Regional Satellite Algorithms to Estimate Chlorophyll-a and Total Suspended Matter Concentrations in Vembanad Lake
Abstract
1. Introduction
2. Materials and Methods
2.1. Study Site
2.2. In Situ Data from Vembanad Lake
2.3. In Situ Data from NOMAD
2.4. Satellite Dataset
2.5. In Situ Satellite Matchup Dataset
2.6. Inherent Optical Properties
| Algorithms | Equations | Variables | References |
|---|---|---|---|
| B1 | O’Reilly et al. [33] with parameters from Franz et al. [69] and Vanhellemont and Ruddick [70] | ||
| B2 | Gilerson et al. [36] | ||
| B3 | This study | ||
| B4 | This study | ||
| S1 | Miller and McKee [38] | ||
| S2 | Nechad et al. [39] | ||
| S3 | This study |
2.7. Forward Reflectance Model
2.8. Chl-a and TSM Satellite Algorithms
3. Results
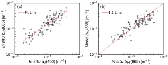
3.1. Inherent Optical Properties
3.2. Reflectance Model
3.3. Chl-a and TSM Satellite Algorithms
3.4. Application of Regionally Tuned Satellite Retrieval Algorithms
4. Discussion
4.1. Satellite Products for Sustainable Development Goals
4.2. Challenges with Quantitative Water Quality Measurements from Satellites over Vembanad Lake
4.3. Chlorophyll-a and Total Suspended Matter in Vembanad Lake
5. Conclusions
Author Contributions
Funding
Data Availability Statement
Acknowledgments
Conflicts of Interest
Appendix A
| Notations | Description | Units |
|---|---|---|
| Absorption coefficient | m−1 | |
| Absorption coefficient of phytoplankton | m−1 | |
| Absorption coefficient of microphytoplankton | m−1 | |
| Chlorophyll-specific absorption coefficient of microphytoplankton | m2 (mg chl-a)−1 | |
| Absorption coefficient of nanophytoplankton | m−1 | |
| Chlorophyll-specific absorption coefficient of nanophytoplankton | m2 (mg chl-a)−1 | |
| Absorption coefficient of picophytoplankton | m−1 | |
| Chlorophyll-specific absorption coefficient of picophytoplankton | m2 (mg chl-a)−1 | |
| Absorption coefficient of non-algal suspended particles | m−1 | |
| Absorption coefficient of particulate matter (phytoplankton biomass + non-algal suspended particles) | m−1 | |
| Total absorption coefficient | m−1 | |
| Absorption coefficient of water | m−1 | |
| Absorption coefficient of coloured dissolved organic matter, or yellow matter | m−1 | |
| ACOLITE | - | |
| Back-scattering coefficient | m−1 | |
| Back-scattering coefficient of non-algal suspended particles | m−1 | |
| Specific-back-scattering coefficient of non-algal suspended particles | m2 g−1 | |
| Total back-scattering coefficient | m−1 | |
| Back-scattering coefficient of water | m−1 | |
| Phytoplankton biomass, in units of chlorophyll-a | mg m−3 | |
| Microphytoplankton biomass, in units of chlorophyll-a | mg chl-a m−3 | |
| Nanophytoplankton biomass, in units of chlorophyll-a | mg chl-a m−3 | |
| Picophytoplankton biomass, in units of chlorophyll-a | mg chl-a m−3 | |
| Combined pico- and nanophytoplankton biomass, in units of chlorophyll-a | mg chl-a m−3 | |
| Asymptotic maximum value of combined pico- and nanophytoplankton biomass, in units of chlorophyll-a | mg chl-a m−3 | |
| Asymptotic maximum value of picophytoplankton biomass, in units of chlorophyll-a | mg chl-a m−3 | |
| Optical density | Dimensionless | |
| Optical density of phytoplankton biomass | Dimensionless | |
| Optical density of non-algal suspended particles | Dimensionless | |
| Optical density of particulate matter (phytoplankton biomass + non-algal suspended particles) | Dimensionless | |
| Optical density of coloured dissolved organic matter | Dimensionless | |
| Downwelling surface irradiance | μW cm−2 nm−1 | |
| A proportional constant for IOP-based reflectance | - | |
| Intercept values estimated between measured and modelled data | - | |
| Spectral slope of back-scattering coefficient of non-algal suspended particles | Dimensionless | |
| Water-leaving radiance | μW cm−2 nm−1 sr−1 | |
| Fitted coefficients | Dimensionless | |
| Spectral slope of absorption coefficient of non-algal suspended particles | nm−1 | |
| Spectral slope of absorption coefficient of coloured dissolved organic matter | nm−1 | |
| Number of samples | - | |
| POLYMER | - | |
| Bi-directional factor | sr | |
| Reflectance | Dimensionless | |
| In situ irradiance reflectance | Dimensionless | |
| Estimated/Modelled reflectance | Dimensionless | |
| Remote-sensing reflectance | sr−1 | |
| Determination coefficient | - | |
| Total suspended matter | g m−3 | |
| Slope values estimated between measured and modelled data | - | |
| Slope to estimate picophytoplankton biomass | Dimensionless | |
| Slope to estimate combined pico- and nanophytoplankton biomass | Dimensionless | |
| Notation for water | - | |
| Notation for coloured dissolved organic matter, or yellow substances | - | |
| Bias | - | |
| Mean relative error | - | |
| Wavelength | nm | |
| Water-leaving reflectance (referred to as ‘satellite reflectance’ when it is derived from satellite) | Dimensionless | |
| Uncorrected ACOLITE-based satellite reflectance | Dimensionless | |
| Uncorrected POLYMER-based satellite reflectance | Dimensionless | |
| Corrected satellite reflectance | Dimensionless | |
| Corrected ACOLITE-based satellite reflectance | Dimensionless | |
| Corrected POLYMER-based satellite reflectance | Dimensionless | |
| Root mean square error | - |



References
- Cole, J.J.; Caraco, N.F. Carbon in Catchments: Connecting Terrestrial Carbon Losses with Aquatic Metabolism. Mar. Freshw. Res. 2001, 52, 101–110. [Google Scholar] [CrossRef]
- Sobek, S.; Algesten, G.; Bergström, A.K.; Jansson, M.; Tranvik, L.J. The Catchment and Climate Regulation of PCO2 in Boreal Lakes. Glob. Chang. Biol. 2003, 9, 630–641. [Google Scholar] [CrossRef]
- Bastviken, D.; Cole, J.; Pace, M.; Tranvik, L. Methane Emissions from Lakes: Dependence of Lake Characteristics, Two Regional Assessments, and a Global Estimate. Glob. Biogeochem. Cycles 2004, 18, 1–12. [Google Scholar] [CrossRef]
- Raymond, P.A.; Hartmann, J.; Lauerwald, R.; Sobek, S.; McDonald, C.; Hoover, M.; Butman, D.; Striegl, R.; Mayorga, E.; Humborg, C.; et al. Global Carbon Dioxide Emissions from Inland Waters. Nature 2013, 503, 355–359. [Google Scholar] [CrossRef] [PubMed]
- Schallenberg, M.; De Winton, M.D.; Verburg, P.; Kelly, D.J.; Hamill, K.D.; Hamilton, D.P. Ecosystem Services of Lakes. Ecosyst. Serv. N. Z. Cond. Trends 2013, 203–225. Available online: https://www.cabdirect.org/cabdirect/abstract/20143064097 (accessed on 13 November 2022).
- Jorgensen, S.E.; Loffler, H.; Rast, W.; Straskraba, M. Lake and Reservoir Management; Elsevier: Amsterdam, The Netherlands, 2005. [Google Scholar]
- Beiras, R. Marine Pollution: Sources, Fate and Effects of Pollutants in Coastal Ecosystems; Elsevier: Amsterdam, The Netherlands, 2018. [Google Scholar]
- UN Environment Global Manual on Ocean Statistics. Towards a Definition of Indicator Methodologies; UN Environment: Nairobi, Kenya, 2018; p. 46. Available online: https://wesr.unep.org/media/docs/statistics/egm/global_manual_on_ocean_statistics_towards_a_definition_of_indicator_methodologies.pdf (accessed on 11 November 2022).
- Häder, D.P.; Banaszak, A.T.; Villafañe, V.E.; Narvarte, M.A.; González, R.A.; Helbling, E.W. Anthropogenic Pollution of Aquatic Ecosystems: Emerging Problems with Global Implications. Sci. Total Environ. 2020, 713, 136586. [Google Scholar] [CrossRef] [PubMed]
- Barboza, L.G.A.; Dick Vethaak, A.; Lavorante, B.R.B.O.; Lundebye, A.K.; Guilhermino, L. Marine Microplastic Debris: An Emerging Issue for Food Security, Food Safety and Human Health. Mar. Pollut. Bull. 2018, 133, 336–348. [Google Scholar] [CrossRef]
- Guterres, A. The Sustainable Development Goals Report 2020; United Nations Department of Economic and Social Affairs: New York, NY, USA, 2021; pp. 1–64. Available online: https://unstats.un.org/sdgs/report/2021/The-Sustainable-Development-Goals-Report-2021.pdf (accessed on 11 November 2022).
- Jaramillo, F.; Desormeaux, A.; Hedlund, J.; Jawitz, J.W.; Clerici, N.; Piemontese, L.; Rodríguez-Rodriguez, J.A.; Anaya, J.A.; Blanco-Libreros, J.F.; Borja, S.; et al. Priorities and Interactions of Sustainable Development Goals (SDGs) with Focus on Wetlands. Water 2019, 11, 619. [Google Scholar] [CrossRef]
- Ho, L.T.; Goethals, P.L.M. Opportunities and Challenges for the Sustainability of Lakes and Reservoirs in Relation to the Sustainable Development Goals (SDGs). Water 2019, 11, 1462. [Google Scholar] [CrossRef]
- Cicin-Sain, B. Sustainable Development and Integrated Coastal Management. Ocean Coast. Manag. 1993, 21, 11–43. [Google Scholar] [CrossRef]
- Pfeiffer, W.C.; Drude de Lacerda, L.; Malm, O.; Souza, C.M.M.; da Silveira, E.G.; Bastos, W.R. Mercury Concentrations in Inland Waters of Gold-Mining Areas in Rondônia, Brazil. Sci. Total Environ. 1989, 87–88, 233–240. [Google Scholar] [CrossRef] [PubMed]
- Allan, J.D.; Abell, R.; Hogan, Z.; Revenga, C.; Taylor, B.W.; Welcomme, R.L.; Winemiller, K. Overfishing of Inland Waters. Bioscience 2005, 55, 1041–1051. [Google Scholar] [CrossRef]
- González Farias, F.A.; Hernández-Garza, M.D.R.; Díaz González, G. Organic Carbon and Pesticide Pollution in a Tropical Coastal Lagoon-Estuarine System in Northwest Mexico. Int. J. Environ. Pollut. 2006, 26, 234–253. [Google Scholar] [CrossRef]
- Santiago-Rodriguez, T.M.; Tremblay, R.L.; Toledo-Hernandez, C.; Gonzalez-Nieves, J.E.; Ryu, H.; Santo Domingo, J.W.; Toranzosa, G.A. Microbial Quality of Tropical Inland Waters and Effects of Rainfall Events. Appl. Environ. Microbiol. 2012, 78, 5160–5169. [Google Scholar] [CrossRef]
- Majozi, N.P.; Salama, M.S.; Bernard, S.; Harper, D.M.; Habte, M.G. Remote Sensing of Euphotic Depth in Shallow Tropical Inland Waters of Lake Naivasha Using MERIS Data. Remote Sens. Environ. 2014, 148, 178–189. [Google Scholar] [CrossRef]
- Balachandran, K.K. Ecosystem Modeling of the Vembanad Lake (Cochin Backwaters); Workshop on Indian Estuaries, National Institute of Oceanography: Dona Paula, India, 2007; pp. 16–18. [Google Scholar]
- Ramamurthy, T.; Sharma, N.C. Cholera Outbreaks in India Thandavarayan. Curr. Top. Microbiol. Immunol. 2014, 379, 49–85. [Google Scholar] [CrossRef]
- Anas, A.; Krishna, K.; Vijayakumar, S.; George, G.; Menon, N.; Kulk, G.; Chekidhenkuzhiyil, J.; Ciambelli, A.; Kuttiyilmemuriyil Vikraman, H.; Tharakan, B.; et al. Dynamics of Vibrio Cholerae in a Typical Tropical Lake and Estuarine System: Potential of Remote Sensing for Risk Mapping. Remote Sens. 2021, 13, 1034. [Google Scholar] [CrossRef]
- Sathyendranath, S.; Abdulaziz, A.; Menon, N.; George, G.; Evers-King, H.; Kulk, G.; Colwell, R.; Jutla, A.; Platt, T. Building Capacity and Resilience against Diseases Transmitted via Water under Climate Perturbations and Extreme Weather Stress. In Space Capacity Building in the XXI Century; Ferretti, S., Ed.; Springer: Cham, Switzerland, 2020; pp. 281–298. [Google Scholar]
- Reed, R.H.; Singh, B.; Mani, S.K. Solar Disinfection of Drinking Water: Lessons from Field Studies in India. In Progress on Drinking Water Research; Lefebvre, M.H., Roux, M.M., Eds.; Nova Science Publishers, Inc.: New York, NY, USA, 2008; Volume 1, 290p. [Google Scholar]
- Menon, N.N.; Balchand, A.N.; Menon, N.R. Hydrobiology of the Cochin Backwater System—A Review. Hydrobiologia 2000, 430, 149–183. [Google Scholar] [CrossRef]
- Ramasamy, E.V.; Jayasooryan, K.K.; Chandran, M.S.S.; Mohan, M. Total and Methyl Mercury in the Water, Sediment, and Fishes of Vembanad, a Tropical Backwater System in India. Environ. Monit. Assess. 2017, 189, 1–19. [Google Scholar] [CrossRef]
- Sruthy, S.; Ramasamy, E.V. Microplastic Pollution in Vembanad Lake, Kerala, India: The First Report of Microplastics in Lake and Estuarine Sediments in India. Environ. Pollut. 2017, 222, 315–322. [Google Scholar] [CrossRef] [PubMed]
- Jose, J.; Giridhar, R.; Anas, A.; Loka Bharathi, P.A.; Nair, S. Heavy Metal Pollution Exerts Reduction/Adaptation in the Diversity and Enzyme Expression Profile of Heterotrophic Bacteria in Cochin Estuary, India. Environ. Pollut. 2011, 159, 2775–2780. [Google Scholar] [CrossRef] [PubMed]
- Sheeba, V.A.; Abdulaziz, A.; Gireeshkumar, T.R.; Ram, A.; Rakesh, P.S.; Jasmin, C.; Parameswaran, P.S. Role of Heavy Metals in Structuring the Microbial Community Associated with Particulate Matter in a Tropical Estuary. Environ. Pollut. 2017, 231, 589–600. [Google Scholar] [CrossRef] [PubMed]
- Sudhi, K.S. Vembanad Route to Track CRZ Violations in Kerala. Available online: https://www.thehindu.com/news/national/kerala/vembanad-route-to-track-crz-violations-in-state/article29493876.ece (accessed on 11 November 2022).
- Menon, N.; George, G.; Ranith, R.; Sajin, V.; Murali, S.; Abdulaziz, A.; Brewin, R.J.W.; Sathyendranath, S. Citizen Science Tools Reveal Changes in Estuarine Water Quality Following Demolition of Buildings. Remote Sens. 2021, 13, 1683. [Google Scholar] [CrossRef]
- George, G.; Menon, N.N.; Abdulaziz, A.; Brewin, R.J.W.; Pranav, P.; Gopalakrishnan, A.; Mini, K.G.; Kuriakose, S.; Sathyendranath, S.; Platt, T. Citizen Scientists Contribute to Real-Time Monitoring of Lake Water Quality Using 3D Printed Mini Secchi Disks. Front. Water 2021, 3, 1–14. [Google Scholar] [CrossRef]
- O’Reilly, J.E.; Maritorena, S.; O’brien, M.C.; Siegel, D.A.; Toole, D.; Menzies, D.; Smith, R.C.; Mueller, J.L.; Mitchell, B.G.; Kahru, M.; et al. SeaWiFS Postlaunch Calibration and Validation Analyses, Part 3; Hooker, S.B., Firestone, E.R., Eds.; SeaWiFS Postlaunch Technical Report Series; NASA: Washington, DC, USA, 2000; p. 51.
- Mittenzwey, K.H.; Ullrich, S.; Gitelson, A.A.; Kondratiev, K.Y. Determination of Chlorophyll-a of Inland Waters on the Basis of Spectral Reflectance. Limnol. Oceanogr. 1992, 37, 147–149. [Google Scholar] [CrossRef]
- Gons, H.J. Optical Teledetection of Chlorophyll a in Turbid Inland Waters. Environ. Sci. Technol. 1999, 33, 1127–1132. [Google Scholar] [CrossRef]
- Gilerson, A.A.; Gitelson, A.A.; Zhou, J.; Gurlin, D.; Moses, W.; Ioannou, I.; Ahmed, S.A. Algorithms for Remote Estimation of Chlorophyll-a in Coastal and Inland Waters Using Red and near Infrared Bands. Opt. Express 2010, 18, 24109–24125. [Google Scholar] [CrossRef]
- Mishra, S.; Mishra, D.R. Normalized Difference Chlorophyll Index: A Novel Model for Remote Estimation of Chlorophyll-a Concentration in Turbid Productive Waters. Remote Sens. Environ. 2012, 117, 394–406. [Google Scholar] [CrossRef]
- Miller, R.L.; McKee, B.A. Using MODIS Terra 250 m Imagery to Map Concentrations of Total Suspended Matter in Coastal Waters. Remote Sens. Environ. 2004, 93, 259–266. [Google Scholar] [CrossRef]
- Nechad, B.; Ruddick, K.G.; Park, Y. Calibration and Validation of a Generic Multisensor Algorithm for Mapping of Total Suspended Matter in Turbid Waters. Remote Sens. Environ. 2010, 114, 854–866. [Google Scholar] [CrossRef]
- Avtar, R.; Kumar, P.; Supe, H.; Jie, D.; Sahu, N.; Mishra, B.K.; Yunus, A.P. Did the COVID-19 Lockdown-Induced Hydrological Residence Time Intensify the Primary Productivity in Lakes? Observational Results Based on Satellite Remote Sensing. Water 2020, 12, 2573. [Google Scholar] [CrossRef]
- Kulk, G.; George, G.; Abdulaziz, A.; Menon, N.; Theenathayalan, V.; Jayaram, C.; Brewin, R.J.W.; Sathyendranath, S. Effect of Reduced Anthropogenic Activities on Water Quality in Lake Vembanad, India. Remote Sens. 2021, 13, 1631. [Google Scholar] [CrossRef]
- Yunus, A.P.; Masago, Y.; Hijioka, Y. COVID-19 and Surface Water Quality: Improved Lake Water Quality during the Lockdown. Sci. Total Environ. 2020, 731, 139012. [Google Scholar] [CrossRef]
- Lakshmanan, P.T.; Shynamma, C.S.; Balchand, A.N.; Kurup, P.G. Distribution and Seasonal Variation of Temperature and Salinity in Cochin Backwaters [West India]. Deep Sea Res. Part B. Oceanogr. Lit. Rev. 1982, 29, 750. [Google Scholar] [CrossRef]
- Kishino, M. Estimation of Quantum Yield of Chlorophyll a Fluorescence from the Upward Irradiance Spectrum in the Sea. La Mer 1984, 22, 233–240. [Google Scholar]
- Ferrari, G.M.; Dowell, M.D.; Grossi, S.; Targa, C. Relationship between the Optical Properties of Chromophoric Dissolved Organic Matter and Total Concentration of Dissolved Organic Carbon in the Southern Baltic Sea Region. Mar. Chem. 1996, 55, 299–316. [Google Scholar] [CrossRef]
- Mitchell, B.G.; Kahru, M.; Wieland, J.; Stramska, M. Determination of Spectral Absorption Coefficients of Particles, Dissolved Material and Phytoplankton for Discrete Water Samples. Ocean Opt. Protoc. Satell. Ocean Color Sens. Valid. Revis. 2003, 4, 39–64. [Google Scholar]
- Shanmugam, P. New Models for Retrieving and Partitioning the Colored Dissolved Organic Matter in the Global Ocean: Implications for Remote Sensing. Remote Sens. Environ. 2011, 115, 1501–1521. [Google Scholar] [CrossRef]
- Mitchell, B.G. Algorithms for Determining the Absorption Coefficient for Aquatic Particulates Using the Quantitative Filter Technique. In Ocean Optics X; International Society for Optics and Photonics: Bellingham, WA, USA, 1990; Volume 1302, pp. 137–148. [Google Scholar]
- Jerlov, N.G. Marine Optics; Elsevier: Amsterdam, The Netherlands, 1976; Volume 14. [Google Scholar]
- Kirk, J.T.O. Light and Photosynthesis in Aquatic Ecosystems; Cambridge University Press: Cambridge, UK, 1994. [Google Scholar]
- Parsons, T.R.; Maita, Y.; Lalli, C.M. A Manual of Chemical and Biological Methods for Sea Water Analysis; Pergamon Press: Oxford, UK, 1984; Volume 31, ISBN 0080302882. [Google Scholar]
- Jeffrey, S.W.; Humphrey, G.F. New Spectrophotometric Equations for Determining Chlorophylls a, b, C1 and C2 in Higher Plants, Algae and Natural Phytoplankton. Biochem. Physiol. Pflanz. 1975, 167, 191–194. [Google Scholar] [CrossRef]
- Strickland, J.D.H.; Parsons, T.R. A Practical Handbook of Seawater Analysis, 2nd ed.; Fisheries Research Board of Canada: Ottawa, ON, Canada, 1972; 310p, Available online: https://repository.oceanbestpractices.org/handle/11329/1994 (accessed on 13 November 2022).
- Tilstone, G.H.; Martinez-Vicente, V. ISECA Protocols for the Validation of Ocean Colour Satellite Data in Case 2 European Waters; Plymouth Marine Laboratory (PML): Plymouth, UK, 2012. [Google Scholar]
- Werdell, P.J.; Bailey, S.W. An Improved In-Situ Bio-Optical Data Set for Ocean Color Algorithm Development and Satellite Data Product Validation. Remote Sens. Environ. 2005, 98, 122–140. [Google Scholar] [CrossRef]
- Vanhellemont, Q.; Ruddick, K. Atmospheric Correction of Metre-Scale Optical Satellite Data for Inland and Coastal Water Applications. Remote Sens. Environ. 2018, 216, 586–597. [Google Scholar] [CrossRef]
- Vanhellemont, Q.; Ruddick, K. Adaptation of the Dark Spectrum Fitting Atmospheric Correction for Aquatic Applications of the Landsat and Sentinel-2 Archives. Remote Sens. Environ. 2019, 225, 175–192. [Google Scholar] [CrossRef]
- Steinmetz, F.; Deschamps, P.; Ramon, D. Atmospheric Correction in Presence of Sun Glint: Application to MERIS. Opt. Express 2011, 19, 9783–9800. [Google Scholar] [CrossRef]
- Bailey, S.W.; Werdell, P.J. A Multi-Sensor Approach for the on-Orbit Validation of Ocean Color Satellite Data Products. Remote Sens. Environ. 2006, 102, 12–23. [Google Scholar] [CrossRef]
- Pope, R.M.; Fry, E.S. Absorption Spectrum (380–700 Nm) of Pure Water II Integrating Cavity Measurements. Appl. Opt. 1997, 36, 8710–8723. [Google Scholar] [CrossRef]
- Brewin, R.J.W.; Devred, E.; Sathyendranath, S.; Lavender, S.J.; Hardman-mountford, N.J. Model of Phytoplankton Absorption Based on Three Size Classes. Appl. Opt. 2011, 50, 4535–4549. [Google Scholar] [CrossRef]
- Brewin, R.J.W.; Sathyendranath, S.; Jackson, T.; Barlow, R.; Brotas, V.; Airs, R.; Lamont, T. Influence of Light in the Mixed-Layer on the Parameters of a Three-Component Model of Phytoplankton Size Class. Remote Sens. Environ. 2015, 168, 437–450. [Google Scholar] [CrossRef]
- Bricaud, A.; Morel, A.; Prieur, L. Absorption by Dissolved Organic Matter of the Sea (Yellow Substance) in the UV and Visible Domains1. Limnol. Oceanogr. 1981, 26, 43–53. [Google Scholar] [CrossRef]
- Shanmugam, P. A New Bio-Optical Algorithm for the Remote Sensing of Algal Blooms in Complex Ocean Waters. J. Geophys. Res. Ocean. 2011, 116, 1–12. [Google Scholar] [CrossRef]
- Twardowski, M.S.; Boss, E.; Sullivan, J.M.; Donaghay, P.L. Modeling the Spectral Shape of Absorption by Chromophoric Dissolved Organic Matter. Mar. Chem. 2004, 89, 69–88. [Google Scholar] [CrossRef]
- Balasubramanian, S.V.; Pahlevan, N.; Smith, B.; Binding, C.; Schalles, J.; Loisel, H.; Gurlin, D.; Greb, S.; Alikas, K.; Randla, M.; et al. Robust Algorithm for Estimating Total Suspended Solids (TSS) in Inland and Nearshore Coastal Waters. Remote Sens. Environ. 2020, 246, 111768. [Google Scholar] [CrossRef]
- Morel, A. Optical Properties of Pure Water and Pure Sea Water. In Optical Aspects of Oceanography; Jerlov, N.G., Nielson, E.S., Eds.; Academic Press: New York, NY, USA, 1974; pp. 1–24. [Google Scholar]
- Sathyendranath, S.; Prieur, L.; Morel, A. A Three-Component Model of Ocean Colour and Its Application to Remote Sensing of Phytoplankton Pigments in Coastal Waters. Int. J. Remote Sens. 1989, 10, 1373–1394. [Google Scholar] [CrossRef]
- Franz, B.A.; Bailey, S.W.; Kuring, N.; Werdell, P.J. Ocean Color Measurements with the Operational Land Imager on Landsat-8: Implementation and Evaluation in SeaDAS. J. Appl. Remote Sens. 2015, 9, 1–16. [Google Scholar] [CrossRef]
- Vanhellemont, Q.; Ruddick, K. Acolite for Sentinel-2: Aquatic Applications of MSI Imagery. In Proceedings of the 2016 ESA Living Planet Symposium, Prague, Czech Republic, 9–13 May 2016; p. SP-740. [Google Scholar]
- Morel, A.; Prieur, L. Analysis of Variations in Ocean Color. Limnol. Oceanogr. 1977, 22, 709–722. [Google Scholar] [CrossRef]
- Sathyendranath, S.; Platt, T. Analytic Model of Ocean Color. Appl. Opt. 1997, 36, 2620. [Google Scholar] [CrossRef]
- Doxaran, D.; Froidefond, J.M.; Lavender, S.; Castaing, P. Spectral Signature of Highly Turbid Waters: Application with SPOT Data to Quantify Suspended Particulate Matter Concentrations. Remote Sens. Environ. 2002, 81, 149–161. [Google Scholar] [CrossRef]
- WISA. Conservation and Wise Use of Vemabanad-Kol: An Integrated Management Planning Framework; Wetlands International-South Asia: New Delhi, India, 2013; pp. 1–137. [Google Scholar]
- Narayanan, N.C.; Venot, J.P. Drivers of Change in Fragile Environments: Challenges to Governance in Indian Wetlands. Nat. Resour. Forum 2009, 33, 320–333. [Google Scholar] [CrossRef]
- EU. Directive 2000/60/EC of the European Parliament and of the Council Establishing a Framework for the Community Action in the Field of Water Policy. Off. J. Eur. Communities 2000, 327, 1–72. [Google Scholar]
- Hussain, J.; Prabhakar, R.N. Water Quality Activities in Central Water Commission; Ministry of Jal Shakti: New Delhi, India, 2020. [Google Scholar]
- Mishra, S.; Mishra, D.R.; Lee, Z.; Tucker, C.S. Quantifying Cyanobacterial Phycocyanin Concentration in Turbid Productive Waters: A Quasi-Analytical Approach. Remote Sens. Environ. 2013, 133, 141–151. [Google Scholar] [CrossRef]
- Varunan, T.; Shanmugam, P. An Optical Tool for Quantitative Assessment of Phycocyanin Pigment Concentration in Cyanobacterial Blooms within Inland and Marine Environments. J. Great Lakes Res. 2017, 43, 32–49. [Google Scholar] [CrossRef]
- Bilotta, G.S.; Brazier, R.E. Understanding the Influence of Suspended Solids on Water Quality and Aquatic Biota. Water Res. 2008, 42, 2849–2861. [Google Scholar] [CrossRef] [PubMed]
- Jayaram, C.; Roy, R.; Chacko, N.; Swain, D.; Punnana, R.; Bandyopadhyay, S.; Choudhury, S.B.; Dutta, D. Anomalous Reduction of the Total Suspended Matter During the COVID-19 Lockdown in the Hooghly Estuarine System. Front. Mar. Sci. 2021, 8, 1–11. [Google Scholar] [CrossRef]
- Devred, E.; Sathyendranath, S.; Stuart, V.; Maass, H.; Ulloa, O.; Platt, T. A Two-Component Model of Phytoplankton Absorption in the Open Ocean: Theory and Applications. J. Geophys. Res. 2006, 111, 1–11. [Google Scholar] [CrossRef]
- Devred, E.; Sathyendranath, S.; Stuart, V.; Platt, T. A Three Component Classification of Phytoplankton Absorption Spectra: Application to Ocean-Color Data. Remote Sens. Environ. 2011, 115, 2255–2266. [Google Scholar] [CrossRef]
- Sathyendranath, S.; Platt, T.; Cota, G.; Stuart, V. Remote Sensing of Phytoplankton Pigments: A Comparison of Empirical and Theoretical Approaches. Int. J. Remote Sens. 2001, 22, 249–273. [Google Scholar] [CrossRef]
- Varunan, T.; Shanmugam, P. A Model for Estimating Size-Fractioned Phytoplankton Absorption Coefficients in Coastal and Oceanic Waters from Satellite Data. Remote Sens. Environ. 2015, 158, 235–254. [Google Scholar] [CrossRef]
- Babin, M.; Stramski, D. Variations in the Mass-Specific Absorption Coefficient of Mineral Particles Suspended in Water. Limnol. Oceanogr. 2004, 49, 756–767. [Google Scholar] [CrossRef]
- Doxaran, D.; Ruddick, K.; McKee, D.; Gentili, B.; Tailliez, D.; Chami, M.; Babin, M. Spectral Variations of Light Scattering by Marine Particles in Coastal Waters, from Visible to near Infrared. Limnol. Oceanogr. 2009, 54, 1257–1271. [Google Scholar] [CrossRef]
- Werdell, P.J.; McKinna, L.I.W.; Boss, E.; Ackleson, S.G.; Craig, S.E.; Gregg, W.W.; Lee, Z.; Maritorena, S.; Roesler, C.S.; Rousseaux, C.S.; et al. An Overview of Approaches and Challenges for Retrieving Marine Inherent Optical Properties from Ocean Color Remote Sensing. Prog. Oceanogr. 2018, 160, 186–212. [Google Scholar] [CrossRef]
- Stedmon, C.A.; Markager, S. The Optics of Chromophoric Dissolved Organic Matter (CDOM) in the Greenland Sea: An Algorithm for Differentiation between Marine and Terrestrially Derived Organic Matter. Limnol. Oceanogr. 2001, 46, 2087–2093. [Google Scholar] [CrossRef]
- Haltrin, V.I. Chlorophyll-Based Model of Seawater Optical Properties. Appl. Opt. 1999, 38, 6826. [Google Scholar] [CrossRef] [PubMed]
- Allali, K.; Bricaud, A.; Babin, M.; Morel, A.; Chang, P.A. A New Method for Measuring Spectral Absorption Coefficients of Marine Particles. Limnol. Oceanogr. 1995, 40, 1526–1532. [Google Scholar] [CrossRef][Green Version]
- Reynolds, R.A.; Stramski, D.; Mitchell, B.G. A Chlorophyll-Dependent Semianalytical Reflectance Model Derived from Field Measurements of Absorption and Backscattering Coefficients within the Southern Ocean. J. Geophys. Res. Ocean. 2001, 106, 7125–7138. [Google Scholar] [CrossRef]
- Shanmugam, P.; Varunan, T.; Jaiganesh, S.N.N.; Sahay, A.; Chauhan, P.; Jaiganesh, S.N.N.; Sahay, A.; Chauhan, P.; Nagendra Jaiganesh, S.N.N.; Sahay, A.; et al. Optical Assessment of Colored Dissolved Organic Matter and Its Related Parameters in Dynamic Coastal Water Systems. Estuar. Coast. Shelf Sci. 2016, 175, 126–145. [Google Scholar] [CrossRef]
- Pahlevan, N.; Smith, B.; Schalles, J.; Binding, C.; Cao, Z.; Ma, R.; Alikas, K.; Kangro, K.; Gurlin, D.; Hà, N.; et al. Seamless Retrievals of Chlorophyll-a from Sentinel-2 (MSI) and Sentinel-3 (OLCI) in Inland and Coastal Waters: A Machine-Learning Approach. Remote Sens. Environ. 2020, 240, 111604. [Google Scholar] [CrossRef]
- Steinmetz, F.; Ramon, D. Sentinel-2 MSI and Sentinel-3 OLCI consistent ocean colour products using POLYMER. In Proceedings of the Conference on Remote Sensing of the Open and Coastal Ocean and Inland Waters, Honolulu, HI, USA, 24–25 September 2018. [Google Scholar] [CrossRef]
- Gitelson, A. The Peak near 700 Nm on Radiance Spectra of Algae and Water: Relationships of Its Magnitude and Position with Chlorophyll Concentration. Int. J. Remote Sens. 1992, 13, 3367–3373. [Google Scholar] [CrossRef]
- Singh, R.K.; Shanmugam, P. A Novel Method for Estimation of Aerosol Radiance and Its Extrapolation in the Atmospheric Correction of Satellite Data over Optically Complex Oceanic Waters. Remote Sens. Environ. 2014, 142, 188–206. [Google Scholar] [CrossRef]
- Jiang, D.; Matsushita, B.; Pahlevan, N.; Gurlin, D.; Lehmann, M.K.; Fichot, C.G.; Schalles, J.; Loisel, H.; Binding, C.; Zhang, Y.; et al. Remotely Estimating Total Suspended Solids Concentration in Clear to Extremely Turbid Waters Using a Novel Semi-Analytical Method. Remote Sens. Environ. 2021, 258, 112386. [Google Scholar] [CrossRef]









| Vembanad Lake (VL) Dataset | ||||||||
|---|---|---|---|---|---|---|---|---|
| - | - | |||||||
| NOMAD dataset | ||||||||
| Satellite matchup dataset | ||||||||
| - | ||||||||
| - | ||||||||
Publisher’s Note: MDPI stays neutral with regard to jurisdictional claims in published maps and institutional affiliations. |
© 2022 by the authors. Licensee MDPI, Basel, Switzerland. This article is an open access article distributed under the terms and conditions of the Creative Commons Attribution (CC BY) license (https://creativecommons.org/licenses/by/4.0/).
Share and Cite
Theenathayalan, V.; Sathyendranath, S.; Kulk, G.; Menon, N.; George, G.; Abdulaziz, A.; Selmes, N.; Brewin, R.J.W.; Rajendran, A.; Xavier, S.; et al. Regional Satellite Algorithms to Estimate Chlorophyll-a and Total Suspended Matter Concentrations in Vembanad Lake. Remote Sens. 2022, 14, 6404. https://doi.org/10.3390/rs14246404
Theenathayalan V, Sathyendranath S, Kulk G, Menon N, George G, Abdulaziz A, Selmes N, Brewin RJW, Rajendran A, Xavier S, et al. Regional Satellite Algorithms to Estimate Chlorophyll-a and Total Suspended Matter Concentrations in Vembanad Lake. Remote Sensing. 2022; 14(24):6404. https://doi.org/10.3390/rs14246404
Chicago/Turabian StyleTheenathayalan, Varunan, Shubha Sathyendranath, Gemma Kulk, Nandini Menon, Grinson George, Anas Abdulaziz, Nick Selmes, Robert J. W. Brewin, Anju Rajendran, Sara Xavier, and et al. 2022. "Regional Satellite Algorithms to Estimate Chlorophyll-a and Total Suspended Matter Concentrations in Vembanad Lake" Remote Sensing 14, no. 24: 6404. https://doi.org/10.3390/rs14246404
APA StyleTheenathayalan, V., Sathyendranath, S., Kulk, G., Menon, N., George, G., Abdulaziz, A., Selmes, N., Brewin, R. J. W., Rajendran, A., Xavier, S., & Platt, T. (2022). Regional Satellite Algorithms to Estimate Chlorophyll-a and Total Suspended Matter Concentrations in Vembanad Lake. Remote Sensing, 14(24), 6404. https://doi.org/10.3390/rs14246404

