Multiscale Analysis of Reflected Radiation on Lunar Surface Region Based on MRRT Model
Abstract
1. Introduction
2. Methodology
2.1. Creation of Multiscale Digital Elevation Models
2.2. MRRT Model-Based Albedo Derivation
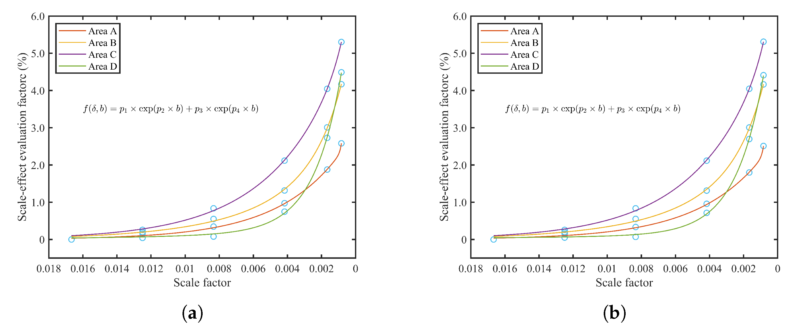
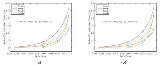
2.3. Scale-Effect Evaluation Factor
2.4. Scale-Effect Function
3. Results
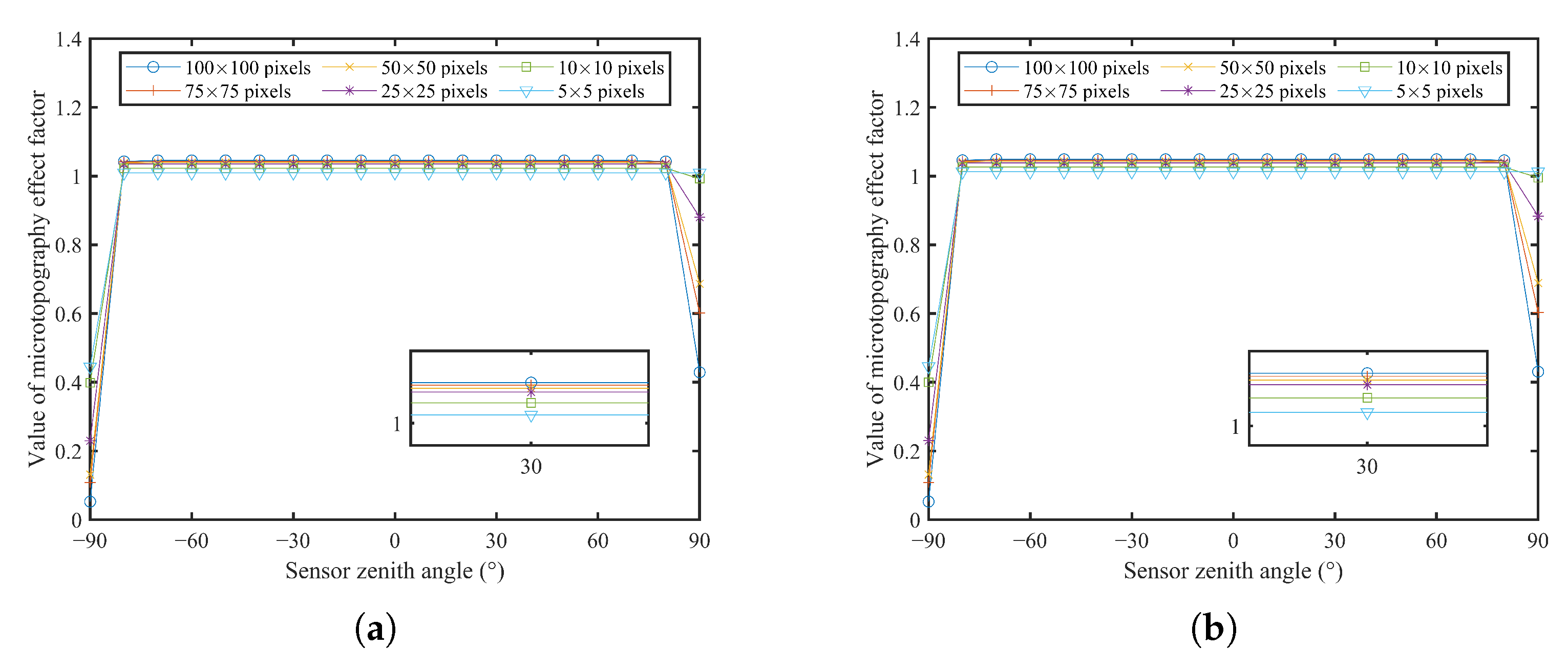
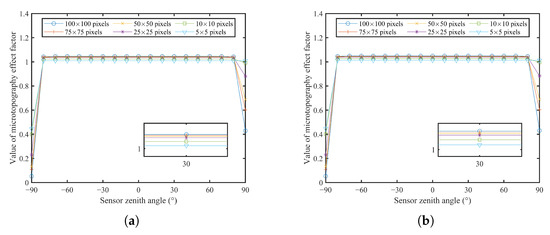
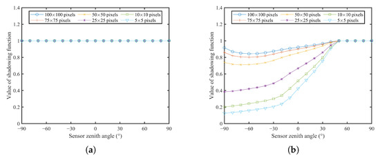
3.1. Multiscale Comparison of the Hapke Model and MRRT Model
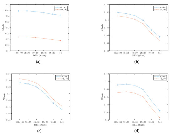
3.2. Albedo of Multiscale DEMs Based on the MRRT Model
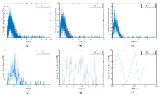
3.3. Applied on Other Lunar Regions
4. Discussion
Author Contributions
Funding
Data Availability Statement
Conflicts of Interest
Appendix A
Appendix A.1


Appendix A.2

References
- Stone, T.; Kieffer, H. Absolute Irradiance of the Moon for On-orbit Calibration. In Proceedings of the SPIE-The International Society for Optical Engineering, Seattle, WA, USA, 7–10 July 2002; Volume 4814. [Google Scholar] [CrossRef]
- Stone, T.C.; Kieffer, H.H. Assessment of Uncertainty in ROLO Lunar Irradiance for On-Orbit Calibration. Proc. SPIE 2004, 5542, 300–310. [Google Scholar] [CrossRef]
- Wagner, S.C.; Hewison, T.; Stone, T.; Lachérade, S.; Fougnie, B.; Xiong, X. A Summary of the Joint GSICS – CEOS/IVOS Lunar Calibration Workshop: Moving towards Intercalibration Using the Moon as a Transfer Target. Proc. SPIE 2015, 9639, 96390Z. [Google Scholar] [CrossRef]
- Liu, Y.; Guo, Q.; Wang, G. MRRT: Modeling of Multiple Reflections of Radiation between Terrains Applied on the Lunar Surface Region. IEEE Trans. Geosci. Remote Sens. 2022, 60, 5413417. [Google Scholar] [CrossRef]
- Li, X.W.; Wang, Y.T. Prospects on Future Developments of Quantitative Remote Sensing. J. Geogr. Sci. 2013, 68, 1163–1169. [Google Scholar]
- Li, X.W. Retrospect, Prospect and Innovation in Quantitative Remote Sensing. J. Henan Univ. Nat. Sci. 2005, 35, 49–56. [Google Scholar]
- Wu, X.; Wen, J.; Xiao, Q.; You, D.; Gong, B.; Wang, J.; Ma, D.; Lin, X. Spatial Heterogeneity of Albedo at Subpixel Satellite Scales and Its Effect in Validation: Airborne Remote Sensing Results From HiWATER. IEEE Trans. Geosci. Remote Sens. 2022, 60, 21532871. [Google Scholar] [CrossRef]
- Wen, J.; Liu, Q.; Xiao, Q.; Liu, Q.; You, D.; Hao, D.; Wu, S.; Lin, X. Characterizing Land Surface Anisotropic Reflectance over Rugged Terrain: A Review of Concepts and Recent Developments. Remote Sens. 2018, 10, 370. [Google Scholar] [CrossRef]
- Wu, X.; Wen, J.; Xiao, Q.; You, D.; Wang, J.; Ma, D.; Lin, X. A Multiscale Nested Sampling Method for Representative Albedo Observations at Various Pixel Scales. IEEE J. Sel. Top. Appl. Earth Obs. Remote Sens. 2021, 14, 8193–8207. [Google Scholar] [CrossRef]
- Zeng, X.; Li, C. The Influence of Heterogeneity on Lunar Irradiance Based on Multiscale Analysis. Remote Sens. 2019, 11, 2696. [Google Scholar] [CrossRef]
- McEwen, A.; Eliason, E.; Lucey, P.; Malaret, E.; Pieters, C.; Robinson, M.; Sucharski, T. Summary of Radiometric Calibration and Photometric Normalization Steps for the Clementine UVVIS Images. In Proceedings of the 29th Annual Lunar and Planetary Science Conference, Houston, TX, USA, 1 March 1998; p. 1466. [Google Scholar]
- Yokota, Y.; Matsunaga, T.; Ohtake, M.; Haruyama, J.; Nakamura, R.; Yamamoto, S.; Ogawa, Y.; Morota, T.; Honda, C.; Saiki, K.; et al. Lunar Photometric Properties at Wavelengths 0.5–1.6μm Acquired by SELENE Spectral Profiler and Their Dependency on Local Albedo and Latitudinal Zones. Icarus 2011, 215, 639–660. [Google Scholar] [CrossRef]
- Wu, Y.; Besse, S.; Li, J.Y.; Combe, J.P.; Wang, Z.; Zhou, X.; Wang, C. Photometric Correction and In-Flight Calibration of Chang’ E-1 Interference Imaging Spectrometer (IIM) Data. Icarus 2013, 222, 283–295. [Google Scholar] [CrossRef]
- Wu, Y.; Hu, X.; Li, S. The Irradiance Model of the Moon and Its Implication on the On-orbit Calibration of Spacecraft. In Proceedings of the 4th Annual Conference on High Resolution Earth Observation, Wuhan, China, 17 September 2017; p. 9. [Google Scholar]
- Chen, S.B.; Wang, J.R.; Guo, P.J.; Wang, M.C. Sandmeier Model Based Topographic Correction to Lunar Spectral Profiler (SP) Data from KAGUYA Satellite. Spectrosc. Spectr. Anal. 2014, 34, 2573–2577. [Google Scholar] [CrossRef]
- Shepherd, J.D.; Dymond, J.R. Correcting Satellite Imagery for the Variance of Reflectance and Illumination with Topography. Int. J. Remote Sens. 2003, 24, 3503–3514. [Google Scholar] [CrossRef]
- Sandmeier, S.; Itten, K.I.J.G. A Physically-Based Model to Correct Atmospheric and Illumination Effects in Optical Satellite Data of Rugged Terrain. IEEE Trans. Geosci. Remote Sens. 1997, 35, 708–717. [Google Scholar] [CrossRef]
- Hapke, B.W. A Theoretical Photometric Function for the Lunar Surface. J. Geophys. Res. 1963, 68, 4571–4586. [Google Scholar] [CrossRef]
- Xu, X.; Liu, J.; Liu, D.; Liu, B.; Shu, R. Photometric Correction of Chang’E-1 Interference Imaging Spectrometer’s (IIM) Limited Observing Geometries Data with Hapke Model. Remote Sens. 2020, 12, 3676. [Google Scholar] [CrossRef]
- Hapke, B. Theory of Reflectance and Emittance Spectroscopy, 2nd ed.; United States of America by Cambridge University Press: New York, NY, USA, 2012. [Google Scholar]
- Proy, C.; Tanre, D.; Deschamps, P. Evaluation of Topographic Effects in Remotely Sensed Data. Remote Sens. Environ. 1989, 30, 21–32. [Google Scholar] [CrossRef]
- Barker, M.; Mazarico, E.; Neumann, G.; Zuber, M.; Haruyama, J.; Smith, D. A New Lunar Digital Elevation Model from the Lunar Orbiter Laser Altimeter and SELENE Terrain Camera. Icarus 2016, 273, 346–355. [Google Scholar] [CrossRef]
- Shannon, C.E. A Mathematical Theory of Communication. Bell Syst. Tech. J. 1948, 27, 379–423. [Google Scholar] [CrossRef]
- Hapke, B. Bidirectional Reflectance Spectroscopy: 3. Correction for Macroscopic Roughness. Icarus 1984, 59, 41–59. [Google Scholar] [CrossRef]
- Wen, J.; Liu, Q.; Liu, Q.; Xiao, Q.; Li, X. Scale Effect and Scale Correction of Land-Surface Albedo in Rugged Terrain. Int. J. Remote Sens. 2009, 30, 5397–5420. [Google Scholar] [CrossRef]
- Ouyang, Z. Introduction to Lunar Science; China Aerospace Publishing House: Beijing, China, 2005. [Google Scholar]
- Shkuratov, Y.; Kreslavsky, M.; Ovcharenko, A.; Stankevich, D.; Zubko, E.; Pieters, C.; Arnold, G. Opposition Effect from Clementine Data and Mechanisms of Backscatter. Icarus 1999, 141, 132–155. [Google Scholar] [CrossRef]
- Shkuratov, Y.; Kaydash, V.; Korokhin, V.; Velikodsky, Y.; Opanasenko, N.; Videen, G. Optical Measurements of the Moon as a Tool to Study Its Surface. Planet. Space Sci. 2011, 59, 1326–1371. [Google Scholar] [CrossRef]










| Size (Pixels) | ||||||
|---|---|---|---|---|---|---|
| Entropy | 4.637891 | 4.218428 | 4.195238 | 3.138591 | 2.798955 | 1.498689 |
Disclaimer/Publisher’s Note: The statements, opinions and data contained in all publications are solely those of the individual author(s) and contributor(s) and not of MDPI and/or the editor(s). MDPI and/or the editor(s) disclaim responsibility for any injury to people or property resulting from any ideas, methods, instructions or products referred to in the content. |
© 2023 by the authors. Licensee MDPI, Basel, Switzerland. This article is an open access article distributed under the terms and conditions of the Creative Commons Attribution (CC BY) license (https://creativecommons.org/licenses/by/4.0/).
Share and Cite
Liu, Y.; Guo, Q.; Wang, G. Multiscale Analysis of Reflected Radiation on Lunar Surface Region Based on MRRT Model. Remote Sens. 2023, 15, 1158. https://doi.org/10.3390/rs15041158
Liu Y, Guo Q, Wang G. Multiscale Analysis of Reflected Radiation on Lunar Surface Region Based on MRRT Model. Remote Sensing. 2023; 15(4):1158. https://doi.org/10.3390/rs15041158
Chicago/Turabian StyleLiu, Yunfei, Qiang Guo, and Guifu Wang. 2023. "Multiscale Analysis of Reflected Radiation on Lunar Surface Region Based on MRRT Model" Remote Sensing 15, no. 4: 1158. https://doi.org/10.3390/rs15041158
APA StyleLiu, Y., Guo, Q., & Wang, G. (2023). Multiscale Analysis of Reflected Radiation on Lunar Surface Region Based on MRRT Model. Remote Sensing, 15(4), 1158. https://doi.org/10.3390/rs15041158

