Comparison between Supervised and Unsupervised Learning for Autonomous Delamination Detection Using Impact Echo
Abstract
1. Introduction
- Development of classification models based on realistic IE data;
- Feature extraction using both the time and frequency characteristics of IE data;
- Benchmarking different types of IE classification models;
- Evaluation of the sensor-agnostic properties of the developed IE classification models using InfoBridge data.
2. Materials and Methods
2.1. Impact Echo
2.2. Ground Truth
2.3. Impact-Echo Dataset and Classification
2.4. Analytical Approaches
2.4.1. Feature Selection and Filtering Approach
2.4.2. Support Vector Machine
2.4.3. 1D Convolutional Neural Networks 1DCNN (1DCNN)
2.4.4. Conventional Neural Network
2.4.5. Model Evaluation
2.4.6. Workstation
3. Results
3.1. Training
3.2. Model Complexity:
- -
- Model framework: Choosing the model framework can affect model complexity, as stated in previous studies. Overall, deep learning algorithms are far more complex than machine learning models; therefore, choosing the SVM based on IE signal features leads to decreased model complexity compared to 1DCNN and 2DCNN [40].
- -
- Model size: Artificial intelligence model size directly affects model complexity. The number of layers, layer diversity, and number of filters directly affect the model’s complexity. The type of layers, and kernel size were more complex in 1DCNN and 2DCNN than in simple SVM approaches with simple RBF layers (Figure 4 and Figure 5). Using RBF kernels leads to a faster, simpler, and more scalable model [40], which is why we selected it for this paper. The SVM, AlexNet, and 1DCNN used 0, 25, and 7 layers. The diversity of the AlexNet layers was higher than the 1DCNN and SVM without layers (Figure 4 and Figure 5). In addition, we used a higher number of layers and kernel filter size for AlexNet than 1DCNN; therefore, the model complexity decreased when using the SVM based on feature selection and 1DCNN compared to 2DCNN in terms of model size.
- -
- Data complexity: 1DCNN worked directly on IE signals; however, the IE signals were converted to 2D images for AlexNet using the wavelet as transformations. RGB images with a size of 227 × 227 × 3 were selected as the input size for AlexNet. As mentioned in the training section, the preprocessing algorithms were also used to select IE signals for preparing SVM inputs; however, the IE signals were used for 1DCNN without a preprocessing approach, indicating that we should not spend time preparing inputs for 1DCNN models. The total time for training the SVM model and extracting features was lower compared to the training process in 1DCNN. In addition, 2DCNN, in the case of wavelet transformation, used less time than 1DCNN in similar conditions. In contrast, 2DCNN used more total time than the SVM-based feature selection approach; however, the input size of the models was decreased in the SVM based on feature selection compared to 1DCNN and 2DCNN. The input size was 2.95 GB, 153 MB, and 60 KB for 1DCNN, AlexNet, and SVM, respectively. We selected only 25 features per signal as an input instead of selecting IE signals with 200,000 points (1DCNN) or 2D images; therefore, the input size of the IE dataset was also reduced, which can decrease the model complexity. The SVM-based feature selection had less model complexity compared to other approaches.
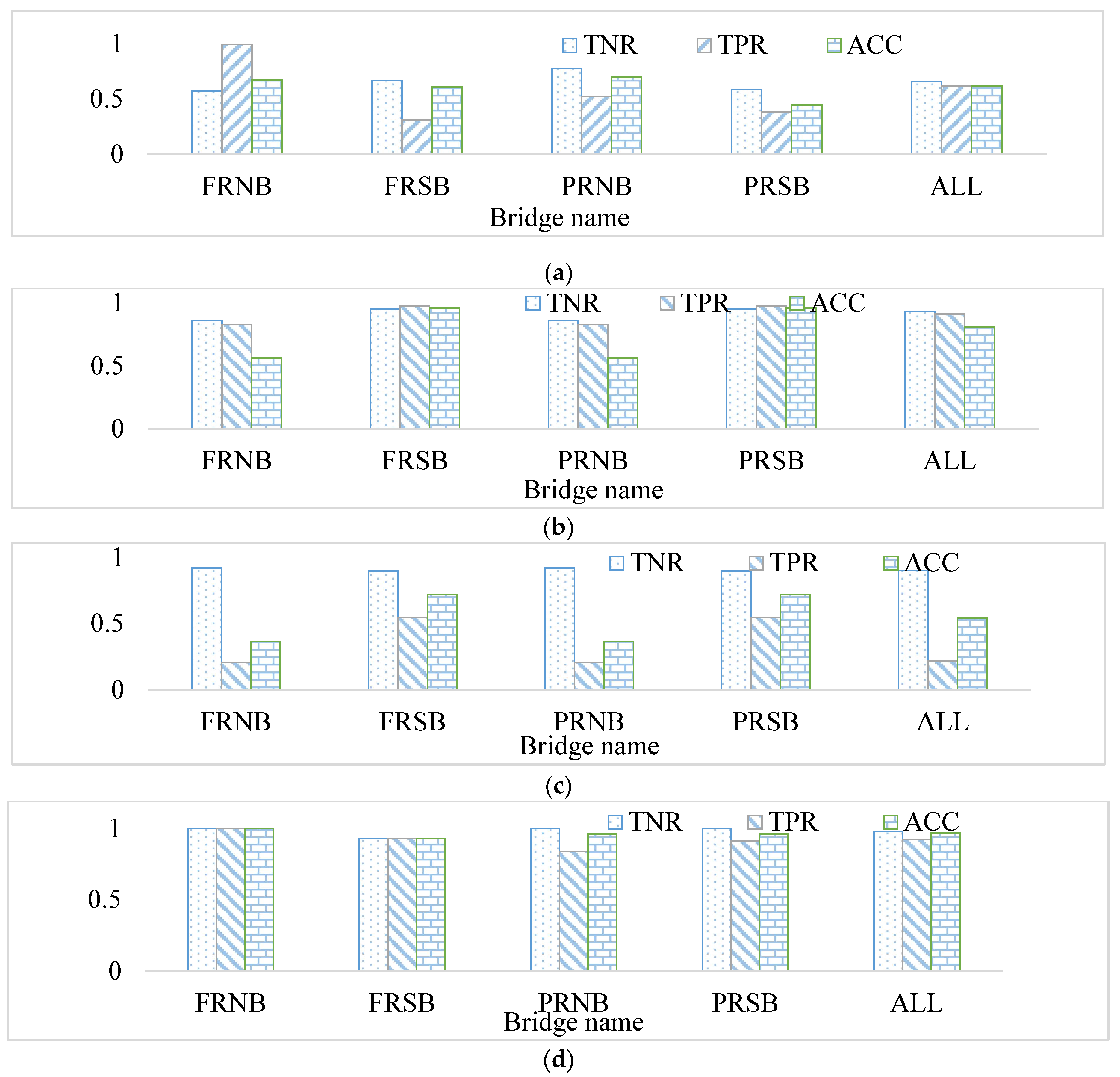
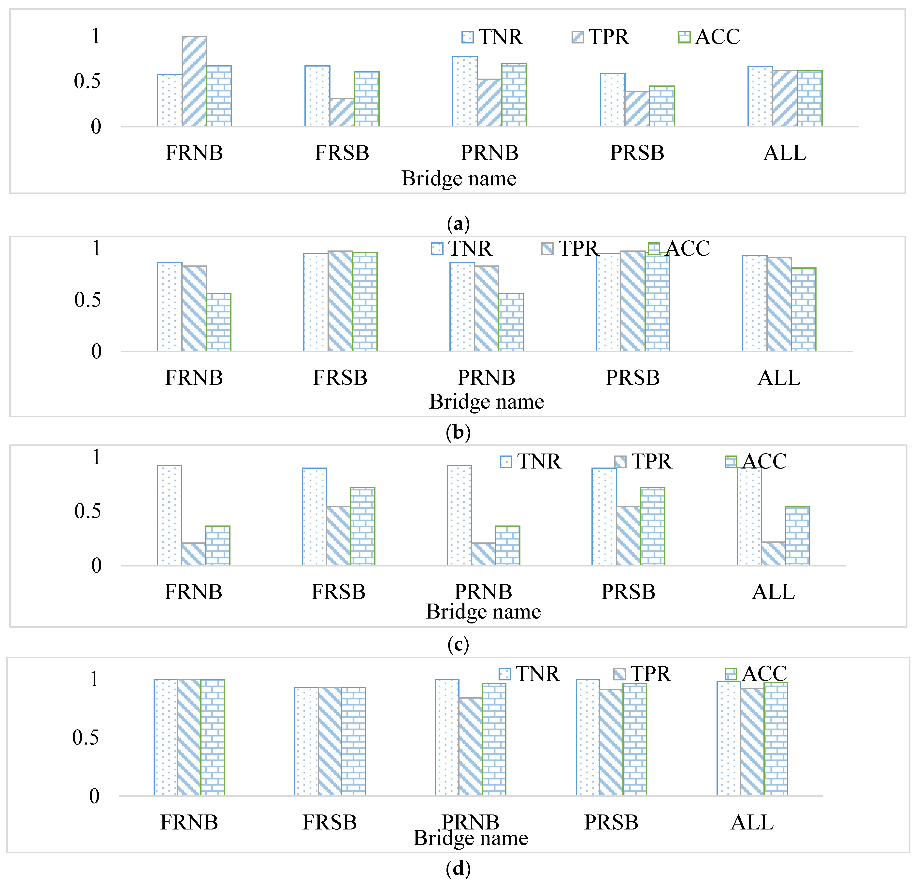
3.3. Testing
3.4. Defect Maps
4. Discussion
5. Conclusions
- The proposed SVM model classified all defect and sound areas with the lowest number of false positives and false negatives compared to other approaches. The SVM model achieved TPR, TNR, and accuracy rates of 93%, 97%, and 1, respectively. The results suggested the feasibility of using feature selection-fusion SVM for IE signal classification; however, feature-selection SVM should be used for different datasets because this model became more accurate as its training datasets increased in size.
- The SVM model and its features are recommended for field adaptation due to its noticeably faster training time. The proposed model only required 328 s to predict labels, including the training time, while the 1DCNN required 172,800 s to finish the training process. The CNN (TL) and CNN (CL) required 779 and 785 s to complete the training process, respectively. Additionally, the SVM-based feature selection has less model complexity compared to other models.
- We recommend using feature selection with other deep learning models while increasing the training set size. The CNN (TL) based on IE wavelet scalograms could also be used and compared to the SVM-based feature selection. This model correctly predicted 70% of the defect areas and 84% of the sound areas on average in the SDNET dataset.
- The CNN with wavelet and SVM-based feature selection could be used as a predictive model to obtain defect maps for IE signals from the InfoBridge website because these predictive models are not limited to the size of the IE signals, thus demonstrating the advantage of using these models over the 1DCNN. The results indicate that using AI models can help the IE user classify data more accurately. The SVM-based feature selection results were closer to the InfoBridge defect map.
Author Contributions
Funding
Institutional Review Board Statement
Informed Consent Statement
Data Availability Statement
Conflicts of Interest
References
- Ahmadvand, M.; Dorafshan, S.; Azari, H.; Shams, S. 1D-CNNs for Autonomous Defect Detection in Bridge Decks Using Ground Penetrating Radar. Health Monit. Struct. Biol. Syst. XV 2021, 11593, 97–113. [Google Scholar]
- Dorafshan, S.; Azari, H. Deep Learning Models for Bridge Deck Evaluation Using Impact Echo. Constr. Build. Mater. 2020, 263, 120109. [Google Scholar] [CrossRef]
- Dorafshan, S.; Azari, H. Evaluation of Bridge Decks With Overlays Using Impact Echo: A Deep Learning Approach. Autom. Constr. 2020, 113, 103133. [Google Scholar] [CrossRef]
- Available online: https://infobridge.fhwa.dot.gov/Data/BridgeDetail/23749045 (accessed on 1 October 2017).
- Johnson, B.V. Long-Term Bridge Performance Committee Letter Report, Long-Term Bridge Performance Committee Letter Report: February 19; National Academies Press: Washington, DC, USA, 2013. [Google Scholar]
- Dorafshan, S.; Maguire, M. Bridge Inspection: Human Performance, Unmanned Aerial Systems and Automation. J. Civ. Struct. Health Monit. 2018, 8, 443–476. [Google Scholar] [CrossRef]
- Azari, H.; O’Shea, D.; Campbell, J. Application of Unmanned Aerial Systems for Bridge Inspection. Transp. Res. Rec. 2022, 2676, 401–407. [Google Scholar] [CrossRef]
- Ohtsu, M.; Watanabe, T. Stack Imaging of Spectral Amplitudes Based on Impact-Echo for Flaw Detection. NDT E Int. 2002, 35, 189–196. [Google Scholar] [CrossRef]
- Colla, C.; Lausch, R. Influence of Source Frequency on Impact-Echo Data Quality for Testing Concrete Structures. NDT E Int. 2003, 364, 203–213. [Google Scholar] [CrossRef]
- Gucunski, N.; Kee, S.; La, H.; Basily, B.; Maher, A. Delamination and Concrete Quality Assessment of Concrete Bridge Decks Using a Fully Autonomous RABIT Platform. Struct. Monit. Maint. 2015, 2, 19–34. [Google Scholar] [CrossRef]
- Zhang, J.K.; Yan, W.; Cui, D.M. Concrete Condition Assessment Using Impact-Echo Method and Extreme Learning Machines. Sensors 2016, 16, 447. [Google Scholar] [CrossRef]
- Hajin, C.; Sadegh, S.; Hoda, A. Frequency Wave Number–Domain Analysis of Air-Coupled Impact-Echo Tests in Concrete Slab1; American Society of Civil Engineers: Reston, VA, USA, 2018. [Google Scholar]
- Liu, Y.L.; Shi, J.J.; Huang, J.Q.; Wei, G.S.; Wu, Z.X. Grouting Defect Detection of Lapped Bar Connections Based on Impact-Echo Method. Shock Vib. 2019, 2019, 1934240. [Google Scholar] [CrossRef]
- Xu, J.; Yu, X. Detection of concrete structural defects using impact echo based on deep networks. J. Test. Eval. 2020, 49, 109–120. [Google Scholar] [CrossRef]
- Ghomi, M.T.; Mahmoudi, J.; Darabi, M. Concrete Plate Thickness Measurement Using the Indirect Impact-Echo Method. Non-Destr. Test. Eval. 2013, 28, 119–144. [Google Scholar] [CrossRef]
- Sengupta, A.; Guler, S.I.; Shokou, P. Interpreting Impact Echo Data to Predict Condition Rating of Concrete Bridge Decks: A Machine-Learning Approach. J. Bridge Eng. 2021, 26, 04021044. [Google Scholar] [CrossRef]
- Li, B.; Cao, J.; Xiao, J.; Zhang, X.; Wang, H. Robotic Impact-Echo Non-Destructive Evaluation Based on FFT and SVM. In Proceedings of the 11th World Congress on Intelligent Control and Automation, Shenyang, China, 29 June–4 July 2014; pp. 2854–2859. [Google Scholar]
- Epp, T.; Svecova, D.; Cha, Y.J. Semi-Automated Air-Coupled Impact-Echo Method for Large-Scale Parkade Structure. Sensors 2018, 18, 1018. [Google Scholar] [CrossRef]
- Schittkowski, K. EASY-FIT: A Software System for Data Fitting in Dynamical Systems. Struct. Multidiscip. Optim. 2002, 23, 153–169. [Google Scholar] [CrossRef]
- Qu, H.; Li, M.; Chen, G.; Sneed, L.H.; Anderson, N.L. Multi-Bandwidth Wavelet Transform of Impact Echo Signals for Delamination Detection of Thin Concrete Slabs. J. Civ. Struct. Health Monit. 2016, 6, 649–664. [Google Scholar] [CrossRef]
- Grinstead, C.M.; Snell, J.L. Conditional Probability–Discrete Conditional. In Grinstead & Snell’s Introduction to Probability; Orange Grove Texts; American Mathematical Society: Providence, RI, USA, 2009. [Google Scholar]
- Frigge, M.; Hoaglin, D.C.; Iglewicz, B. Some Implementations of the Boxplot. Am. Stat. 1989, 43, 50–54. [Google Scholar]
- Sarmadi, H.; Entezami, A.; Salar, M.; de Michele, C. Bridge Health Monitoring in Environmental Variability by New Clustering and Threshold Estimation Methods. J. Civ. Struct. Health Monit. 2021, 11, 629–644. [Google Scholar] [CrossRef]
- Shokouhi, P.; Gucunski, N.; Maher, A. Time-Frequency Techniques for the Impact Echo Data Analysis and Interpretations. In Proceedings of the 9th European NDT conference (ECNDT 2006), Berlin, Germany, 25–29 September 2006; pp. 25–29. [Google Scholar]
- Guan, S.; Zhu, Z.; Wang, G. A Review on UAV-Based Remote Sensing Technologies for Construction and Civil Applications. Drones 2022, 6, 117. [Google Scholar] [CrossRef]
- Fascista, A. Toward Integrated Large-Scale Environmental Monitoring Using WSN/UAV/Crowdsensing: A Review of Applications, Signal Processing, and Future Perspectives. Sensors 2022, 22, 1824. [Google Scholar] [CrossRef]
- Sreenath, S.; Malik, H.; Husnu, N.; Kalaichelavan, K. Assessment and Use of Unmanned Aerial Vehicle for Civil Structural Health Monitoring. Procedia Comput. Sci. 2020, 170, 656–663. [Google Scholar] [CrossRef]
- Jafari, F.; Dorafshan, S. Bridge Inspection and Defect Recognition with Using Impact Echo Data, Probability and Naive Bayes Classifiers. Infrastructures 2021, 6, 132. [Google Scholar] [CrossRef]
- Ichi, E.; Jafari, F.; Dorafshan, S. Detection in Concrete Bridge Decks, SDNET2021: Annotated NDE Dataset for Subsurface Structural Defects. Infrastructures 2022, 7, 107. [Google Scholar] [CrossRef]
- Wei, Q.; Dunbrack, R.L., Jr. The Role of Balanced Training and Testing Data Sets for Binary Classifiers in Bioinformatics. PLoS ONE 2013, 8, e67863. [Google Scholar] [CrossRef] [PubMed]
- Shaikh, S.; Daudpota, S.M.; Imran, A.S.; Kastrati, Z. Towards Improved Classification Accuracy on Highly Imbalanced Text Dataset Using Deep Neural Language Models. Appl. Sci. 2021, 11, 869. [Google Scholar] [CrossRef]
- Sun, Y.; Wong, A.K.; Kamel, M.S. Classification of Imbalanced Data: A Review. Int. J. Pattern Recognit. Artif. Intell. 2009, 23, 687–719. [Google Scholar] [CrossRef]
- Khoei, T.T.; Ismail, S.; Kaabouch, N. Boosting-based Models with Tree-structured Parzen Estimator Optimization to Detect Intrusion Attacks on Smart Grid. In Proceedings of the 2021 IEEE 12th Annual Ubiquitous Computing, Electronics & Mobile Communication Conference (UEMCON), New York, NY, USA, 1–4 December 2021; pp. 0165–0170. [Google Scholar]
- Ismail, S.; Khoei, T.T.; Marsh, R.; Kaabouch, N. A Comparative Study of Machine Learning Models for Cyber-attacks Detection in Wireless Sensor Networks. In Proceedings of the 2021 IEEE 12th Annual Ubiquitous Computing, Electronics & Mobile Communication Conference (UEMCON), New York, NY, USA, 1–4 December 2021; pp. 0313–0318. [Google Scholar]
- Jakkula, V. Tutorial on Support Vector Machine (SVM); School of EECS, Washington State University: Pullman, WA, USA, 2006; Volume 37. [Google Scholar]
- Akansu, A.N.; Haddad, R.A.; Haddad, P.A. Multiresolution Signal Decomposition: Transforms, Subbands, and Wavelets; Academic Press: Cambridge, MA, USA, 2001. [Google Scholar]
- Duong, B.P.; Kim, J.Y.; Jeong, I.; Im, K.; Kim, C.H.; Kim, J.M. A Deep-Learning-Based Bearing Fault Diagnosis Using Defect Signature Wavelet Image Visualization. Appl. Sci. 2020, 10, 8800. [Google Scholar] [CrossRef]
- Subasi, A. Practical Guide for Biomedical Signals Analysis Using Machine Learning Techniques: A MATLAB Based Approach; Academic Press: Cambridge, MA, USA, 2019. [Google Scholar]
- Hu, X.; Chu, L.; Pei, J.; Liu, W.; Bian, J. Model Complexity of Deep Learning: A Survey. Knowl. Inf. Syst. 2021, 63, 2585–2619. [Google Scholar] [CrossRef]
- Azari, H.; Lin, S. Evaluation of the Impact Echo Method for Concrete Bridge Decks with Asphalt Overlays. Transp. Res. Rec. 2019, 2673, 436–444. [Google Scholar] [CrossRef]
- Sutan, N.M.; Jaafar, M.S. Defect Detection of Concrete Material by Using Impact Echo Test. Russ. J. Nondestruct. Test. 2003, 8, 1–5. [Google Scholar]













| Author | Year | Approaches | Pros and Cons |
|---|---|---|---|
| Dorafshan et al. [2] | 2020 | Convolutional neural networks | Pros: They introduced a big IE dataset for laboratory data with ground truth. They analyzed the IE dataset with different deep learning approaches for the first time. Cons: The data were limited to laboratory data. |
| Dorafshan et al. [3] | 2021 | Convolutional neural networks | Pros: The big dataset for IE signals was created from eight overlay decks. The IE signals collected from defects and sound areas were analyzed with deep learning for the first time. Cons: The research was limited to laboratory data. |
| Zhang et al. [11] | 2016 | Machine learning techniques and wavelet | Pros: Wavelet, as a new approach, was introduced. Cons: The weakness of the frequency approach was discussed in this paper. The dataset was limited to laboratory data. |
| Hajin et al. [12] | 2018 | Frequency-wave number (f–k) domain | Pros: The data from the air-coupled impact-echo device were obtained and analyzed in this paper. This study’s contributions in this area make this study unique due to limited research on air-coupled impact-echo data. Cons: The number of IE signals was limited to laboratory data. |
| Liu et al. [13] | 2019 | Frequency approach | Pros: The weakness of the frequency approaches was mentioned in this study. Cons: The data were limited to defects present in grouted lap-splice connections and did not include all types of defects. |
| Jafari et al. [16] | 2021 | Probability and Naive Bayes classifiers | Pros: Signal processing approaches based on feature selection were presented for the first time. Cons: The dataset was limited to laboratory data. |
| Ichi et al [29]. | 2022 | Frequency approach | Pros and Cons: The authors proposed multiple datasets, such as GPR, impact echo, and thermal images; however, they did not analyze the data. |
| Bridge Name | Year Built | Dimensions | Traffic Direction | Chain Drag Classification Area (%) | Training Dataset (IE Signal Numbers) | Testing Dataset (IE Signal Numbers) | |||||
|---|---|---|---|---|---|---|---|---|---|---|---|
| Length | Width | Deck Thickness | ------- | (D) | (S) | (D) | (S) | (D) | (S) | ||
| FRNB | 1971 | 210 | 37.1 | 0.2159 | Northbound | 9.13 | 90.86 | 84 | 40 | 18 | 221 |
| FRSB | 1971 | 210 | 37.1 | 0.2201 | Southbound | 43.00 | 57.00 | 78 | 55 | 22 | 208 |
| PRNB | 1973 | 464.9 | 37.1 | 0.2159 | Northbound | 23.33 | 76.66 | 135 | 141 | 43 | 44 |
| PRSB | 1973 | 395 | 48.9 | 0.2201 | Southbound | 45.75 | 53.50 | 114 | 186 | 42 | 133 |
| All | ------ | -------- | 30.30 | 69.09 | 421 | 421 | 125 | 606 | |||
| Models | TNR | TPR | ACC | |||||||||
|---|---|---|---|---|---|---|---|---|---|---|---|---|
| Min | Mean | Max | Cov | Min | Mean | Max | Cov | Min | Mean | Max | Cov | |
| 1DCNN | 0.57 | 0.65 | 0.78 | 0.11 | 0.31 | 0.57 | 0.62 | 0.06 | 0.45 | 0.62 | 0.70 | 0.08 |
| CNN(TL) | 0.70 | 0.82 | 0.96 | 0.05 | 0.84 | 0.91 | 1.00 | 0.08 | 0.72 | 0.87 | 0.96 | 0.2 |
| CNN (CL) | 0.88 | 0.90 | 0.92 | 0.01 | 0.21 | 0.35 | 0.54 | 0.53 | 0.36 | 0.78 | 0.59 | 0.33 |
| SVM | 0.93 | 0.98 | 1 | 0.03 | 0.84 | 0.92 | 1 | 0.05 | 0.93 | 0.97 | 1 | 0.02 |
Publisher’s Note: MDPI stays neutral with regard to jurisdictional claims in published maps and institutional affiliations. |
© 2022 by the authors. Licensee MDPI, Basel, Switzerland. This article is an open access article distributed under the terms and conditions of the Creative Commons Attribution (CC BY) license (https://creativecommons.org/licenses/by/4.0/).
Share and Cite
Jafari, F.; Dorafshan, S. Comparison between Supervised and Unsupervised Learning for Autonomous Delamination Detection Using Impact Echo. Remote Sens. 2022, 14, 6307. https://doi.org/10.3390/rs14246307
Jafari F, Dorafshan S. Comparison between Supervised and Unsupervised Learning for Autonomous Delamination Detection Using Impact Echo. Remote Sensing. 2022; 14(24):6307. https://doi.org/10.3390/rs14246307
Chicago/Turabian StyleJafari, Faezeh, and Sattar Dorafshan. 2022. "Comparison between Supervised and Unsupervised Learning for Autonomous Delamination Detection Using Impact Echo" Remote Sensing 14, no. 24: 6307. https://doi.org/10.3390/rs14246307
APA StyleJafari, F., & Dorafshan, S. (2022). Comparison between Supervised and Unsupervised Learning for Autonomous Delamination Detection Using Impact Echo. Remote Sensing, 14(24), 6307. https://doi.org/10.3390/rs14246307

