Assessing the Accuracy of Landsat Vegetation Fractional Cover for Monitoring Australian Drylands
Abstract
1. Introduction
| Producer | Technical Differences | Overall RSME | RMSE PV | RMSE NPV | RMSE BS | Reference |
|---|---|---|---|---|---|---|
| JRSRP | BRDF, atmospheric and topographic correction of Landsat imagery following Flood et al. [45] | 11.6% | 11.2% | 16.2% | 13.0% | [14] |
| DEA | BRDF, atmospheric and topographic correction of Landsat imagery following Li, et al. [46,47] | 11.9% | 11.9% | 17.1% | 14.2% | [34] |
2. Materials and Methods
2.1. Study Area
2.2. Datasets
2.3. Methodological Framework
2.3.1. JRSRP and DEA VFC Comparison
2.3.2. Field Validation of VFC Accuracy
2.3.3. Unmixing Error Analysis
3. Results
3.1. JRSRP and DEA Landsat Fractional Cover
3.2. Field Validation Statistics
3.2.1. Spatial Variability
3.2.2. Change Detection
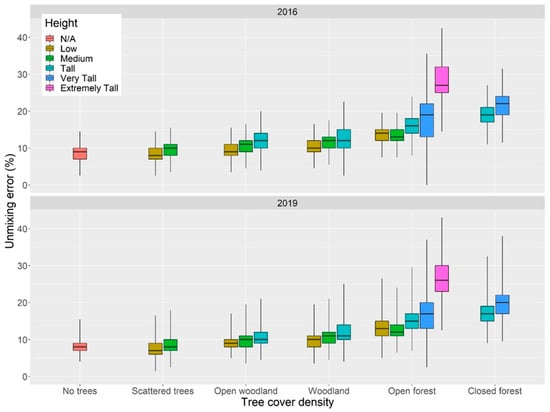
3.3. Unmixing Error Analysis
4. Discussion
4.1. Comparison of JRSRP and DEA VFC
4.2. Variability in VFC Estimation Accuracy
4.3. Change Detection
4.4. Unmixing Error
5. Conclusions
Author Contributions
Funding
Institutional Review Board Statement
Informed Consent Statement
Data Availability Statement
Acknowledgments
Conflicts of Interest
Appendix A



References
- Pettorelli, N.; Owen, H.J.F.; Duncan, C. How do we want Satellite Remote Sensing to support biodiversity conservation globally? Methods Ecol. Evol. 2016, 7, 656–665. [Google Scholar] [CrossRef]
- Pettorelli, N.; Wegmann, M.; Skidmore, A.; Mücher, S.; Dawson, T.P.; Fernandez, M.; Lucas, R.; Schaepman, M.E.; Wang, T.; O’Connor, B. Framing the concept of satellite remote sensing essential biodiversity variables: Challenges and future directions. Remote Sens. Ecol. Conserv. 2016, 2, 122–131. [Google Scholar] [CrossRef]
- Skidmore, A.K.; Pettorelli, N.; Coops, N.C.; Geller, G.N.; Hansen, M.; Lucas, R.; Mücher, C.A.; O’Connor, B.; Paganini, M.; Pereira, H.M. Environmental science: Agree on biodiversity metrics to track from space. Nat. News. 2015, 523, 403. [Google Scholar] [CrossRef] [PubMed]
- Xue, J.; Su, B. Significant remote sensing vegetation indices: A review of developments and applications. J. Sens. 2017, 1-17, 1–17. [Google Scholar] [CrossRef]
- Gao, F.; Hilker, T.; Zhu, X.; Anderson, M.; Masek, J.; Wang, P.; Yang, Y. Fusing Landsat and MODIS Data for Vegetation Monitoring. IEEE Geosci. Remote Sens. Mag. 2015, 3, 47–60. [Google Scholar] [CrossRef]
- Zhang, X.; Friedl, M.A.; Schaaf, C.B.; Strahler, A.H.; Hodges, J.C.F.; Gao, F.; Reed, B.C.; Huete, A. Monitoring vegetation phenology using MODIS. Remote Sens. Environ. 2003, 84, 471–475. [Google Scholar] [CrossRef]
- Huete, A.R.; Jackson, R.D. Suitability of spectral indices for evaluating vegetation characteristics on arid rangelands. Remote Sens. Environ. 1987, 23, 213–218. [Google Scholar] [CrossRef]
- van Leeuwen, W.J.D.; Huete, A.R. Effects of standing litter on the biophysical interpretation of plant canopies with spectral indices. Remote Sens. Environ. 1996, 55, 123–138. [Google Scholar] [CrossRef]
- Smith, W.K.; Dannenberg, M.P.; Yan, D.; Herrmann, S.; Barnes, M.L.; Barron-Gafford, G.A.; Biederman, J.A.; Ferrenberg, S.; Fox, A.M.; Hudson, A.; et al. Remote sensing of dryland ecosystem structure and function: Progress, challenges, and opportunities. Remote Sens. Environ. 2019, 233, 111401. [Google Scholar] [CrossRef]
- Smith, M.O.; Ustin, S.L.; Adams, J.B.; Gillespie, A.R. Vegetation in deserts: I. A regional measure of abundance from multispectral images. Remote Sens. Environ. 1990, 31, 1–26. [Google Scholar] [CrossRef]
- Dennison, P.; Roberts, D.A.; Chambers, J.Q.; Daughtry, C.S.; Guerschman, J.P.; Kokaly, R.F.; Okin, C.G.S.; Scarth, P.F. Global Measurement of Non-Photosynthetic Vegetation; NASA: Washington, DC, USA, 2016.
- Guerschman, J.P.; Hill, M.J.; Renzullo, L.J.; Barrett, D.J.; Marks, A.S.; Botha, E.J. Estimating fractional cover of photosynthetic vegetation, non-photosynthetic vegetation and bare soil in the Australian tropical savanna region upscaling the EO-1 Hyperion and MODIS sensors. Remote Sens. Environ. 2009, 113, 928–945. [Google Scholar] [CrossRef]
- Scarth, P.; Röder, A.; Schmidt, M. Tracking Grazing Pressure and Climate Interaction-The Role of Landsat Fractional Cover in Time Series Analysis. In Proceedings of the 15th Australasian Remote Sensing and Photogrammetry, Alice Springs, NT, Australia, 13–17 September 2010. [Google Scholar]
- Guerschman, J.P.; Scarth, P.F.; McVicar, T.R.; Renzullo, L.J.; Malthus, T.J.; Stewart, J.B.; Rickards, J.E.; Trevithick, R. Assessing the effects of site heterogeneity and soil properties when unmixing photosynthetic vegetation, non-photosynthetic vegetation and bare soil fractions from Landsat and MODIS data. Remote Sens. Environ. 2015, 161, 12–26. [Google Scholar] [CrossRef]
- Meyer, T.; Okin, G.S. Evaluation of spectral unmixing techniques using MODIS in a structurally complex savanna environment for retrieval of green vegetation, nonphotosynthetic vegetation, and soil fractional cover. Remote Sens. Environ. 2015, 161, 122–130. [Google Scholar] [CrossRef]
- Tian, J.; Su, S.; Tian, Q.; Zhan, W.; Xi, Y.; Wang, N. A novel spectral index for estimating fractional cover of non-photosynthetic vegetation using near-infrared bands of Sentinel satellite. Int. J. Appl. Earth Obs. Geoinf. 2021, 101, 102361. [Google Scholar] [CrossRef]
- Wang, G.; Wang, J.; Zou, X.; Chai, G.; Wu, M.; Wang, Z. Estimating the fractional cover of photosynthetic vegetation, non-photosynthetic vegetation and bare soil from MODIS data: Assessing the applicability of the NDVI-DFI model in the typical Xilingol grasslands. Int. J. Appl. Earth Obs. Geoinf. 2019, 76, 154–166. [Google Scholar] [CrossRef]
- Fisher, A.; Hesse, P.P. The response of vegetation cover and dune activity to rainfall, drought and fire observed by multitemporal satellite imagery. Earth Surf. Process. Landf. 2019, 44, 2957–2967. [Google Scholar] [CrossRef]
- Fisher, A.; Mills, C.H.; Lyons, M.; Cornwell, W.K.; Letnic, M. Remote sensing of trophic cascades: Multi-temporal landsat imagery reveals vegetation change driven by the removal of an apex predator. Landsc. Ecol. 2021, 36, 1341–1358. [Google Scholar] [CrossRef]
- Gray, J.M.; Karunaratne, S.; Bishop, T.; Wilson, B.; Veeragathipillai, M. Driving factors of soil organic carbon fractions over New South Wales, Australia. Geoderma. 2019, 353, 213–226. [Google Scholar] [CrossRef]
- Jackson, H.; Prince, S.D. Degradation of Non-Photosynthetic Vegetation in a Semi-Arid Rangeland. Remote Sens. 2016, 8, 692. [Google Scholar] [CrossRef]
- Scarth, P.; Trevithick, R. Management effects on ground cover “clumpiness”: Scaling from field to Sentinel-2 cover estimates. Int. Arch. Photogramm. Remote Sens. Spat. Inf. Sci. 2017, 183–188. [Google Scholar] [CrossRef]
- Wang, B.; Waters, C.; Orgill, S.; Gray, J.; Cowie, A.; Clark, A.; Liu, D.L. High resolution mapping of soil organic carbon stocks using remote sensing variables in the semi-arid rangelands of eastern Australia. Sci. Total Environ. 2018, 630, 367–378. [Google Scholar] [CrossRef]
- Barnetson, J.; Phinn, S.; Scarth, P.; Denham, R. Assesing Landsat Fractional ground-cover time series across Aaustralia’a arid rangelands: Separating grazing impact from climate variability. Int. Arch. Photogramm. Remote Sens. Spat. Inf. Sci. 2017, 15–26. [Google Scholar] [CrossRef]
- Shumack, S.; Fisher, A.; Hesse, P.P. Refining medium resolution fractional cover for arid Australia to detect vegetation dynamics and wind erosion susceptibility on longitudinal dunes. Remote Sens. Environ. 2021, 265, 112647. [Google Scholar] [CrossRef]
- Guerschman, J.P.; Hill, M.J.; Leys, J.; Heidenreich, S. Vegetation cover dependence on accumulated antecedent precipitation in Australia: Relationships with photosynthetic and non-photosynthetic vegetation fractions. Remote Sens. Environ. 2020, 240, 111670. [Google Scholar] [CrossRef]
- Guerschman, J.P.; Leys, J.; Rozas Larraondo, P.; Henrikson, M.; Paget, M.; Barson, M. Monitoring Groundcover: An Online Tool for Australian Regions Technical Report; Australian Government Department of Agriculture and Water Resources: Canberra, ACT, Australia, 2018.
- Pringle, M.J.; O’Reagain, P.J.; Stone, G.S.; Carter, J.O.; Orton, T.G.; Bushell, J.J. Using remote sensing to forecast forage quality for cattle in the dry savannas of northeast Australia. Ecol. Indic. 2021, 133, 108426. [Google Scholar] [CrossRef]
- Lymburner, L.; Bunting, P.; Lucas, R.; Scarth, P.; Alam, I.; Phillips, C.; Ticehurst, C.; Held, A. Mapping the multi-decadal mangrove dynamics of the Australian coastline. Remote Sens. Environ. 2020, 238, 111185. [Google Scholar] [CrossRef]
- Thornton, C.M.; Elledge, A.E. Heavy grazing of buffel grass pasture in the Brigalow Belt bioregion of Queensland, Australia, more than tripled runoff and exports of total suspended solids compared to conservative grazing. Mar. Pollut. Bull. 2021, 171, 112704. [Google Scholar] [CrossRef]
- Donohue, R.J.; Mokany, K.; McVicar, T.R.; O’Grady, A.P. Identifying management-driven dynamics in vegetation cover: Applying the Compere framework to Cooper Creek, Australia. Ecosphere 2022, 13, e4006. [Google Scholar] [CrossRef]
- Lucas, R.; Mueller, N.; Siggins, A.; Owers, C.; Clewley, D.; Bunting, P.; Kooymans, C.; Tissott, B.; Lewis, B.; Lymburner, L.; et al. Land Cover Mapping using Digital Earth Australia. Data 2019, 4, 143. [Google Scholar] [CrossRef]
- Harwood, T.D.; Donohue, R.J.; Williams, K.J.; Ferrier, S.; McVicar, T.R.; Newell, G.; White, M. Habitat Condition Assessment System: A new way to assess the condition of natural habitats for terrestrial biodiversity across whole regions using remote sensing data. Methods Ecol. Evol. 2016, 7, 1050–1059. [Google Scholar] [CrossRef]
- Geoscience Australia. DEA Fractional Cover (Landsat). 2021. Available online: https://cmi.ga.gov.au/data-products/dea/629/dea-fractional-cover-landsat#details (accessed on 25 August 2021).
- Hill, M.J.; Guerschman, J.P. The MODIS Global Vegetation Fractional Cover Product 2001–2018: Characteristics of Vegetation Fractional Cover in Grasslands and Savanna Woodlands. Remote Sens. 2020, 12, 406. [Google Scholar] [CrossRef]
- Hill, M.J.; Guerschman, J.P. Global trends in vegetation fractional cover: Hotspots for change in bare soil and non-photosynthetic vegetation. Agric. Ecosyst. Environ. 2022, 324, 107719. [Google Scholar] [CrossRef]
- Muir, J.; Schmidt, M.; Tindall, D.; Trevithick, R.; Scarth, P.; Stewart, J. Field Measurement of Fractional Ground Cover: A Technical Handbook Supporting Ground Cover Monitoring for Australia; ABARES: Canberra, ACT, Australia, 2011.
- Leys, J.F.; Howorth, J.E.; Guerschman, J.P.; Bala, B.; Stewart, J.B. Setting Targets for National Landcare Program Monitoring and Reporting Vegetation Cover for Australia; Environment, Energy and Science: Parramatta, NSW, Australia, 2020.
- Beutel, T.S.; Trevithick, R.; Scarth, P.; Tindall, D. VegMachine. net. online land cover analysis for the Australian rangelands. Rangel. J. 2019, 41, 355–362. [Google Scholar] [CrossRef]
- State of New South Wales and Department of Planning and Environment. Native Vegetation Regulatory Map Method Statement; Environment, Energy and Science: Parramatta, NSW, Australia, 2022.
- Queensland Government Department of Environment and Science. Statewide Landcover and Trees Study–Methodology Overview; Queensland Government: Brisbane, QLD, Australia, 2021.
- Asner, G.P.; Heidebrecht, K.B. Spectral unmixing of vegetation, soil and dry carbon cover in arid regions: Comparing multispectral and hyperspectral observations. Int. J. Remote Sens. 2002, 23, 3939–3958. [Google Scholar] [CrossRef]
- Okin, G.S.; Roberts, D.A.; Murray, B.; Okin, W.J. Practical limits on hyperspectral vegetation discrimination in arid and semiarid environments. Remote Sens. Environ. 2001, 77, 212–225. [Google Scholar] [CrossRef]
- Roberts, D.A.; Smith, M.O.; Adams, J.B. Green vegetation, nonphotosynthetic vegetation, and soils in AVIRIS data. Remote Sens. Environ. 1993, 44, 255–269. [Google Scholar] [CrossRef]
- Flood, N.; Danaher, T.; Gill, T.; Gillingham, S. An Operational Scheme for Deriving Standardised Surface Reflectance from Landsat TM/ETM+ and SPOT HRG Imagery for Eastern Australia. Remote Sens. 2013, 5, 83–109. [Google Scholar] [CrossRef]
- Li, F.; Jupp, D.L.B.; Reddy, S.; Lymburner, L.; Mueller, N.; Tan, P.; Islam, A. An Evaluation of the Use of Atmospheric and BRDF Correction to Standardize Landsat Data. IEEE J. Sel. Top. Appl. Earth Obs. Remote Sens. 2010, 3, 257–270. [Google Scholar] [CrossRef]
- Li, F.; Jupp, D.L.B.; Thankappan, M.; Lymburner, L.; Mueller, N.; Lewis, A.; Held, A. A physics-based atmospheric and BRDF correction for Landsat data over mountainous terrain. Remote Sens. Environ. 2012, 124, 756–770. [Google Scholar] [CrossRef]
- Melville, B.; Fisher, A.; Lucieer, A. Ultra-high spatial resolution fractional vegetation cover from unmanned aerial multispectral imagery. Int. J. Appl. Earth Obs. Geoinf. 2019, 78, 14–24. [Google Scholar] [CrossRef]
- Harwood, T.; Donohue, R.; Harman, I.; McVicar, T.; Ota, N.; Perry, J.; Williams, K. 9s Climatology for Continental Australia 1976–2005: Summary Variables with Elevation and Radiative Adjustment. 2019.Version v3. Available online: https://researchdata.edu.au/9s-climatology-continental-radiative-adjustment (accessed on 30 September 2021).
- Australian Government Department of Agriculture, Water and the Environment. National Vegetation Information System V6.0. 2021. Available online: http://www.environment.gov.au/fed/catalog/search/resource/details.page?uuid=ab942d6d-9efd-4cf2-bec7-4c1521b83803 (accessed on 30 September 2021).
- Queensland Government Department of Environment and Science. SLATS Star Transects-Australian field sites. 2022.Version 1.0.0. Available online: http://geonetwork.tern.org.au/geonetwork/srv/eng/catalog.search#/metadata/24a40c29-0d7c-4fe8-bdde-9c4ea495bfb8 (accessed on 15 June 2022).
- Geoscience Australia. DEA Water Observations; Geoscience Australia: Symonston, ACT, Australia, 2022. [CrossRef]
- Mueller, N.; Lewis, A.; Roberts, D.; Ring, S.; Melrose, R.; Sixsmith, J.; Lymburner, L.; McIntyre, A.; Tan, P.; Curnow, S.; et al. Water observations from space: Mapping surface water from 25years of Landsat imagery across Australia. Remote Sens. Environ. 2016, 174, 341–352. [Google Scholar] [CrossRef]
- Joint Remote Sensing Research Program. Vegetation Height and Structure-Derived from ALOS-1 PALSAR, Landsat and ICESat/GLAS, Australia. 2022. Available online: https://portal.tern.org.au/vegetation-height-structure-australia-coverage/21777 (accessed on 20 July 2022).
- Scarth, P.; Armston, J.; Lucas, R.; Bunting, P. A Structural Classification of Australian Vegetation Using ICESat/GLAS, ALOS PALSAR, and Landsat Sensor Data. Remote Sens. 2019, 11, 147. [Google Scholar] [CrossRef]
- Lawson, C.L.; Hanson, R.J. Solving Least Squares Problems; SIAM: Philadelphia, PA, USA, 1995. [Google Scholar]
- Flood, N. Continuity of reflectance data between Landsat-7 ETM+ and Landsat-8 OLI, for both top-of-atmosphere and surface reflectance: A study in the Australian landscape. Remote Sens. 2014, 6, 7952–7970. [Google Scholar] [CrossRef]
- Flood, N. Comparing Sentinel-2A and Landsat 7 and 8 using surface reflectance over Australia. Remote Sens. 2017, 9, 659. [Google Scholar] [CrossRef]
- Prăvălie, R. Drylands extent and environmental issues. A global approach. Earth-Sci. Rev. 2016, 161, 259–278. [Google Scholar] [CrossRef]
- O’Neill, A.L. Satellite-derived vegetation indices applied to semi-arid shrublands in Australia. Aust. Geogr. 1996, 27, 185–199. [Google Scholar] [CrossRef]
- Pech, R.P.; Graetz, R.D.; Davis, A.W. Reflectance modelling and the derivation of vegetation indices for an Australian semi-arid shrubland. Int. J. Remote Sens. 1986, 7, 389–403. [Google Scholar] [CrossRef]
- Small, C. The Landsat ETM+ spectral mixing space. Remote Sens. Environ. 2004, 93, 1–17. [Google Scholar] [CrossRef]
- Joint Remote Sensing Research Program. Seasonal Fractional Cover-Landsat JRSRP Algorithm Version 3.0, Australia Coverage. 2022. Available online: https://geonetwork.tern.org.au/geonetwork/srv/eng/catalog.search;jsessionid=node010373b43998rp68arlv2t2h0r44039.node0#/metadata/0997cb3c-e2e2-45be-ac82-f5e13d24331c (accessed on 23 October 2022).









Producer | Overall RMSE | RMSE BS | RMSE PV | RMSE NPV |
|---|---|---|---|---|
| JRSRP | 14.13 (±0.31) | 13.83 (±0.30) | 9.86 (±0.21) | 17.61 (±0.39) |
| DEA | 14.39 (±0.32) | 14.28 (±0.31) | 9.80 (±0.21) | 17.93 (±0.39) |
| Pearson’s Correlation Coefficient | p Value | |
|---|---|---|
| PV | 0.165 | >0.000001 |
| NPV | 0.132 | >0.000001 |
| BS | −0.175 | >0.000001 |
| Overall | 0.044 | >0.01 |
Publisher’s Note: MDPI stays neutral with regard to jurisdictional claims in published maps and institutional affiliations. |
© 2022 by the authors. Licensee MDPI, Basel, Switzerland. This article is an open access article distributed under the terms and conditions of the Creative Commons Attribution (CC BY) license (https://creativecommons.org/licenses/by/4.0/).
Share and Cite
Sutton, A.; Fisher, A.; Metternicht, G. Assessing the Accuracy of Landsat Vegetation Fractional Cover for Monitoring Australian Drylands. Remote Sens. 2022, 14, 6322. https://doi.org/10.3390/rs14246322
Sutton A, Fisher A, Metternicht G. Assessing the Accuracy of Landsat Vegetation Fractional Cover for Monitoring Australian Drylands. Remote Sensing. 2022; 14(24):6322. https://doi.org/10.3390/rs14246322
Chicago/Turabian StyleSutton, Andres, Adrian Fisher, and Graciela Metternicht. 2022. "Assessing the Accuracy of Landsat Vegetation Fractional Cover for Monitoring Australian Drylands" Remote Sensing 14, no. 24: 6322. https://doi.org/10.3390/rs14246322
APA StyleSutton, A., Fisher, A., & Metternicht, G. (2022). Assessing the Accuracy of Landsat Vegetation Fractional Cover for Monitoring Australian Drylands. Remote Sensing, 14(24), 6322. https://doi.org/10.3390/rs14246322

