Construction of the Global Reference Atmospheric Profile Database
Abstract
1. Introduction
2. Materials and Methods
2.1. Data Sources
- (1)
- ACE-FTS L2 products
- (2)
- AIRS L2 products
- (3)
- ERA5 reanalysis data
2.2. Methods
2.2.1. Database Metadata
2.2.2. Atmospheric Profile Samples Acquisition
2.2.3. Data Quality Control
2.2.4. Missing Data Filling
2.2.5. Standardization of Atmospheric Profiles
2.2.6. Creation of the Global Reference Atmospheric Profile Database
- (1)
- The random forest model has a random nature in sample extraction and feature selection, and the algorithm is not prone to over-fitting;
- (2)
- When creating the random forest, an unbiased estimate of the Generalization Error is used, and the model has a strong generalization capability;
- (1)
- Using the Bootstrap sampling method with put-back, n samples are randomly selected from the original dataset, and the samples that are not drawn (Out of Bag, OBB) form the test set;
- (2)
- Construct n decision trees, select m features from the training sample data, choose the best feature to split, and keep splitting each tree until all training samples at that node belong to the same class;
- (3)
- Repeat both steps (1) and (2), and finally form the generated multiple classification trees into a random forest regression model;
- (4)
- Integrate all the generated decision trees for prediction to obtain the final prediction results.
3. GRAP-Based Simulation Validation
4. Comparison of Reference Profiles and Discussion
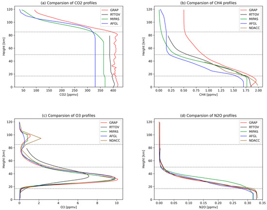
4.1. Comparison of Equatorial Reference Profiles
4.2. Comparison of Reference Northern Hemisphere Mid-Latitude Summer Profiles
4.3. Comparison of Reference Polar Winter Profiles
4.4. Comparison of Reference Atmospheric Temperature Profiles in China
5. Conclusions
- (1)
- GRAP provides extensive coverage on a global scale, presenting a comprehensive composition of the atmosphere that accurately presents its current state.
- (2)
- Four atmospheric reference profile databases were used as input parameters for the RFM radiative transfer model to simulate the FY-3E HIRAS-II absorption spectrum and compare it with the measured spectrum. The results illustrate that the spectral simulation of GRAP as an input parameter is a better fit for the measured HIRAS-II spectrum.
- (3)
- The atmospheric profiles of the four reference atmospheric profile databases were compared to the measured atmospheric profiles from NDACC and the column total concentrations measured by WDCGG. The findings indicate substantial updates in the gas components of GRAP compared to the other three databases. Notably, the four greenhouse gases (CO2, CH4, O3 and N2O) of GRAP demonstrate better alignment with the current atmospheric conditions.
- (4)
- Comparing the reference temperature profiles of GRAP for eight distinct regions of China reveals that these profiles effectively capture the climatic conditions. The fine spatial and temporal grids enable GRAP to achieve superior regional representativeness compared to previous reference atmospheric profile databases. Consequently, GRAP exhibits enhanced regional representation capabilities.
Author Contributions
Funding
Data Availability Statement
Acknowledgments
Conflicts of Interest
References
- Shi, G.Y.; Dai, T.; Xu, N. Recent progress in the study of atmospheric CO2 concentration by satellite remote sensing. Adv. Earth Sci. 2010, 25, 7–13. [Google Scholar]
- Li, X.Y.; Xu, J.; Cheng, T.H.; Shi, H.L.; Zhang, X.Y.; Ge, S.L.; Wang, H.M.; Zhu, S.Y.; Miao, J.; Luo, Q. Monitoring Trace Gases over the Antarctic Using Atmospheric Infrared Ultraspectral Sounder Onboard GaoFen-5: Algorithm Description and First Retrieval Results of O3, H2O, and HCl. Remote Sens. 2019, 11, 1991. [Google Scholar] [CrossRef]
- Wang, H.M.; Li, X.Y.; Chen, L.F.; Wang, Y.P.; Zhang, Y.; Zou, M.M.; Yu, C.; Zhu, S.Y. Sensitivity analysis of terahertz proximity detection of O3 and HCl. J. Remote Sens. 2017, 21, 653–664. [Google Scholar]
- Bauer, P.; Auligne, T.; Bell, W.; Geer, A.; Guidard, V.; Heilliette, S.; Kazumori, M.; Kim, M.; Liu, E.; McNally, A.; et al. Satellite Cloud and Precipitation Assimilation at Operational NWP Centres. Q. J. R. Meteorol. Soc. 2011, 137, 1934–1951. [Google Scholar] [CrossRef]
- Wei, H.L.; Dai, C.M. Research of atmospheric transfer correction in radiance measurement: Atmospheric radiative transfer model and the analysis of key atmospheric parameters. Infrared Laser Eng. 2014, 43, 884–890. [Google Scholar] [CrossRef]
- Chevallier, F.; Chedin, A.; Cheruy, F.; Morcrette, J. TIGR-like Atmospheric-Profile Databases for Accurate Radiative-Flux Computation. Q. J. R. Meteorol. Soc. 2000, 126, 777–785. [Google Scholar] [CrossRef]
- Simmons, A.J.; Gibson, J.K. ERA-40 Project Report Series No. 1; European Centre for Medium Range Weather Forecasts: Reading, UK, 2000. [Google Scholar]
- Matricardi, M.; Saunder, R.W. A Fast Radiative Transfer Model for Simulation of IASI Radiances; Technical Memoranda; ECMWF: Reading, UK, 2000; 23p. [Google Scholar] [CrossRef]
- Tjemkes, S.; Schmetz, J. Synthetic Satellite Radiances Using the Radiance Sampling Method. J. Geophys. Res. Atmos. 1997, 102, 1807–1818. [Google Scholar] [CrossRef]
- Chevallier, F. Sampled Database of 60-Level Atmospheric Profiles from the ECMWF Analyses; ECMWF: Reading, UK, 2002. [Google Scholar]
- Saunders, R.W.; Matricardi, M.; Brunel, P. A Fast Radiative Transfer Model for Assimilation of Satellite Radiance Observations—RTTOV-5; ECMWF: Reading, UK, 1999. [Google Scholar]
- Matricardi, M.; Chevallier, F.; Kelly, G.; Thepaut, J. An Improved General Fast Radiative Transfer Model for the Assimilation of Radiance Observations. Q. J. R. Meteorol. Soc. 2004, 130, 153–173. [Google Scholar] [CrossRef]
- Chevallier, F. TIGR-Like Sampled Databases of Atmospheric Profiles from the ECMWF 50-Level Forecast Model; European Centre for Medium Range Weather Forecasts: Reading, UK, 1999. [Google Scholar]
- Eyre, J. A Fast Radiative Transfer Model for Satellite Sounding Systems; Tech. Memo 176; ECMWF: Reading, UK, 1991. [Google Scholar]
- Qi, C.L.; Dong, C.H.; Zhang, W.J. Characterization of a typical regional atmospheric sample base in China based on radiative transfer model. Meteorol. Sci. Technol. 2004, 32, 357–362. [Google Scholar] [CrossRef]
- Qi, C.L.; Liu, H.; Ma, G.; Zhang, P.; Wu, X.B. A selection method for a sample library of typical atmospheric profiles in the Chinese region. J. Appl. Meteorol. 2010, 21, 70–75. [Google Scholar] [CrossRef]
- Kneizys, F.X. Users Guide to LOWTRAN 7; Air Force Geophysics Laboratory: Hanscom AFB, MA, USA, 1988; Volume 88. [Google Scholar]
- Berk, A.; Anderson, G.P.; Bernstein, L.S.; Acharya, P.K.; Dothe, H.; Matthew, M.W.; Adler-Golden, S.M.; Chetwynd, J.H., Jr.; Richtsmeier, S.C.; Pukall, B. MODTRAN4 Radiative Transfer Modeling for Atmospheric Correction; SPIE: Bellingham, WA, USA, 1999; Volume 3756, pp. 348–353. [Google Scholar]
- Turner, D.; Tobin, D.; Clough, S.; Brown, P.; Ellingson, R.; Mlawer, E.; Knuteson, R.; Revercomb, H.; Shippert, T.; Smith, W.; et al. The QME AERI LBLRTM: A Closure Experiment for Downwelling High Spectral Resolution Infrared Radiance. J. Atmos. Sci. 2004, 61, 2657–2675. [Google Scholar] [CrossRef]
- Isaacs, R.G.; Wang, W.C.; Worsham, R.D.; Goldenberg, S. Multiple scattering Lowtran and Fascode models. Appl. Opt. 1987, 26, 1272–1281. [Google Scholar] [CrossRef] [PubMed]
- Dudhia, A. The Reference Forward Model (RFM). J. Quant. Spectrosc. Radiat. Transf. 2017, 186, 243–253. [Google Scholar] [CrossRef]
- Anderson, G.P.; Chetwynd, J.H.; She, E.P. AFGL Atmospheric Constituent Profiles (0–120 km); Air Force Geophysics Laboratory: Hanscom AFB, MA, USA, 1986. [Google Scholar]
- NOAA-S/T 76-1526; National Aeronautics and Space Administration; United States Air Force; United States Weather Bureau. U.S. Standard At-mosphere (1976). U.S. Government Publishing Office: Washington, DC, USA, 1976.
- Boone, C.D.; Bernath, P.F.; Cok, D.; Jones, S.C.; Steffen, J. Version 4 Retrievals for the Atmospheric Chemistry Experiment Fourier Transform Spectrometer (ACE-FTS) and Imagers. J. Quant. Spectrosc. Radiat. Transf. 2020, 247, 106939. [Google Scholar] [CrossRef]
- Pagano, T.; Chahine, M.; Fetzer, E. The Atmospheric Infrared Sounder (AIRS) on the NASA Aqua Spacecraft: A General Remote Sensing Tool for Understanding Atmospheric Structure, Dynamics and Composition. In Remote Sensing of Clouds and the Atmosphere XV; Picard, R., Schafer, K., Comeron, A., Eds.; SPIE: Bellingham, WA, USA, 2010; Volume 7827. [Google Scholar]
- Hersbach, H.; Bell, B.; Berrisford, P.; Hirahara, S.; Horányi, A.; Muñoz-Sabater, J.; Nicolas, J.; Peubey, C.; Radu, R.; Schepers, D.; et al. The ERA5 Global Reanalysis. Q. J. R. Meteorol. Soc. 2020, 146, 1999–2049. [Google Scholar] [CrossRef]
- Fu, X.S.; Tan, J.G. Quality control methods for ground-based microwave radiometer sounding data. J. Appl. Meteorol. 2017, 28, 209–217. [Google Scholar] [CrossRef]
- Li, H.T.; Shao, Z.D. A review of spatial interpolation analysis algorithms. Comput. Syst. Appl. 2019, 28, 1–8. [Google Scholar]
- Sofieva, V.; Rahpoe, N.; Tamminen, J.; Kyrola, E.; Kalakoski, N.; Weber, M.; Rozanov, A.; von Savigny, C.; Laeng, A.; von Clarmann, T.; et al. Harmonized Dataset of Ozone Profiles from Satellite Limb and Occultation Measurements. Earth Syst. Sci. Data 2013, 5, 349–363. [Google Scholar] [CrossRef]
- Segal, M.R. Machine Learning Benchmarks and Random Forest Regression; UCSF Center for Bioinformatics and Molecular Biostatistics: San Francisco, CA, USA, 2004; Available online: https://escholarship.org/uc/item/35x3v9t4 (accessed on 5 April 2023).
- Remedios, J.J.; Leigh, R.J.; Waterfall, A.M.; Moore, D.P.; Sembhi, H.; Parkes, I.; Greenhough, J.; Chipperfield, M.P.; Hauglustaine, D. MIPAS reference atmospheres and comparisons to V4.61/V4.62 MIPAS level 2 geophysical data sets. Atmos. Chem. Phys. Discuss. 2007, 7, 9973–10017. [Google Scholar] [CrossRef]
- Saunders, R.; Hocking, J.; Rundle, D.; Rayer, P.; Havemann, S.; Matricardi, M.; Geer, A.; Lupu, C.; Brunel, P.; Vidot, J. RTTOV-12 Science and Validation Report; EUMETSAT: Darmstadt, Germany, 2017. [Google Scholar]
- World Meteorological Organization (WMO). The WMO Greenhouse Gas Bulletin (2022) No. 18. Available online: https://library.wmo.int/index.php?lvl=notice_display&id=22149 (accessed on 11 April 2023).
- China Meteorological Administration. The China Greenhouse Gas Bulletin No. 11 Report. Available online: https://www.cma.gov.cn/zfxxgk/gknr/qxbg/202301/t20230119_5274988.html (accessed on 11 April 2023).














| Keywords | Detailed Information |
|---|---|
| Name | Global Reference Atmospheric Profile Database, GRAP |
| Data storage format | .txt |
| Time resolution | January–December, one-month interval (MON1, MON2, MON3, …, MON11, MON12) |
| Spatial resolution | Latitude zones: 5° interval. n for north, s for south. (0n, 0s, 90n, 90s latitude zones are 2.5°) Longitude zones: 30° interval. e for eastern, w for western. (0e, 0w, 180e, 180w longitude zones are 15°) |
| Height level | 0–119 km at 1km intervals, divided into 120 level |
| Atmospheric parameters | Pressure, Temperature, CO2, CH4, O2, NO, N2O, O3, SO2, NH3, SF6, CO, N2, HF, HBr, CF4, NO2, HI, OCS, H2CO, H2O2, C2H2, C2H6, PH3, COF2, H2S, CFCl3, CF2Cl2, CClF3, CHCl2F, OH, CHClF2, ClO, C2Cl3F3, C2Cl2F4, C2ClF5, CCl4, ClONO2, N2O5, HNO4, BrO, CH3Cl, CH3CN, CH3OH, H2O, HCl, HCN, HNO3, HCOOH, HOCl, CCl2F2, HO2, CCl3F, COCl2, COClF, pan(CH3C(O)OONO2), CHF3, HO2NO2, HCFC141b, HCFC142b, HFC134a |
| Data Sources | Height Range | Pressure Range | Number of Layers |
|---|---|---|---|
| ACE-FTS | 0.5–149.5 km | 1013–3.22 × 10−6 hpa | 150 |
| AIRS | - | 1100–1.61 × 10−6 hpa | 100 |
| ERA5 | - | 1000–1 hPa | 37 |
| GRAP | 0–119 km | Differences between grids | 120 |
| Atmospheric Composition | GRAP | RTTOV | MIPAS | AFGL | NDACC | WDCGG | WMO |
|---|---|---|---|---|---|---|---|
| CO2 | 415.25 | 401.54 | 368.03 | 330 | - | 415.53 | 415.7 |
| CH4 | 1.875 | 1.807 | 1.744 | 1.648 | 1.913 | 1.868 | 1.908 |
| O3 | 0.369 | 0.301 | 0.304 | 0.346 | 0.374 | - | - |
| N2O | 0.323 | 0.319 | 0.311 | 0.307 | 0.326 | 0.334 | 0.3345 |
| Atmospheric Composition | GRAP_40n120e | GRAP_40n90w | RTTOV | MIPAS | AFGL | NDACC | CGGB |
|---|---|---|---|---|---|---|---|
| CO2 | 415.15 | 415.46 | 401.54 | 368.03 | 330 | - | 417 |
| CH4 | 1.878 | 1.859 | 1.807 | 1.726 | 1.648 | 1.881 | 1.965 |
| O3 | 0.451 | 0.378 | 0.301 | 0.375 | 0.392 | 0.469 | - |
| N2O | 0.328 | 0.327 | 0.319 | 0.304 | 0.297 | 0.322 | 0.3351 |
| Profile Number | Location Name | Latitude and Longitude | Grid Location |
|---|---|---|---|
| 1 | Harbin | 45.75N, 126.63E | 45n120e |
| 2 | Urumqi | 43.77N, 87.68E | 45n90e |
| 3 | Beijing | 39.92N, 116.42E | 40n120e |
| 4 | Shanghai | 34.50N, 121.43 | 35n120e |
| 5 | Lhasa | 29.60N, 91.00E | 30n90e |
| 6 | Kunming | 25.05N, 102.73E | 25n90e |
| 7 | Guangzhou | 23.13N, 113.27E | 25n120e |
| 8 | Sanya | 18.25N, 109.5E | 20n120e |
Disclaimer/Publisher’s Note: The statements, opinions and data contained in all publications are solely those of the individual author(s) and contributor(s) and not of MDPI and/or the editor(s). MDPI and/or the editor(s) disclaim responsibility for any injury to people or property resulting from any ideas, methods, instructions or products referred to in the content. |
© 2023 by the authors. Licensee MDPI, Basel, Switzerland. This article is an open access article distributed under the terms and conditions of the Creative Commons Attribution (CC BY) license (https://creativecommons.org/licenses/by/4.0/).
Share and Cite
Guo, Y.; Li, X.; Cheng, T.; Li, S.; Zhang, X.; Lu, W.; Fang, W. Construction of the Global Reference Atmospheric Profile Database. Remote Sens. 2023, 15, 3006. https://doi.org/10.3390/rs15123006
Guo Y, Li X, Cheng T, Li S, Zhang X, Lu W, Fang W. Construction of the Global Reference Atmospheric Profile Database. Remote Sensing. 2023; 15(12):3006. https://doi.org/10.3390/rs15123006
Chicago/Turabian StyleGuo, Yuhang, Xiaoying Li, Tianhai Cheng, Shenshen Li, Xinyuan Zhang, Wenjing Lu, and Weifang Fang. 2023. "Construction of the Global Reference Atmospheric Profile Database" Remote Sensing 15, no. 12: 3006. https://doi.org/10.3390/rs15123006
APA StyleGuo, Y., Li, X., Cheng, T., Li, S., Zhang, X., Lu, W., & Fang, W. (2023). Construction of the Global Reference Atmospheric Profile Database. Remote Sensing, 15(12), 3006. https://doi.org/10.3390/rs15123006

