Monsoon Effects on Chlorophyll-a, Sea Surface Temperature, and Ekman Dynamics Variability along the Southern Coast of Lesser Sunda Islands and Its Relation to ENSO and IOD Based on Satellite Observations
Abstract
1. Introduction
2. Materials and Methods
2.1. Data
2.2. Methods
3. Results
3.1. Spatio-Temporal Variability of chl-a
3.2. Spatio-Temporal Variability of SST
3.3. Spatio-Temporal Variability of Wind Stress
3.4. The Four Locations with a Unique SST and Surface Wind Characteristics
3.5. Spatio−Temporal Variability of EMT
3.6. Spatio-Temporal Variability of EPV
3.7. Interannual Variability
3.7.1. The Effects of the 2009 El Nino and the 2007 La Nina
3.7.2. The Effects of the 2008 Positive IOD and the 2016 Negative IOD
3.7.3. The Effects of the 2015 Positive IOD and El Nino and the 2010 Negative IOD and La Nina
3.7.4. The Variation of Mixed Layer Depth
4. Discussion
5. Conclusions
- (1)
- The maximum chl-a concentration, of more than 1.5 mg m−3, occurs in August, whereas the minimum SST, of lower than 25 °C, also occurs in August along the southern coast of LSI. This trend is also followed by a strong wind stress (more than 0.1 Nm−2). These results suggest the importance of AAM winds in regulating ocean surface conditions through the EMT mechanism. The Australian monsoon in June–August induces a strong offshore EMT that is favorable to upwelling conditions. It brings cold and rich-nutrient water from a subsurface layer to the ocean surface. As a result, a high chl-a and a low SST occur in June–August.
- (2)
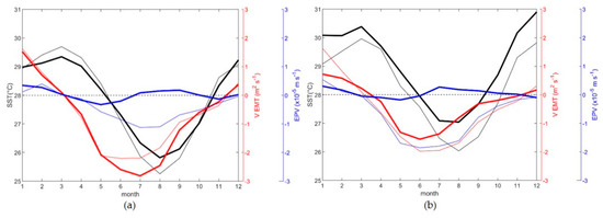
- Throughout the southeast monsoon season, the relationship between the distribution of SST and sea surface wind speed is incongruent. We observed a lower SST in Box 1 than in Box 2, whereas the wind speed in Box 1 is weaker than in Box 2. This discrepancy is due to Ekman dynamics processes, which affect SST variation along the southern coast of LSI. The SST variability in Box 1 is delineated by a negative EPV and a weak offshore EMT. Conversely, Box 2 is delineated by a strong offshore EMT and a positive EPV. A negative EPV enhances EMT-produced upwelling, despite the fact that the coastal upwelling induced by an offshore EMT in Box 1 is weak. The positive EPV-induced downwelling in Box 2, conversely, counteracts robust offshore EMT-induced upwelling. In addition, we observed a consistent relationship between wind speed and SST in Box 3 and Box 4. SST variability in Box 3 is delineated by a negative EPV and a strong offshore EMT, whereas the combination of a weak offshore EMT and a positive EPV determined the SST variability in Box 4.
- (3)
- The offshore EMT dominates in the seasonal fluctuation of EMT, which is favorable for generating coastal upwelling. The offshore EMT appears for eight months, from April to November, when there is a southeasterly wind, and reaches its maximum value (about 4 m2 s−1) in August along the southern coast of Bali, Lombok, and Sumbawa. In addition, the onshore EMT appears for four months, from December to March, when there is a northwesterly wind, and reaches its maximum value (about 2 ) in January. Additionally, negative EPV values (upward water motion) are dominant during the southeast monsoon season. In contrast, positive EPV values (downward water motion) are dominant during the northwest monsoon season.
- (4)
- Regarding interannual variation, La Nina coincides with negative IOD occurrences, reduces offshore EMT intensity, and induces a low chl-a concentration and a warm SST. In contrast, El Nino and positive IOD tend to strengthen offshore EMT, resulting in a high chl-a concentration and a cold SST. Furthermore, the shallowest mixed layer depth occurred during the 2007 La Nina event, and the positive anomaly of chl-a concentration and the negative anomaly of SST correspond to the positive anomalies of wind stress and EMT. A shallow mixed layer depth allows for phytoplankton blooms on the ocean surface because this enables the nutrient-rich water to be entrained to the surface, resulting in cold and rich-nutrient water along the southern coast of LSI. In addition, the IOD has a more significant impact on the variability in SST than ENSO in all four boxes.
Author Contributions
Funding
Institutional Review Board Statement
Informed Consent Statement
Data Availability Statement
Acknowledgments
Conflicts of Interest
References
- Setyohadi, D.; Zakiyah, U.; Sambah, A.B.; Wijaya, A. Upwelling Impact on Sardinella lemuru during the Indian Ocean Dipole in the Bali Strait, Indonesia. Fishes 2021, 6, 8. [Google Scholar] [CrossRef]
- Gao, C.; Fu, M.; Song, H.; Wang, L.; Wei, Q.; Sun, P.; Liu, L.; Zhang, X. Phytoplankton pigment pattern in the subsurface chlorophyll maximum in the South Java coastal upwelling system, Indonesia. Acta Oceanol. Sin. 2018, 37, 97–106. [Google Scholar] [CrossRef]
- Tang, S.; Rachman, A.; Fitria, N.; Thoha, H.; Chen, B. Phytoplankton changes during SE monsoonal period in the Lembeh Strait of North Sulawesi, Indonesia, from 2012 to 2015. Acta Oceanol. Sin. 2018, 37, 9–17. [Google Scholar] [CrossRef]
- Hendiarti, N.; Siegel, H.; Ohde, T. Investigation of different coastal processes in Indonesian waters using SeaWiFS data. Deep. Sea Res. Part II Top. Stud. Oceanogr. 2004, 51, 85–97. [Google Scholar] [CrossRef]
- Sachoemar, S.I.; Yanagi, T.; Hendiarti, N.; Sadly, M.; Meliani, F. Seasonal Variability of Sea Surface Cholophyll-a and Abundance of Pelagic Fish in Lampung Bay, Southern Coastal Area of Sumatra, Indonesia. Coast. Mar. Sci. 2010, 34, 82–90. [Google Scholar] [CrossRef]
- Sachoemar, S.I.; Yanagi, T.; Aliah, S.R. Variability of Sea Surface Chlorophyll-a, Temperature and Fish Catch within Indonesian Region Revealed by Satellite Data. Mar. Res. Indones. 2012, 37, 75–87. [Google Scholar] [CrossRef]
- Friedland, K.D.; Stock, C.; Drinkwater, K.F.; Link, J.S.; Leaf, R.T.; Shank, B.V.; Rose, J.M.; Pilskaln, C.H.; Fogarty, M.J. Pathways between Primary Production and Fisheries Yields of Large Marine Ecosystems. PLoS ONE 2012, 7, e28945. [Google Scholar] [CrossRef] [PubMed]
- Racault, M.-F.; Sathyendranath, S.; Brewin, R.J.W.; Raitsos, D.E.; Jackson, T.; Platt, T. Impact of El Niño Variability on Oceanic Phytoplankton. Front. Mar. Sci. 2017, 4, 133. [Google Scholar] [CrossRef]
- Zainuddin, M.; Farhum, A.; Safruddin, S.; Selamat, M.B.; Sudirman, S.; Nurdin, N.; Syamsuddin, M.; Ridwan, M.; Saitoh, S.-I. Detection of Pelagic Habitat Hotspots for Skipjack Tuna in the Gulf of Bone-Flores Sea, Southwestern Coral Triangle Tuna, Indonesia. PLoS ONE 2017, 12, e0185601. [Google Scholar] [CrossRef]
- Welliken, M.A.; Melmambessy, E.H.P.; Merly, S.L.; Pangaribuan, R.D.; Lantang, B.; Hutabarat, J.; Wirasatriya, A. Variability Chlorophyll-a and Sea Surface Temperature as the Fishing Ground Basis of Mackerel Fish in the Arafura Sea. E3S Web Conf. 2018, 73, 04004. [Google Scholar] [CrossRef]
- Ningsih, N.S.; Rakhmaputeri, N.; Harto, A.B. Upwelling Variability along the Southern Coast of Bali and in Nusa Tenggara. Ocean Sci. J. 2013, 48, 49–57. [Google Scholar] [CrossRef]
- Veron, J.; Devantier, L.M.; Turak, E.; Green, A.L.; Kininmonth, S.; Stafford-Smith, M.; Peterson, N. Delineating the Coral Triangle. Galaxea J. Coral Reef Stud. 2009, 11, 91–100. [Google Scholar] [CrossRef]
- Allen, G.R.; Erdmann, M.V. Reef Fishes of the East Indies. In Tropical Reef Research; Tropical Reef Research: Perth, Australia, 2007; Volume I–III, pp. 1–1260. [Google Scholar]
- Maarif, M.S. Declaration of Savu Sea Marine National Parkmand the Achievement of 10 Million Hectares of Marine Protectedmarea in Indonesia. 2009. Available online: http://surajis.multiply.com/journal/item/75 (accessed on 25 February 2021).
- Suman, A.; Irianto, H.E.; Satria, F.; Amri, K. Potential and utilization rate of fish resources in the Indonesian state fisheries management area (WPP NKRI) year 2015 as well as its management. Indones. Fish. Policy J. 2016, 8, 97–110. [Google Scholar]
- Oktavia, P.; Salim, W.; Perdanahardja, G. Reinventing papadak/hoholok as a traditional management system of marine resources in Rote Ndao, Indonesia. Ocean Coast Manag. 2018, 161, 37–49. [Google Scholar] [CrossRef]
- Hidayat, R.; Zainuddin, M.; Putri, A.R.S. Safruddin, Skipjack tuna (Katsuwonus pelamis) catches in relation to chlorophyll-a front in bone gulf during the southeast monsoon. AACL Bioflux 2019, 12, 209–218. [Google Scholar]
- Syamsuddin, M.; Najamuddin, A.S. Development Analysis of Skipjack Tuna (Katsuwonus pelamis Linneus) Sustainable in Kupang, East Nusa Tenggara Province. Master’s Thesis, Hasanudin University, Makassar, Indonesia, 2009. [Google Scholar]
- Wijaya, A. Oceanographic phenomenon in the Savu sea to determine the potential of high economic pelagic fish resources. Proceed. XVI Annu. Sci. Meet. Indones. Geogr. Assoc. 2013, 1, 253–259. [Google Scholar]
- Gordon, A.L. Oceanography of the Indonesian seas and their throughflow. Oceanography 2005, 18, 15–27. [Google Scholar] [CrossRef]
- Setiawan, R.Y.; Habibi, A. Satellite detection of summer chlorophyll-a bloom in the gulf of tomini. IEEE J. Sel. Top. Appl. Earth Obs. Remote Sens. 2011, 4, 944–948. [Google Scholar] [CrossRef]
- Susanto, R.D.; Moore, T.S.; Marra, J. Ocean color variability in the Indonesian Seas during the SeaWiFS era. Geochem. Geophys. Geosyst. 2006, 7, 1–16. [Google Scholar] [CrossRef]
- Wyrtki, K. Physical oceanography of the southeast asian waters. Scientific results of marine investigation of the south China sea and the gulf of Thailand 1959–1961. Phys. Oceanogr. Southeast Asian Waters Naga Rep. 1961, 2, 195. [Google Scholar] [CrossRef][Green Version]
- Mohtadi, M.; Oppo, D.W.; Steinke, S.; Stuut, J.B.W.; Pol-Holz, D.; Hebbeln, D.; Lückge, A. Glacial to Holocene swings of the Australian–Indonesian monsoon. Nat. Geosci. 2011, 4, 540–544. [Google Scholar] [CrossRef]
- Pramuwardani, I.; Sopaheluwakan, A. Indonesian rainfall variability during Western North Pacific and Australian monsoon phase related to convectively coupled equatorial waves. Arab. J. Geosci. 2018, 11, 673. [Google Scholar] [CrossRef]
- Griffiths, M.L.; Drysdale, R.N.; Gagan, M.K.; Zhao, J.-X.; Ayliffe, L.K.; Hellstrom, J.C.; Hantoro, W.S.; Frisia, S.; Feng, Y.-X.; Cartwright, I.; et al. Increasing Australian-Indonesian Monsoon Rainfall Linked to Early Holocene Sea-level Rise. Nat. Geosci. 2009, 2, 636–639. [Google Scholar] [CrossRef]
- Chang, C.P.; Wang, Z.; Hendon, H. The Asian Winter Monsoon. In The Asian Monsoon; Wang, B., Ed.; Springer Praxis Books; Springer: Berlin/Heidelberg, Germany, 2006; pp. 89–127. [Google Scholar] [CrossRef]
- Chang, C.-P.; Wang, Z.; McBride, J.; Liu, C.-H. Annual Cycle of Southeast Asia-Maritime Continent Rainfall and the Asymmetric Monsoon Transition. J. Clim. 2005, 18, 287–301. [Google Scholar] [CrossRef]
- Alidini, L.; Shimada, T.; Wirasatriya, A. Seasonal Distribution and Variability of Surface Winds in the Indonesian Seas Using Scatterometer and Reanalysis Data. Int. J. Climatol. 2021, 41, 4825–4843. [Google Scholar] [CrossRef]
- Susanto, R.D.; Gordon, A.L.; Zheng, Q. Upwelling along the coasts of Java and Sumatra and its relation to ENSO. Geophys. Res. Lett. 2001, 28, 1599–1602. [Google Scholar] [CrossRef]
- Saji, N.H.; Goswami, B.N.; Vinayachandran, P.N.; Yamagata, T. A Dipole mode in the tropical indain ocean. Nature 1999, 401, 360–363. [Google Scholar] [CrossRef]
- Sprintall, J.; Wijffels, S.; Molcard, R.; Jaya, I. Direct evidence of the south Java current system in ombai strait. Dyn. Atmos. Ocean. 2010, 50, 140–156. [Google Scholar] [CrossRef]
- Rasmusson, E.M.; Carpenter, T.H. Variations in tropical sea surface temperature and surface wind fields associated with the Southern Oscillation/El Niño. Mon. Weather Rev. 1982, 110, 354–384. [Google Scholar] [CrossRef]
- Jin, F.-F. An equatorial ocean recharge paradigm for ENSO. Part I Concept. Model J. Atmos. Sci. 1997, 54, 811–829. [Google Scholar] [CrossRef]
- Lau, N.-C.; Nath, M.J. The role of the “atmospheric bridge” in linking tropical Pacific ENSO events to extratropical SST anomalies. J. Clim. 1996, 9, 2036–2057. [Google Scholar] [CrossRef]
- Trenberth, K.E.; Branstator, G.W.; Karoly, D.; Kumar, A.; Lau, N.-C.; Ropelewski, C. Progress during TOGA in understanding and modeling global teleconnections associated with tropical sea surface temperatures. J. Geophys. Res. 1998, 103, 14291–14324. [Google Scholar] [CrossRef]
- Wei, X.; Liao, X.; Zhan, H.; Liu, H. Estimates of potential new production in the Java-Sumatra upwelling system. Chin. J. Oceanol. Limnol. 2012, 30, 1063–1067. [Google Scholar] [CrossRef]
- Lumban-Gaol, J.; Leben, R.R.; Vignudelli, S.; Mahapatra, K.; Okada, Y.; Nababan, B.; Mei-Ling, M.; Amri, K.; Arhatin, R.E.; Syahdan, M. Variability of satellite-derived sea surface height anomaly, and its relationship with Bigeye tuna (Thunnus obesus) catch in the Eastern Indian Ocean. Eur. J. Remote Sens. 2015, 48, 465–477. [Google Scholar] [CrossRef]
- Hood, R.R.; Beckley, L.E.; Wiggert, J.D. Biogeochemical and ecological impacts of boundary currents in the Indian Ocean. Prog. Oceanogr. 2017, 156, 290–325. [Google Scholar] [CrossRef]
- Setiawan, R.Y.; Wirasatriya, A.; Hernawan, U.; Leung, S.; Iskandar, I. Spatio-temporal variability of surface chlorophyll-a in the Halmahera Sea and its relation to ENSO and the Indian Ocean Dipole. Int. J. Remote Sens. 2020, 41, 284–299. [Google Scholar] [CrossRef]
- Setiawan, R.Y.; Setyobudi, E.; Wirasatriya, A.; Muttaqin, A.S.; Maslukah, L. The Influence of Seasonal and Interannual Variability on Surface Chlorophyll-a Off the Western Lesser Sunda Islands. IEEE J. Sel. Top. Appl. Earth Obs. Remote Sens. 2019, 12, 4191–4197. [Google Scholar] [CrossRef]
- Wirasatriya, A.; Setiawan, R.Y.; Subardjo, P. The Effect of ENSO on the Variability of Chlorophyll-a and Sea Surface Temperature in the Maluku Sea. IEEE J. Sel. Top. Appl. Earth Obs. Remote Sens. 2017, 10, 5513–5518. [Google Scholar] [CrossRef]
- Chen, G.; Han, W.; Li, Y.; Wang, D. Interannual Variability of Equatorial Eastern Indian Ocean Upwelling: Local versus Remote Forcing. J. Phys. Oceanogr. 2016, 46, 789–807. [Google Scholar] [CrossRef]
- Sari, Q.W.; Utari, P.A.; Setiabudidaya, D.; Yustian, I.; Siswanto, E.; Iskandar, I. Surface chlorophyll-a variations in the Southeastern Tropical Indian Ocean during various types of the positive Indian Ocean Dipole events. Int. J. Remote Sens. 2020, 41, 171–184. [Google Scholar] [CrossRef]
- O’Reilly, J.; Maritorena, S.; Mitchell, B.G.; Siegel, D.; Carder, K.L.; Garver, S.; Kahru, M.; McClain, C. Ocean Color Chlorophyll Algorithms for SeaWiFS. J. Geophys. Res. 1998, 103, 24937–24953. [Google Scholar] [CrossRef]
- Brown, O.B.; Minnett, P.J. MODIS Infrared Sea Surface Temperature Algorithm Theoretical Basis Document. Version 2.0; April 2009. Available online: http://modis.gsfc.nasa.gov/data/atbd/atbd_mod25.pdf (accessed on 25 February 2021).
- Verhoef, A.; Stoffelen, A. ASCAT Coastal Winds Validation Report, v1.5, May Technical Note SAF/OSI/CDOP/KNMI/TEC/RP/176. 2013. Available online: http://projects.knmi.nl/scatterometer/publications/pdf/ASCAT_validation_coa.pdf (accessed on 25 February 2021).
- Argo. Argo Float Data and Metadata from Global Data Assembly Centre (Argo GDAC). SEANOE. 2000. Available online: https://www.seanoe.org/data/00311/42182/ (accessed on 25 February 2021).
- Boyer, T.P.; Baranova, O.K.; Coleman, C.; Garcia, H.E.; Grodsky, A.; Locarnini, R.A.; Mishonov, A.V.; Paver, C.R.; Reagan, J.R.; Seidov, D.; et al. World Ocean Database 2018; NOAA Atlas NESDIS 87; Mishonov, A.V., Ed.; National Centers for Environmental Information Ocean Climate Laboratory: Silver Spring, MD, USA, 2018. Available online: https://www.ncei.noaa.gov/sites/default/files/2020-04/wod_intro_0.pdf (accessed on 25 February 2021).
- Fernandez, E.; Lellouche, J.M. Product User Manual for the Global Ocean Reanalysis Products GLOBAL-REANALYSIS-PHY-001-030; Marine Copernicus EU: Toulouse, France, 2018. [Google Scholar]
- de Boyer Montégut, C.; Madec, G.; Fischer, A.S.; Lazar, A.; Iudicone, D. Mixed layer depth over the global ocean: An examination of profile data and a profile-based climatology. J. Geophys. Res. 2004, 109, C12003. [Google Scholar] [CrossRef]
- WAMDI Group. The WAM Model: A Third Generation Ocean Wave Prediction Model. J. Phys. Oceanogr. 1988, 1, 1775–1810. [Google Scholar] [CrossRef]
- Wang, -J.-J.; Tang, D.L. Phytoplankton Patchiness during Spring Intermonsoon in Western Coast of South China Sea. Deep Sea Res. II 2014, 101, 120–128. [Google Scholar] [CrossRef]
- Stewart, R.H. Introduction to Physical Oceanography; Texas A & M University: College Station, TX, USA, 2008. [Google Scholar]
- UNESCO. Tenth Report of the Joint Panel on Oceanographic Tables and Standards; UNESCO Technical Papers in Marine Science: Paris, France, 1981; p. 25. [Google Scholar]
- Qu, T.; Du, Y.; Strachan, J.; Meyers, G.; Slingo, J. Temperature and Its Variability in the Indonesian Region. Oceanography 2005, 18, 50–61. [Google Scholar] [CrossRef]
- Iskandar, I.; Rao, S.A.; Tozuka, T. Chlorophyll-a Bloom along the Southern Coasts of Java and Sumatra during 2006. Int. J. Remote Sens. 2009, 30, 663–671. [Google Scholar] [CrossRef]
- Setiawan, R.Y.; Kawamura, H. Summertime Phytoplankton Bloom in the South Sulawesi Sea. IEEE J. Sel. Top. Appl. Earth Obs. Remote Sens. 2011, 4, 241–244. [Google Scholar] [CrossRef]
- Wirasatriya, A.; Prasetyawan, I.B.; Triyono, C.D.; Maslukah, L. Effect of ENSO on the Variability of SST and Chlorophyll-a in Java Sea. IOP Conf. Ser. Earth Environ. Sci. 2018, 116, 012063. [Google Scholar] [CrossRef]
- Wirasatriya, A.; Sugianto, D.N.; Helmi, M.; Maslukah, L.; Widiyandono, R.T.; Herawati, V.E.; Subardjo, P.; Handoyo, G.; Haryadi; Marwoto, J.; et al. Heat Flux Aspects on the Seasonal Variability of Sea Surface Temperature in the Java Sea. Ecol. Environ. Conserv. 2019, 25, 434–442. [Google Scholar] [CrossRef]
- Wirasatriya, A.; Setiawan, J.D.; Sugianto, D.N.; Rosyadi, I.A.; Haryadi, H.; Winarso, G.; Setiawan, R.Y.; Susanto, R.D. Ekman dynamics variability along the southern coast of Java revealed by satellite data. Int. J. Remote Sens. 2020, 41, 8475–8496. [Google Scholar] [CrossRef]
- Hao, Q.; Chai, F.; Xiu, P.; Bai, Y.; Chen, J.; Liu, C.; Le, F.; Zhou, F. Spatial and temporal variation in chlorophyll a concentration in the Eastern China Seas based on a locally modified satellite dataset. Estuar. Coast Shelf Sci. 2019, 220, 220–231. [Google Scholar] [CrossRef]
- Kunarso; Supangat, A.W. The advantages of the application of Fishing ground Tuna in Upwelling location with the help of daily satellite imagery. Indones. J. Mar. Sci. 2011, 13, 127–132. [Google Scholar]
- Manzer, C.R.; Connolly, T.P.; McPhee-Shaw, E.; Smith, G.J. Physical factors influencing phytoplankton abundance in southern Monterey Bay. Continent. Shelf Res. 2019, 180, 1–13. [Google Scholar] [CrossRef]
- Sartimbul, A.; Nakata, H.; Rohadi, E.; Yusuf, B.; Kadarisman, H.P. Variations in chlorophyll-a concentration and the impact on Sardinella lemuru catches in Bali Strait, Indonesia. Prog. Oceanogr. 2010, 87, 168–174. [Google Scholar] [CrossRef]
- Muskananfola, M.R.; Jumsar; Wirasatriya, A. Spatio-temporal distribution of chlorophyll-a concentration, sea surface temperature and wind speed using aqua-modis satellite imagery over the Savu Sea, Indonesia. Remote Sens. Appl. Soc. Environ. 2021, 22, 100483. [Google Scholar] [CrossRef]
- Horii, T.; Ueki, I.; Ando, K. Coastal Upwelling Events along the Southern Coast of Java during the 2008 Positive Indian Ocean Dipole. J. Oceanogr. 2018, 74, 499–508. [Google Scholar] [CrossRef]




















| Positive IOD | Negative IOD | El Nino | La Nina | El Nino + Positive IOD | La Nina + Negative IOD | |
|---|---|---|---|---|---|---|
| 1 2 3 4 | 2008 2012 2017 2019 | 2016 | 2009 2015 | 2007 2010 2011 | 2015 | 2010 |
| Variable | EMT | EPV | EMT and EPV | |
|---|---|---|---|---|
| SST | Box 1 | −0.58 | 0.61 | 0.71 |
| Box 2 | −0.57 | −0.12 | 0.57 | |
| Box 3 | −0.61 | 0.58 | 0.68 | |
| Box 4 | −0.5 | −0.14 | 0.51 |
| SST Anomalies | ||||
|---|---|---|---|---|
| Box 1 | Box 2 | Box 3 | Box 4 | |
| ONI | 0.001 | −0.05 | 0.06 | 0.05 |
| DMI | −0.57 | −0.58 | −0.53 | −0.41 |
Publisher’s Note: MDPI stays neutral with regard to jurisdictional claims in published maps and institutional affiliations. |
© 2022 by the authors. Licensee MDPI, Basel, Switzerland. This article is an open access article distributed under the terms and conditions of the Creative Commons Attribution (CC BY) license (https://creativecommons.org/licenses/by/4.0/).
Share and Cite
Simanjuntak, F.; Lin, T.-H. Monsoon Effects on Chlorophyll-a, Sea Surface Temperature, and Ekman Dynamics Variability along the Southern Coast of Lesser Sunda Islands and Its Relation to ENSO and IOD Based on Satellite Observations. Remote Sens. 2022, 14, 1682. https://doi.org/10.3390/rs14071682
Simanjuntak F, Lin T-H. Monsoon Effects on Chlorophyll-a, Sea Surface Temperature, and Ekman Dynamics Variability along the Southern Coast of Lesser Sunda Islands and Its Relation to ENSO and IOD Based on Satellite Observations. Remote Sensing. 2022; 14(7):1682. https://doi.org/10.3390/rs14071682
Chicago/Turabian StyleSimanjuntak, Febryanto, and Tang-Huang Lin. 2022. "Monsoon Effects on Chlorophyll-a, Sea Surface Temperature, and Ekman Dynamics Variability along the Southern Coast of Lesser Sunda Islands and Its Relation to ENSO and IOD Based on Satellite Observations" Remote Sensing 14, no. 7: 1682. https://doi.org/10.3390/rs14071682
APA StyleSimanjuntak, F., & Lin, T.-H. (2022). Monsoon Effects on Chlorophyll-a, Sea Surface Temperature, and Ekman Dynamics Variability along the Southern Coast of Lesser Sunda Islands and Its Relation to ENSO and IOD Based on Satellite Observations. Remote Sensing, 14(7), 1682. https://doi.org/10.3390/rs14071682
