Spatial and Temporal Variability of Soil Erosion in Northeast China from 2000 to 2020
Abstract
1. Introduction
2. Materials and Methods
2.1. Study Area
2.2. Data
2.3. Methods
2.3.1. Water Erosion Assessment
2.3.2. Wind Erosion Assessment
2.3.3. Classification of Soil Erosion
2.3.4. Analyses of Change Trends
2.3.5. Spatial Statistics Analysis
3. Results
3.1. Current Situation of Soil Erosion
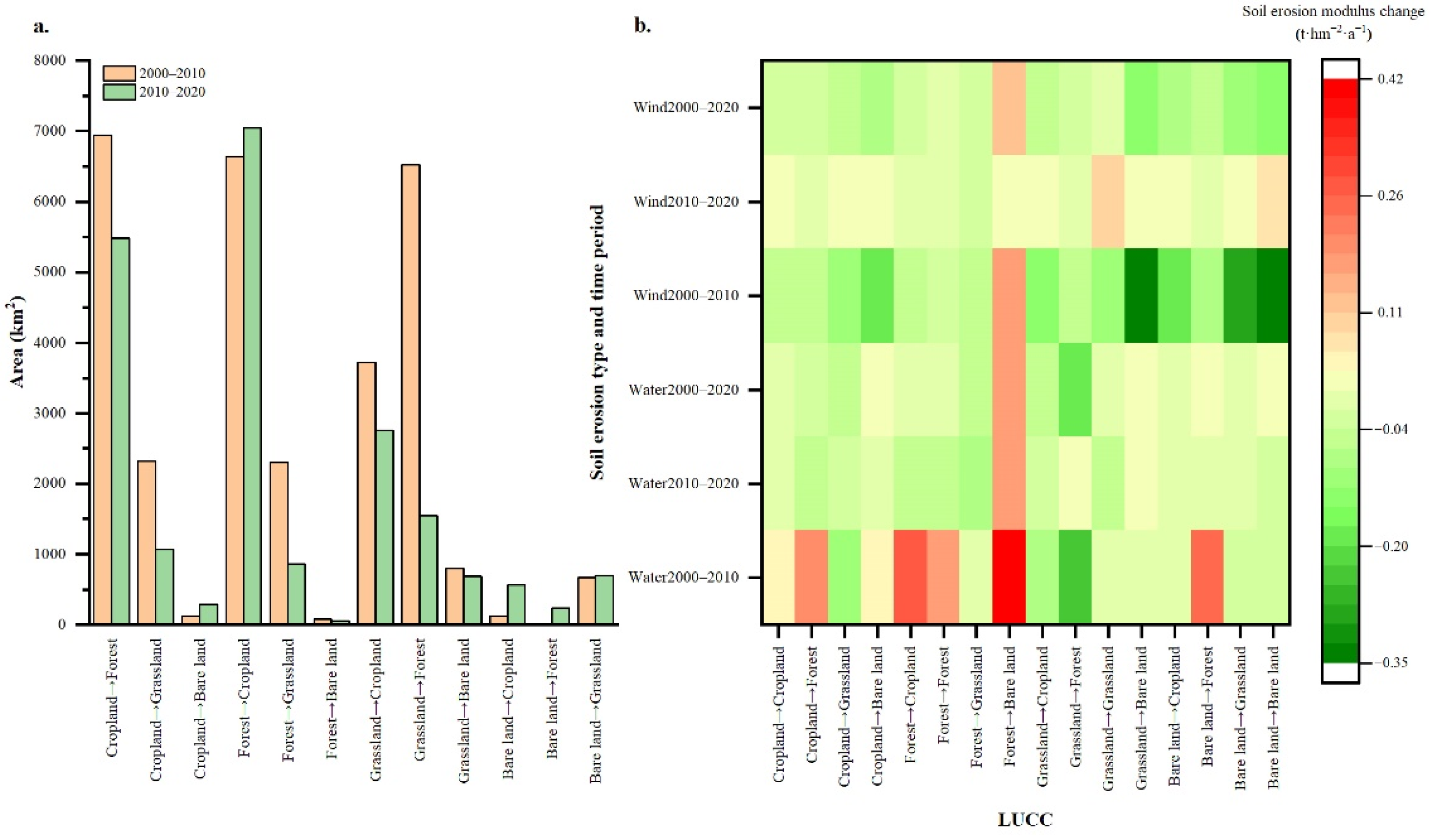
3.2. Changes in Soil Erosion
4. Discussion
4.1. Assessment Results of Soil Erosion
4.2. Influencing Factors of Soil Erosion
4.3. Methods to Moderate Soil Erosion
4.4. Limitations and Future Research
5. Conclusions
Author Contributions
Funding
Institutional Review Board Statement
Informed Consent Statement
Data Availability Statement
Acknowledgments
Conflicts of Interest
Abbreviations
| RUSLE | the Revised Universal Soil Loss Equation |
| RWEQ | the Revised Wind Erosion Equation |
| SNP | the Songnen Plain |
| SJP | the Sanjiang Plain |
| LRP | the Liao River Plain |
| LKMR | the Lesser Kinggan Mountains Region |
| GKMR | the Greater Kinggan Mountains Region |
| CBMR | the Changbai Mountain Region |
| HLJ | Heilongjiang |
| JL | Jilin |
| LN | Liaoning |
| IM | Inner Mongolia |
| LUCC | land use/cover change |
| NDVI | normalized difference vegetation index |
| DEM | digital elevation model |
References
- Cui, L.; Shen, Z.; Liu, Y.; Yu, C.; Lu, Q.; Zhang, Z.; Gao, Y.; Nie, T. Identification of driving forces for windbreak and sand fixation services in semiarid and arid areas: A case of Inner Mongolia, China. Prog. Phys. Geogr.-Earth Environ. 2022. [Google Scholar] [CrossRef]
- Peng, J.; Hu, Y.n.; Dong, J.; Mao, Q.; Liu, Y.; Du, Y.; Wu, J.; Wang, Y. Linking spatial differentiation with sustainability management: Academic contributions and research directions of physical geography in China. Prog. Phys. Geogr.-Earth Environ. 2020, 44, 14–30. [Google Scholar] [CrossRef]
- Du, H.; Dou, S.; Deng, X.; Xue, X.; Wang, T. Assessment of wind and water erosion risk in the watershed of the Ningxia-Inner Mongolia Reach of the Yellow River, China. Ecol. Indic. 2016, 67, 117–131. [Google Scholar] [CrossRef]
- Wan, W.; Liu, Z.; Li, B.; Fang, H.; Wu, H.; Yang, H. Evaluating soil erosion by introducing crop residue cover and anthropogenic disturbance intensity into cropland C-factor calculation: Novel estimations from a cropland-dominant region of Northeast China. Soil Tillage Res. 2022, 219, 105343. [Google Scholar] [CrossRef]
- Li, Z.; Fang, H. Impacts of climate change on water erosion: A review. Earth-Sci. Rev. 2016, 163, 94–117. [Google Scholar] [CrossRef]
- Wang, X.; Zhao, X.; Zhang, Z.; Yi, L.; Zuo, L.; Wen, Q.; Liu, F.; Xu, J.; Hu, S.; Liu, B. Assessment of soil erosion change and its relationships with land use/cover change in China from the end of the 1980s to 2010. Catena 2016, 137, 256–268. [Google Scholar] [CrossRef]
- Sartori, M.; Philippidis, G.; Ferrari, E.; Borrelli, P.; Lugato, E.; Montanarella, L.; Panagos, P. A linkage between the biophysical and the economic: Assessing the global market impacts of soil erosion. Land Use Policy 2019, 86, 299–312. [Google Scholar] [CrossRef]
- Wan, W.; Han, Y.; Wu, H.; Liu, F.; Liu, Z. Application of the source-sink landscape method in the evaluation of agricultural non-point source pollution: First estimation of an orchard-dominated area in China. Agric. Water Manag. 2021, 252, 106910. [Google Scholar] [CrossRef]
- Huang, D.; Pei, M.; Zhou, L.; Fan, H.; Jia, Y. Identification of sediment sources and exploration of scale effects in the black soil region of Northeast China. Catena 2020, 195, 104848. [Google Scholar] [CrossRef]
- Poesen, J. Soil erosion in the Anthropocene: Research needs. Earth Surf. Process. Landf. 2018, 43, 64–84. [Google Scholar] [CrossRef]
- Gu, Z.; Xie, Y.; Gao, Y.; Ren, X.; Cheng, C.; Wang, S. Quantitative assessment of soil productivity and predicted impacts of water erosion in the black soil region of northeastern China. Sci. Total Environ. 2018, 637, 706–716. [Google Scholar] [CrossRef] [PubMed]
- Wen, Y.; Kasielke, T.; Li, H.; Zepp, H.; Zhang, B. A case-study on history and rates of gully erosion in Northeast China. Land Degrad. Dev. 2021, 32, 4254–4266. [Google Scholar] [CrossRef]
- Liu, X.; Zhang, S.; Zhang, X.; Ding, G.; Cruse, R.M. Soil erosion control practices in Northeast China: A mini-review. Soil Tillage Res. 2011, 117, 44–48. [Google Scholar] [CrossRef]
- Chen, H.; Liu, G.; Zhang, X.; Shi, H.; Li, H. Quantifying sediment source contributions in an agricultural catchment with ephemeral and classic gullies using Cs-137 technique. Geoderma 2021, 398, 115112. [Google Scholar] [CrossRef]
- Dong, Y.; Wu, Y.; Qin, W.; Guo, Q.; Yin, Z.; Duan, X. The gully erosion rates in the black soil region of northeastern China: Induced by different processes and indicated by different indexes. Catena 2019, 182, 104146. [Google Scholar] [CrossRef]
- Yan, Y.; Zhang, S.; Li, X.; Yue, S. Temporal and Spatial Variation of Erosion Gullies in Kebai Black Soil Region of Heilongjiang during the Past 50 Years. Acta Geogr. Sin. 2005, 60, 1015–1020. [Google Scholar]
- Wang, B.; Zhang, Z.; Wang, X.; Zhao, X.; Yi, L.; Hu, S. Object-Based Mapping of Gullies Using Optical Images: A Case Study in the Black Soil Region, Northeast of China. Remote Sens. 2020, 12, 487. [Google Scholar] [CrossRef]
- Huang, D.; Du, P.; Wang, J.; Wei, X.; Liu, B.; Xu, J. Using reservoir deposits to quantify the source contributions to the sediment yield in the Black Soil Region, Northeast China, based on the fingerprinting technique. Geomorphology 2019, 339, 1–18. [Google Scholar] [CrossRef]
- Zhang, Y.; Wu, Y.; Lin, B.; Zheng, Q.; Yin, J. Characteristics and factors controlling the development of ephemeral gullies in cultivated catchments of black soil region, Northeast China. Soil Tillage Res. 2007, 96, 28–41. [Google Scholar] [CrossRef]
- Lu, J.; Zheng, F.; Li, G.; Bian, F.; An, J. The effects of raindrop impact and runoff detachment on hillslope soil erosion and soil aggregate loss in the Mollisol region of Northeast China. Soil Tillage Res. 2016, 161, 79–85. [Google Scholar] [CrossRef]
- Shen, C.; Wang, Y.; Zhao, A.; Xu, X.; Yang, X.; Liu, X. Characteristics of material migration during soil erosion in sloped farmland in the black soil region of Northeast China. Trop. Conserv. Sci. 2019, 12, 1940082919856835. [Google Scholar] [CrossRef]
- Huang, D.; Su, L.; Zhou, L.; Fan, H. Gully is the dominant sediment source of snowmelt erosion in the black soil region-A case study. Soil Tillage Res. 2022, 215, 105232. [Google Scholar] [CrossRef]
- Nearing, M.A.; Xie, Y.; Liu, B.; Ye, Y. Natural and anthropogenic rates of soil erosion. Int. Soil Water Conserv. Res. 2017, 5, 77–84. [Google Scholar] [CrossRef]
- Wang, H.; Yang, S.; Wang, Y.; Gu, Z.; Xiong, S.; Huang, X.; Sun, M.; Zhang, S.; Guo, L.; Cui, J.; et al. Rates and causes of black soil erosion in Northeast China. Catena 2022, 214, 106250. [Google Scholar] [CrossRef]
- Shen, H.O.; Wang, D.L.; Wen, L.L.; Zhao, W.T.; Zhang, Y. Soil Erosion and Typical Soil and Water Conservation Measures on Hillslopes in the Chinese Mollisol Region. Eurasian Soil Sci. 2020, 53, 1509–1519. [Google Scholar] [CrossRef]
- Wen, L.; Zheng, F.; Shen, H.; Bian, F.; Jiang, Y. Rainfall intensity and inflow rate effects on hillslope soil erosion in the Mollisol region of Northeast China. Nat. Hazards 2015, 79, 381–395. [Google Scholar] [CrossRef]
- Fan, X.; Fan, H.; Dong, S. The coupling of hillslope- and gully-erosion increases their controlling efforts: A case study in Liaoning Province, China. Soil Water Res. 2022, 17, 123–137. [Google Scholar] [CrossRef]
- Hu, G.; Wu, Y.; Liu, B.; Yu, Z.; You, Z.; Zhang, Y. Short-term gully retreat rates over rolling hill areas in black soil of Northeast China. Catena 2007, 71, 321–329. [Google Scholar] [CrossRef]
- Wang, R.; Sun, H.; Yang, J.; Zhang, S.; Fu, H.; Wang, N.; Liu, Q. Quantitative Evaluation of Gully Erosion Using Multitemporal UAV Data in the Southern Black Soil Region of Northeast China: A Case Study. Remote Sens. 2022, 14, 1479. [Google Scholar] [CrossRef]
- Tang, J.; Liu, G.; Xie, Y.; Dun, X.; Wang, D.; Zhang, S. Annual variation of ephemeral gully erosion in a cultivated catchment. Geoderma 2021, 401, 115166. [Google Scholar] [CrossRef]
- Du, Z.; Gao, B.; Ou, C.; Du, Z.; Yang, J.; Batsaikhan, B.; Dorjgotov, B.; Yun, W.; Zhu, D. A Quantitative Analysis of Factors Influencing Organic Matter Concentration in the Topsoil of Black Soil in Northeast China Based on Spatial Heterogeneous Patterns. Isprs Int. J. Geo-Inf. 2021, 10, 348. [Google Scholar] [CrossRef]
- Li, H.; Zhu, H.; Liang, C.; Wei, X.; Yao, Y. Soil erosion significantly decreases aggregate-associated OC and N in agricultural soils of Northeast China. Agric. Ecosyst. Environ. 2022, 323, 107677. [Google Scholar] [CrossRef]
- Li, H.; Zhu, H.; Qiu, L.; Wei, X.; Liu, B.; Shao, M. Response of soil OC, N and P to land-use change and erosion in the black soil region of the Northeast China. Agric. Ecosyst. Environ. 2020, 302, 107081. [Google Scholar] [CrossRef]
- Li, T.; Zhang, H.; Wang, X.; Cheng, S.; Fang, H.; Liu, G.; Yuan, W. Soil erosion affects variations of soil organic carbon and soil respiration along a slope in Northeast China. Ecol. Process. 2019, 8, 28. [Google Scholar] [CrossRef]
- Liu, H.; Zhang, T.; Liu, B.; Liu, G.; Wilson, G.V. Effects of gully erosion and gully filling on soil depth and crop production in the black soil region, northeast China. Environ. Earth Sci. 2013, 68, 1723–1732. [Google Scholar] [CrossRef]
- Zhao, P.; Li, S.; Wang, E.; Chen, X.; Deng, J.; Zhao, Y. Tillage erosion and its effect on spatial variations of soil organic carbon in the black soil region of China. Soil Tillage Res. 2018, 178, 72–81. [Google Scholar] [CrossRef]
- Fang, H.; Sun, L.; Qi, D.; Cai, Q. Using Cs-137 technique to quantify soil erosion and deposition rates in an agricultural catchment in the black soil region, Northeast China. Geomorphology 2012, 169, 142–150. [Google Scholar] [CrossRef]
- Yu, Y.; Zhang, K.; Liu, L.; Ma, Q.; Luo, J. Estimating long-term erosion and sedimentation rate on farmland using magnetic susceptibility in northeast China. Soil Tillage Res. 2019, 187, 41–49. [Google Scholar] [CrossRef]
- Li, M.; Li, T.; Zhu, L.; Meadows, M.E.; Zhu, W.; Zhang, S. Effect of Land Use Change on Gully Erosion Density in the Black Soil Region of Northeast China from 1965 to 2015: A Case Study of the Kedong County. Front. Environ. Sci. 2021, 9, 652933. [Google Scholar] [CrossRef]
- Wang, B.; Zhang, Z.; Wang, X.; Zhao, X.; Yi, L.; Hu, S. The Suitability of Remote Sensing Images at Different Resolutions for Mapping of Gullies in the Black Soil Region, Northeast China. Remote Sens. 2021, 13, 2367. [Google Scholar] [CrossRef]
- Wang, R.; Zhang, S.; Pu, L.; Yang, J.; Yang, C.; Chen, J.; Guan, C.; Wang, Q.; Chen, D.; Fu, B.; et al. Gully Erosion Mapping and Monitoring at Multiple Scales Based on Multi-Source Remote Sensing Data of the Sancha River Catchment, Northeast China. Isprs Int. J. Geo-Inf. 2016, 5, 200. [Google Scholar] [CrossRef]
- Wang, J.; Shi, X.; Li, Z.; Zhang, Y.; Liu, Y.; Peng, Y. Responses of runoff and soil erosion to planting pattern, row direction, and straw mulching on sloped farmland in the corn belt of northeast China. Agric. Water Manag. 2021, 253, 106935. [Google Scholar] [CrossRef]
- Wen, Y.; Kasielke, T.; Li, H.; Zhang, B.; Zepp, H. May agricultural terraces induce gully erosion? A case study from the Black Soil Region of Northeast China. Sci. Total Environ. 2021, 750, 141715. [Google Scholar] [CrossRef] [PubMed]
- Xu, X.; Zheng, F.; Wilson, G.V.; He, C.; Lu, J.; Bian, F. Comparison of runoff and soil loss in different tillage systems in the Mollisol region of Northeast China. Soil Tillage Res. 2018, 177, 1–11. [Google Scholar] [CrossRef]
- Yan, Y.; Zhang, X.; Liu, J.; Li, J.; Ding, C.; Qi, Z.; Shen, Q.; Guo, M. The effectiveness of selected vegetation communities in regulating runoff and soil loss from regraded gully banks in the Mollisol region of Northeast China. Land Degrad. Dev. 2021, 32, 2116–2129. [Google Scholar] [CrossRef]
- Ma, X.; Zhao, C.; Zhu, J. Aggravated risk of soil erosion with global warming—A global meta-analysis. Catena 2021, 200, 105129. [Google Scholar] [CrossRef]
- Xu, X.Z.; Xu, Y.; Chen, S.C.; Xu, S.G.; Zhang, H.W. Soil loss and conservation in the black soil region of Northeast China: A retrospective study. Environ. Sci Policy 2010, 13, 793–800. [Google Scholar] [CrossRef]
- Wang, B.; Zhao, X.; Wang, X.; Zhang, Z.; Yi, L.; Hu, S. Spatial and temporal variability of soil erosion in the black soil region of Northeast China from 2000 to 2015. Environ. Monit Assess 2020, 192, 370. [Google Scholar] [CrossRef]
- Lin, Y.; Li, H.; Xiao, B. Influencing Factors of Wind Erosion and Their Quantitative Relationships with Erosion Rate in Black Soil Area of Northeast China. J. Soil Water Conserv. 2017, 31, 44–50. [Google Scholar]
- Li, H.; Shen, H.; Wang, Y.; Wang, Y.; Gao, Q. Effects of ridge tillage and straw returning on runoff and soil loss under simulated rainfall in the mollisol region of Northeast China. Sustainability 2021, 13, 10614. [Google Scholar] [CrossRef]
- Liu, T.; Xu, X.; Yang, J. Experimental study on the effect of freezing-thawing cycles on wind erosion of black soil in Northeast China. Cold Reg. Sci. Technol. 2017, 136, 1–8. [Google Scholar] [CrossRef]
- Yan, Y.; Zhen, H.; Zhai, X.; Li, J.; Hu, W.; Ding, C.; Qi, Z.; Qiao, B.; Li, H.; Liu, X.; et al. The role of vegetation on earth bunds in mitigating soil erosion in Mollisols region of Northeast China. Catena 2021, 196, 104927. [Google Scholar] [CrossRef]
- Fang, H.J.; Yang, X.M.; Zhang, X.P.; Liang, A.Z. Using Cs-137 tracer technique to evaluate erosion and deposition of black soil in Northeast China. Pedosphere 2006, 16, 201–209. [Google Scholar] [CrossRef]
- Wang, Z.; Zeng, Y.; Li, C.; Yan, H.; Yu, S.; Wang, L.; Shi, Z. Telecoupling cropland soil erosion with distant drivers within China. J. Environ. Manag. 2021, 288, 112395. [Google Scholar] [CrossRef] [PubMed]
- Yang, X.M.; Zhang, X.P.; Deng, W.; Fang, H.J. Black soil degradation by rainfall erosion in Jilin, China. Land Degrad. Dev. 2003, 14, 409–420. [Google Scholar] [CrossRef]
- Evrard, O.; Chaboche, P.A.; Ramon, R.; Foucher, A.; Laceby, J.P. A global review of sediment source fingerprinting research incorporating fallout radiocesium (Cs-137). Geomorphology 2020, 362, 107103. [Google Scholar] [CrossRef]
- Phinzi, K.; Ngetar, N.S. The assessment of water-borne erosion at catchment level using GIS-based RUSLE and remote sensing: A review. Int. Soil Water Conserv. Res. 2019, 7, 27–46. [Google Scholar] [CrossRef]
- Chi, W.F.; Zhao, Y.Y.; Kuang, W.H.; He, H.L. Impacts of anthropogenic land use/cover changes on soil wind erosion in China. Sci. Total Environ. 2019, 668, 204–215. [Google Scholar] [CrossRef]
- Li, J.Y.; Ma, X.F.; Zhang, C. Predicting the spatiotemporal variation in soil wind erosion across Central Asia in response to climate change in the 21st century. Sci. Total Environ. 2020, 709, 136060. [Google Scholar] [CrossRef]
- Fu, Q.; Li, B.; Hou, Y.; Bi, X.; Zhang, X.S. Effects of land use and climate change on ecosystem services in Central Asia’s arid regions: A case study in Altay Prefecture, China. Sci. Total Environ. 2017, 607, 633–646. [Google Scholar] [CrossRef]
- Van Pelt, R.S.; Zobeck, T.M.; Potter, K.N.; Stout, J.E.; Popham, T.W. Validation of the wind erosion stochastic simulator (WESS) and the revised wind erosion equation (RWEQ) for single events. Environ. Model. Softw. 2004, 19, 191–198. [Google Scholar] [CrossRef]
- Zhang, H.; Fan, J.; Cao, W.; Harris, W.; Li, Y.; Chi, W.; Wang, S. Response of wind erosion dynamics to climate change and human activity in Inner Mongolia, China during 1990 to 2015. Sci. Total Environ. 2018, 639, 1038–1050. [Google Scholar] [CrossRef] [PubMed]
- Fryrear, D.W.; Bilbro, J.D.; Saleh, A.; Schomberg, H.; Stout, J.E.; Zobeck, T.M. RWEQ: Improved wind erosion technology. J. Soil Water Conserv. 2000, 55, 183–189. [Google Scholar]
- Jiang, C.; Nath, R.; Labzovskii, L.; Wang, D.W. Integrating ecosystem services into effectiveness assessment of ecological restoration program in northern China’s arid areas: Insights from the Beijing-Tianjin Sandstorm Source Region. Land Use Policy 2018, 75, 201–214. [Google Scholar] [CrossRef]
- Du, H.; Wang, T.; Xue, X. Potential wind erosion rate response to climate and land-use changes in the watershed of the Ningxia-Inner Mongolia reach of the Yellow River, China, 1986-2013. Earth Surf. Process. Landf. 2017, 42, 1923–1937. [Google Scholar] [CrossRef]
- Jiang, C.; Li, D.; Wang, D.; Zhang, L. Quantification and assessment of changes in ecosystem service in the Three-River Headwaters Region, China as a result of climate variability and land cover change. Ecol. Indic. 2016, 66, 199–211. [Google Scholar] [CrossRef]
- Shen, L.; Tian, M.; Gao, J. Analysis on Wind Erosion and Main Factors in Desertification Control Ecologincal Function Area of Hunshandake Using the Revised Wind Erosio Equation Model. Res. Soil Water Conserv. 2016, 23, 90–97. [Google Scholar]
- Jiang, L.; Xiao, Y.; Ouyang, Z.; Xu, W.; Zheng, H. Estimate of the Wind Erosion Modules in Qinghai Province Based on RWEQ Model. Res. Soil Water Conserv. 2015, 22, 21–25,32. [Google Scholar]
- Wang, H.; Wang, W.J.; Liu, Z.; Wang, L.; Zhang, W.; Zou, Y.; Jiang, M. Combined effects of multi-land use decisions and climate change on water-related ecosystem services in Northeast China. J. Environ. Manag. 2022, 315, 115131. [Google Scholar] [CrossRef]
- Liu, X.; Yan, B. Soil erosion and food security in the black soil region of Northeast China. Soil Water Conserv. China 2009, 30, 17–19. [Google Scholar]
- Zhang, G.; Yang, Y.; Liu, Y.; Wang, Z. Advances and Prospects of Soil Erosion Research in the Black Soil Region of Northeast China. J. Soil Water Conserv. 2022, 36, 1–12. [Google Scholar]
- Liu, J.; Kuang, W.; Zhang, Z.; Xu, X.; Qin, Y.; Ning, J.; Zhou, W.; Zhang, S.; Li, R.; Yan, C.; et al. Spatiotemporal characteristics, patterns and causes of land use changes in China since the late 1980s. Acta Geogr. Sin. 2014, 69, 3–14. [Google Scholar] [CrossRef]
- Zhang, W.; Xie, Y.; Liu, B. Rainfall Erosivity Estimation Using Daily Rainfall Amounts. Sci. Geogr. Sin. 2002, 22, 705–711. [Google Scholar]
- Wischmeier, W.H.; Johnson, C.B.; Cross, B.V. Soil erodibility nomograph for farmland and construction sites. J. Soil Water Conserv. 1971, 26, 189–193. [Google Scholar]
- McCool, D.K.; Brown, L.C.; Foster, G.R.; Mutchler, C.K.; Meyer, L.D. Revised slope steepness factor for the universal soil loss equation. Trans. Asae 1987, 30, 1387–1396. [Google Scholar] [CrossRef]
- Liu, B.Y.; Nearing, M.A.; Risse, L.M. Slope gradient effects on soil loss for steep slopes. Trans. Asae 1994, 37, 1835–1840. [Google Scholar] [CrossRef]
- Cai, C.; Ding, S.; Shi, Z.; Huang, L.; Zhang, G. Study of Applying USLE and Geographical Information System IDRISI to Predict Soil Erosion in Small Watershed. J. Soil Water Conserv. 2000, 14, 19–24. [Google Scholar]
- Cao, W.; Wu, D.; Huang, L.; Liu, L. Spatial and temporal variations and significance identification of ecosystem services in the Sanjiangyuan National Park, China. Sci. Rep. 2020, 10, 6151. [Google Scholar] [CrossRef]
- Huang, L.; Cao, W.; Xu, X.L.; Fan, J.W.; Wang, J.B. Linking the benefits of ecosystem services to sustainable spatial planning of ecological conservation strategies. J. Environ. Manag. 2018, 222, 385–395. [Google Scholar] [CrossRef]
- Zhang, H.; Fan, J.; Cao, W.; Zhong, H.; Harris, W.; Gong, G.; Zhang, Y. Changes in multiple ecosystem services between 2000 and 2013 and their driving factors in the Grazing Withdrawal Program, China. Ecol. Eng. 2018, 116, 67–79. [Google Scholar] [CrossRef]
- SL190-2007; Standards for Classification and Gradation of Soil Erosion. People’s Republic of China Water Resources Industry Standard. Ministry of Water Resources of China: Beijing, China, 2008.
- Ma, M.; Frank, V. Interannual variability of vegetation cover in the Chinese Heihe river basin and its relation to meteorological parameters. Int. J. Remote Sens. 2006, 27, 3473–3486. [Google Scholar] [CrossRef]
- Wang, S.; Fang, H.; He, J. Effects of Variation in Vegetation Cover and Rainfall on Soil Erosion in Black Soil Region,Northeastern China. Bull. Soil Water Conserv. 2021, 41, 66–75. [Google Scholar]
- Jiang, C.; Zhang, L.; Zhang, H.; Jiang, C.; Yu, Y.; Pan, T. Quantitative evaluation of soil conservation in 2000-2010 in Heilongjiang Province using RUSLE model. Chin. J. Eco-Agric. 2015, 23, 642–649. [Google Scholar]
- Li, X.; Wu, Z.; Du, Z.; Zhang, H. Study on Regional Soil Wind Erosion and Its Influencing Factors Based on Different Wind Erosion Models-Take Inner Mongolia Autonomous Region as An Example. J. Soil Water Conserv. 2021, 35, 69–75. [Google Scholar]
- Yang, W.; Liu, Z.; Su, Z.; Gao, W.; Ren, T.; Yang, X. Spatial-Temporal Variation and Zoning Review of Soil Wind Erosion in the Three Provinces of Northeast China. Chin. J. Agrometeorol. 2022, 43, 327–339. [Google Scholar]
- Zhang, K.; Liu, H. Research progresses and prospects on freeze-thaw erosion in the black soil region of Northeast China. Sci. Soil Water Conserv. 2018, 16, 17–24. [Google Scholar]
- Liu, G.; Zheng, F.; Jia, L.; Jia, Y.; Zhang, X.-C.; Hu, F.; Zhang, J. Interactive effects of raindrop impact and groundwater seepage on soil erosion. J. Hydrol. 2019, 578, 124066. [Google Scholar] [CrossRef]
- He, Q.; Li, B.; Zhang, F.; Yang, M. Quantitative analysis of soil erosion factors in sloping farmland in black soil area of Northeast China. Acta Geogr. Sin. 2021, 76, 1218–1230. [Google Scholar]
- Li, S.; Li, H.; Lin, Y.; Xiao, B.; Wang, G. Effects of Tillage Methods on Wind Erosion in Farmland of Northeastern China. J. Soil Water Conserv. 2019, 33, 110–118,220. [Google Scholar]
- Zhang, X.; Li, J.; Guo, M.; Hu, W.; Li, J. Effects of Straw Mulching and No Tillage for Continuous 14Years on Soil and Water Conservation in Mollisols Sloping Farmland. J. Soil Water Conserv. 2022, 36, 44–50. [Google Scholar]
- Gai, H.; Liu, P.; Zhang, M.; Chen, B.; Wang, Y.; Wang, L. Effects of Ridge Planting on Reducing Runoff and Soil Organic Carbon Loss in Black Soil Slope. J. Soil Water Conserv. 2022, 36, 300–304,311. [Google Scholar]
- Wang, X.; Gu, J.; Liu, G.; Shi, H. The Influence of Transverse and Longitudinal Ridge Tillage on Soil Erosion and Deposition Cycles for Mollisol Slope. Acta Pedol. Sin. 2022, 59, 430–439. [Google Scholar]
- Kravchenko, Y.S.; Chen, Q.; Liu, X.; Herbert, S.J.; Zhang, X. Conservation Practices and Management in Ukrainian Mollisols. J. Agric. Sci. Technol. 2016, 18, 845–854. [Google Scholar]






| Erosion Degree | Average Amount of Erosion [t/(hm−2·a−1)] |
|---|---|
| 1: Slight | <5 |
| 2: Light | 5–25 |
| 3: Moderate | 25–50 |
| 4: Intensive | >50 |
| Types of Soil Erosion | 2000–2010 | 2010–2020 | 2000–2020 | ||||||||
|---|---|---|---|---|---|---|---|---|---|---|---|
| Mean Erosion Modulus | Amount of Erosion | Interannual Variation | Mean Erosion Modulus | Amount of Erosion | Interannual Variation | Mean Erosion Modulus | Amount of Erosion | Interannual Variation | |||
| (t·hm−2) | (108 t) | (t·hm−2·a−1) | (t·hm−2) | (108 t) | (t·hm−2·a−1) | (t·hm−2) | (108 t) | (t·hm−2·a−1) | |||
| Water erosion | Geographic sub-regions | SNP | 0.469 | 0.105 | 0.025 | 0.587 | 0.131 | 0.000 | 0.517 | 0.116 | 0.012 |
| SJP | 0.619 | 0.066 | 0.046 | 0.796 | 0.085 | −0.016 | 0.692 | 0.074 | 0.017 | ||
| LRP | 3.718 | 0.689 | 0.021 | 2.858 | 0.530 | −0.055 | 3.244 | 0.601 | −0.066 | ||
| LKMR | 0.384 | 0.034 | 0.020 | 0.392 | 0.035 | −0.017 | 0.373 | 0.033 | 0.001 | ||
| GKMR | 1.253 | 0.565 | 0.016 | 1.345 | 0.606 | −0.032 | 1.280 | 0.577 | 0.004 | ||
| CBMR | 2.919 | 0.520 | 0.442 | 2.700 | 0.481 | −0.066 | 2.661 | 0.474 | 0.038 | ||
| Types of ecosystems | Cropland | 1.178 | 0.437 | 0.049 | 1.146 | 0.425 | −0.018 | 1.140 | 0.423 | 0.002 | |
| Forest | 1.843 | 0.919 | 0.165 | 1.584 | 0.789 | −0.047 | 1.649 | 0.822 | −0.002 | ||
| Grassland | 1.859 | 0.432 | −0.006 | 1.874 | 0.435 | −0.052 | 1.832 | 0.426 | −0.007 | ||
| Bare land | 1.769 | 0.049 | −0.036 | 2.021 | 0.056 | −0.018 | 1.890 | 0.052 | 0.010 | ||
| Northeast China | 1.604 | 1.983 | 0.083 | 1.514 | 1.872 | −0.032 | 1.520 | 1.878 | 0.001 | ||
| Wind erosion | Geographic sub-regions | SNP | 1.286 | 0.288 | −0.090 | 1.077 | 0.241 | 0.038 | 1.154 | 0.259 | −0.024 |
| SJP | 0.700 | 0.075 | −0.016 | 0.539 | 0.058 | 0.009 | 0.603 | 0.065 | −0.012 | ||
| LRP | 2.113 | 0.392 | −0.147 | 1.197 | 0.222 | −0.045 | 1.591 | 0.295 | −0.089 | ||
| LKMR | 0.262 | 0.023 | −0.024 | 0.231 | 0.021 | 0.006 | 0.239 | 0.021 | −0.005 | ||
| GKMR | 1.572 | 0.709 | −0.067 | 1.512 | 0.682 | 0.067 | 1.513 | 0.682 | −0.006 | ||
| CBMR | 0.437 | 0.078 | −0.006 | 0.315 | 0.056 | −0.007 | 0.367 | 0.066 | −0.009 | ||
| Types of ecosystems | Cropland | 1.146 | 0.425 | −0.070 | 0.843 | 0.312 | 0.011 | 0.964 | 0.357 | −0.030 | |
| Forest | 0.431 | 0.215 | −0.020 | 0.325 | 0.162 | −0.002 | 0.369 | 0.184 | −0.010 | ||
| Grassland | 2.446 | 0.568 | −0.108 | 2.251 | 0.523 | 0.091 | 2.302 | 0.535 | −0.019 | ||
| Bare land | 4.808 | 0.132 | −0.338 | 3.448 | 0.095 | 0.070 | 3.985 | 0.110 | −0.133 | ||
| Northeast China | 1.270 | 1.571 | −0.067 | 1.039 | 1.285 | 0.025 | 1.126 | 1.393 | −0.023 | ||
| Types of Erosion | 2000–2010 | 2010–2020 | 2000–2020 | |||||||||||
|---|---|---|---|---|---|---|---|---|---|---|---|---|---|---|
| Slight | Light | Moderate | Intensive | Slight | Light | Moderate | Intensive | Slight | Light | Moderate | Intensive | |||
| Water erosion | Geographic sub-regions | SNP | 97.004 | 2.978 | 0.013 | 0.005 | 95.357 | 4.596 | 0.035 | 0.011 | 96.371 | 3.599 | 0.023 | 0.007 |
| SJP | 93.212 | 6.760 | 0.018 | 0.010 | 90.728 | 9.203 | 0.050 | 0.019 | 92.229 | 7.726 | 0.031 | 0.014 | ||
| LRP | 60.993 | 37.441 | 1.337 | 0.228 | 65.390 | 33.728 | 0.693 | 0.189 | 62.893 | 36.023 | 0.892 | 0.192 | ||
| LKMR | 98.100 | 1.880 | 0.013 | 0.007 | 97.998 | 1.976 | 0.017 | 0.009 | 98.282 | 1.695 | 0.015 | 0.008 | ||
| GKMR | 86.255 | 13.350 | 0.330 | 0.065 | 85.285 | 14.240 | 0.381 | 0.094 | 85.949 | 13.638 | 0.338 | 0.076 | ||
| CBMR | 68.825 | 29.888 | 1.108 | 0.179 | 66.907 | 32.241 | 0.706 | 0.145 | 68.981 | 30.152 | 0.728 | 0.139 | ||
| Types of ecosystems | Cropland | 87.312 | 12.382 | 0.266 | 0.040 | 86.914 | 12.871 | 0.184 | 0.031 | 87.284 | 12.480 | 0.205 | 0.031 | |
| Forest | 80.363 | 19.062 | 0.524 | 0.051 | 80.350 | 19.320 | 0.288 | 0.042 | 80.832 | 18.812 | 0.318 | 0.038 | ||
| Grassland | 80.883 | 18.227 | 0.759 | 0.131 | 79.995 | 19.185 | 0.674 | 0.145 | 80.550 | 18.655 | 0.669 | 0.126 | ||
| Bare land | 84.624 | 14.381 | 0.729 | 0.267 | 82.160 | 16.669 | 0.793 | 0.378 | 83.381 | 15.552 | 0.745 | 0.323 | ||
| Northeast China | 83.342 | 16.087 | 0.486 | 0.086 | 82.847 | 16.709 | 0.357 | 0.088 | 83.350 | 16.200 | 0.370 | 0.080 | ||
| Wind erosion | Geographic sub-regions | SNP | 83.992 | 15.971 | 0.033 | 0.003 | 89.304 | 10.678 | 0.017 | 0.002 | 87.186 | 12.797 | 0.015 | 0.001 |
| SJP | 97.268 | 2.732 | 0.000 | 0.000 | 97.569 | 2.431 | 0.000 | 0.000 | 97.664 | 2.336 | 0.000 | 0.000 | ||
| LRP | 67.673 | 32.113 | 0.204 | 0.010 | 87.628 | 12.311 | 0.060 | 0.001 | 80.207 | 19.646 | 0.142 | 0.005 | ||
| LKMR | 99.614 | 0.386 | 0.000 | 0.000 | 99.540 | 0.460 | 0.000 | 0.000 | 99.596 | 0.404 | 0.000 | 0.000 | ||
| GKMR | 76.944 | 22.975 | 0.074 | 0.006 | 81.044 | 18.877 | 0.070 | 0.009 | 79.491 | 20.443 | 0.059 | 0.007 | ||
| CBMR | 98.239 | 1.759 | 0.001 | 0.000 | 98.836 | 1.163 | 0.000 | 0.000 | 98.571 | 1.428 | 0.001 | 0.000 | ||
| Types of ecosystems | Cropland | 86.723 | 13.271 | 0.006 | 0.001 | 95.525 | 4.472 | 0.003 | 0.000 | 92.660 | 7.336 | 0.003 | 0.000 | |
| Forest | 97.266 | 2.726 | 0.007 | 0.001 | 98.543 | 1.444 | 0.012 | 0.001 | 98.104 | 1.886 | 0.008 | 0.001 | ||
| Grassland | 59.166 | 40.811 | 0.020 | 0.002 | 67.029 | 32.937 | 0.031 | 0.003 | 63.738 | 36.240 | 0.020 | 0.002 | ||
| Bare land | 37.319 | 61.834 | 0.798 | 0.049 | 54.558 | 44.925 | 0.435 | 0.082 | 46.596 | 52.870 | 0.469 | 0.065 | ||
| Northeast China | 83.247 | 16.684 | 0.064 | 0.004 | 88.807 | 11.151 | 0.038 | 0.004 | 86.715 | 13.235 | 0.046 | 0.004 | ||
Disclaimer/Publisher’s Note: The statements, opinions and data contained in all publications are solely those of the individual author(s) and contributor(s) and not of MDPI and/or the editor(s). MDPI and/or the editor(s) disclaim responsibility for any injury to people or property resulting from any ideas, methods, instructions or products referred to in the content. |
© 2022 by the authors. Licensee MDPI, Basel, Switzerland. This article is an open access article distributed under the terms and conditions of the Creative Commons Attribution (CC BY) license (https://creativecommons.org/licenses/by/4.0/).
Share and Cite
Wang, S.; Xu, X.; Huang, L. Spatial and Temporal Variability of Soil Erosion in Northeast China from 2000 to 2020. Remote Sens. 2023, 15, 225. https://doi.org/10.3390/rs15010225
Wang S, Xu X, Huang L. Spatial and Temporal Variability of Soil Erosion in Northeast China from 2000 to 2020. Remote Sensing. 2023; 15(1):225. https://doi.org/10.3390/rs15010225
Chicago/Turabian StyleWang, Shihao, Xinliang Xu, and Lin Huang. 2023. "Spatial and Temporal Variability of Soil Erosion in Northeast China from 2000 to 2020" Remote Sensing 15, no. 1: 225. https://doi.org/10.3390/rs15010225
APA StyleWang, S., Xu, X., & Huang, L. (2023). Spatial and Temporal Variability of Soil Erosion in Northeast China from 2000 to 2020. Remote Sensing, 15(1), 225. https://doi.org/10.3390/rs15010225

