Simulation of the Use of Variance Component Estimation in Relative Weighting of Inter-Satellite Links and GNSS Measurements
Abstract
1. Introduction
2. Methodology
2.1. Observation Models
- One-way–satellite establishes a link with satellite (i.e., one range measurement at a time), and
- Dual one-way–satellite establishes a link with satellite and satellite establishes a link with satellite (i.e., two range measurements at a time).
2.2. Connectivity Schemes
2.3. Simulation Properties
2.4. Variance Component Estimation
- Helmert approach
- Förstner approach
3. Results
3.1. Comparison of the VCE Approaches
3.2. ISL Range Bias Estimation against Weighting Approach and Ground Station Sets
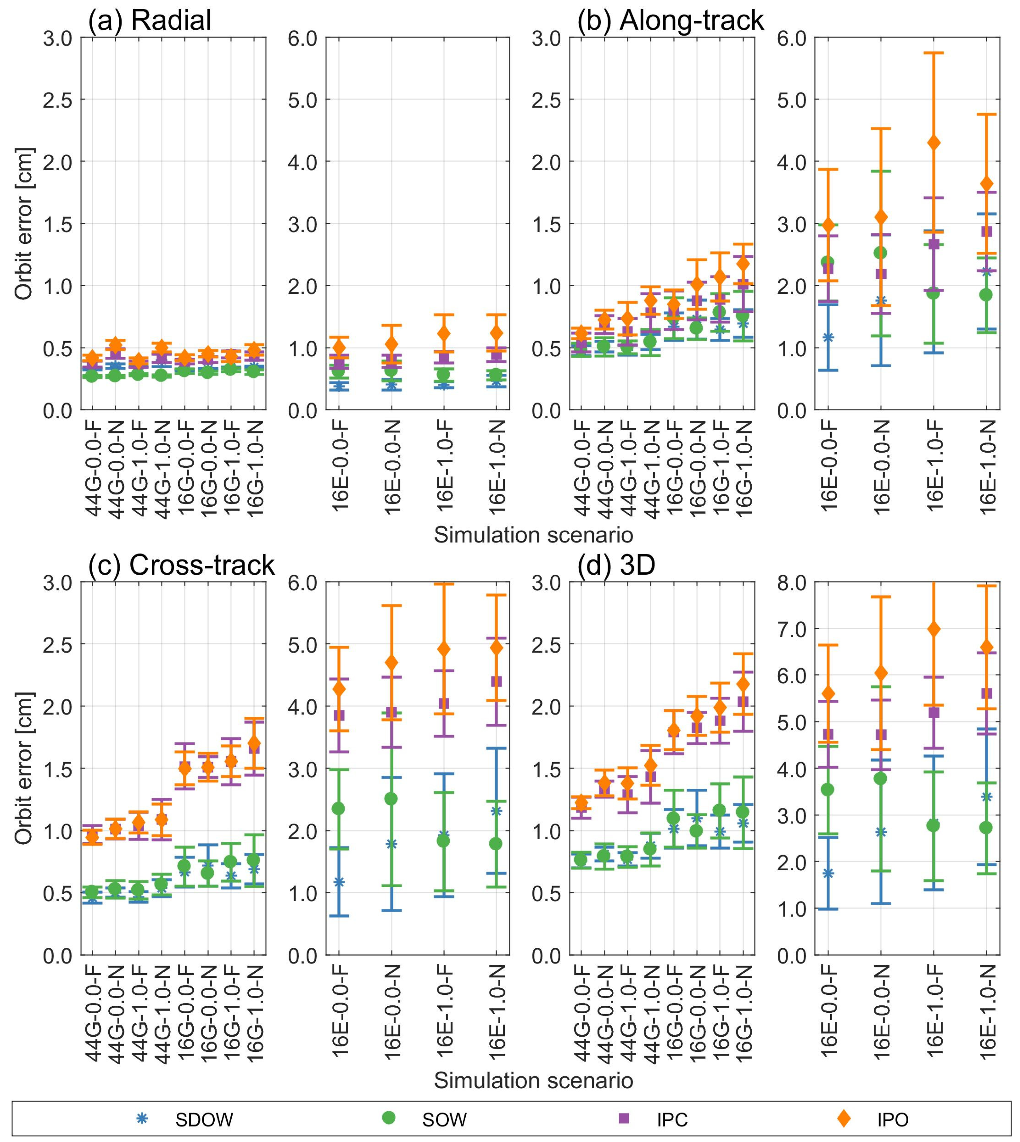
3.2.1. Orbit Estimation Errors
3.2.2. ISL Range Bias Estimation
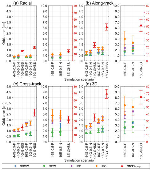
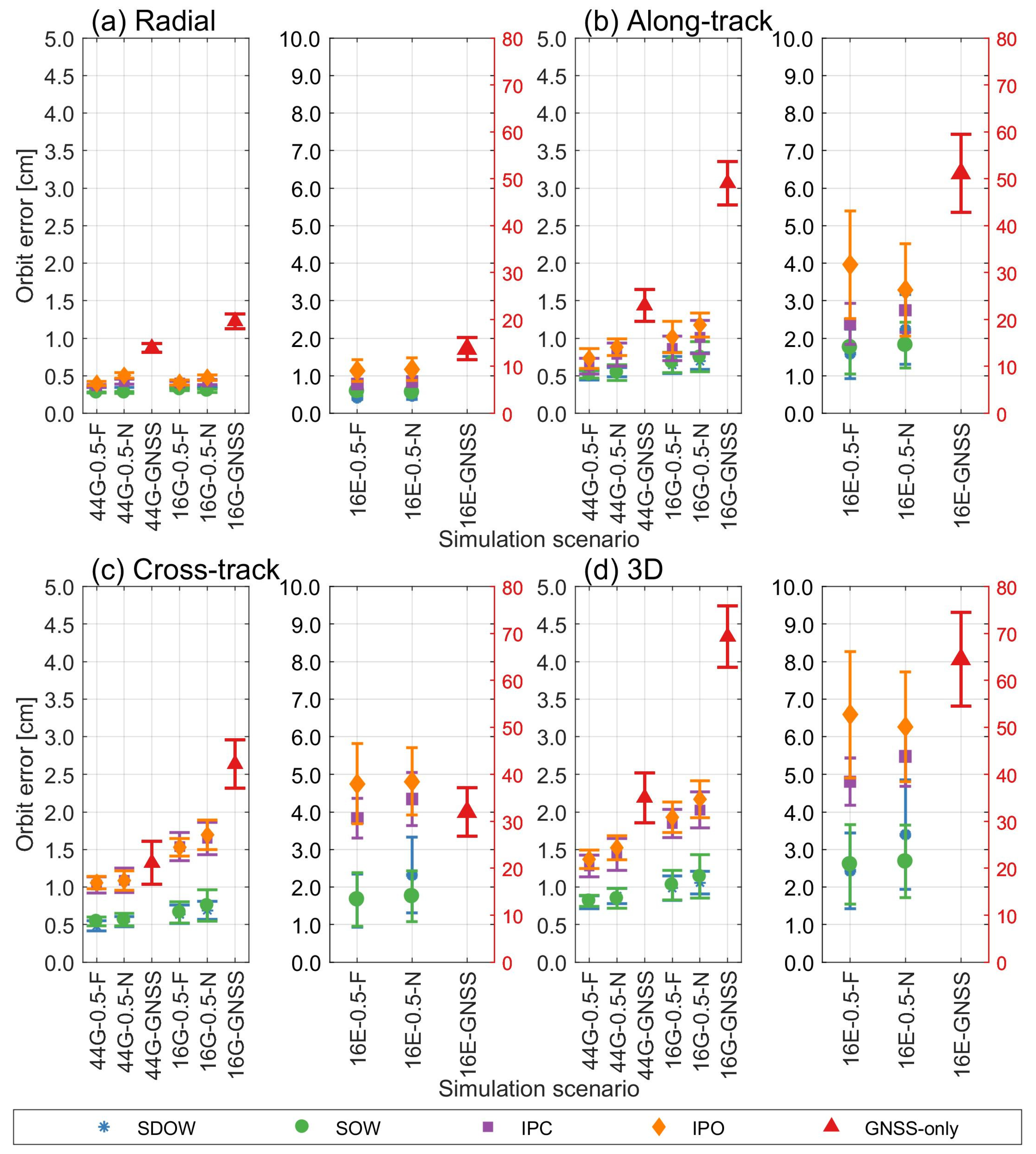
3.2.3. Comparison of Ground Station Sets with GNSS Only
4. Discussion and Conclusions
Author Contributions
Funding
Institutional Review Board Statement
Informed Consent Statement
Data Availability Statement
Acknowledgments
Conflicts of Interest
Appendix A


References
- Sun, L.; Huang, W.; Gao, S.; Li, W.; Guo, X.; Yang, J. Joint Timekeeping of Navigation Satellite Constellation with Inter-Satellite Links. Sensors 2020, 20, 670. [Google Scholar] [CrossRef]
- Ruan, R.; Jia, X.; Feng, L.; Zhu, J.; Huyan, Z.; Li, J.; Wei, Z. Orbit Determination and Time Synchronization for BDS-3 Satellites with Raw Inter-Satellite Link Ranging Observations. Satell. Navig. 2020, 1, 8. [Google Scholar] [CrossRef]
- Fernández, F.A. Inter-Satellite Ranging and Inter-Satellite Communication Links for Enhancing GNSS Satellite Broadcast Navigation Data. Adv. Space Res. 2011, 47, 786–801. [Google Scholar] [CrossRef]
- Guo, L.; Wang, F.; Gong, X.; Sang, J.; Liu, W.; Zhang, W. Initial Results of Distributed Autonomous Orbit Determination for Beidou BDS-3 Satellites Based on Inter-Satellite Link Measurements. GPS Solut. 2020, 24, 72. [Google Scholar] [CrossRef]
- Tang, C.; Hu, X.; Zhou, S.; Liu, L.; Pan, J.; Chen, L.; Guo, R.; Zhu, L.; Hu, G.; Li, X.; et al. Initial Results of Centralized Autonomous Orbit Determination of the New-Generation BDS Satellites with Inter-Satellite Link Measurements. J. Geod. 2018, 92, 1155–1169. [Google Scholar] [CrossRef]
- Pan, J.; Hu, X.; Zhou, S.; Tang, C.; Wang, D.; Yang, Y.; Dong, W. Full-ISL Clock Offset Estimation and Prediction Algorithm for BDS3. GPS Solut. 2021, 25, 140. [Google Scholar] [CrossRef]
- Yang, D.; Yang, J.; Xu, P. Timeslot Scheduling of Inter-Satellite Links Based on a System of a Narrow Beam with Time Division. GPS Solut. 2017, 21, 999–1011. [Google Scholar] [CrossRef]
- Sun, L.; Yang, J.; Huang, W.; Xu, L.; Cao, S.; Shao, H. Inter-Satellite Time Synchronization and Ranging Link Assignment for Autonomous Navigation Satellite Constellations. Adv. Space Res. 2022, 69, 2421–2432. [Google Scholar] [CrossRef]
- Zhou, W.; Gao, W.; Lin, X.; Hu, X.; Ren, Q.; Tang, C. Emerging Errors in the Orientation of the Constellation in GNSS Autonomous Orbit Determination Based on Inter-Satellite Link Measurements. Adv. Space Res. 2022, 70, 3156–3172. [Google Scholar] [CrossRef]
- Gong, X.; Huang, D.; Cai, S.; Zhou, L.; Yuan, L.; Feng, W. Parameter Decomposition Filter of BDS-3 Combined Orbit Determination Using Inter-Satellite Link Observations. Adv. Space Res. 2019, 64, 88–103. [Google Scholar] [CrossRef]
- Rodríguez-Pérez, I.; García-Serrano, C.; Catalán Catalán, C.; García, A.M.; Tavella, P.; Galleani, L.; Amarillo, F. Inter-Satellite Links for Satellite Autonomous Integrity Monitoring. Adv. Space Res. 2011, 47, 197–212. [Google Scholar] [CrossRef]
- Kur, T.; Kalarus, M. Simulation of Inter-Satellite Link Schemes for Use in Precise Orbit Determination and Clock Estimation. Adv. Space Res. 2021, 68, 4734–4752. [Google Scholar] [CrossRef]
- Yang, Y.; Yang, Y.; Guo, R.; Tang, C.; Zhang, Z. The Influence of Station Distribution on the BeiDou-3 Inter-Satellite Link Enhanced Orbit Determination. In China Satellite Navigation Conference (CSNC) 2020 Proceedings: Volume II. CSNC 2020; Sun, J., Yang, C., Xie, J., Eds.; Lecture Notes in Electrical Engineering; Springer: Singapore, 2020; Volume 651, pp. 58–70. [Google Scholar]
- Zhang, R.; Zhang, Q.; Huang, G.; Wang, L.; Qu, W. Impact of Tracking Station Distribution Structure on BeiDou Satellite Orbit Determination. Adv. Space Res. 2015, 56, 2177–2187. [Google Scholar] [CrossRef]
- Zhang, R.; Tu, R.; Zhang, P.; Fan, L.; Han, J.; Lu, X. Orbit Determination of BDS-3 Satellite Based on Regional Ground Tracking Station and Inter-Satellite Link Observations. Adv. Space Res. 2021, 67, 4011–4024. [Google Scholar] [CrossRef]
- Zhang, R.; Tu, R.; Zhang, P.; Fan, L.; Han, J.; Wang, S.; Hong, J.; Lu, X. Optimization of Ground Tracking Stations for BDS-3 Satellite Orbit Determination. Adv. Space Res. 2021, 68, 4069–4087. [Google Scholar] [CrossRef]
- He, X.; Hugentobler, U.; Schlicht, A.; Nie, Y.; Duan, B. Precise Orbit Determination for a Large LEO Constellation with Inter-Satellite Links and the Measurements from Different Ground Networks: A Simulation Study. Satell. Navig. 2022, 3, 22. [Google Scholar] [CrossRef]
- Zhang, R.; Tu, R.; Fan, L.; Zhang, P.; Liu, J.; Han, J.; Lu, X. Contribution Analysis of Inter-Satellite Ranging Observation to BDS-2 Satellite Orbit Determination Based on Regional Tracking Stations. Acta Astronaut. 2019, 164, 297–310. [Google Scholar] [CrossRef]
- Yang, Y.; Yang, Y.; Hu, X.; Tang, C.; Guo, R.; Zhou, Z.; Xu, J.; Pan, J.; Su, M. BeiDou-3 Broadcast Clock Estimation by Integration of Observations of Regional Tracking Stations and Inter-Satellite Links. GPS Solut. 2021, 25, 57. [Google Scholar] [CrossRef]
- Li, X.; Hu, X.; Guo, R.; Tang, C.; Liu, S.; Xin, J.; Guo, J.; Tian, Y.; Yang, Y.; Yang, J.; et al. Precise Orbit Determination for BDS-3 GEO Satellites Enhanced by Intersatellite Links. GPS Solut. 2023, 27, 8. [Google Scholar] [CrossRef]
- Xie, X.; Geng, T.; Zhao, Q.; Liu, J.; Wang, B. Performance of BDS-3: Measurement Quality Analysis, Precise Orbit and Clock Determination. Sensors 2017, 17, 1233. [Google Scholar] [CrossRef]
- Xie, X.; Geng, T.; Zhao, Q.; Cai, H.; Zhang, F.; Wang, X.; Meng, Y. Precise Orbit Determination for BDS-3 Satellites Using Satellite-Ground and Inter-Satellite Link Observations. GPS Solut. 2019, 23, 40. [Google Scholar] [CrossRef]
- Shi, J.; Ouyang, C.; Huang, Y.; Peng, W. Assessment of BDS-3 Global Positioning Service: Ephemeris, SPP, PPP, RTK, and New Signal. GPS Solut. 2020, 24, 81. [Google Scholar] [CrossRef]
- Zhu, Y.; Zhang, Q.; Mao, Y.; Cui, X.; Cai, C.; Zhang, R. Comprehensive Performance Review of BDS-3 after One-Year Official Operation. Adv. Space Res. 2022, in press. [CrossRef]
- Ren, X.; Yang, Y.; Zhu, J.; Xu, T. Comparing Satellite Orbit Determination by Batch Processing and Extended Kalman Filtering Using Inter-Satellite Link Measurements of the next-Generation BeiDou Satellites. GPS Solut. 2019, 23, 25. [Google Scholar] [CrossRef]
- Zhou, Y.; Wang, Y.; Huang, W.; Yang, J.; Sun, L. In-Orbit Performance Assessment of BeiDou Intersatellite Link Ranging. GPS Solut. 2018, 22, 119. [Google Scholar] [CrossRef]
- Pan, J.; Hu, X.; Zhou, S.; Tang, C.; Guo, R.; Zhu, L.; Tang, G.; Hu, G. Time Synchronization of New-Generation BDS Satellites Using Inter-Satellite Link Measurements. Adv. Space Res. 2018, 61, 145–153. [Google Scholar] [CrossRef]
- Xie, X.; Geng, T.; Zhao, Q.; Lv, Y.; Cai, H.; Liu, J. Orbit and Clock Analysis of BDS-3 Satellites Using Inter-Satellite Link Observations. J. Geod. 2020, 94, 64. [Google Scholar] [CrossRef]
- Tang, C.; Hu, X.; Zhou, S.; Guo, R.; He, F.; Liu, L.; Zhu, L.; Li, X.; Wu, S.; Zhao, G.; et al. Improvement of Orbit Determination Accuracy for Beidou Navigation Satellite System with Two-Way Satellite Time Frequency Transfer. Adv. Space Res. 2016, 58, 1390–1400. [Google Scholar] [CrossRef]
- An Official Website of the European Union. Available online: https://defence-industry-space.ec.europa.eu/commission-awards-eu147-bn-contracts-launch-2nd-generation-galileo-satellites-2021-01-20_en (accessed on 22 November 2022).
- Michalak, G.; Glaser, S.; Neumayer, K.H.; König, R. Precise Orbit and Earth Parameter Determination Supported by LEO Satellites, Inter-Satellite Links and Synchronized Clocks of a Future GNSS. Adv. Space Res. 2021, 68, 4753–4782. [Google Scholar] [CrossRef]
- Marz, S.; Schlicht, A.; Hugentobler, U. Galileo Precise Orbit Determination with Optical Two-Way Links (OTWL): A Continuous Wave Laser Ranging and Time Transfer Concept. J. Geod. 2021, 95, 85. [Google Scholar] [CrossRef]
- Schlicht, A.; Marz, S.; Stetter, M.; Hugentobler, U.; Schäfer, W. Galileo POD Using Optical Inter-Satellite Links: A Simulation Study. Adv. Space Res. 2020, 66, 1558–1570. [Google Scholar] [CrossRef]
- Kur, T.; Liwosz, T.; Kalarus, M. The Application of Inter-Satellite Links Connectivity Schemes in Various Satellite Navigation Systems for Orbit and Clock Corrections Determination: Simulation Study. Acta Geod. Geophys. 2021, 56, 1–28. [Google Scholar] [CrossRef]
- Glaser, S.; Michalak, G.; Konig, R.; Mannel, B.; Schuh, H. Future GNSS Infrastructure for Improved Geodetic Reference Frames. In Proceedings of the 2020 European Navigation Conference (ENC), Dresden, Germany, 23–24 November 2020; IEEE: Piscataway, NJ, USA, 2020; pp. 1–10. [Google Scholar]
- Yang, D.; Yang, J.; Li, G.; Zhou, Y.; Tang, C.P. Globalization Highlight: Orbit Determination Using BeiDou Inter-Satellite Ranging Measurements. GPS Solut. 2017, 21, 1395–1404. [Google Scholar] [CrossRef]
- Guo, R.; Hu, X.G.; Tang, B.; Huang, Y.; Liu, L.; Cheng, L.C.; He, F. Precise Orbit Determination for Geostationary Satellites with Multiple Tracking Techniques. Chin. Sci. Bull. 2010, 55, 687–692. [Google Scholar] [CrossRef]
- Liu, L.; Zhu, L.F.; Han, C.H.; Liu, X.P.; Li, C. The Model of Radio Two-Way Time Comparison between Satellite and Station and Experimental Analysis. Chin. Astron. Astrophys. 2009, 33, 431–439. [Google Scholar] [CrossRef]
- Shi, L.Y.; Xiang, W.; Tang, X.M. A Link Assignment Algorithm for GNSS with Crosslink Ranging. In Proceedings of the 2011 International Conference on Localization and GNSS, ICL-GNSS 2011, Tampere, Finland, 29–30 June 2011; pp. 13–18. [Google Scholar]
- Xu, B.; Han, K.; Ren, Q.; Gong, W.; Shao, F.; Wang, Y.; Chang, J. An Optimized Strategy for Inter-Satellite Links Assignments in GNSS. Adv. Space Res. 2022, in press. [CrossRef]
- Han, S.; Gui, Q.; Li, J. Establishment Criteria, Routing Algorithms and Probability of Use of Inter-Satellite Links in Mixed Navigation Constellations. Adv. Space Res. 2013, 51, 2084–2092. [Google Scholar] [CrossRef]
- Werner, M.; Delucchi, C.; Vögel, H.J.; Maral, G.; de Ridder, J.J. ATM-Based Routing in LEO/MEO Satellite Networks with Intersatellite Links. IEEE J. Sel. Areas Commun. 1997, 15, 69–82. [Google Scholar] [CrossRef]
- Yi, X.; Sun, Z.; Yao, F.; Miao, Y. Satellite Constellation of MEO and IGSO Network Routing with Dynamic Grouping. Int. J. Satell. Commun. Netw. 2013, 31, 277–302. [Google Scholar] [CrossRef]
- Huang, J.; Su, Y.; Liu, W.; Wang, F. Optimization Design of Inter-Satellite Link (ISL) Assignment Parameters in GNSS Based on Genetic Algorithm. Adv. Space Res. 2017, 60, 2574–2580. [Google Scholar] [CrossRef]
- Sun, L.; Wang, Y.; Huang, W.; Yang, J.; Zhou, Y.; Yang, D. Inter-Satellite Communication and Ranging Link Assignment for Navigation Satellite Systems. GPS Solut. 2018, 22, 38. [Google Scholar] [CrossRef]
- Huang, J.; Liu, W.; Su, Y.; Wang, F. Cascade Optimization Design of Inter-Satellite Link Enhanced with Adaptability in Future GNSS Satellite Networks. GPS Solut. 2018, 22, 44. [Google Scholar] [CrossRef]
- Yan, J.; Xing, L.; Wang, P.; Sun, L.; Chen, Y. A Scheduling Strategy to Inter-Satellite Links Assignment in GNSS. Adv. Space Res. 2021, 67, 198–208. [Google Scholar] [CrossRef]
- Zeng, L.; Lu, X.; Bai, Y.; Liu, B.; Yang, G. Topology Design Algorithm for Optical Inter-Satellite Links in Future Navigation Satellite Networks. GPS Solut. 2022, 26, 57. [Google Scholar] [CrossRef]
- Han, S.; Gui, Q.; Li, G.; Du, Y. Minimum of PDOP and Its Applications in Inter-Satellite Links (ISL) Establishment of Walker-δ Constellation. Adv. Space Res. 2014, 54, 726–733. [Google Scholar] [CrossRef]
- Tang, Y.; Wang, Y.; Chen, J. The Availability of Space Service for Inter-Satellite Links in Navigation Constellations. Sensors 2016, 16, 1327. [Google Scholar] [CrossRef]
- Xu, H.; Wang, J.; Zhan, X. Autonomous Broadcast Ephemeris Improvement for GNSS Using Inter-Satellite Ranging Measurements. Adv. Space Res. 2012, 49, 1034–1044. [Google Scholar] [CrossRef]
- Senior, K.L.; Ray, J.R.; Beard, R.L. Characterization of Periodic Variations in the GPS Satellite Clocks. GPS Solut. 2008, 12, 211–225. [Google Scholar] [CrossRef]
- Pavlis, N.K.; Holmes, S.A.; Kenyon, S.C.; Factor, J.K. The Development and Evaluation of the Earth Gravitational Model 2008 (EGM2008). J. Geophys. Res. Solid Earth 2012, 117, 1–38. [Google Scholar] [CrossRef]
- Petit, G.; Luzum, B. (Eds.) IERS Conventions (2010); Federal Agency for Cartography and Geodesy: Frankfurt am Main, Germany, 2010; ISBN 3-89888-989-6.
- Galileo Satellite Metadata European Union Agency for the Space Programme. Available online: https://www.gsc-europa.eu/support-to-developers/galileo-satellite-metadata (accessed on 22 November 2022).
- Arnold, D.; Meindl, M.; Beutler, G.; Dach, R.; Schaer, S.; Lutz, S.; Prange, L.; Sośnica, K.; Mervart, L.; Jäggi, A. CODE’s New Solar Radiation Pressure Model for GNSS Orbit Determination. J. Geod. 2015, 89, 775–791. [Google Scholar] [CrossRef]
- Zehentner, N. Kinematic Orbit Positioning Applying the Raw Observation Approach to Observe Time Variable Gravity. Ph.D. Thesis, Graz University of Technology, Graz, Austria, 2016. [Google Scholar] [CrossRef]
- Teunissen, P.J.G.; Amiri-Simkooei, A.R. Least-Squares Variance Component Estimation. J. Geod. 2008, 82, 65–82. [Google Scholar] [CrossRef]
- Zehentner, N.; Mayer-Gürr, T. Precise Orbit Determination Based on Raw GPS Measurements. J. Geod. 2016, 90, 275–286. [Google Scholar] [CrossRef]
- Kusche, J. Noise Variance Estimation and Optimal Weight Determination for GOCE Gravity Recovery. Adv. Geosci. 2003, 1, 81–85. [Google Scholar] [CrossRef]
- Wang, J.-G.; Gopaul, N.; Scherzinger, B. Simplified Algorithms of Variance Component Estimation for Static and Kinematic GPS Single Point Positioning. J. Glob. Position. Syst. 2009, 8, 43–52. [Google Scholar] [CrossRef]
- Li, M.; Nie, W.; Xu, T.; Rovira-Garcia, A.; Fang, Z.; Xu, G. Helmert Variance Component Estimation for Multi GNSS Relative Positioning. Sensors 2020, 20, 669. [Google Scholar] [CrossRef] [PubMed]
- Zangeneh-Nejad, F.; Amiri-Simkooei, A.R.; Sharifi, M.A.; Asgari, J. Recursive Least Squares with Real Time Stochastic Modeling: Application to GPS Relative Positioning. In Proceedings of the International Archives of the Photogrammetry, Remote Sensing and Spatial Information Sciences—ISPRS Archives, International Society for Photogrammetry and Remote Sensing: 2017 Tehran’s Joint ISPRS Conferences of GI Research, SMPR and EOEC 2017, Tehran, Iran, 7–10 October 2017; Volume 42, pp. 531–536. [Google Scholar]
- Bähr, H.; Altamimi, Z.; Heck, B. Variance Component Estimation for Combination of Terrestrial Reference Frames; Schriftenreihe des Studiengangs Geodäsie und Geoinformatik, Studiengang Geodäsie und Geoinformatik; Universität Karlsruhe (TH): Karlsruhe, Germany, 2007. [Google Scholar]
- Amiri-Simkooei, A.R. Parameter Estimation in 3D Affine and Similarity Transformation: Implementation of Variance Component Estimation. J. Geod. 2018, 92, 1285–1297. [Google Scholar] [CrossRef]
- Xu, T.; Xue, T.; Xu, G.; Shen, X.; Shan, X.; Chen, Y. A Maneuvered GEO Satellite Orbit Determination Using Robustly Adaptive Kalman Filter. In Proceedings of the 2010 International Conference on Intelligent System Design and Engineering Application, ISDEA 2010, Changsha, China, 13–14 October 2010; IEEE Computer Society: Piscataway, NJ, USA, 2010; Volume 1, pp. 55–59. [Google Scholar]
- Amiri-Simkooei, A.R. Least-Squares Variance Component Estimation: Theory and GPS Applications. Ph.D. Thesis, Delft University of Technology, Delft, The Netherlands, 2007. [Google Scholar]
- Hauschild, A.; Montenbruck, O. Kalman-Filter-Based GPS Clock Estimation for near Real-Time Positioning. GPS Solut. 2009, 13, 173–182. [Google Scholar] [CrossRef]
- Montenbruck, O.; Steigenberger, P.; Hauschild, A. Broadcast versus Precise Ephemerides: A Multi-GNSS Perspective. GPS Solut. 2015, 19, 321–333. [Google Scholar] [CrossRef]
- Steigenberger, P.; Montenbruck, O. Galileo Status: Orbits, Clocks, and Positioning. GPS Solut. 2017, 21, 319–331. [Google Scholar] [CrossRef]








| Orbit Simulation | |
| Galileo-like constellation | Galileo FOC box-wing model |
| Walker definition | 56°: 24/3/1 |
| Orbit radius | 29,600 km |
| Numerical integrator | Runge-Kutta 4th order |
| Force models | |
| Earth gravity field | EGM2008 16 × 16 [53] |
| Gravitational perturbation | Sun, Moon, and planets [54] |
| Relativistic perturbations | Schwarzschild Term, Lense-Thirring Precession, Geodesic Precession [54] |
| Solar flux | Constant |
| Earth’s albedo | Analytical |
| Satellite surface properties | Box-wing model (EUSPA metadata [55]) |
| Data simulation | |
| Data time span | 1 day |
| GNSS observations | |
| Sampling interval | 30 s |
| Observation noise | 1 cm |
| Zenith wet delays | Harmonic function with horizontal variations |
| Observation weight | Observation weight , where is satellite zenith angle and is GNSS observation noise |
| Station clock errors-observation noise | 1 ns |
| Satellite clock errors-observation noise | 0.1 ns |
| ISL observations | |
| Four connectivity schemes | |
| Sampling interval | 30 s |
| Observation noise | 0.5 cm |
| Observation weight | , is ISL observation noise |
| Satellite clock errors-observation noise | 0.1 ns |
| Estimation with weighted least squares adjustment | |
| Satellite positions and velocities | |
| ECOM2–9 parameters [56] | |
| Epoch-wise satellite clocks | |
| Epoch-wise station clocks (one station clock is fixed) | |
| Zenith wet delays–piecewise linear model | |
| Variance component estimation | |
| GNSS | ISL (24 Satellites) | ||
|---|---|---|---|
| 44 stations (global) | 1,181,375 | Sequential dual one-way (SDOW) | 62,066 |
| 16 stations (global) | 434,327 | Sequential one-way (SOW) | 31,033 |
| 16 stations (Europe) | 431,180 | Intra-plane closed (IPC) | 69,120 |
| Intra-plane open (IPO) | 60,480 | ||
| Scenario Number | Scenario Name | ISL Range Bias Value [cm] | Weighting Method | Station Set |
|---|---|---|---|---|
| (1.1) | 44G-0.5-F | 0.5 | Förstner | 44 (global) |
| (1.2) | 44G-0.5-H | 0.5 | Helmert | 44 (global) |
| (1.3) | 44G-0.5-N | 0.5 | Nominal | 44 (global) |
| (1.4) | 16G-0.5-F | 0.5 | Förstner | 16 (global) |
| (1.5) | 16G-0.5-H | 0.5 | Helmert | 16 (global) |
| (1.6) | 16G-0.5-N | 0.5 | Nominal | 16 (global) |
| 44G-0.5-F | 44G-0.5-H | 16G-0.5-F | 16G-0.5-H | |||||
|---|---|---|---|---|---|---|---|---|
| GNSS | ISL | GNSS | ISL | GNSS | ISL | GNSS | ISL | |
| Sequential dual one-way (SDOW) | 2.89 | 0.86 | 2.90 | 0.85 | 3.29 | 0.90 | 3.29 | 0.91 |
| Sequential one-way (SOW) | 2.87 | 0.37 | 2.87 | 0.38 | 2.85 | 0.23 | 2.87 | 0.25 |
| Intra-plane closed (IPC) | 2.85 | 0.55 | 2.85 | 0.55 | 2.65 | 0.24 | 2.63 | 0.33 |
| Intra-plane open (IPO) | 2.86 | 0.55 | 2.86 | 0.56 | 2.69 | 0.26 | 2.69 | 0.26 |
| Scenario Number | Scenario Name | ISL Range Bias Value [cm] | Weighting Method | Station Set |
|---|---|---|---|---|
| (2.1) | 44G-0.0-F | 0.0 | Förstner | 44 (global) |
| (2.2) | 44G-0.0-N | 0.0 | Nominal | 44 (global) |
| (2.3) | 44G-1.0-F | 1.0 | Förstner | 44 (global) |
| (2.4) | 44G-1.0-N | 1.0 | Nominal | 44 (global) |
| (2.5) | 16G-0.0-F | 0.0 | Förstner | 16 (global) |
| (2.6) | 16G-0.0-N | 0.0 | Nominal | 16 (global) |
| (2.7) | 16G-1.0-F | 1.0 | Förstner | 16 (global) |
| (2.8) | 16G-1.0-N | 1.0 | Nominal | 16 (global) |
| (2.9) | 16E-0.0-F | 0.0 | Förstner | 16 (Europe) |
| (2.10) | 16E-0.0-N | 0.0 | Nominal | 16 (Europe) |
| (2.11) | 16E-1.0-F | 1.0 | Förstner | 16 (Europe) |
| (2.12) | 16E-1.0-N | 1.0 | Nominal | 16 (Europe) |
| Förstner | Nominal | |||||
|---|---|---|---|---|---|---|
| RMS [cm] | MIN [cm] | MAX [cm] | RMS [cm] | MIN [cm] | MAX [cm] | |
| ISL range bias = 0.5 cm | ||||||
| SDOW | 0.11 | −0.27 | 0.26 | 0.11 | −0.26 | 0.24 |
| SOW | 0.15 | −0.59 | 0.37 | 0.12 | −0.43 | 0.29 |
| IPC | 0.18 | −0.62 | 0.56 | 0.26 | −0.92 | 0.85 |
| IPO | 0.18 | −0.68 | 0.63 | 0.27 | −0.94 | 0.91 |
| ISL range bias = 1.0 cm | ||||||
| SDOW | 0.10 | −0.23 | 0.31 | 0.11 | −0.25 | 0.26 |
| SOW | 0.15 | −0.47 | 0.36 | 0.13 | −0.40 | 0.33 |
| IPC | 0.19 | −0.58 | 0.57 | 0.27 | −0.90 | 0.89 |
| IPO | 0.31 | −0.65 | 0.70 | 0.35 | −0.90 | 0.96 |
| Scenario Number | Scenario Name | ISL Range Bias Value [cm] | Weighting Method | Station Set |
|---|---|---|---|---|
| (3.1) | 44G-0.5-F | 0.5 | Förstner | 44 (global) |
| (3.2) | 44G-0.5-N | 0.5 | Nominal | 44 (global) |
| (3.3) | 44G-GNSS | - | GNSS-only | 44 (global) |
| (3.4) | 16G-0.5-F | 0.5 | Förstner | 16 (global) |
| (3.5) | 16G-0.5-N | 0.5 | Nominal | 16 (global) |
| (3.6) | 16G-GNSS | - | GNSS-only | 16 (global) |
| (3.7) | 16E-0.5-F | 0.5 | Förstner | 16 (Europe) |
| (3.8) | 16E-0.5-N | 0.5 | Nominal | 16 (Europe) |
| (3.9) | 16E-GNSS | - | GNSS-only | 16 (Europe) |
Publisher’s Note: MDPI stays neutral with regard to jurisdictional claims in published maps and institutional affiliations. |
© 2022 by the authors. Licensee MDPI, Basel, Switzerland. This article is an open access article distributed under the terms and conditions of the Creative Commons Attribution (CC BY) license (https://creativecommons.org/licenses/by/4.0/).
Share and Cite
Kur, T.; Liwosz, T. Simulation of the Use of Variance Component Estimation in Relative Weighting of Inter-Satellite Links and GNSS Measurements. Remote Sens. 2022, 14, 6387. https://doi.org/10.3390/rs14246387
Kur T, Liwosz T. Simulation of the Use of Variance Component Estimation in Relative Weighting of Inter-Satellite Links and GNSS Measurements. Remote Sensing. 2022; 14(24):6387. https://doi.org/10.3390/rs14246387
Chicago/Turabian StyleKur, Tomasz, and Tomasz Liwosz. 2022. "Simulation of the Use of Variance Component Estimation in Relative Weighting of Inter-Satellite Links and GNSS Measurements" Remote Sensing 14, no. 24: 6387. https://doi.org/10.3390/rs14246387
APA StyleKur, T., & Liwosz, T. (2022). Simulation of the Use of Variance Component Estimation in Relative Weighting of Inter-Satellite Links and GNSS Measurements. Remote Sensing, 14(24), 6387. https://doi.org/10.3390/rs14246387

