Long-Term Variability of Atmospheric Visual Range (1980–2020) over Diverse Topography of Pakistan
Abstract
1. Introduction
2. Materials and Methods
2.1. Data Source
2.2. Sites Description
2.3. Applied Methodology
2.3.1. Long-Term VR Variability Analysis (Hourly, Weekly, Daily, Monthly, Seasonal, and Annual)
2.3.2. VR Trend
2.3.3. Modified Mann–Kendall (MMK)
2.3.4. Sen’s Slope Method (SS)
2.3.5. Sequential Mann–Kendall (SMK) Test
2.3.6. Spatiotemporal Trends of VR variability
3. Results
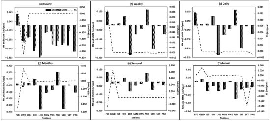
3.1. Daily Time Series Analysis
3.2. Monthly Time Series Analysis
3.3. Seasonal Time Series Analysis
3.4. Annual and Decadal Time Series Analysis
3.5. VR Monotonic Trend Evaluations
3.6. Spatiotemporal VR and Trend Mapping
3.7. Possible Change Point Detection Analysis
4. Discussion
5. Conclusions
Supplementary Materials
Author Contributions
Funding
Data Availability Statement
Acknowledgments
Conflicts of Interest
References
- Ji, D.; Deng, Z.; Sun, X.; Ran, L.; Xia, X.; Fu, D.; Song, Z.; Wang, P.; Wu, Y.; Tian, P.; et al. Estimation of PM2.5 Mass Concentration from Visibility. Adv. Atmos. Sci. 2020, 37, 671–678. [Google Scholar] [CrossRef]
- Shahzad, M.I.; Nichol, J.E.; Campbell, J.R.; Wong, M.S. Assessment of MODIS, OMI, MISR and CALIOP aerosol products for estimating surface visual range: A mathematical model for Hong Kong. Remote Sens. 2018, 10, 1333. [Google Scholar] [CrossRef]
- Banerjee, S.; Padmakumari, B. Spatiotemporal variability and evolution of day and night winter fog over the Indo Gangetic Basin using INSAT-3D and comparison with surface visibility and aerosol optical depth. Sci. Total Environ. 2020, 745, 140962. [Google Scholar] [CrossRef] [PubMed]
- Araghi, A.; Mousavi-Baygi, M.; Adamowski, J.; Martinez, C.J. Analyzing trends of days with low atmospheric visibility in Iran during 1968–2013. Environ. Monit. Assess. 2019, 191, 1–14. [Google Scholar] [CrossRef] [PubMed]
- Fu, W.; Liu, Q.; van den Bosch, C.K.; Chen, Z.; Zhu, Z.; Qi, J.; Wang, M.; Dang, E.; Dong, J. Long-term atmospheric visibility trends and their relations to socioeconomic factors in Xiamen city, China. Int. J. Environ. Res. Public Health 2018, 15, 2239. [Google Scholar] [CrossRef]
- Li, X.; Huang, L.; Li, J.; Shi, Z.; Wang, Y.; Zhang, H.; Ying, Q.; Yu, X.; Liao, H.; Hu, J. Source contributions to poor atmospheric visibility in China. Resour. Conserv. Recycl. 2019, 143, 167–177. [Google Scholar] [CrossRef]
- Peng, Y.; Wang, H.; Hou, M.; Jiang, T.; Zhang, M.; Zhao, T.; Che, H. Improved method of visibility parameterization focusing on high humidity and aerosol concentrations during fog–haze events: Application in the GRAPES_CAUCE model in Jing-Jin-Ji, China. Atmos. Environ. 2020, 222, 117139. [Google Scholar] [CrossRef]
- Singh, A.; Avis, W.R.; Pope, F.D. Visibility as a proxy for air quality in East Africa. Environ. Res. Lett. 2020, 15, 084002. [Google Scholar] [CrossRef]
- Pope, F.D.; Gatari, M.; Ng’ang’a, D.; Poynter, A.; Blake, R. Airborne particulate matter monitoring in Kenya using calibrated low-cost sensors. Atmos. Chem. Phys. 2018, 18, 15403–15418. [Google Scholar] [CrossRef]
- Fu, W.; Chen, Z.; Zhu, Z.; Liu, Q.; Qi, J.; Dang, E.; Wang, M.; Dong, J. Long-Term Atmospheric Visibility Trends and Characteristics of 31 Provincial Capital Cities in China during 1957–2016. Atmosphere 2018, 9, 318. [Google Scholar] [CrossRef]
- Singh, A.; Bloss, W.J.; Pope, F.D. 60 years of UK visibility measurements: Impact of meteorology and atmospheric pollutants on visibility. Atmos. Chem. Phys. 2017, 17, 2085–2101. [Google Scholar] [CrossRef]
- Zhang, M.; Su, B.; Bilal, M.; Atique, L.; Usman, M.; Qiu, Z.; Ali, M.A.; Han, G. An investigation of vertically distributed aerosol optical properties over Pakistan using CALIPSO Satellite Data. Remote Sens. 2020, 12, 2183. [Google Scholar] [CrossRef]
- Ismanto, H.; Hartono, H.; Marfai, M.A. Visibility Estimation Due to Forest Fire Smoke Using Backward Elimination Multiple Regression of Himawari-8 Satellite Data over Sumatera and Borneo Island Indonesia. IOP Conf. Ser. Earth Environ. Sci. 2020, 451, 012086. [Google Scholar] [CrossRef]
- Ismanto, H.; Hartono; Marfai, M.A. Classification Tree Analysis (Gini-Index) Smoke Detection using Himawari-8 Satellite Data over Sumatera-Borneo Maritime Continent Sout East Asia. IOP Conf. Ser. Earth Environ. Sci. 2019, 256, 012043. [Google Scholar] [CrossRef]
- Aldababseh, A.; Temimi, M. Analysis of the long-term variability of poor visibility events in the UAE and the link with climate dynamics. Atmosphere 2017, 8, 242. [Google Scholar] [CrossRef]
- Qu, W.; Wang, J.; Zhang, X.; Wang, Y.; Gao, S.; Zhao, C.; Sun, L.; Zhou, Y.; Wang, W.; Liu, X.; et al. Effect of weakened diurnal evolution of atmospheric boundary layer to air pollution over eastern China associated to aerosol, cloud—ABL feedback. Atmos. Environ. 2018, 185, 168–179. [Google Scholar] [CrossRef]
- Qu, W.; Zhang, X.; Wang, Y.; Fu, G. Atmospheric visibility variation over global land surface during 1973–2012: Influence of meteorological factors and effect of aerosol, cloud on ABL evolution. Atmos. Pollut. Res. 2020, 11, 730–743. [Google Scholar] [CrossRef]
- Zhang, S.; Wu, J.; Fan, W.; Yang, Q.; Zhao, D. Review of aerosol optical depth retrieval using visibility data. Earth-Sci. Rev. 2020, 200, 102986. [Google Scholar] [CrossRef]
- Zhang, J.; Tong, L.; Peng, C.; Zhang, H.; Huang, Z.; He, J.; Xiao, H. Temporal variability of visibility and its parameterizations in Ningbo, China. J. Environ. Sci. (China) 2019, 77, 372–382. [Google Scholar] [CrossRef]
- Liu, M.; Bi, J.; Ma, Z. Visibility-Based PM2.5 Concentrations in China: 1957-1964 and 1973-2014. Environ. Sci. Technol. 2017, 51, 13161–13169. [Google Scholar] [CrossRef]
- Shen, Z.; Cao, J.; Zhang, L.; Zhang, Q.; Huang, R.J.; Liu, S.; Zhao, Z.; Zhu, C.; Lei, Y.; Xu, H.; et al. Retrieving historical ambient PM2.5 concentrations using existing visibility measurements in Xi’an, Northwest China. Atmos. Environ. 2016, 126, 15–20. [Google Scholar] [CrossRef]
- Baddock, M.C.; Strong, C.L.; Murray, P.S.; McTainsh, G.H. Aeolian dust as a transport hazard. Atmos. Environ. 2013, 71, 7–14. [Google Scholar] [CrossRef]
- Peterson, D.A.; Hyer, E.J.; Han, S.O.; Crawford, J.H.; Park, R.J.; Holz, R.; Kuehn, R.E.; Eloranta, E.; Knote, C.; Jordan, C.E.; et al. Meteorology influencing springtime air quality, pollution transport, and visibility in Korea. Elementa 2019, 7, 1–23. [Google Scholar] [CrossRef]
- Koschmieder, H. Theorie der horizontalen Sichtweite. Beitr. Phys. Freie Atmos. 1924, 12, 33–55. [Google Scholar]
- Zhang, Y.; Gao, L.; Cao, L.; Yan, Z.; Wu, Y. Decreasing atmospheric visibility associated with weakening winds from 1980 to 2017 over China. Atmos. Environ. 2020, 224, 117314. [Google Scholar] [CrossRef]
- Yi, H.; Zhang, J.; Xiao, H.; Tong, L.; Cai, Q.; Lin, J.; Yu, W.; Johnson, M.S. Compact Algorithms for Predicting of Atmospheric Visibility Using PM2.5, Relative Humidity and NO2. Aerosol Air Qual. Res. 2020, 20, 679–687. [Google Scholar] [CrossRef]
- Yu, J.; Wang, Y.; Liu, M. Mechanisms of an extreme fog and haze event in the megacities of central and eastern China. Meteorol. Atmos. Phys. 2021, 133, 123–139. [Google Scholar] [CrossRef]
- Huang, H.; Zhang, G. Case Studies of Low-Visibility Forecasting in Falling Snow With WRF Model. J. Geophys. Res. Atmos. 2017, 122, 12862–12874. [Google Scholar] [CrossRef]
- ten Brink, H.; Henzing, B.; Otjes, R.; Weijers, E. Visibility in the Netherlands during New Year’s fireworks: The role of soot and salty aerosol products. Atmos. Environ. 2018, 173, 289–294. [Google Scholar] [CrossRef]
- Ma, Y.; Liu, W.; Gao, H.; Chen, N.; Xiong, X. The scattering effects on the visibility measurements of laser transmissometer in rain and fog. Optik (Stuttg) 2018, 157, 957–967. [Google Scholar] [CrossRef]
- Silué, S.; N’Datchoh, T.E.; Diedhiou, A.; Quansah, E.; Doumbia, M. Evidence of Long-Term Trend of Visibility in the Sahel and Coevolution with Meteorological Conditions and Vegetation Cover during the Recent Period. Atmos. Clim. Sci. 2019, 09, 346–368. [Google Scholar] [CrossRef]
- Singh, A.; George, J.P.; Iyengar, G.R. Prediction of fog/visibility over India using NWP Model. J. Earth Syst. Sci. 2018, 127, 26. [Google Scholar] [CrossRef]
- Xian, J.; Sun, D.; Amoruso, S.; Xu, W.; Wang, X. Parameter optimization of a visibility LiDAR for sea-fog early warnings. Opt. Express 2020, 28, 23829. [Google Scholar] [CrossRef] [PubMed]
- Sun, T.; Che, H.; Wu, J.; Wang, H.; Wang, Y.; Zhang, X. The variation in visibility and its relationship with surface wind speed in China from 1960 to 2009. Theor. Appl. Climatol. 2018, 131, 335–347. [Google Scholar] [CrossRef]
- Valiente, R.; Escobar, F.; Pearce, J.; Bilal, U.; Franco, M.; Sureda, X. Mapping the visibility of smokers across a large capital city. Environ. Res. 2020, 180, 108888. [Google Scholar] [CrossRef]
- Wang, Y.; Xu, L.; Solangi, Y.A. Strategic renewable energy resources selection for Pakistan: Based on SWOT-Fuzzy AHP approach. Sustain. Cities Soc. 2020, 52, 101861. [Google Scholar] [CrossRef]
- Dar, M.A.; Ahmed, R.; Latif, M.; Azam, M. Climatology of dust storm frequency and its association with temperature and precipitation patterns over Pakistan. Nat. Hazards 2022, 110, 655–677. [Google Scholar] [CrossRef]
- Middleton, N.; Kashani, S.S.; Attarchi, S.; Rahnama, M.; Mosalman, S.T. Synoptic causes and socio-economic consequences of a severe dust storm in the middle east. Atmosphere 2021, 12, 1435. [Google Scholar] [CrossRef]
- Singh, N.; Mhawish, A.; Deboudt, K.; Singh, R.S.; Banerjee, T. Organic aerosols over Indo-Gangetic Plain: Sources, distributions and climatic implications. Atmos. Environ. 2017, 157, 59–74. [Google Scholar] [CrossRef]
- Downing Road accidents in Pakistan. Available online: https://www.dawn.com/news/1463472 (accessed on 1 November 2022).
- Riaz, K.; Aziz, N.; Riaz, H. Estimating the Extreme Temperature Occurrence Over Pakistan Using Interannual and Interdecadal Temperature Variation and Teleconnections During 1901-2018. Int. J. Clim. Res. 2021, 5, 15–24. [Google Scholar] [CrossRef]
- Cai, Y.; Guan, K.; Lobell, D.; Potgieter, A.B.; Wang, S.; Peng, J.; Xu, T.; Asseng, S.; Zhang, Y.; You, L.; et al. Integrating satellite and climate data to predict wheat yield in Australia using machine learning approaches. Agric. For. Meteorol. 2019, 274, 144–159. [Google Scholar] [CrossRef]
- Dong, H. Improvement of the model by preprocessing big data of tapping temperature prediction industry. In Proceedings of the Journal of Physics: Conference Series; IOP Publishing: Bristol, UK, 2022; Volume 2235, p. 12089. [Google Scholar]
- Howard, A.L. A Guide to Visualizing Trajectories of Change With Confidence Bands and Raw Data. Adv. Methods Pract. Psychol. Sci. 2021, 4, 25152459211047228. [Google Scholar] [CrossRef]
- Aman, N.; Manomaiphiboon, K.; Pengchai, P.; Suwanathada, P.; Srichawana, J.; Assareh, N. Long-term observed visibility in eastern thailand: Temporal variation, association with air pollutants and meteorological factors, and trends. Atmosphere 2019, 10, 122. [Google Scholar] [CrossRef]
- Mann, H.B. Nonparametric Tests Against Trend. Econometrica 1945, 13, 245. [Google Scholar] [CrossRef]
- Farlie, D.J.G.; Kendall, M.G. Rank Correlation Methods. J. R. Stat. Soc. Ser. A (Gen.) 1971, 134, 682. [Google Scholar] [CrossRef]
- Alhathloul, S.H.; Khan, A.A.; Mishra, A.K. Trend analysis and change point detection of annual and seasonal horizontal visibility trends in Saudi Arabia. Theor. Appl. Climatol. 2021, 144, 127–146. [Google Scholar] [CrossRef]
- Iqbal, M.F.; Athar, H. Variability, trends, and teleconnections of observed precipitation over Pakistan. Theor. Appl. Climatol. 2018, 134, 613–632. [Google Scholar] [CrossRef]
- Hirsch, R.M.; Slack, J.R.; Smith, R.A. Techniques of trend analysis for monthly water quality data. Water Resour. Res. 1982, 18, 107–121. [Google Scholar] [CrossRef]
- Mohsin, S.; Lone, M.A. Trend analysis of reference evapotranspiration and identification of responsible factors in the Jhelum River Basin, Western Himalayas. Model. Earth Syst. Environ. 2021, 7, 523–535. [Google Scholar] [CrossRef]
- Karami, M.; Asadi, M. The Phenological Stages of Apple Tree in the North Eastern of Iran. Comput. Water Energy Environ. Eng. 2017, 6, 269–280. [Google Scholar] [CrossRef][Green Version]
- Asadi, M.; Karami, M. Modeling of relative humidity trends in Iran. Model. Earth Syst. Environ. 2022, 8, 1035–1045. [Google Scholar] [CrossRef]
- Bevan, J.M.; Kendall, M.G. Rank Correlation Methods. Statistician 1971, 20, 74. [Google Scholar] [CrossRef]
- Hamed, K.H.; Ramachandra Rao, A. A modified Mann–Kendall trend test for autocorrelated data. J. Hydrol. 1998, 204, 182–196. [Google Scholar] [CrossRef]
- Sen, P.K. Estimates of the Regression Coefficient Based on Kendall’s Tau. J. Am. Stat. Assoc. 1968, 63, 1379–1389. [Google Scholar] [CrossRef]
- Keshtkar, A.R.; Moazami, N.; Afzali, A. Assessment of spatial interpolation techniques for drought severity analysis in Iran ’ s Salt Lake Basin. Desert 2021, 26, 85–97. [Google Scholar] [CrossRef]
- Yin, Z.; Zhou, B.; Chen, H.; Li, Y. Science of the Total Environment Synergetic impacts of precursory climate drivers on interannual-decadal variations in haze pollution in North China: A review. Sci. Total Environ. 2021, 755, 143017. [Google Scholar] [CrossRef]
- Miri, A.; Maleki, S.; Middleton, N. An investigation into climatic and terrestrial drivers of dust storms in the Sistan region of Iran in the early twenty-first century. Sci. Total Environ. 2021, 757, 143952. [Google Scholar] [CrossRef]
- Rashki, A.; Kaskaoutis, D.G.; Francois, P.; Kosmopoulos, P.G.; Legrand, M. Dust-storm dynamics over Sistan region, Iran: Seasonality, transport characteristics and affected areas. Aeolian Res. 2015, 16, 35–48. [Google Scholar] [CrossRef]
- Tabinda, A.B.; Habib, Q.; Yasar, A.; Rasheed, R.; Mahmood, A.; Iqbal, A. Ambient Air Quality of Faisalabad with Relevance to the Seasonal Variations. Mapan—J. Metrol. Soc. India 2020, 35, 421–426. [Google Scholar] [CrossRef]
- NTRC National Transport Research Centre. Available online: http://www.ntrc.gov.pk/punjab-2/ (accessed on 6 November 2022).
- Akhter, M.F.; Abbas, S. Variability of Provincial Capital Rainfall in Pakistan Using Wavelet Transformation. Pure Appl. Geophys. 2021, 178, 4147–4157. [Google Scholar] [CrossRef]
- Ali, G.; Bao, Y.; Ullah, W.; Ullah, S.; Guan, Q.; Liu, X.; Li, L.; Lei, Y.; Li, G.; Ma, J. Spatiotemporal trends of aerosols over urban regions in Pakistan and their possible links to meteorological parameters. Atmosphere 2020, 11, 306. [Google Scholar] [CrossRef]
- Ali, S.; Ajmal, M.; Khattak, M.S.; Shah, S.U. Conflicting signals of dry/wet rainfall pattern over the Punjab (Pakistan) during 1961-2015: Complex seasonal changes. J. Himal. Earth Sci. 2018, 51, 94–107. [Google Scholar]
- Ahmed, R.; Latif, M.; Adnan, S.; Abuzar, M.K. Thunderstorm frequency distribution and associated convective mechanisms over Pakistan. Theor. Appl. Climatol. 2019, 137, 755–773. [Google Scholar] [CrossRef]
- Mehmood, U.; Azhar, A.; Qayyum, F.; Nawaz, H.; Tariq, S.; ul Haq, Z. Air pollution and hospitalization in megacities: Empirical evidence from Pakistan. Environ. Sci. Pollut. Res. 2021, 28, 51384–51390. [Google Scholar] [CrossRef] [PubMed]
- Shahid, M.Z.; Shahid, I.; Zahid, M. Inter-annual variability and distribution of aerosols during winters and aerosol optical thickness over Northeastern Pakistan. Int. J. Environ. Sci. Technol. 2022, 19, 875–888. [Google Scholar] [CrossRef]
- Siyal, A.A.; Samo, S.R.; Siyal, Z.A.; Mukwana, K.C.; Jiskani, S.A.; Mengal, A. Assessment of Air Pollution by PM10 and PM2.5 in Nawabshah City, Sindh, Pakistan. Eng. Technol. Appl. Sci. Res. 2019, 9, 3757–3761. [Google Scholar] [CrossRef]
- Bilal, M.; Mhawish, A.; Nichol, J.E.; Qiu, Z.; Nazeer, M.; Ali, M.A.; de Leeuw, G.; Levy, R.C.; Wang, Y.; Chen, Y.; et al. Air pollution scenario over Pakistan: Characterization and ranking of extremely polluted cities using long-term concentrations of aerosols and trace gases. Remote Sens. Environ. 2021, 264, 112617. [Google Scholar] [CrossRef]
- Tariq, S.; Ul-Haq, Z. Satellite Remote Sensing of Aerosols and Gaseous Pollution over Pakistan. In Land-Atmospheric Research Applications in South and Southeast Asia; Vadrevu, K.P., Ohara, T., Justice, C., Eds.; Springer International Publishing: New York, NY, USA, 2018; pp. 523–549. ISBN 978-3-319-67474-2. [Google Scholar]
- Alvi, M.U.; Chishtie, F.; Shahid, I.; Mahmud, T.; Hussain, R. Traffic -and Industry-Related Air Pollution Exposure Assessment in an Asian Megacity. Clean—Soil Air Water 2018, 46, 1600773. [Google Scholar] [CrossRef]
- Khokhar, M.F.; Mehdi, H.; Abbas, Z.; Javed, Z. Temporal assessment of NO2 pollution levels in urban centers of Pakistan by employing ground-based and satellite observations. Aerosol Air Qual. Res. 2016, 16, 1854–1867. [Google Scholar] [CrossRef]
- Nabeel, A.; Athar, H. Classification of precipitation regimes in Pakistan using wet and dry spells. Int. J. Climatol. 2018, 38, 2462–2477. [Google Scholar] [CrossRef]
- PMD Pakistan Meteorological Department Government of Pakistan. Available online: https://www.pmd.gov.pk/en/ (accessed on 1 November 2022).
- GOP Faisalabad Industry. Available online: https://www.punjab.gov.pk/faisalabad_industry (accessed on 6 November 2022).
- KMC Karachi Metropolitan Corporation. Available online: http://www.kmc.gos.pk/Contents.aspx?id=14 (accessed on 6 November 2022).
- Shivani; Gadi, R.; Sharma, S.K.; Mandal, T.K.; Kumar, R.; Mona, S.; Kumar, S.; Kumar, S. Levels and sources of organic compounds in fine ambient aerosols over National Capital Region of India. Environ. Sci. Pollut. Res. 2018, 25, 31071–31090. [Google Scholar] [CrossRef]
- Shahid, M.Z.; Shahid, I.; Chishtie, F.; Shahzad, M.I.; Bulbul, G. Analysis of a dense haze event over North-eastern Pakistan using WRF-Chem model and remote sensing. J. Atmos. Solar-Terr. Phys. 2019, 182, 229–241. [Google Scholar] [CrossRef]
- Anjum, M.S.; Ali, S.M.; Imad-ud-din, M.; Subhani, M.A.; Anwar, M.N.; Nizami, A.S.; Ashraf, U.; Khokhar, M.F. An Emerged Challenge of Air Pollution and Ever-Increasing Particulate Matter in Pakistan; A Critical Review. J. Hazard. Mater. 2021, 402, 123943. [Google Scholar] [CrossRef] [PubMed]
- Bulbul, G.; Shahid, I.; Chishtie, F.; Shahid, M.Z.; Hundal, R.A.; Zahra, F.; Shahzad, M.I. PM10 sampling and AOD trends during 2016 winter fog season in the Islamabad region. Aerosol Air Qual. Res. 2018, 18, 188–199. [Google Scholar] [CrossRef]
- Naureen, F.; Aneel, S.; Makarevic, N. Environmental Cost of China-Pakistan Economic Corridor. Sochi J. Econ. 2017, 11, 99–106. [Google Scholar]
- Jethva, H.; Torres, O.; Field, R.D.; Lyapustin, A.; Gautam, R.; Kayetha, V. Connecting Crop Productivity, Residue Fires, and Air Quality over Northern India. Sci. Rep. 2019, 9, 1–11. [Google Scholar] [CrossRef]
- Noreen, A.; Khokhar, M.F.; Zeb, N.; Yasmin, N.; Hakeem, K.R. Spatio-temporal assessment and seasonal variation of tropospheric ozone in Pakistan during the last decade. Environ. Sci. Pollut. Res. 2018, 25, 8441–8454. [Google Scholar] [CrossRef]
- Mhawish, A.; Banerjee, T.; Sorek-Hamer, M.; Bilal, M.; Lyapustin, A.I.; Chatfield, R.; Broday, D.M. Estimation of High-Resolution PM2.5over the Indo-Gangetic Plain by Fusion of Satellite Data, Meteorology, and Land Use Variables. Environ. Sci. Technol. 2020, 54, 7891–7900. [Google Scholar] [CrossRef]
- Khanum, F.; Chaudhry, M.N.; Kumar, P. Characterization of five-year observation data of fine particulate matter in the metropolitan area of Lahore. Air Qual. Atmos. Health 2017, 10, 725–736. [Google Scholar] [CrossRef]
- Aawar, T.; Khare, D.; Singh, L. Identification of the trend in precipitation and temperature over the Kabul River sub-basin: A case study of Afghanistan. Model. Earth Syst. Environ. 2019, 5, 1377–1394. [Google Scholar] [CrossRef]
- Tabinda, A.B.; Ali, H.; Yasar, A.; Rasheed, R.; Mahmood, A.; Iqbal, A. Comparative Assessment of Ambient Air Quality of Major Cities of Pakistan. Mapan J. Metrol. Soc. India 2020, 35, 25–32. [Google Scholar] [CrossRef]






| Sr. No. | Station | Latitude (°) | Longitude (°) | Elevation (m) | Date Range |
|---|---|---|---|---|---|
| 1 | Faisalabad | 31.37 | 72.99 | 185 | 2012–2020 |
| 2 | Gwadar | 25.23 | 62.33 | 29 | 2005–2020 |
| 3 | Islamabad | 33.62 | 73.10 | 508 | 1980–2020 |
| 4 | Karachi | 24.90 | 67.13 | 22 | 1980–2020 |
| 5 | Lahore | 31.52 | 74.40 | 217 | 1980–2020 |
| 6 | Multan | 30.20 | 71.42 | 123 | 1980–2020 |
| 7 | Nwabshah | 26.25 | 68.37 | 38 | 1980–2020 |
| 8 | Peshawar | 34.02 | 71.58 | 360 | 2011–2020 |
| 9 | Sukkur | 27.72 | 68.79 | 59.65 | 2005–2020 |
| 10 | Sialkot | 32.50 | 74.53 | 247 | 1980–2020 |
| Station | Test | 1980–1990 | 1991–2000 | 2000–2009 | 2010–2020 |
|---|---|---|---|---|---|
| PAK | MK | 0.04 | −0.02 | −0.02 | −0.03 |
| SS | 0.000 | −0.000 | −0.001 | −0.002 | |
| MMK | 0.04 | −0.02 | −0.02 | −0.03 | |
| SS | 0.000 | −0.000 | −0.001 | −0.002 |
Disclaimer/Publisher’s Note: The statements, opinions and data contained in all publications are solely those of the individual author(s) and contributor(s) and not of MDPI and/or the editor(s). MDPI and/or the editor(s) disclaim responsibility for any injury to people or property resulting from any ideas, methods, instructions or products referred to in the content. |
© 2022 by the authors. Licensee MDPI, Basel, Switzerland. This article is an open access article distributed under the terms and conditions of the Creative Commons Attribution (CC BY) license (https://creativecommons.org/licenses/by/4.0/).
Share and Cite
Javed, S.; Shahzad, M.I.; Abbas, S.; Nazeer, M. Long-Term Variability of Atmospheric Visual Range (1980–2020) over Diverse Topography of Pakistan. Remote Sens. 2023, 15, 46. https://doi.org/10.3390/rs15010046
Javed S, Shahzad MI, Abbas S, Nazeer M. Long-Term Variability of Atmospheric Visual Range (1980–2020) over Diverse Topography of Pakistan. Remote Sensing. 2023; 15(1):46. https://doi.org/10.3390/rs15010046
Chicago/Turabian StyleJaved, Sadaf, Muhammad Imran Shahzad, Sawaid Abbas, and Majid Nazeer. 2023. "Long-Term Variability of Atmospheric Visual Range (1980–2020) over Diverse Topography of Pakistan" Remote Sensing 15, no. 1: 46. https://doi.org/10.3390/rs15010046
APA StyleJaved, S., Shahzad, M. I., Abbas, S., & Nazeer, M. (2023). Long-Term Variability of Atmospheric Visual Range (1980–2020) over Diverse Topography of Pakistan. Remote Sensing, 15(1), 46. https://doi.org/10.3390/rs15010046

