Using Night Lights from Space to Assess Areas Impacted by the 2023 Turkey Earthquake
Abstract
1. Introduction
2. Materials and Methods
2.1. Earthquake Data
2.2. Night Lights Satellite Data
2.3. Additional Datasets
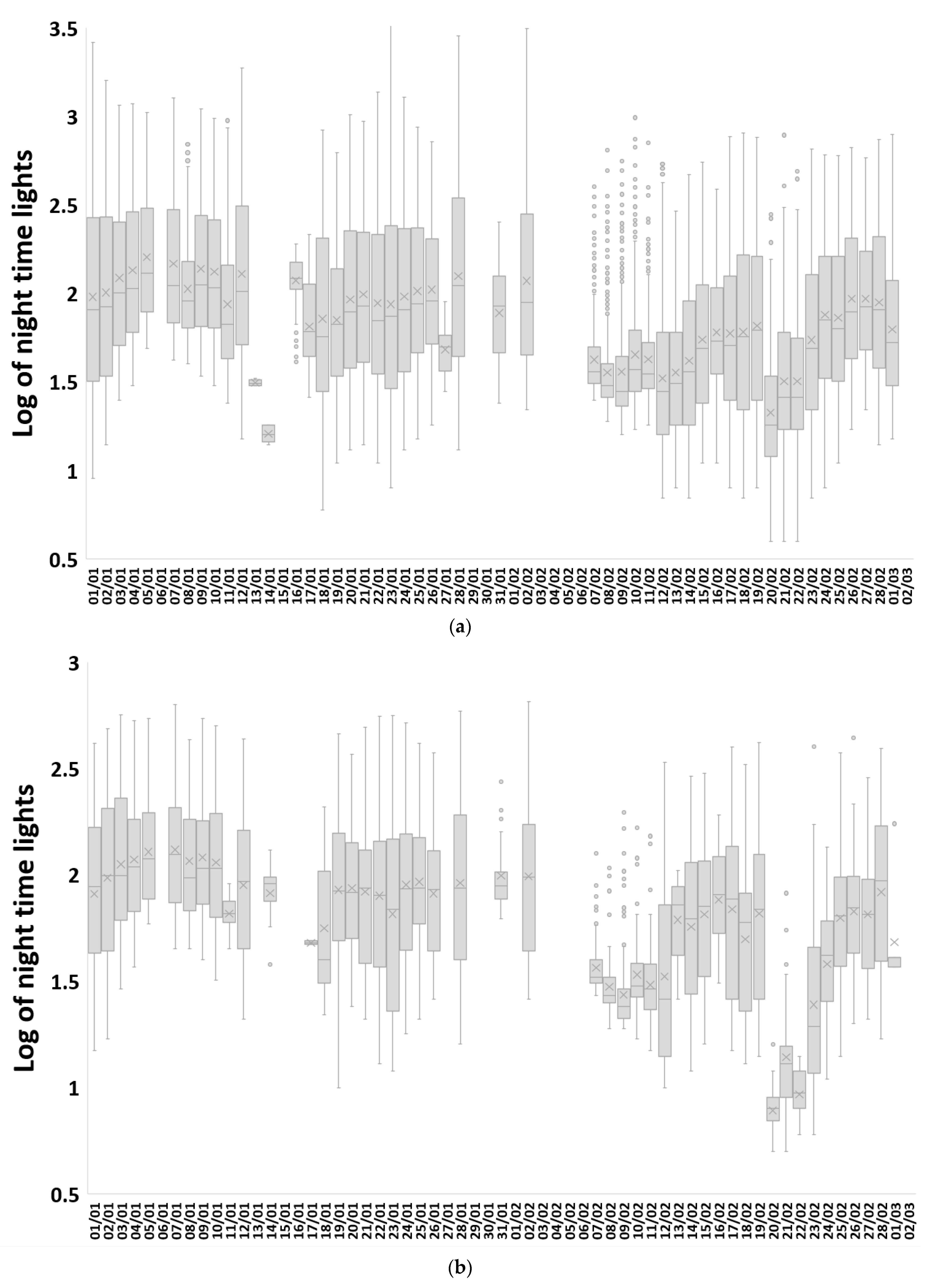
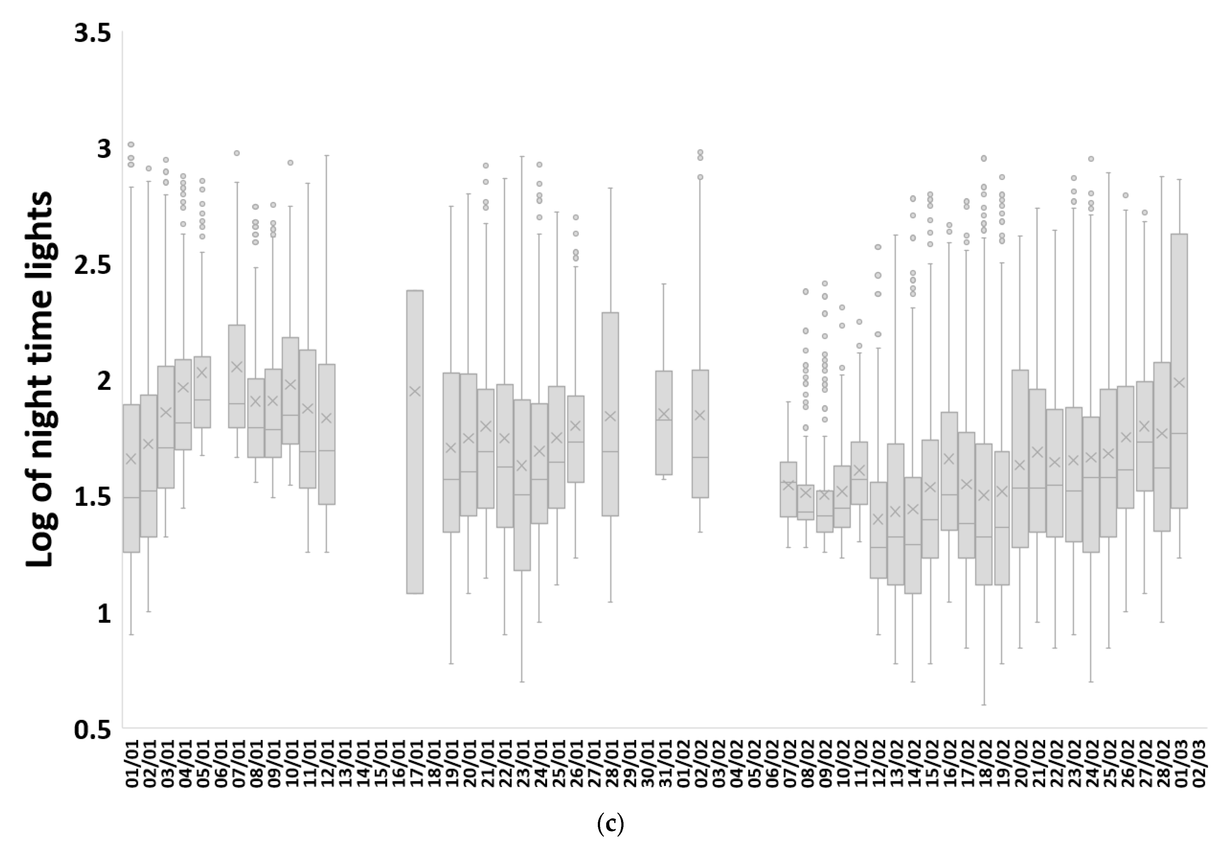
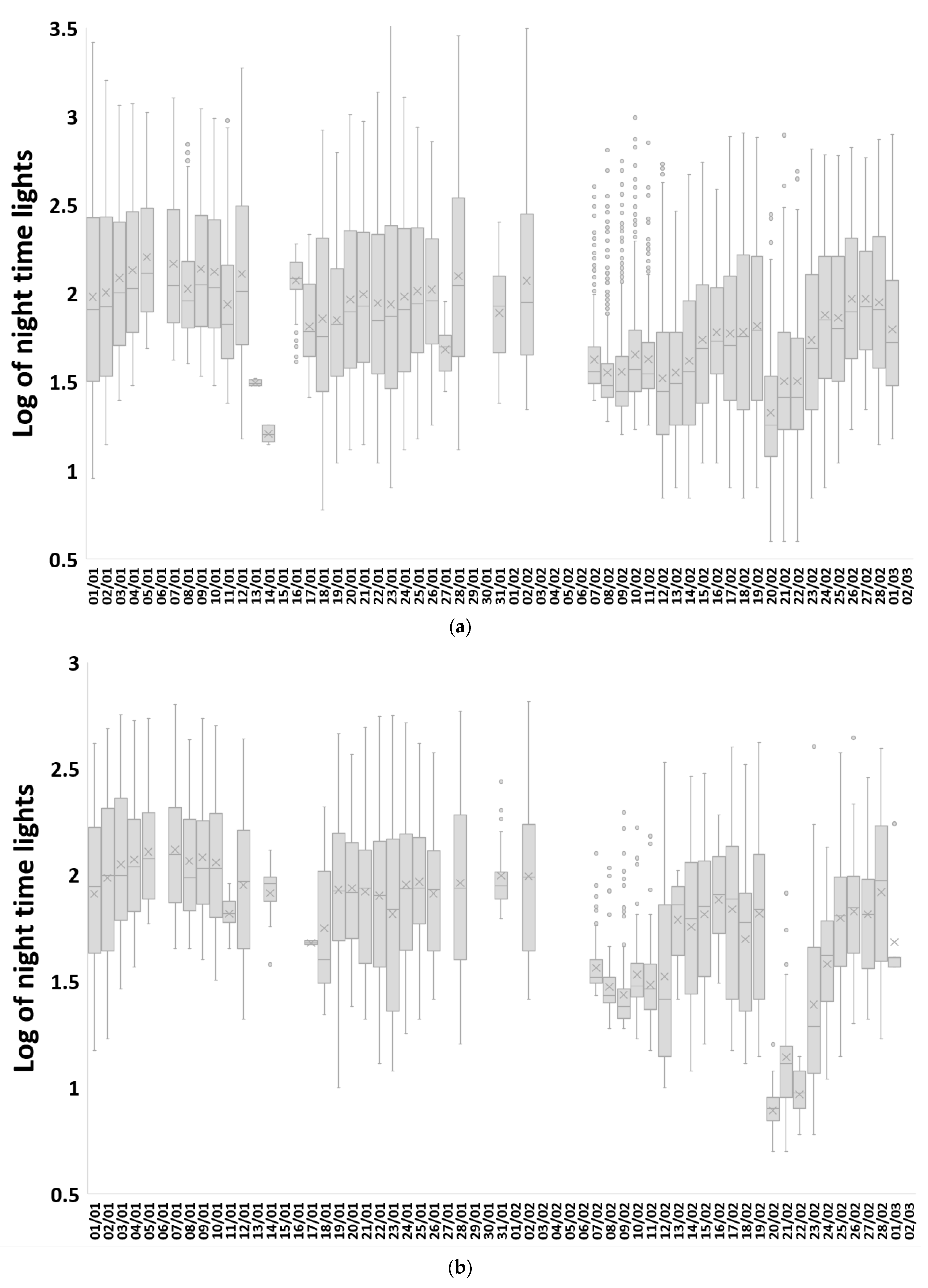
3. Results
4. Discussion and Conclusions
Funding
Data Availability Statement
Acknowledgments
Conflicts of Interest
References
- Bilham, R. Lessons from the Haiti Earthquake. Nature 2010, 463, 878–879. [Google Scholar] [CrossRef] [PubMed]
- Dal Zilio, L.; Ampuero, J.-P. Earthquake Doublet in Turkey and Syria. Commun. Earth Environ. 2023, 4, 71. [Google Scholar] [CrossRef]
- Geller, R.J.; Jackson, D.D.; Kagan, Y.Y.; Mulargia, F. Earthquakes Cannot Be Predicted. Science 1997, 275, 1616. [Google Scholar] [CrossRef]
- Stemberk, J.; Košťák, B.; Cacoń, S. A Tectonic Pressure Pulse and Increased Geodynamic Activity Recorded from the Long-Term Monitoring of Faults in Europe. Tectonophysics 2010, 487, 1–12. [Google Scholar] [CrossRef]
- Allen, R.M.; Stogaitis, M. Global Growth of Earthquake Early Warning. Science 2022, 375, 717–718. [Google Scholar] [CrossRef]
- Worden, C.B. ShakeMap Manual 2016; U. S. Geological Survey: Reston, Virginia, 2016.
- Joyce, K.E.; Belliss, S.E.; Samsonov, S.V.; McNeill, S.J.; Glassey, P.J. A Review of the Status of Satellite Remote Sensing and Image Processing Techniques for Mapping Natural Hazards and Disasters. Prog. Phys. Geogr. Earth Environ. 2009, 33, 183–207. [Google Scholar] [CrossRef]
- Tralli, D.M.; Blom, R.G.; Zlotnicki, V.; Donnellan, A.; Evans, D.L. Satellite Remote Sensing of Earthquake, Volcano, Flood, Landslide and Coastal Inundation Hazards. ISPRS J. Photogramm. Remote Sens. 2005, 59, 185–198. [Google Scholar] [CrossRef]
- Witmer, F.D.W. Remote Sensing of Violent Conflict: Eyes from Above. Int. J. Remote Sens. 2015, 36, 2326–2352. [Google Scholar] [CrossRef]
- Levin, N.; Ali, S.; Crandall, D. Utilizing Remote Sensing and Big Data to Quantify Conflict Intensity: The Arab Spring as a Case Study. Appl. Geogr. 2018, 94, 1–17. [Google Scholar] [CrossRef]
- Rosen, J. Shifting Ground. Science 2021, 371, 876–880. [Google Scholar] [CrossRef]
- Provost, F.; Michéa, D.; Malet, J.-P.; Boissier, E.; Pointal, E.; Stumpf, A.; Pacini, F.; Doin, M.-P.; Lacroix, P.; Proy, C.; et al. Terrain Deformation Measurements from Optical Satellite Imagery: The MPIC-OPT Processing Services for Geohazards Monitoring. Remote Sens. Environ. 2022, 274, 112949. [Google Scholar] [CrossRef]
- Stryker, T.; Jones, B. Disaster Response and the International Charter Program. Photogramm. Eng. Remote Sens. 2009, 2009, 1342–1344. [Google Scholar]
- Directorate Space, Security and Migration, European Commission Joint Research Centre (EC JRC). Copernicus Emergency Management Service; Publications Office of the European Union: Luxemburg, 2023. [Google Scholar]
- Levin, N.; Kyba, C.C.M.; Zhang, Q.; Sánchez de Miguel, A.; Román, M.O.; Li, X.; Portnov, B.A.; Molthan, A.L.; Jechow, A.; Miller, S.D.; et al. Remote Sensing of Night Lights: A Review and an Outlook for the Future. Remote Sens. Environ. 2020, 237, 111443. [Google Scholar] [CrossRef]
- Román, M.O.; Wang, Z.; Sun, Q.; Kalb, V.; Miller, S.D.; Molthan, A.; Schultz, L.; Bell, J.; Stokes, E.C.; Pandey, B.; et al. NASA’s Black Marble Nighttime Lights Product Suite. Remote Sens. Environ. 2018, 210, 113–143. [Google Scholar] [CrossRef]
- Li, T.; Zhu, Z.; Wang, Z.; Román, M.O.; Kalb, V.L.; Zhao, Y. Continuous Monitoring of Nighttime Light Changes Based on Daily NASA’s Black Marble Product Suite. Remote Sens. Environ. 2022, 282, 113269. [Google Scholar] [CrossRef]
- Machlis, G.E.; Román, M.O.; Pickett, S.T.A. A Framework for Research on Recurrent Acute Disasters. Sci. Adv. 2022, 8, eabk2458. [Google Scholar] [CrossRef]
- Román, M.O.; Stokes, E.C.; Shrestha, R.; Wang, Z.; Schultz, L.; Carlo, E.A.S.; Sun, Q.; Bell, J.; Molthan, A.; Kalb, V.; et al. Satellite-Based Assessment of Electricity Restoration Efforts in Puerto Rico after Hurricane Maria. PLoS ONE 2019, 14, e0218883. [Google Scholar] [CrossRef]
- Levin, N.; Phinn, S. Assessing the 2022 Flood Impacts in Queensland Combining Daytime and Nighttime Optical and Imaging Radar Data. Remote Sens. 2022, 14, 5009. [Google Scholar] [CrossRef]
- Naddaf, M. Turkey–Syria Earthquake: What Scientists Know. Nature 2023, 614, 398–399. [Google Scholar] [CrossRef]
- Wang, N.; Hu, Y.; Li, X.M.; Kang, C.; Yan, L. AOD Derivation from SDGSAT-1/GLI Dataset in Mega-City Area. Remote Sens. 2023, 15, 1343. [Google Scholar] [CrossRef]
- Tang, Y.; Dou, C.; Li, X.; Liu, J. SDGSAT-1 Data Users Handbook (Draft); International Research Center of Big Data for Sustainable Development Goals: Beijing, China, 2022. [Google Scholar]
- Styron, R.; Pagani, M. The GEM Global Active Faults Database. Earthq. Spectra 2020, 36, 160–180. [Google Scholar] [CrossRef]
- Melchiorri, M.; Pesaresi, M.; Florczyk, A.; Corbane, C.; Kemper, T. Principles and Applications of the Global Human Settlement Layer as Baseline for the Land Use Efficiency Indicator—SDG 11.3.1. IJGI 2019, 8, 96. [Google Scholar] [CrossRef]
- DEEP Türkiye Earthquake February 2023, Bi-Weekly Highlights—03/03/2023 2023. Data Frinedly Space. Available online: https://reliefweb.int/report/turkiye/turkiye-earthquake-february-2023-bi-weekly-highlights-03032023 (accessed on 14 April 2023).
- Herfort, B.; Lautenbach, S.; Porto de Albuquerque, J.; Anderson, J.; Zipf, A. The Evolution of Humanitarian Mapping within the OpenStreetMap Community. Sci. Rep. 2021, 11, 3037. [Google Scholar] [CrossRef] [PubMed]
- Geiß, C.; Taubenböck, H. Remote Sensing Contributing to Assess Earthquake Risk: From a Literature Review towards a Roadmap. Nat. Hazards 2013, 68, 7–48. [Google Scholar] [CrossRef]
- Zhao, X.; Yu, B.; Liu, Y.; Yao, S.; Lian, T.; Chen, L.; Yang, C.; Chen, Z.; Wu, J. NPP-VIIRS DNB Daily Data in Natural Disaster Assessment: Evidence from Selected Case Studies. Remote Sens. 2018, 10, 1526. [Google Scholar] [CrossRef]
- Gao, S.; Chen, Y.; Liang, L.; Gong, A. Post-Earthquake Night-Time Light Piecewise (PNLP) Pattern Based on NPP/VIIRS Night-Time Light Data: A Case Study of the 2015 Nepal Earthquake. Remote Sens. 2020, 12, 2009. [Google Scholar] [CrossRef]
- Tveit, T.; Skoufias, E.; Strobl, E. Using VIIRS Nightlights to Estimate the Impact of the 2015 Nepal Earthquakes. Geoenviron. Disasters 2022, 9, 2. [Google Scholar] [CrossRef]
- Fan, X.; Nie, G.; Deng, Y.; An, J.; Zhou, J.; Li, H. Rapid Detection of Earthquake Damage Areas Using VIIRS Nearly Constant Contrast Night-Time Light Data. Int. J. Remote Sens. 2019, 40, 2386–2409. [Google Scholar] [CrossRef]
- McCallum, I.; Kyba, C.C.M.; Bayas, J.C.L.; Moltchanova, E.; Cooper, M.; Cuaresma, J.C.; Pachauri, S.; See, L.; Danylo, O.; Moorthy, I.; et al. Estimating Global Economic Well-Being with Unlit Settlements. Nat. Commun. 2022, 13, 2459. [Google Scholar] [CrossRef]
- Elvidge, C.D.; Cinzano, P.; Pettit, D.R.; Arvesen, J.; Sutton, P.; Small, C.; Nemani, R.; Longcore, T.; Rich, C.; Safran, J.; et al. The Nightsat Mission Concept. Int. J. Remote Sens. 2007, 28, 2645–2670. [Google Scholar] [CrossRef]
- Levin, N. The Impact of Seasonal Changes on Observed Nighttime Brightness from 2014 to 2015 Monthly VIIRS DNB Composites. Remote Sens. Environ. 2017, 193, 150–164. [Google Scholar] [CrossRef]
- UNOSAT. Light Loss Assessment Following the Marash/Antep Earthquake (6 February 2022, Mw 7.8) Using Night-Time Light Imagery; UNOSAT, United Nations Institute for Training and Research (UNITAR): Geneva, Switzerland, 2023; Available online: https://unosat.org/products/3495 (accessed on 14 April 2023).
- Ghosh, T.; Elvidge, C.; Zhizhin, M. VIIRS Day/Night Band Power Outage Analysis for the 6 February 2023 Earthquake in Turkey and Syria; Colorado School of Mines Repository: Golden, CO, USA, 2023; p. 9. Available online: https://repository.mines.edu/handle/11124/16505 (accessed on 14 April 2023).
- Yu, B.; Chen, F.; Wang, N.; Wang, L.; Guo, H. Assessing Changes in Nighttime Lighting in the Aftermath of the Turkey-Syria Earthquake Using SDGSAT-1 Satellite Data. Innovation 2023, 4, 100419. [Google Scholar] [CrossRef]












Disclaimer/Publisher’s Note: The statements, opinions and data contained in all publications are solely those of the individual author(s) and contributor(s) and not of MDPI and/or the editor(s). MDPI and/or the editor(s) disclaim responsibility for any injury to people or property resulting from any ideas, methods, instructions or products referred to in the content. |
© 2023 by the author. Licensee MDPI, Basel, Switzerland. This article is an open access article distributed under the terms and conditions of the Creative Commons Attribution (CC BY) license (https://creativecommons.org/licenses/by/4.0/).
Share and Cite
Levin, N. Using Night Lights from Space to Assess Areas Impacted by the 2023 Turkey Earthquake. Remote Sens. 2023, 15, 2120. https://doi.org/10.3390/rs15082120
Levin N. Using Night Lights from Space to Assess Areas Impacted by the 2023 Turkey Earthquake. Remote Sensing. 2023; 15(8):2120. https://doi.org/10.3390/rs15082120
Chicago/Turabian StyleLevin, Noam. 2023. "Using Night Lights from Space to Assess Areas Impacted by the 2023 Turkey Earthquake" Remote Sensing 15, no. 8: 2120. https://doi.org/10.3390/rs15082120
APA StyleLevin, N. (2023). Using Night Lights from Space to Assess Areas Impacted by the 2023 Turkey Earthquake. Remote Sensing, 15(8), 2120. https://doi.org/10.3390/rs15082120
