The River–Sea Interaction off the Amazon Estuary
Abstract
:1. Introduction
2. Materials and Methods
2.1. Data Sources
2.2. Methods
3. Results
3.1. Spatial Distribution and Diffusion of Surface SPM
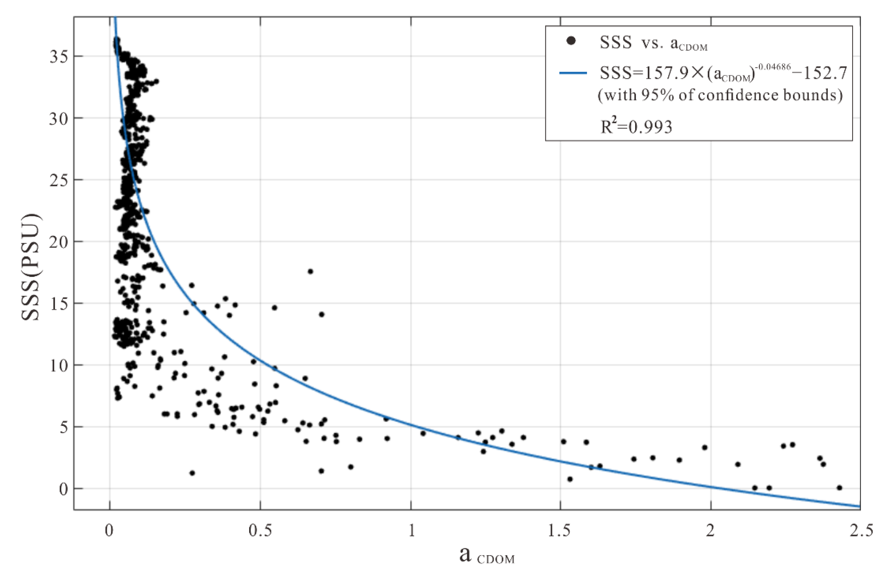
3.2. Sea Surface Salinity Changes off the Amazon Estuary
4. Discussion
4.1. Potential Factors Affecting the Diffusion of Surface SPM
4.1.1. Wind Field
4.1.2. Ocean Currents
4.2. Transect Analysis
4.3. Two Patterns of River–Sea Interaction
5. Conclusions
Author Contributions
Funding
Institutional Review Board Statement
Informed Consent Statement
Data Availability Statement
Acknowledgments
Conflicts of Interest
References
- Pang, C.; Wang, F. The Distributing Features and Temporal Variability of Suspended Matter Concentration in the East China Sea. Studia Mar. Sin. 2004, 46, 22–31. [Google Scholar]
- Gensac, E.; Martinez, J.-M.; Vantrepotte, V.; Anthony, E.J. Seasonal and inter-annual dynamics of suspended sediment at the mouth of the Amazon river: The role of continental and oceanic forcing, and implications for coastal geomorphology and mud bank formation. Cont. Shelf. Res. 2016, 118, 49–62. [Google Scholar] [CrossRef]
- Villar, R.E.; Martinez, J.-M.; Texier, M.L.; Guyot, J.-L.; Fraizy, P.; Meneses, P.R.; Oliveira, E.D. A study of sediment transport in the Madeira River, Brazil, using MODIS remote-sensing images. J. S. Am. Earth Sci. 2013, 44, 45–54. [Google Scholar] [CrossRef]
- Hu, C.; Montgomery, E.T.; Schmitt, R.W.; Muller-Karger, F.E. The dispersal of the Amazon and Orinoco River water in the tropical Atlantic and Caribbean Sea: Observation from space and S-PALACE floats. Deep Sea Res. Part II Top. Stud. Oceanogr. 2004, 51, 1151–1171. [Google Scholar] [CrossRef]
- Filizola, N.; Guyot, J.L.; Wittmann, H.; Martinez, J.M.; Oliveira, E.D. The Significance of Suspended Sediment Transport Determination on the Amazonian Hydrological Scenario. In Sediment Transport in Aquatic Environments, 3rd ed.; Andrew, M., Ed.; IntechOpen: London, UK, 2011; Chapter 3; pp. 46–64. [Google Scholar]
- Le Bars, Y.; Lyard, F.; Jeandel, C.; Dardengo, L. The amandes tidal model for the Amazon estuary and shelf. Ocean Model. 2010, 31, 132–149. [Google Scholar] [CrossRef]
- Gibbs, R.J. Amazon River: Environmental Factors That Control Its Dissolved and Suspended Load. Science 1967, 156, 1734–1737. [Google Scholar] [CrossRef]
- Gibbs, R.J. Water chemistry of the Amazon River. Geochim. Cosmochim. Acta 1972, 36, 1061–1066. [Google Scholar] [CrossRef]
- Gibbs, R.J. Amazon River sediment transport in the Atlantic Ocean. Geology 1976, 4, 45–48. [Google Scholar] [CrossRef]
- Richey, J.E.; Meade, R.H.; Salati, E.; Devol, A.H.; Nordin, C.F.; Santos, U.D. Water Discharge and Suspended Sediment Concentrations in the Amazon River 1982–1984; John Wiley and Sons Ltd.: Hoboken, NJ, USA, 1986; Volume 22, pp. 756–764. [Google Scholar]
- Kineke, G.C.; Sternberg, R.W. Distribution of fluid muds on the Amazon continental shelf. Mar. Geol. 1995, 125, 193–233. [Google Scholar] [CrossRef]
- Lentz, S.J. The Amazon River Plume during Amasseds: Subtidal Current Variability and the Importance of Wind Forcing; John Wiley and Sons Ltd.: Hoboken, NJ, USA, 1995; Volume 100, pp. 2377–2390. [Google Scholar]
- Geyer, W.R.; Beardsley, R.C.; Lentz, S.J.; Candela, J.; Limeburner, R.; Johns, W.E.; Castro, B.M.; Soares, I.D. Physical oceanography of the Amazon shelf. Cont. Shelf. Res. 1996, 16, 575–616. [Google Scholar] [CrossRef]
- Kineke, G.C.; Sternberg, R.W.; Trowbridge, J.H.; Geyer, W.R. Fluid-mud processes on the Amazon continental shelf. Cont. Shelf. Res. 1996, 16, 667–696. [Google Scholar] [CrossRef]
- Park, E.; Latrubesse, E.M. Modeling suspended sediment distribution patterns of the Amazon River using MODIS data. Remote Sens. Environ. 2014, 147, 232–242. [Google Scholar] [CrossRef]
- Vantrepotte, V.; Gensac, E.; Loisel, H.; Gardel, A.; Dessailly, D.; Mériaux, X. Satellite assessment of the coupling between in water suspended particulate matter and mud banks dynamics over the French Guiana coastal domain. J. S. Am. Earth Sci. 2013, 44, 25–34. [Google Scholar] [CrossRef]
- Chérubin, L.M.; Richardson, P.L. Caribbean current variability and the influence of the Amazon and Orinoco freshwater plumes. Deep. Sea Res. Part I Oceanogr. Res. 2007, 54, 1451–1473. [Google Scholar] [CrossRef] [Green Version]
- SeaWiFS: The Effect of the Amazon on the Atlantic. Available online: https://svs.gsfc.nasa.gov/2078 (accessed on 18 February 2021).
- Gouveia, N.A.; Gherardi, D.F.M.; Wagner, F.H.; Paes, E.T.; Coles, V.J.; Aragão, L.E.O.C. The Salinity Structure of the Amazon River Plume Drives Spatiotemporal Variation of Oceanic Primary Productivity. J. Geophys. Res. Biogeosci. 2019, 124, 147–165. [Google Scholar] [CrossRef] [Green Version]
- Martinez, J.M.; Guyot, J.L.; Filizola, N.; Sondag, F. Increase in suspended sediment discharge of the Amazon River assessed by monitoring network and satellite data. Catena 2009, 79, 257–264. [Google Scholar] [CrossRef] [Green Version]
- Warrick, J.A.; Mertes, L.A.K.; Siegel, D.A.; Mackenzie, C. Estimating suspended sediment concentrations in turbid coastal waters of the Santa Barbara Channel with SeaWiFS. Int. J. Remote Sens. 2004, 25, 1995–2002. [Google Scholar] [CrossRef]
- Kowalczuk, P.; Stedmon, C.A.; Markager, S. Modeling absorption by CDOM in the Baltic Sea from season, salinity and chlorophyll. Mar. Chem. 2006, 101, 1–11. [Google Scholar] [CrossRef]
- Das, S.; Das, I.; Giri, S.; Chanda, A.; Maity, S.; Lotliker, A.A.; Kumar, T.S.; Akhand, A.; Hazra, S. Chromophoric Dissolved Organic Matter (CDOM) Variability Over The Continental Shelf of The Northern Bay of Bengal. Oceanologia 2017, 59, 271–282. [Google Scholar] [CrossRef]
- Harvey, E.T.; Kratzer, S.; Andersson, A. Relationships between colored dissolved organic matter and dissolved organic carbon in different coastal gradients of the Baltic Sea. Ambio 2015, 44, 392–401. [Google Scholar] [CrossRef] [Green Version]
- Kong, D.; Yang, H.; Wu, J. Optical absorption properties of chromophoric dissolvable organic matter in Changjiang Estuary. Mar. Environ. Sci. 2008, 27, 629–631. [Google Scholar]
- Reul, N.; Fournier, S.; Boutin, J.; Hernandez, O.; Maes, C.; Chapron, B.; Alory, G.; Quilfen, Y.; Tenerelli, J.; Morisset, S.; et al. Sea Surface Salinity Observations from Space with the SMOS Satellite: A New Means to Monitor the Marine Branch of the Water Cycle. Surv. Geophys. 2014, 35, 681–722. [Google Scholar] [CrossRef] [Green Version]
- Kuhn, C.; De Matos Valerio, A.; Ward, N.; Loken, L.; Sawakuchi, H.O.; Kampel, M.; Richey, J.; Stadler, P.; Crawford, J.; Striegl, R.; et al. Performance of landsat-8 and sentinel-2 surface reflectance products for river remote sensing retrievals of chlorophyll-a and turbidity. Remote Sens. Environ. 2019, 224, 104–118. [Google Scholar] [CrossRef] [Green Version]
- Atlas, R.M.; Ardizzone, J.V.; Hoffman, R.N.; Jusem, J.C. The cross-calibrated, multi-platform (CCMP) ocean surface wind product: Current status and plans. In Proceedings of the AGU Fall Meeting Abstracts, New Orleans, LA, USA, 1 December 2009; p. IN41B-06. [Google Scholar]
- Carton, J.A.; Giese, B.S. A Reanalysis of Ocean Climate Using Simple Ocean Data Assimilation (SODA). Mon. Weather Rev. 2008, 138, 2999–3017. [Google Scholar] [CrossRef]
- Duan, Y.; Liu, H.; Yu, W.; Hou, Y. The mean properties and variations of the Southern Hemisphere subpolar gyres estimated by Simple Ocean Data Assimilation (SODA) products. Acta Oceanol. Sin. 2016, 35, 8–13. [Google Scholar] [CrossRef]
- Liu, H.; Zhang, Q.; Duan, Y.; Hou, Y. The three-dimensional structure and seasonal variation of the North Pacific meridional overturning circulation. Acta Oceanol. Sin. 2011, 30, 33–42. [Google Scholar] [CrossRef]
- Lee, Z. Update of the Quasi-Analytical Algorithm (QAA_v6) [R/OL]. International Ocean Color Group Software Report. Available online: https://www.ioccg.org/groups/software.html (accessed on 3 April 2013).
- Lee, Z.; Carder, K.L.; Arnone, R.A. Deriving inherent optical properties from water color: A multiband quasi-analytical algorithm for optically deep waters. Appl. Opt. 2002, 41, 5755–5772. [Google Scholar] [CrossRef]
- Zheng, G.; Stramski, D.; Reynolds, R.A. Evaluation of the QAA Algorithm for Estimating the Inherent Optical Properties from Remote Sensing Reflectance in Arctic Waters. In Proceedings of the 2010 AGU Ocean Sciences Meeting, Washington, DC, USA, 7 January 2010. [Google Scholar]
- Lian-Bo, H.U.; Liu, Z.S. Deriving Absorption Coefficients from Remote Sensing Reflectance Using the Quasi-Analytical Algorithm (QAA) in the Yellow Sea. Period. Ocean. Univ. China 2007, 37 (Suppl. II), 154–160, (In Chinese with English abstract). [Google Scholar]
- Wang, Y.; Shen, F.; Sokoletsky, L.; Sun, X. Validation and Calibration of QAA Algorithm for CDOM Absorption Retrieval in the Changjiang (Yangtze) Estuarine and Coastal Waters. Remote Sens. 2017, 9, 1192. [Google Scholar] [CrossRef] [Green Version]
- Le, C.; Hu, C. A hybrid approach to estimate chromophoric dissolved organic matter in turbid estuaries from satellite measurements: A case study for Tampa Bay. Opt. Express 2013, 21, 18849. [Google Scholar] [CrossRef]
- Wang, M.; Shi, W. The NIR-SWIR combined atmospheric correction approach for MODIS ocean color data processing. Opt. Express 2007, 15, 15722–15733. [Google Scholar] [CrossRef] [PubMed] [Green Version]
- Vecchio, R.D.; Subramaniam, A. Influence of the Amazon River on the surface optical properties of the western tropical North Atlantic Ocean. J. Geophys. Res. 2004, 109, C11. [Google Scholar] [CrossRef]
- Wang, Z. Study on the Linkage of the Southern Hemisphere Extratropical Climate Variability to Two Types of ENSO and the Relationship between ENSO and SAM. Master′s Thesis, Shanghai Jiao Tong University, Shanghai, China, 2019. [Google Scholar]
- Liang, Y.-C.; Lo, M.-H.; Lan, C.-W.; Seo, H.; Ummenhofer, C.C.; Yeager, S.; Wu, R.-J.; Steffen, J.D. Amplified seasonal cycle in hydroclimate over the Amazon river basin and its plume region. Nat. Commun. 2020, 11, 1–11. [Google Scholar] [CrossRef] [PubMed]
- Muller-Karger, F.E.; McClain, C.R.; Richardson, P.L. The dispersal of the Amazon’s water. Nature 1988, 333, 56–59. [Google Scholar] [CrossRef]
- Silva, A.C.; Bourles, B.; Araujo, M. Circulation of the thermocline salinity maximum waters off the Northern Brazil as inferred from in situ measurements and numerical results. Ann. Geophys. 2009, 27, 1861–1873. [Google Scholar] [CrossRef] [Green Version]
- Grodsky, S.A.; Carton, J.A. Surface drifter pathways originating in the equatorial Atlantic cold tongue. Geophys. Res. Lett. 2002, 29, 621–624. [Google Scholar] [CrossRef] [Green Version]
- Arnault, S.; Thiria, S.; Crépon, M.; Kaly, F. A tropical Atlantic dynamics analysis by combining machine learning and satellite data. Adv. Space Res. 2020, 68, 467–486. [Google Scholar] [CrossRef]
- Johns, W.E.; Lee, T.N.; Schott, F.A.; Zantopp, R.J.; Evans, R.H. The North Brazil Current Retroflection: Seasonal Structure and Eddy Variability; John Wiley and Sons Ltd.: Hoboken, NJ, USA, 1990; Volume 95, pp. 22103–22120. [Google Scholar]
- Curtin, T.B.; Legeckis, R.V. Physical observations in the plume region of the Amazon River during peak discharge—I. Surface variability. Cont. Shelf. Res. 1986, 6, 31–51. [Google Scholar] [CrossRef]
- Meade, R.H.; Dunne, T.; Richey, J.E.; Santos, U.D.; Salati, E. Storage and remobilization of suspended sediment in the lower Amazon River of Brazil. Science 1985, 228, 488–490. [Google Scholar] [CrossRef] [Green Version]
- Kuehl, S.A.; Demaster, D.J.; Nittrouer, C.A. Nature of sediment accumulation on the Amazon continental shelf. Cont. Shelf. Res. 1986, 6, 209–225. [Google Scholar] [CrossRef]
- Nittrouer, C.A.; Curtin, T.B.; Demaster, D.J. Concentration and flux of suspended sediment on the Amazon continental shelf. Cont. Shelf. Res. 1986, 6, 151–174. [Google Scholar] [CrossRef]
- Wang, W. Study on the Suspended Matter’s Distribution from Remote Sensing Retrieval and its Movement Mechanisms in the Surface Layer of the East China Seas. Master’s Thesis, Ocean University of China, Qingdao, China, 2008. [Google Scholar]
- Wolanski, E.; Gibbs, R.J. Flocculation of suspended sediment in the Fly River estuary, Papua New Guinea. J. Coastal Res. 1995, 40, 321–337. [Google Scholar]
- Uncles, R.J.; Stephens, J.A. Nature of the Turbidity Maximum in the Tamar Estuary, U.K. Estuar. Coast. Shelf Sci. 1993, 36, 413–431. [Google Scholar] [CrossRef]
- Li, M.; Sun, Q.; Wang, H.; Liu, Y.; Lai, X. The Filter Effect of Big Reservoirs on Dissolved Silicate in the Yangtze River Drainage Basin. J. Lake Sci. 2014, 26, 505–514. [Google Scholar]
- Liu, Q.; Jia, F.; Wang, P. Laboratory Modelling of Topographic Effects on the Oceanic Current. Theor. Appl. Mec. 1981, 6, 611–618. [Google Scholar]
- Costa, M.; Rollnic, M.; Silveira, O.; Miranda, A.; Santos, R. Morphological and sedimentological processes of an Amazon Estuary, Maguari River (Pará—Northern Brazil). J. Coastal Res. 2013, 165, 1110–1115. [Google Scholar] [CrossRef]
- Prestes, Y.O.; Rollnic, M.; Silva, M.S.; Rosario, R.P. Volume transport in the tidal limit of the Pará River, Brazil. In Proceedings of the 17th physics of estuaries and coastal seas conference, Porto de Galinhas, Pernambuco, Brazil, 19–23 October 2014. [Google Scholar]
- Prestes, Y.O.; Silva, A.C.; Rollnic, M.; Rosario, R.P. The M2 and M4 tides in the Pará River Estuary. Trop. Oceanogr. 2017, 45, 26–37. [Google Scholar]
- Prestes, Y.O.; da Costa, B.T.A.; da Silva, A.C.; Rollnic, M. A discharge stationary model for the Pará-Amazon estuarine system. J. Hydrol-Reg Stud. 2020, 28, 100668. [Google Scholar] [CrossRef]
- Magliocca, A. Some chemical aspects of the marine environment off the amazon and pará rivers, brazil. Braz. J. Oceanogr. 1971, 20, 61–84. [Google Scholar] [CrossRef]
- Hopkins, J.; Lucas, M.; Dufau, C.; Sutton, M.; Stum, J.; Lauret, O.; Channelliere, C. Detection and variability of the Congo River plume from satellite derived sea surface temperature, salinity, ocean colour and sea level. Remote Sens. Environ. 2013, 139, 365–385. [Google Scholar] [CrossRef]
- Walker, N.D. Satellite assessment of Mississippi River plume variability: Causes and predictability. Remote Sens. Environ. 1996, 58, 21–35. [Google Scholar] [CrossRef]
- Xue, W.; Qiao, L.; Zhong, Y.; Xue, C.; Chen, S.; Li, S.; Liu, P.; Gao, F. Multiple Timescale Variation in Concentration of Surface Suspended Sediment in Changjiang River Estuary. Oceanol. Et Limnol. Sin. 2019, 50, 1002–1013. [Google Scholar]









Publisher’s Note: MDPI stays neutral with regard to jurisdictional claims in published maps and institutional affiliations. |
© 2022 by the authors. Licensee MDPI, Basel, Switzerland. This article is an open access article distributed under the terms and conditions of the Creative Commons Attribution (CC BY) license (https://creativecommons.org/licenses/by/4.0/).
Share and Cite
Yu, D.; Liu, S.; Li, G.; Zhong, Y.; Liang, J.; Shi, J.; Liu, X.; Wang, X. The River–Sea Interaction off the Amazon Estuary. Remote Sens. 2022, 14, 1022. https://doi.org/10.3390/rs14041022
Yu D, Liu S, Li G, Zhong Y, Liang J, Shi J, Liu X, Wang X. The River–Sea Interaction off the Amazon Estuary. Remote Sensing. 2022; 14(4):1022. https://doi.org/10.3390/rs14041022
Chicago/Turabian StyleYu, Di, Shidong Liu, Guangxue Li, Yi Zhong, Jun Liang, Jinghao Shi, Xue Liu, and Xiangdong Wang. 2022. "The River–Sea Interaction off the Amazon Estuary" Remote Sensing 14, no. 4: 1022. https://doi.org/10.3390/rs14041022
APA StyleYu, D., Liu, S., Li, G., Zhong, Y., Liang, J., Shi, J., Liu, X., & Wang, X. (2022). The River–Sea Interaction off the Amazon Estuary. Remote Sensing, 14(4), 1022. https://doi.org/10.3390/rs14041022

