Aerial Imagery Can Detect Nitrogen Fertilizer Effects on Biomass and Stand Health of Miscanthus × giganteus
Abstract
1. Introduction
2. Materials and methods
2.1. Study Site and Experimental Design
2.2. Drone Imagery Collection
2.3. Reclassification of Vegetation Indices
2.4. Harvesting
2.5. Statistical Analysis
3. Results
3.1. Weather and Climate
3.2. Effect of N Application on Biomass Yield and VIs
3.3. Linear Regression between Biomass Yield and Vegetation Indices
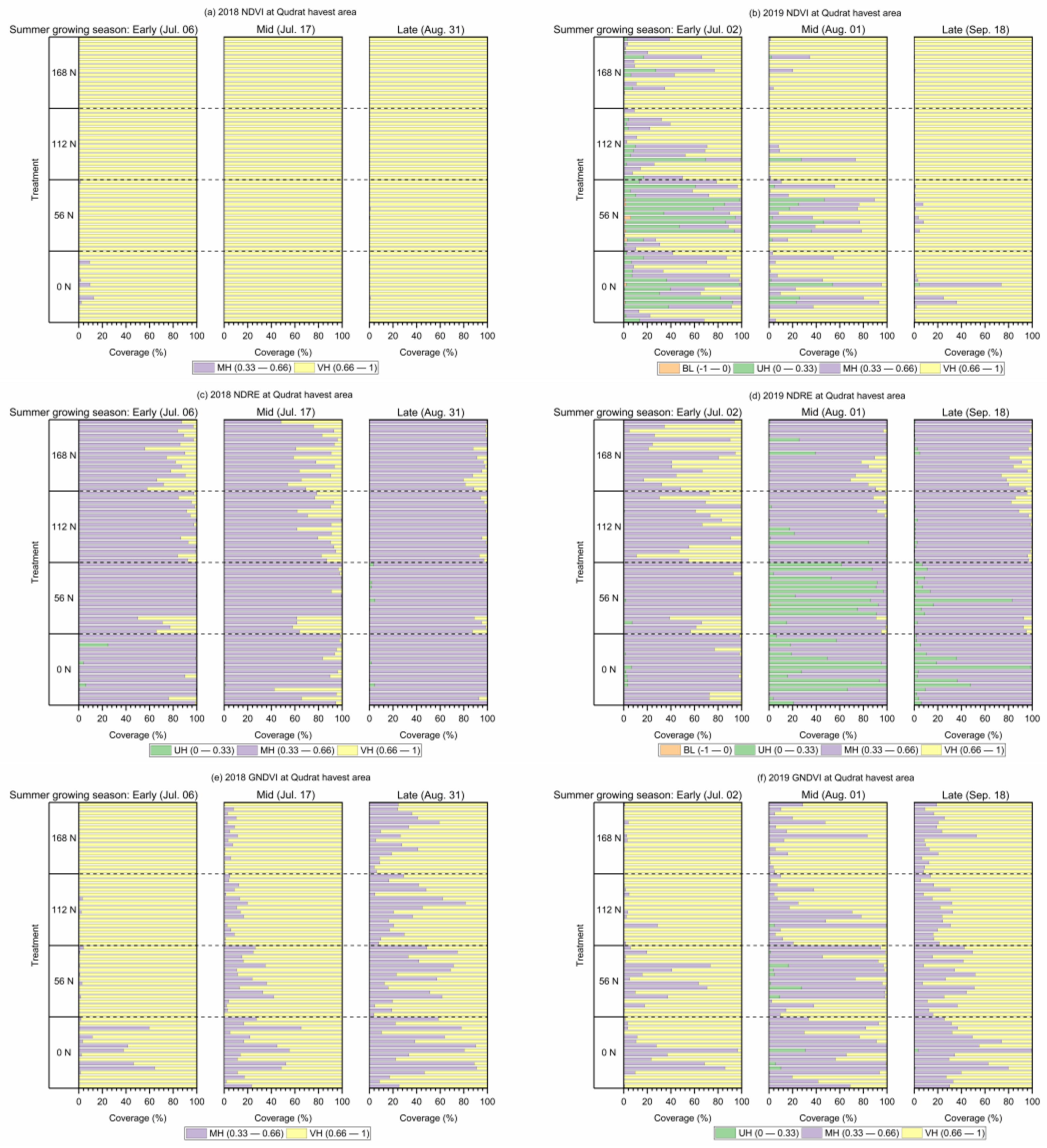
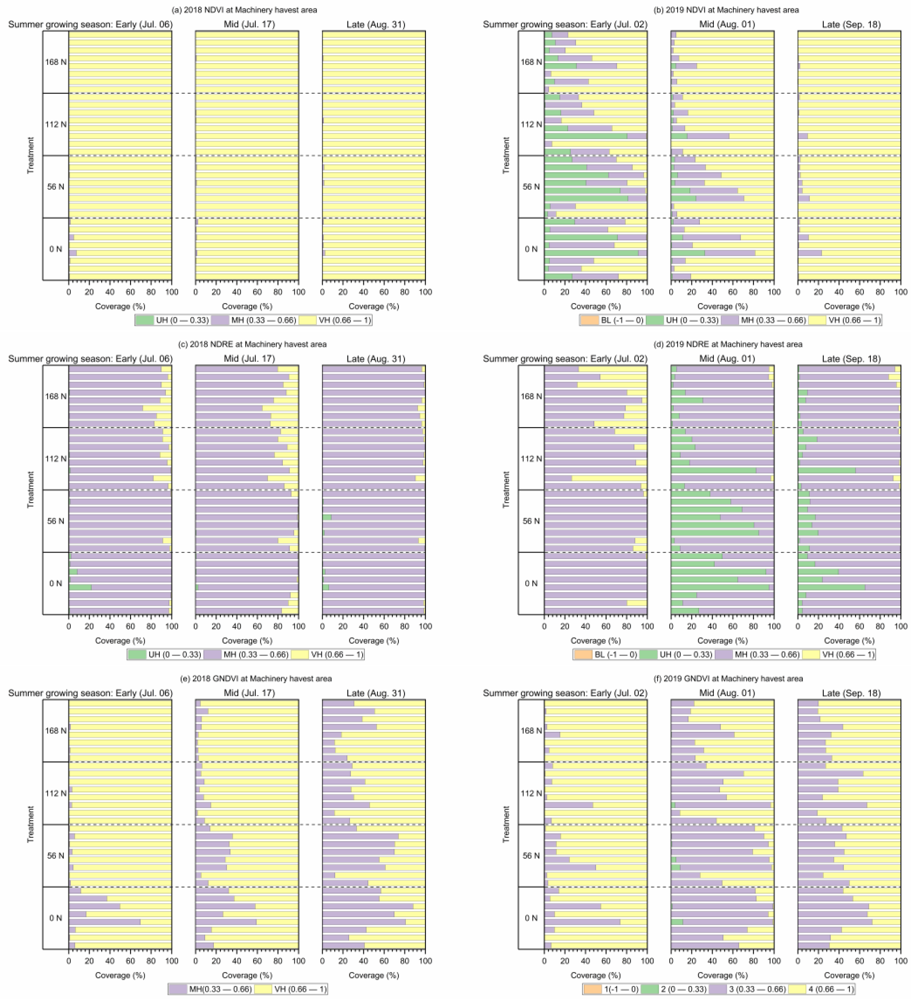
3.4. Plant Health Coverage Change under Different N Treatments
4. Discussion
5. Conclusions
Author Contributions
Funding
Institutional Review Board Statement
Informed Consent Statement
Data Availability Statement
Conflicts of Interest
References
- Hill, J.; Nelson, E.; Tilman, D.; Polasky, S.; Tiffany, D. Environmental, economic, and energetic costs and benefits of biodiesel and ethanol biofuels. Proc. Natl. Acad. Sci. USA 2006, 103, 11206–11210. [Google Scholar] [CrossRef] [PubMed]
- Pimentel, D.; Marklein, A.; Toth, M.A.; Karpoff, M.N.; Paul, G.S.; McCormack, R.; Kyriazis, J.; Krueger, T. Food Versus Biofuels: Environmental and Economic Costs. Hum. Ecol. 2009, 37, 1. [Google Scholar] [CrossRef]
- Ferrarini, A.; Serra, P.; Almagro, M.; Trevisan, M.; Amaducci, S. Multiple ecosystem services provision and biomass logistics management in bioenergy buffers: A state-of-the-art review. Renew. Sustain. Energy Rev. 2017, 73, 277–290. [Google Scholar] [CrossRef]
- Follett, R.F.; Kimble, J.; Pruessner, E.; Samson-Liebig, S.; Waltman, S. Soil organic carbon stocks with depth and land use at various US sites. SSSA Spec. Publ. 2009, 57, 29–46. [Google Scholar]
- Zumpf, C.; Ssegane, H.; Negri, M.C.; Campbell, P.; Cacho, J. Yield and Water Quality Impacts of Field-Scale Integration of Willow into a Continuous Corn Rotation System. J. Environ. Qual. 2017, 46, 811–818. [Google Scholar] [CrossRef] [PubMed]
- Cadoux, S.; Riche, A.B.; Yates, N.E.; Machet, J.-M. Nutrient requirements of Miscanthus × giganteus: Conclusions from a review of published studies. Biomass Bioenergy 2012, 38, 14–22. [Google Scholar] [CrossRef]
- Dohleman, F.G.; Long, S.P. More Productive Than Maize in the Midwest: How Does Miscanthus Do It? Plant. Physiol. 2009, 150, 2104–2115. [Google Scholar] [CrossRef]
- Dohleman, F.G.; Heaton, E.A.; Leakey, A.D.B.; Long, S.P. Does greater leaf-level photosynthesis explain the larger solar energy conversion efficiency of miscanthus relative to switchgrass? Plant Cell Environ. 2009, 32, 1525–1537. [Google Scholar] [CrossRef]
- Heaton, E.A.; Dohleman, F.G.; Long, S.P. Meeting US biofuel goals with less land: The potential of miscanthus. Glob. Chang. Biol. 2008, 14, 2000–2014. [Google Scholar] [CrossRef]
- Clifton-Brown, J.C.; Breuer, J.; Jones, M.B. Carbon mitigation by the energy crop, miscanthus. Glob. Chang. Biol. 2007, 13, 2296–2307. [Google Scholar] [CrossRef]
- Arnoult, S.; Brancourt-Hulmel, M. A Review on Miscanthus Biomass Production and Composition for Bioenergy Use: Genotypic and Environmental Variability and Implications for Breeding. BioEnergy Res. 2015, 8, 502–526. [Google Scholar] [CrossRef]
- Arundale, R.A.; Dohleman, F.G.; Heaton, E.A.; Mcgrath, J.M.; Voigt, T.B.; Long, S.P. Yields of Miscanthus × giganteus and Panicum virgatum decline with stand age in the Midwestern USA. Glob. Chang. Biol. Bioenergy 2014, 6, 1–13. [Google Scholar] [CrossRef]
- Arundale, R.A.; Dohleman, F.G.; Voigt, T.B.; Long, S.P. Nitrogen Fertilization Does Significantly Increase Yields of Stands of Miscanthus × giganteus and Panicum virgatum in Multiyear Trials in Illinois. Bioenergy Res. 2014, 7, 408–416. [Google Scholar] [CrossRef]
- Chen, H.; Dai, Z.; Jager, H.I.; Wullschleger, S.D.; Xu, J.; Schadt, C.W. Influences of nitrogen fertilization and climate regime on the above-ground biomass yields of miscanthus and switchgrass: A meta-analysis. Renew. Sustain. Energy Rev. 2019, 108, 303–311. [Google Scholar] [CrossRef]
- Tejera, M.D.; Miguez, F.E.; Heaton, E.A. The older plant gets the sun: Age-related changes in Miscanthus × giganteus phenology. GCB Bioenergy 2021, 13, 4–20. [Google Scholar] [CrossRef]
- Maughan, M.; Bollero, G.; Lee, D.K.; Darmody, R.; Bonos, S.; Cortese, L.; Murphy, J.; Gaussoin, R.; Sousek, M.; Williams, D.; et al. Miscanthus giganteus productivity: The effects of management in different environments. Glob. Chang. Biol. Bioenergy 2012, 4, 253–265. [Google Scholar] [CrossRef]
- Christian, D.G.; Riche, A.B.; Yates, N.E. Growth, yield and mineral content of Miscanthus × giganteus grown as a biofuel for 14 successive harvests. Ind. Crops Prod. 2008, 28, 320–327. [Google Scholar] [CrossRef]
- Lee, M.S.; Wycislo, A.; Guo, J.; Lee, D.K.; Voigt, T. Nitrogen Fertilization Effects on Biomass Production and Yield Components of Miscanthus × giganteus. Front. Plant Sci. 2017, 8, 544. [Google Scholar] [CrossRef]
- Yost, M.A.; Randall, B.K.; Kitchen, N.R.; Heaton, E.A.; Myers, R.L. Yield Potential and Nitrogen Requirements of Miscanthus × giganteus on Eroded Soil. Agron. J. 2017, 109, 684–695. [Google Scholar] [CrossRef]
- Cichorz, S.; Gośka, M.; Litwiniec, A. Miscanthus: Genetic Diversity and Genotype Identification Using ISSR and RAPD Markers. Mol. Biotechnol. 2014, 56, 911–924. [Google Scholar] [CrossRef][Green Version]
- Knörzer, H.; Hartung, K.; Piepho, H.P.; Lewandowski, I. Assessment of variability in biomass yield and quality: What is an adequate size of sampling area for miscanthus? GCB Bioenergy 2013, 5, 572–579. [Google Scholar] [CrossRef]
- Tang, Y.; Dananjayan, S.; Hou, C.; Guo, Q.; Luo, S.; He, Y. A survey on the 5G network and its impact on agriculture: Challenges and opportunities. Comput. Electron. Agric. 2021, 180, 105895. [Google Scholar] [CrossRef]
- Henik, J.J. Utilizing NDVI and Remote Sensing Data to Identify Spatial Variability in Plant Stress as Influenced by Management. Master’s Thesis, Iowa State University, Ames, IA, USA, 2012. [Google Scholar] [CrossRef]
- Teal, R.K.; Tubana, B.; Girma, K.; Freeman, K.W.; Arnall, D.B.; Walsh, O.; Raun, W.R. In-Season Prediction of Corn Grain Yield Potential Using Normalized Difference Vegetation Index. Agron. J. 2006, 98, 1488–1494. [Google Scholar] [CrossRef]
- Shafian, S.; Rajan, N.; Schnell, R.; Bagavathiannan, M.; Valasek, J.; Shi, Y.; Olsenholler, J. Unmanned aerial systems-based remote sensing for monitoring sorghum growth and development. PLoS ONE 2018, 13, e0196605. [Google Scholar] [CrossRef]
- Seo, B.; Lee, J.; Lee, K.D.; Hong, S.; Kang, S. Improving remotely-sensed crop monitoring by NDVI-based crop phenology estimators for corn and soybeans in Iowa and Illinois, USA. Field Crop Res. 2019, 238, 113–128. [Google Scholar] [CrossRef]
- Kayad, A.; Sozzi, M.; Gatto, S.; Marinello, F.; Pirotti, F. Monitoring Within-Field Variability of Corn Yield using Sentinel-2 and Machine Learning Techniques. Remote Sens. 2019, 11, 2873. [Google Scholar] [CrossRef]
- Li, J.; Shi, Y.; Veeranampalayam-Sivakumar, A.N.; Schachtman, D.P. Elucidating Sorghum Biomass, Nitrogen and Chlorophyll Contents with Spectral and Morphological Traits Derived from Unmanned Aircraft System. Front. Plant Sci. 2018, 9, 1406. [Google Scholar] [CrossRef]
- Foster, A.; Kakani, V.; Ge, J.; Mosali, J. Predicting biomass yield in bioenergy crop production systems using canopy NDVI. In Proceedings of the Sun Grant National Conference: Science for Biomass Feedstock Production and Utilization, New Orleans, LA, USA, 2–5 October 2012. [Google Scholar]
- Amaral, L.R.; Molin, J.P.; Portz, G.; Finazzi, F.B.; Cortinove, L. Comparison of crop canopy reflectance sensors used to identify sugarcane biomass and nitrogen status. Precis. Agric. 2015, 16, 15–28. [Google Scholar] [CrossRef]
- Chen, P.-Y.; Fedosejevs, G.; Tiscareño-López, M.; Arnold, J.G. Assessment of MODIS-EVI, MODIS-NDVI and VEGETATION-NDVI Composite Data Using Agricultural Measurements: An Example at Corn Fields in Western Mexico. Environ. Monit. Assess. 2006, 119, 69–82. [Google Scholar] [CrossRef]
- Gu, Y.; Wylie, B.K.; Howard, D.M.; Phuyal, K.P.; Ji, L. NDVI saturation adjustment: A new approach for improving cropland performance estimates in the Greater Platte River Basin, USA. Ecol. Indic. 2013, 30, 1–6. [Google Scholar] [CrossRef]
- Van Der Meer, F.; Bakker, W.; Scholte, K.; Skidmore, A.; De Jong, S.; Clevers, J.; Addink, E.; Epema, G. Spatial scale variations in vegetation indices and above-ground biomass estimates: Implications for MERIS. Int. J. Remote Sens. 2001, 22, 3381–3396. [Google Scholar] [CrossRef]
- Cao, Q.; Miao, Y.; Shen, J.; Yu, W.; Yuan, F.; Cheng, S.; Huang, S.; Wang, H.; Yang, W.; Liu, F. Improving in-season estimation of rice yield potential and responsiveness to topdressing nitrogen application with Crop Circle active crop canopy sensor. Precis. Agric. 2016, 17, 136–154. [Google Scholar] [CrossRef]
- Wang, F.M.; Huang, J.F.; Tang, Y.L.; Wang, X.Z. New vegetation index and its application in estimating leaf area index of rice. Rice Sci. 2007, 14, 195–203. [Google Scholar] [CrossRef]
- Beale, C.V.; Long, S.P. Seasonal dynamics of nutrient accumulation and partitioning in the perennial C4-grasses Miscanthus × giganteus and Spartina cynosuroides. Biomass Bioenergy 1997, 12, 419–428. [Google Scholar] [CrossRef]
- Heaton, E.A.; Flavell, R.B.; Mascia, P.N.; Thomas, S.R.; Dohleman, F.G.; Long, S.P. Herbaceous energy crop development: Recent progress and future prospects. Curr. Opin. Biotechnol. 2008, 19, 202–209. [Google Scholar] [CrossRef]
- Heaton, E.A.; Dohleman, F.G.; Míguez, A.; Juvik, J.A.; Lozovaya, V.V.; Widholm, J.M.; Zabotina, O.A.; McIsaac, G.F.; David, M.B.; Voigt, T.B. Miscanthus: A Promising Biomass Crop. Adv. Bot. Res. 2010, 56, 75–137. [Google Scholar]
- Rouse, J.W. Monitoring Vegetation Systems in the Great Plains with ERTS; NASA: Washington, DC, USA, 1974. Available online: https://ntrs.nasa.gov/search.jsp?R=19740022614 (accessed on 7 February 2021).
- Hansen, P.; Schjoerring, J. Reflectance measurement of canopy biomass and nitrogen status in wheat crops using normalized difference vegetation indices and partial least squares regression. Remote Sens. Environ. 2003, 86, 542–553. [Google Scholar] [CrossRef]
- Gitelson, A.A.; Kaufman, Y.J.; Merzlyak, M.N. Use of a green channel in remote sensing of global vegetation from EOS-MODIS. Remote Sens. Environ. 1996, 58, 289–298. [Google Scholar]
- Bates, D.; Maechler, M.; Bolker, B.; Walker, S. Fitting linear mixed-effects models using lme4. J. Stat. Softw. 2015, 65, 1–48. [Google Scholar] [CrossRef]
- Mangiafico, S. rcompanion: Functions to Support Extension Education Program Evaluation, R Package Version 2.4.1. CRAN. 2022. Available online: https://CRAN.R-project.org/package=rcompanion (accessed on 9 December 2021).
- Lenth, R.V. emmeans: Estimated Marginal Means, aka Least-Squares Means, R Package Version 1.5.4. CRAN. 2022. Available online: https://CRAN.R-project.org/package=emmeans (accessed on 9 December 2021).
- R Core Team. R: A Language and Environment for Statistical Computing; R Foundation for Statistical Computing: Vienna, Austria, 2020; Available online: https://www.R-project.org/ (accessed on 9 December 2021).
- Lee, D.K.; Aberle, E.; Anderson, E.K.; Anderson, W.; Baldwin, B.S.; Baltensperger, D.; Barrett, M.; Blumenthal, J.; Bonos, S.; Bouton, J. Biomass production of herbaceous energy crops in the United States: Field trial results and yield potential maps from the multiyear regional feedstock partnership. GCB Bioenergy 2018, 10, 698–716. [Google Scholar] [CrossRef]
- Parrish, A.S.; Lee, M.-S.; Voigt, T.B.; Lee, D.K. Miscanthus × giganteus Responses to Nitrogen Fertilization and Harvest Timing in Illinois, USA. BioEnergy Res. 2021, 14, 1126–1135. [Google Scholar] [CrossRef]
- Bolton, D.K.; Friedl, M.A. Forecasting crop yield using remotely sensed vegetation indices and crop phenology metrics. Agric. For. Meteorol. 2013, 173, 74–84. [Google Scholar] [CrossRef]
- Mkhabela, M.; Bullock, P.; Raj, S.; Wang, S.; Yang, Y. Crop yield forecasting on the Canadian Prairies using MODIS NDVI data. Agric. For. Meteorol. 2011, 151, 385–393. [Google Scholar] [CrossRef]
- Basnyat, P.; McConkey, B.; Lafond, G.R.; Moulin, A.; Pelcat, Y. Optimal time for remote sensing to relate to crop grain yield on the Canadian prairies. Can. J. Plant Sci. 2004, 84, 97–103. [Google Scholar]
- Li, F.; Piasecki, C.; Millwood, R.J.; Wolfe, B.; Mazarei, M.; Stewart, C.N. High-Throughput Switchgrass Phenotyping and Biomass Modeling by UAV. Front. Plant Sci. 2020, 11, 574073. [Google Scholar] [CrossRef]
- Tsutsumi, M.; Itano, S.; Shiyomi, M. Number of samples required for estimating herbaceous biomass. Rangel. Ecol. Manag. 2007, 60, 447–452. [Google Scholar] [CrossRef]
- Davis, M.P.; David, M.B.; Voigt, T.B.; Mitchell, C.A. Effect of nitrogen addition on Miscanthus × giganteus yield, nitrogen losses, and soil organic matter across five sites. GCB Bioenergy 2015, 7, 1222–1231. [Google Scholar] [CrossRef]
- Zumpf, C.; Lee, M.S.; Thapa, S.; Guo, J.; Mitchell, R.; Volenec, J.J.; Lee, D. Impact of warm-season grass management on feedstock production on marginal farmland in Central Illinois. GCB Bioenergy 2019, 11, 1202–1214. [Google Scholar] [CrossRef]









| Index | NDVI | NDRE | GNDVI |
|---|---|---|---|
| Equation | (NIR − RED)/(NIR + RED) | (NIR − RE)/(NIR + RE) | (NIR − GREEN)/(NIR + GREEN) |
| Description | Normalized Difference Vegetation Index | Normalized Difference Red Edge | Green NDVI |
| Reference | [39] | [40] | [41] |
| Vegetation Index Range | −1–0 | 0–0.33 | 0.33–0.66 | 0.66–1 |
|---|---|---|---|---|
| Description | Bare land/Dead plants (BL) | Unhealthy plant (UH) | Moderately healthy plant (MH) | Very healthy plant (VH) |
| Month | 2018 | 2019 | 30-Year Average | |||
|---|---|---|---|---|---|---|
| Precipitation (mm) | Temperature (°C) | Precipitation (mm) | Temperature (°C) | Precipitation (mm) | Temperature (°C) | |
| January | 28.0 | −5.2 | 98.0 | −4.5 | 57.0 | −2.8 |
| February | 155.0 | −0.1 | 49.0 | −1.2 | 58.2 | −0.6 |
| March | 81.0 | 3.3 | 129.0 | 2.7 | 71.7 | 5.2 |
| April | 59.0 | 7.2 | 124.0 | 11.3 | 94.5 | 11.5 |
| May | 88.0 | 21.7 | 155.0 | 17.3 | 122.5 | 17.4 |
| June | 210.0 | 23.7 | 71.0 | 21.9 | 115.5 | 22.5 |
| July | 85.0 | 23.5 | 86.0 | 25.2 | 109.2 | 24 |
| August | 105.0 | 24.1 | 56.0 | 23 | 89.0 | 23.1 |
| September | 120.0 | 21.7 | 85.0 | 22.3 | 80.7 | 19.3 |
| October | 58.0 | 12.5 | 127.0 | 12.1 | 83.3 | 12.7 |
| November | 94.0 | 1.9 | 49.0 | 2.2 | 82.3 | 5.7 |
| December | 86.0 | 1.2 | 46.0 | 1.3 | 66.3 | −0.5 |
| 2018 | |||||||||||
| N Rate | NDVI | NDRE | GNDVI | Yield | |||||||
| Early | Mid | Late | Early | Mid | Late | Early | Mid | Late | FM (Mg ha−1) | DM (Mg ha−1) | |
| July 6 | July 17 | August 31 | July 6 | July 17 | August 31 | July 6 | July 17 | August 31 | |||
| 0 N | 0.86 (0.010) a | 0.89 (0.006) a | 0.85 (0.010) a | 0.50 (0.020) a | 0.55 (0.0158) a | 0.48 (0.015) a | 0.72 (0.013) a | 0.70 (0.009) a | 0.66 (0.011) a | 26.10 (2.66) a | 23.49 (2.460) a |
| 56 N | 0.88 (0.01) ab | 0.90 (0.003) ab | 0.86 (0.0071) a | 0.54 (0.018) ab | 0.553 (0.02)a | 0.49 (0.018) a | 0.76 (0.007) b | 0.72 (0.008) ab | 0.68 (0.009) ab | 25.7 (2.09) a | 23.23 (1.936) a |
| 112 N | 0.89 (0.003) bc | 0.90 (0.002) b | 0.88 (0.005) b | 0.58 (0.01) bc | 0.60 (0.0062) b | 0.54 (0.010) b | 0.77 (0.004) bc | 0.74 (0.005) bc | 0.69 (0.008) b | 25.6 (1.35) a | 23.66 (1.385) a |
| 168 N | 0.90 (0.002) c | 0.905 (0.002) b | 0.89 (0.003) b | 0.62 (0.007) c | 0.62 (0.007) b | 0.57 (0.008) b | 0.79 (0.003) c | 0.75 (0.004) c | 0.70 (0.007) b | 33.20 (1.64) b | 30.73 (1.556) b |
| Mean | 0.88 | 0.90 | 0.87 | 0.56 | 0.58 | 0.52 | 0.76 | 0.73 | 0.68 | 27.68 | 25.28 |
| ANOVA | |||||||||||
| N rate | p < 0.001 | p < 0.001 | p < 0.001 | p < 0.001 | p < 0.001 | p < 0.001 | p < 0.001 | p < 0.001 | p < 0.001 | p = 0.002 | p = 0.001 |
| 2019 | |||||||||||
| N Rate | NDVI | NDRE | GNDVI | Yield | |||||||
| Early | Mid | Late | Early | Mid | Late | Early | Mid | Late | FM (Mg ha−1) | DM (Mg ha−1) | |
| July 2 | August 1 | September 18 | July 2 | August 1 | September 18 | July 2 | August 1 | September 18 | |||
| 0 N | 0.51 (0.051) a | 0.72 (0.042) a | 0.83 (0.023) a | 0.51 (0.020) a | 0.34 (0.023) a | 0.40 (0.016) a | 0.72 (0.017) a | 0.59 (0.024) a | 0.66 (0.013) a | 7.91 (1.28) a | 6.27 (0.993) a |
| 56 N | 0.44 (0.06) a | 0.68 (0.046) a | 0.86 (0.010) a | 0.54 (0.020) a | 0.34 (0.032) a | 0.44 (0.016) a | 0.73 (0.018) a | 0.58 (0.028) a | 0.70 (0.009) a | 9.49 (2.47) a | 7.76 (1.984) b |
| 112 N | 0.69 (0.038) b | 0.86 (0.026) b | 0.90 (0.003) b | 0.62 (0.013) b | 0.47 (0.023) b | 0.50 (0.010) b | 0.80 (0.010) b | 0.69 (0.018) b | 0.72 (0.006) b | 18.20 (2.05) b | 14.73 (1.713) bc |
| 168 N | 0.76 (0.032) b | 0.88 (0.016) b | 0.90 (0.005) b | 0.66 (0.012) b | 0.53 (0.020) b | 0.53 (0.013) b | 0.83 (0.009) b | 0.73 (0.013) b | 0.74 (0.008) b | 20.20 (2.27) b | 16.67 (1.916) c |
| Mean | 0.60 | 0.79 | 0.87 | 0.58 | 0.42 | 0.47 | 0.77 | 0.65 | 0.70 | 13.96 | 11.36 |
| ANOVA | |||||||||||
| N rate | p < 0.001 | p < 0.001 | p < 0.001 | p < 0.001 | p < 0.001 | p < 0.001 | p < 0.001 | p < 0.001 | p < 0.001 | p < 0.001 | p < 0.001 |
| 2018 | |||||||||||
| N Rate | NDVI | NDRE | GNDVI | Yield | |||||||
| Early | Mid | Late | Early | Mid | Late | Early | Mid | Late | FM (Mg ha−1) | DM (Mg ha−1) | |
| July 6 | July 17 | August 31 | July 6 | July 17 | August 31 | July 6 | July 17 | August 31 | |||
| 0 N | 0.84 (0.012) a | 0.88 (0.008) a | 0.84 (0.014) a | 0.47 (0.023) a | 0.52 (0.018) a | 0.41 (0.018) a | 0.70 (0.015) a | 0.69 (0.012) a | 0.65 (0.011) a | 11.7 (1.09) a | 9.21 (0.987) a |
| 56 N | 0.88 (0.004) b | 0.89 (0.004) ab | 0.85 (0.011) a | 0.52 (0.016) a | 0.54 (0.015) a | 0.48 (0.020) a | 0.74 (0.007) b | 0.70 (0.008) a | 0.657 (0.012) a | 13.9 (1.1) ab | 11.26 (0.961) ab |
| 112 N | 0.89 (0.001) bc | 0.90 (0.002) bc | 0.88 (0.003) b | 0.58 (0.009) b | 0.60 (0.007) b | 0.54 (0.011) b | 0.77 (0.005) bc | 0.74 (0.004) b | 0.69 (0.006) b | 16.4 (1.01) b | 14.12 (0.876) b |
| 168 N | 0.90 (0.001) c | 0.90 (0.002) c | 0.88 (0.004) b | 0.602 (0.006) b | 0.61 (0.0073) b | 0.55 (0.012) b | 0.78 (0.003) c | 0.75 (0.004) b | 0.69 (0.009) b | 16.8 (1.00) b | 13.81 (0.806) b |
| Mean | 0.88 | 0.89 | 0.87 | 0.54 | 0.57 | 0.51 | 0.75 | 0.72 | 0.67 | 14.72 | 12.1 |
| ANOVA | |||||||||||
| N rate | p < 0.001 | p < 0.001 | p < 0.001 | p < 0.001 | p < 0.001 | p < 0.001 | p < 0.001 | p < 0.001 | p < 0.001 | p = 0.002 | p < 0.001 |
| 2019 | |||||||||||
| N Rate | NDVI | NDRE | GNDVI | Yield | |||||||
| Early | Mid | Late | Early | Mid | Late | Early | Mid | Late | FM (Mg ha−1) | DM (Mg ha−1) | |
| July 2 | August 1 | September 18 | July 2 | August 1 | September 18 | July 2 | August 1 | September 18 | |||
| 0 N | 0.49 (0.064) a | 0.70 (0.045) a | 0.83 (0.019) a | 0.50 (0.020) a | 0.32 (0.024) a | 0.39 (0.018) a | 0.71 (0.017) a | 0.58 (0.024) a | 0.66 (0.010) a | 4.23 (0.852) a | 3.86 (0.770) a |
| 56 N | 0.45 (0.071) a | 0.69 (0.044) a | 0.85 (0.009) a | 0.53 (0.020) ab | 0.33 (0.026) a | 0.42 (0.007) a | 0.73 (0.015) ab | 0.58 (0.025) a | 0.68 (0.005) a | 5.16 (1.09) a | 4.66 (0.965) a |
| 112 N | 0.60 (0.063) ab | 0.80 (0.033) ab | 0.87 (0.014) ab | 0.57 (0.024) bc | 0.41 (0.028) b | 0.44 (0.023) ab | 0.76 (0.017) bc | 0.65 (0.023) b | 0.69 (0.012) ab | 7.81 (1.42) ab | 6.96 (1.223) a |
| 168 N | 0.70 (0.039) b | 0.85 (0.018) b | 0.89 (0.006) b | 0.63 (0.018) c | 0.47 (0.017) b | 0.48 (0.012) b | 0.80 (0.012) c | 0.69 (0.012) b | 0.707 (0.007) b | 11.66 (1.36) b | 10.50 (1.210) b |
| Mean | 0.56 | 0.76 | 0.86 | 0.56 | 0.38 | 0.43 | 0.75 | 0.62 | 0.68 | 7.21 | 6.50 |
| ANOVA | |||||||||||
| N rate | p = 0.002 | p < 0.001 | p < 0.001 | p < 0.001 | p < 0.001 | p < 0.001 | p < 0.001 | p < 0.001 | p < 0.001 | p < 0.001 | p < 0.001 |
| Year | Summer Growing Season (Date) | VIs | W | p-Value |
|---|---|---|---|---|
| 2018 | Early (6 Jul) | NDVI | 1194 | 0.188 |
| NDRE | 1254 | 0.075 | ||
| GNDVI | 1227 | 0.116 | ||
| Mid (17 Jul) | NDVI | 1218 | 0.133 | |
| NDRE | 1143 | 0.357 | ||
| GNDVI | 1170 | 0.258 | ||
| Late (31 Aug) | NDVI | 1212 | 0.145 | |
| NDRE | 1116 | 0.477 | ||
| GNDVI | 1240 | 0.094 | ||
| 2019 | Early (2 Jul) | NDVI | 1184 | 0.215 |
| NDRE | 1288 | 0.041 | ||
| GNDVI | 1225 | 0.119 | ||
| Mid (1 Aug) | NDVI | 1225 | 0.119 | |
| NDRE | 1242 | 0.091 | ||
| GNDVI | 1345 | 0.013 | ||
| Late (18 Sep) | NDVI | 1234 | 0.104 | |
| NDRE | 1266 | 0.061 | ||
| GNDVI | 1395 | 0.004 |
| Summer Growing Season (Flight Date) | VIs | 2018 | 2019 | ||||||
|---|---|---|---|---|---|---|---|---|---|
| FM | DM | FM | DM | ||||||
| Quadrat | Machinery | Quadrat | Machinery | Quadrat | Machinery | Quadrat | Machinery | ||
| Early (6 July/ 2 July) | NDVI | 0.79 | 0.79 | 0.79 | 0.82 | 0.92 | 0.93 | 0.92 | 0.93 |
| NDRE | 0.82 | 0.87 | 0.82 | 0.90 | 0.90 | 0.96 | 0.89 | 0.96 | |
| GNDVI | 0.82 | 0.87 | 0.82 | 0.90 | 0.91 | 0.96 | 0.90 | 0.96 | |
| Mid (17 July/ 1 August) | NDVI | 0.78 | 0.81 | 0.78 | 0.85 | 0.86 | 0.93 | 0.85 | 0.93 |
| NDRE | 0.86 | 0.87 | 0.86 | 0.89 | 0.92 | 0.97 | 0.92 | 0.97 | |
| GNDVI | 0.84 | 0.87 | 0.85 | 0.89 | 0.90 | 0.95 | 0.90 | 0.95 | |
| Late (31 August/ 18 September) | NDVI | 0.84 | 0.84 | 0.84 | 0.86 | 0.78 | 0.91 | 0.78 | 0.91 |
| NDRE | 0.85 | 0.89 | 0.84 | 0.92 | 0.88 | 0.90 | 0.88 | 0.90 | |
| GNDVI | 0.84 | 0.87 | 0.84 | 0.89 | 0.81 | 0.85 | 0.81 | 0.85 | |
Publisher’s Note: MDPI stays neutral with regard to jurisdictional claims in published maps and institutional affiliations. |
© 2022 by the authors. Licensee MDPI, Basel, Switzerland. This article is an open access article distributed under the terms and conditions of the Creative Commons Attribution (CC BY) license (https://creativecommons.org/licenses/by/4.0/).
Share and Cite
Namoi, N.; Jang, C.; Robins, Z.; Lin, C.-H.; Lim, S.-H.; Voigt, T.; Lee, D. Aerial Imagery Can Detect Nitrogen Fertilizer Effects on Biomass and Stand Health of Miscanthus × giganteus. Remote Sens. 2022, 14, 1435. https://doi.org/10.3390/rs14061435
Namoi N, Jang C, Robins Z, Lin C-H, Lim S-H, Voigt T, Lee D. Aerial Imagery Can Detect Nitrogen Fertilizer Effects on Biomass and Stand Health of Miscanthus × giganteus. Remote Sensing. 2022; 14(6):1435. https://doi.org/10.3390/rs14061435
Chicago/Turabian StyleNamoi, Nictor, Chunhwa Jang, Zachary Robins, Cheng-Hsien Lin, Soo-Hyun Lim, Thomas Voigt, and DoKyoung Lee. 2022. "Aerial Imagery Can Detect Nitrogen Fertilizer Effects on Biomass and Stand Health of Miscanthus × giganteus" Remote Sensing 14, no. 6: 1435. https://doi.org/10.3390/rs14061435
APA StyleNamoi, N., Jang, C., Robins, Z., Lin, C.-H., Lim, S.-H., Voigt, T., & Lee, D. (2022). Aerial Imagery Can Detect Nitrogen Fertilizer Effects on Biomass and Stand Health of Miscanthus × giganteus. Remote Sensing, 14(6), 1435. https://doi.org/10.3390/rs14061435

