda, F.; Asbjornsen, H.; Dawson, T.E.; Bruijnzeel, L.A. Suppression of Transpiration Due to Cloud Immersion in a Seasonally Dry Mexican Weeping Pine Plantation. Agric. For. Meteorol. 2014, 186, 12–25. [Google Scholar] [CrossRef]
- Miao, G.; Guan, K.; Yang, X.; Bernacchi, C.J.; Berry, J.A.; DeLucia, E.H.; Wu, J.; Moore, C.E.; Meacham, K.; Cai, Y.; et al. Sun-Induced Chlorophyll Fluorescence, Photosynthesis, and Light Use Efficiency of a Soybean Field from Seasonally Continuous Measurements. J. Geophys. Res. Biogeosci. 2018, 123, 610–623. [Google Scholar] [CrossRef]
- Qiu, R.; Li, X.; Han, G.; Xiao, J.; Ma, X.; Gong, W. Monitoring Drought Impacts on Crop Productivity of the U.S. Midwest with Solar-Induced Fluorescence: GOSIF Outperforms GOME-2 SIF and MODIS NDVI, EVI, and NIRv. Agric. For. Meteorol. 2022, 323, 109038. [Google Scholar] [CrossRef]
- Smith, R.; Renton, M.; Reid, N. Growth and Carbon Sequestration by Remnant Eucalyptus Camaldulensis Woodlands in Semi-Arid Australia during La Niña Conditions. Agric. For. Meteorol. 2017, 232, 704–710. [Google Scholar] [CrossRef]
- Guo, D.; Westra, S.; Maier, H.R. An R Package for Modelling Actual, Potential and Reference Evapotranspiration. Environ. Model. Softw. 2016, 78, 216–224. [Google Scholar] [CrossRef]
- Drusch, M.; Moreno, J.; Del Bello, U.; Franco, R.; Goulas, Y.; Huth, A.; Kraft, S.; Middleton, E.M.; Miglietta, F.; Mohammed, G.; et al. The FLuorescence EXplorer Mission Concept-ESA’s Earth Explorer 8. IEEE Trans. Geosci. Remote Sens. 2017, 55, 1273–1284. [Google Scholar] [CrossRef]
- Verrelst, J.; Rivera, J.P.; van der Tol, C.; Magnani, F.; Mohammed, G.; Moreno, J. Global sensitivity analysis of the SCOPE model: What drives simulated canopy-leaving sun-induced fluorescence? Remote Sens. Environ. 2015, 166, 8–21. [Google Scholar] [CrossRef]
- Gitelson, A.A.; Vina, A.; Ciganda, V.; Rundquist, D.C.; Arkebauer, T.J. Remote estimation of canopy chlorophyll content in crops. Geophys. Res. Lett. 2005, 32, 8. [Google Scholar] [CrossRef]









| Site | Symbol | Collection Period | Environmental Situation | Coordinates | Annual Mean T (mm/h) | FVC | Woodland Category |
|---|---|---|---|---|---|---|---|
| Mallee Cliffs E. largiflorens (Black Box) sparse site | MCBB_S | June 2019–May 2021 | Highly saline groundwater | 34°19′37″S, 142°23′21″E | 0.003 | 0.12 | Sparse |
| Mallee Cliffs E. largiflorens (Black Box) moderate sparse site | MCBB_MS | June 2019–May 2021 | Fresh groundwater lens | 34°19′44″S, 142°22′46″E | 0.006 | 0.25 | Moderate-sparse |
| Lindsay Forest E. camaldulensis (River Red Gum) open woodland site | LFRRG_OW | Oct 2019–May 2021 | ~80 m from River Murray Channel | 34°3′44″S, 141°2′40″E | 0.020 | 0.5 | Open woodland |
| Parameter | Symbol | Value Range | Step | Unit |
|---|---|---|---|---|
| leaf mesophyll structure parameter | N | 1–3 | 1 | unitless |
| leaf chlorophyll a + b content | Cab | 10–100 | 8 | μg cm−2 |
| total carotenoid content | Ccar | 0.25 Cab | - | μg cm−2 |
| senescence material | Cs | 0–0.3 | 0.1 | unitless |
| leaf dry matter content | Cw | 0.001–0.05 | 0.008 | mg cm−2 |
| leaf water content | Cw | 0.001–0.15 | 0.045 | cm |
| leaf area density | LAD | 0.1–2 | 0.4 | m2 m−3 |
| understory LAI | LAIu | 0.1, 1, 2 | - | m2 m−2 |
| soil reflectance | Rsoil | 0.1, 0.2, 0.4 | - | unitless |
| Variable | Value | Source |
|---|---|---|
| Scene area | 50 × 50 m | - |
| Vegetation structure | - | LiDAR |
| SZA, SAA | Calculate based on simulation time | - |
| VZA, VAA | 0°, 0° | - |
| PAR | 0–2000 umol m−2 s−1 | Himawari-8 |
| LAD | 0.1–2 m−2 m−3 | Retrieved based on two-step inversion and MODIS LAI |
| BAD | 0.5 m−2 m−3 | - |
| Leaf Ref and Tran | - | Retrieved based on two-step inversion, simulate by PROSPECT-5 with VIS2 |
| EF-matrix | - | Retrieved based on two-step inversion, simulate by Fluspect-B with VIS2 |
| LAIu | 0.1–2 m−2 m−2 | Retrieved based on two-step inversion |
| Mean understory Ref and Tran at PAR and NIR region | 0.2, 0.4 0.2, 0.4 | - |
| Mean soil Ref at PAR and NIR region | 0.1–0.5 | Retrieved based on two-step inversion |
| All Sites | MCBB_S | MCBB_MS | LFRRG_OW | |||||||||
|---|---|---|---|---|---|---|---|---|---|---|---|---|
| Hourly | Daily | Monthly | Hourly | Daily | Monthly | Hourly | Daily | Monthly | Hourly | Daily | Monthly | |
| SIFred | 0.35 | 0.38 | 0.39 | 0.18 | 0.12 | 0.08 * | 0.49 | 0.53 | 0.62 | 0.36 | 0.27 | 0.25 |
| SIFvalley | 0.44 | 0.47 | 0.49 | 0.15 | 0.10 | 0.06 * | 0.53 | 0.60 | 0.72 | 0.37 | 0.27 | 0.27 |
| SIFwater vapour | 0.82 | 0.87 | 0.90 | 0.27 | 0.28 | 0.29 | 0.58 | 0.68 | 0.81 | 0.48 | 0.43 | 0.51 |
| SIFNIR | 0.86 | 0.90 | 0.93 | 0.33 | 0.39 | 0.44 | 0.57 | 0.66 | 0.80 | 0.54 | 0.52 | 0.68 |
| SIFO2-A | 0.85 | 0.90 | 0.93 | 0.34 | 0.41 | 0.47 | 0.53 | 0.64 | 0.78 | 0.54 | 0.55 | 0.73 |
| All Sites | MCBB_S | MCBB_MS | LFRRG_OW | |||||||||
|---|---|---|---|---|---|---|---|---|---|---|---|---|
| Total | Canopy | Understory | Total | Canopy | Understory | Total | Canopy | Understory | Total | Canopy | Understory | |
| SIFred | 0.81 | 0.58 | 0.26 | 0.20 | 0.30 | 0.13 | 0.55 | 0.41 | 0.50 | 0.46 | 0.52 | 0.26 |
| SIFvalley | 0.79 | 0.65 | 0.30 | 0.18 | 0.22 | 0.12 | 0.58 | 0.49 | 0.54 | 0.45 | 0.49 | 0.27 |
| SIFwater vapour | 0.80 | 0.85 | 0.65 | 0.25 | 0.34 | 0.22 | 0.58 | 0.59 | 0.57 | 0.46 | 0.53 | 0.35 |
| SIFNIR | 0.81 | 0.86 | 0.74 | 0.29 | 0.40 | 0.26 | 0.57 | 0.59 | 0.56 | 0.48 | 0.57 | 0.37 |
| SIFO2-A | 0.81 | 0.85 | 0.75 | 0.30 | 0.40 | 0.27 | 0.56 | 0.54 | 0.51 | 0.48 | 0.55 | 0.38 |
Disclaimer/Publisher’s Note: The statements, opinions and data contained in all publications are solely those of the individual author(s) and contributor(s) and not of MDPI and/or the editor(s). MDPI and/or the editor(s) disclaim responsibility for any injury to people or property resulting from any ideas, methods, instructions or products referred to in the content. |
© 2023 by the authors. Licensee MDPI, Basel, Switzerland. This article is an open access article distributed under the terms and conditions of the Creative Commons Attribution (CC BY) license (https://creativecommons.org/licenses/by/4.0/).
Share and Cite
Gao, S.; Woodgate, W.; Ma, X.; Doody, T.M. Prediction of Open Woodland Transpiration Incorporating Sun-Induced Chlorophyll Fluorescence and Vegetation Structure. Remote Sens. 2024, 16, 143. https://doi.org/10.3390/rs16010143
Gao S, Woodgate W, Ma X, Doody TM. Prediction of Open Woodland Transpiration Incorporating Sun-Induced Chlorophyll Fluorescence and Vegetation Structure. Remote Sensing. 2024; 16(1):143. https://doi.org/10.3390/rs16010143
Chicago/Turabian StyleGao, Sicong, William Woodgate, Xuanlong Ma, and Tanya M. Doody. 2024. "Prediction of Open Woodland Transpiration Incorporating Sun-Induced Chlorophyll Fluorescence and Vegetation Structure" Remote Sensing 16, no. 1: 143. https://doi.org/10.3390/rs16010143
APA StyleGao, S., Woodgate, W., Ma, X., & Doody, T. M. (2024). Prediction of Open Woodland Transpiration Incorporating Sun-Induced Chlorophyll Fluorescence and Vegetation Structure. Remote Sensing, 16(1), 143. https://doi.org/10.3390/rs16010143

