Use of Landsat 8 and UAV Images to Assess Changes in Temperature and Evapotranspiration by Economic Trees following Foliar Spraying with Light-Reflecting Compounds
Abstract
1. Introduction
2. Materials and Methods
2.1. Study Area and Data Sources
2.2. Experimental Design
2.3. Compilation of Landsat 8 and UAV Images
2.4. Retrieval of Remote Sensing Indices
2.4.1. Estimation of Land Surface Temperature
2.4.2. Estimation of Evapotranspiration
2.4.3. Net Solar Radiation (Rn)
2.4.4. Soil Heat Flux (G)
2.4.5. Sensible Heat Flux (H)
3. Results
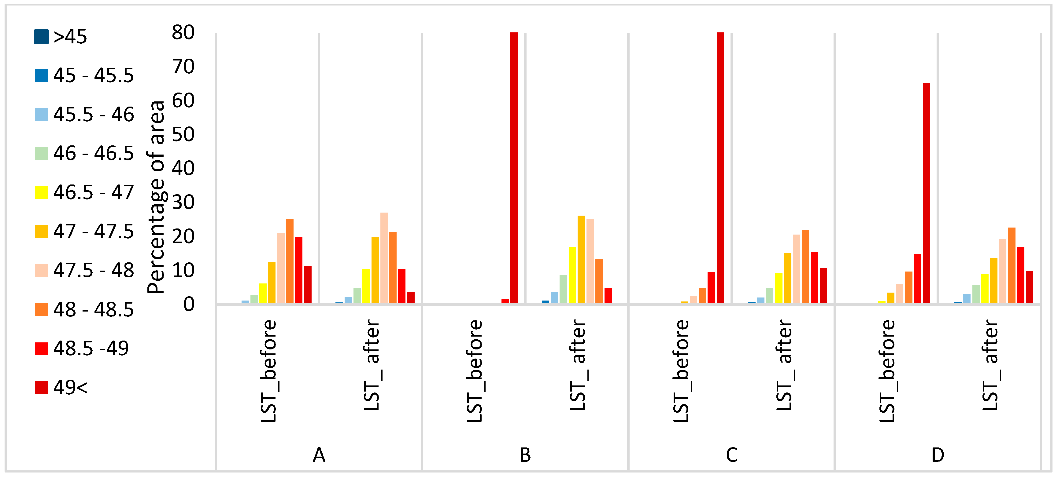
3.1. Impact of Foliar Spraying on Pistachio Tree Temperature
3.2. Impact of Foliar Application on Pistachio Tree Evapotranspiration
4. Discussion
5. Conclusions
Author Contributions
Funding
Data Availability Statement
Acknowledgments
Conflicts of Interest
References
- Mehdi-Tounsi, H.; Chelli-Chaabouni, A.; Mahjoub-Boujnah, D.; Boukhris, M. Long term field response of pistachio to irrigation water salinity. J. Agric. Water Manag. 2017, 185, 1–12. [Google Scholar] [CrossRef]
- Abbaspour, H.; Saeidi-Sar, S.; Afshari, H.; Abdol-Wahhab, M. Tolerance of mycorrhiza infected pistachio (Pistacia vera L.) seedling to drought stress under glasshouse conditions. J. Plant Physiol. 2012, 169, 704–709. [Google Scholar] [CrossRef] [PubMed]
- Schrader, L.A.; Zhang, J.; Duplaga, W.K. Two types of sunburn in apple caused by high fruit surface (peel) temperature. Online. Plant Health Prog. 2001, 2, 3. [Google Scholar] [CrossRef]
- Hassein, M.M.; Camilia, Y. Mineral Constituents of Fenugreek Varieties Grown Under Water Stress Condition. Aust. J. Basic Appl. Sci. 2011, 5, 2904–2909. [Google Scholar]
- Kotzé, W.A.G.; Carreira, J.A.; Beukes, O.; Redelinghuys, A.U. Effect of evaporative cooling on the growth, yield and fruit quality of apples. Deciduous Fruit Grow. 1988, 38, 20–24. [Google Scholar]
- Widmar, A. Light intensity and fruit quality under hail protection net. Acta Hortic. 2001, 557, 421–426. [Google Scholar] [CrossRef]
- Gindaba, J.; Wand, S.J.E. Comparative effects of evaporative cooling, kaolin particle film and shade net on sunburn and fruit quality in apples. Hortic. Sci. 2005, 40, 592–596. [Google Scholar] [CrossRef]
- Wand, S.J.E.; Theron, K.I.; Ackerman, J.; Marais, S.J.S. Harvest and post-harvest apple fruit quality following applications of kaolin particle film in South African orchards. Sci. Hortic. 2006, 107, 271–276. [Google Scholar] [CrossRef]
- Gharaghani, A.; Eshghi, S.; Khajenouri, Y.; Rahemi, M. Effect of kaolin on tree physiology, superficial sunburn and fruit quantitative and qualitative characteristics of two commercial apple cultivars. Iran. J. Hortic. Sci. 2015, 46, 475–486. [Google Scholar]
- Hossain, M.B.; Jitu, S.; Akter, S.; Islam, M.A. Management of Okra Yellow Vein Mosaic Virus (OYVMV) Through Selected Insecticides and Light Reflecting Colored Mulches. Eur. J. Agric. Food Sci. 2021, 3, 161–165. [Google Scholar] [CrossRef]
- Rosati, A.; Metcalf, S.G.; Buchner, R.P.; Fulton, A.E.; Lampinen, B.D. Physiological Effects of Kaolin Applications in Well-irrigated and Water-stressed Walnut and Almond Trees. Ann. Bot. 2006, 98, 267–275. [Google Scholar] [CrossRef] [PubMed]
- Melgarejo, P.; Martínez, J.J.; Hernández, F.; Martínez-Font, R.; Barrows, P.; Erez, A. Kaolin treatment to reduce pomegranate sunburn. Sci. Hortic. 2004, 100, 349–353. [Google Scholar] [CrossRef]
- Courault, D.; Seguin, B.; Olioso, A. Review on estimation of evapotranspiration from remote sensing data: From empirical to numerical modeling approaches. Irrig. Drain. Syst. 2005, 19, 223–249. [Google Scholar] [CrossRef]
- Maes, W.H.; Steppe, K. Estimating evapotranspiration and drought stress with ground-based thermal remote sensing in agriculture: A review. J. Exp. Bot. 2012, 63, 4671–4712. [Google Scholar] [CrossRef]
- Ge, Y.; Thomasson, J.A.; Sui, R. Remote sensing of soil properties in precision agriculture: A review. Front. Earth Sci. 2011, 5, 229–238. [Google Scholar] [CrossRef]
- Zhang, J.; Huang, Y.; Pu, R.; Gonzalez-Moreno, P.; Yuan, L.; Wu, K.; Huang, W. Monitoring plant diseases and pests through remote sensing technology: A review. Comput. Electron. Agric. 2019, 165, 104943. [Google Scholar] [CrossRef]
- Sishodia, R.P.; Ray, R.L.; Singh, S.K. Applications of remote sensing in precision agriculture: A review. Remote Sens. 2020, 12, 3136. [Google Scholar] [CrossRef]
- Emelyanova, I.V.; McVicar, T.R.; Van Niel, T.G.; Li, L.T.; Van Dijk, A.I.J.M. Assessing the accuracy of blending Landsat MODIS surface reflectances in two landscapes with contrasting spatial and temporal dynamics: A framework for algorithm selection. Remote Sens. Environ. 2013, 133, 193–209. [Google Scholar] [CrossRef]
- Zhao, L.; Shi, Y.; Liu, B.; Hovis, C.; Duan, Y.; Shi, Z. Finer Classification of Crops by Fusing UAV Images and Sentinel-2A Data. Remote Sens. 2019, 11, 3012. [Google Scholar] [CrossRef]
- Boursianis, A.D.; Papadopoulou, M.S.; Diamantoulakis, P.; Liopa-Tsakalidi, A.; Barouchas, P.; Salahas, G.; Karagiannidis, G.; Wan, S.; Goudos, S.K. Internet of Things (IoT) and Agricultural Unmanned Aerial Vehicles (UAVs) in smart farming: A comprehensive review. IEEE Internet Things 2020, 18, 100187. [Google Scholar] [CrossRef]
- Zhang, C.; Kovacs, J.M. The application of small unmanned aerial systems for precision agriculture: A review. Precis. Agric. 2012, 13, 693–712. [Google Scholar] [CrossRef]
- Irons, J.R.; Dwyer, J.L.; Barsi, J.A. The next Landsat satellite: The Landsat data continuity mission. Remote Sens. Environ. 2012, 122, 11–12. [Google Scholar] [CrossRef]
- Palsson, F.; Sveinsson, J.R.; Benediktsson, J.A.; Aanæs, H. Image fusion for classification of high-resolution images based on mathematical morphology. In Geoscience and Remote Sensing Symposium (IGARSS); IEEE International: Piscataway, NJ, USA, 2010; pp. 492–495. [Google Scholar]
- Lucien, W. Some terms of reference in data fusion. IEEE Trans. Geosci. Remote Sens. 1999, 37, 1190–1193. [Google Scholar]
- Malamiri, H.R.G.; Aliabad, F.A.; Shojaei, S.; Morad, M.; Band, S.S. A study on the use of UAV images to improve the separation accuracy of agricultural land areas. Comput. Electron. Agric. 2021, 184, 106079. [Google Scholar] [CrossRef]
- Shahdoosti, H.R.; Ghassemian, H. Combining the spectral PCA and spatial PCA fusion methods by an optimal filter. Inf. Fusion 2016, 27, 150–160. [Google Scholar] [CrossRef]
- Feng, D.; He, S.; Zhou, Z.; Zhang, Y. A Finger Vein Feature Extraction Method Incorporating Principal Component Analysis and Locality Preserving Projections. Sensors 2022, 22, 3691. [Google Scholar] [CrossRef]
- Ha, W.; Gowda, P.H.; Howell, T.A. A review of potential image fusion methods for remote sensing-based irrigation management: Part II. Irrig. Sci. 2013, 31, 851–869. [Google Scholar] [CrossRef]
- Jensen, J.R. Introductory Digital Image Processing: A Remote Sensing Perspective, 3rd ed.; Pearson Prentice Hall: Upper Saddle River, NJ, USA, 2005; p. 526. [Google Scholar]
- Namratha, H.N.; Raghu, M.T. Remote Sensing Satellite Image Fusion Using Fast Curvelet Transforms. Int. J. Sci. Res. 2013, 14, 1537–1542. [Google Scholar]
- Dong, L.; Yang, Q.; Wu, H.; Xiao, H.; Xu, M. High quality multi-spectral and panchromatic image fusion technologies based on Curvelet transform. Neurocomputing 2015, 159, 268–274. [Google Scholar] [CrossRef]
- Murugan, D.; Garg, A.; Ahmed, T.; Singh, D. Fusion of drone and satellite data for precision agriculture monitoring. In Proceedings of the 2016 11th International Conference on Industrial and Information Systems (ICIIS), Roorkee, India, 3–4 December 2016; pp. 910–914. [Google Scholar]
- Aliabad, A.; Zare, F.; Ghafarian Malamiri, H. A comparative assessment of the accuracies of split-window algorithms for retrieving of land surface temperature using Landsat 8 data. Model. Earth Syst. Environ. 2021, 7, 2267–2281. [Google Scholar] [CrossRef]
- Aliabad, F.A.; Zare, M.; Malamiri, H.G. Comparison of the accuracy of daytime land surface temperature retrieval methods using Landsat 8 images in arid regions. Infrared Phys. Technol. 2021, 115, 103692. [Google Scholar] [CrossRef]
- Sobrino, J.; Li, Z.; Stoll, M.; Becker, F. Multi-channel and multi-angle algorithms for estimating sea and land surface temperature with ATSR data. Int. J. Remote Sens. 1996, 17, 2089–2114. [Google Scholar] [CrossRef]
- Chander, G.; Markham, B.L.; Helder, D.L. Summary of current radiometric calibration coefficients for Landsat MSS, TM, ETM+, and EO-1 ALI sensors. Remote Sens. Environ. 2009, 113, 893–903. [Google Scholar] [CrossRef]
- Ding, H.; Shi, W. Land-use/land-cover change and its influence on surface temperature: A case study in Beijing City. Int. J. Remote Sens. 2013, 34, 5503–5517. [Google Scholar] [CrossRef]
- Vlassova, L.; Perez-Cabello, F.; Nieto, H.; Martín, P.; Riaño, D.; De La Riva, J. Assessment of methods for land surface temperature retrieval from Landsat-5 TM images applicable to multiscale tree-grass ecosystem modeling. Remote Sens. 2014, 6, 4345–4368. [Google Scholar] [CrossRef]
- Sobrino, J.; Raissouni, N. Toward remote sensing methods for land cover dynamic monitoring: Application to Morocco. Int. J. Remote Sens. 2000, 21, 353–366. [Google Scholar] [CrossRef]
- Dymond, J.R.; Stephens, P.R.; Newsome, P.F.; Wilde, R.H. Percentage vegetation cover of a degrading rangeland from SPOT. Int. J. Remote Sens. 1992, 13, 1999–2007. [Google Scholar] [CrossRef]
- Carlson, T.N.; Ripley, D.A. On the relation between NDVI, fractional vegetation cover, and leaf area index. Remote Sens. Environ. 1997, 62, 241–252. [Google Scholar] [CrossRef]
- Jiménez-Muñoz, J.C.; Sobrino, J.A.; Jiménez, D.; Mattar, C.; Cristóbal, J. Land Surface Temperature Retrieval Methods from Landsat-8 Thermal Infrared Sensor Data. IEEE Geosci. Remote Sens. Lett. 2014, 11, 1840–1843. [Google Scholar] [CrossRef]
- Bastiaanssen, W.G.; Menenti, M.; Feddes, R.A.; Holtslag, A.A.M. A remote sensing surface energy balance algorithm for land (SEBAL). 1. Formulation. J. Hydrol. 1998, 212, 198–212. [Google Scholar] [CrossRef]
- Allen, R.G.; Waters, R.; Tasumi, M.; Trezza, R.; Bastiaanssen, W. SEBAL-Surface energy balance algorithms for land, Idaho Implementation. In Advanced Training and User’s Manual; version 1.0; 2002. Available online: https://www.posmet.ufv.br/wp-content/uploads/2016/09/MET-479-Waters-et-al-SEBAL.pdf (accessed on 29 November 2022).
- Menenti, M.; Choudhury, B.J. Parameterization of land surface evapotranspiration using a location dependent potential evapotranspiration and surface temperature range. Exchange processes at the land surface for a range of space and time scales. IAHS Publ. 1993, 212, 561–568. [Google Scholar]
- Zamansani, E.; khoorani, A.; Sadeghi-e-lari, A.; Sadidi, J. Evaluation of evapotranspiration of wheat using SEBAL algorithm (Case study: Agricultural Research Station of Haji Abad). Phys. Geogr. Res. Q. 2018, 49, 667–681. [Google Scholar]
- Tang, L.; Shao, G. Drone remote sensing for forestry research and practices. J. For. Res. 2015, 26, 791–797. [Google Scholar] [CrossRef]
- Gazor, H.R.; Minaei, S. Influence of temperature and air velocity on drying time and quality parameters of pistachio (Pistacia vera L.). Dry. Technol. 2005, 23, 2463–2475. [Google Scholar] [CrossRef]
- Al-Saif, A.M.; Mosa, W.F.; Saleh, A.A.; Ali, M.M.; Sas-Paszt, L.; Abada, H.S.; Abdel-Sattar, M. Yield and Fruit Quality Response of Pomegranate (Punica granatum) to Foliar Spray of Potassium, Calcium and Kaolin. Horticulturae 2022, 8, 946. [Google Scholar] [CrossRef]
- Attia, S.M. Manipulation of splitting, sunburn and enhancing coloration of “Wonderful” pomegranates by preharvest foliar applications. IJRDO-J. Agric. Res. 2017, 3, 1–9. [Google Scholar]
- Norozi, M.; ValizadehKaji, B.; Karimi, R.; Nikoogoftar Sedghi, M. Effects of foliar application of potassium and zinc on pistachio (Pistacia vera L.) fruit yield. Int. J. Hortic. Sci. Technol. 2019, 6, 113–123. [Google Scholar]
- Khormizi, H.; Malamiri, H. Estimation of Crop Coefficient and Pistachio Plant’s (Pistacia vera L.) KC-NDVI Relationship Using Remote Sensing (Case study: Pistachio orchards of Abarkuh desert margin, Yazd province). Desert Manag. 2020, 8, 101–120. [Google Scholar]
- Garibaldi-Márquez, F.; Flores, G.; Mercado-Ravell, D.A.; Ramírez-Pedraza, A.; Valentín-Coronado, L.M. Weed Classification from Natural Corn Field-Multi-Plant Images Based on Shallow and Deep Learning. Sensors 2022, 22, 3021. [Google Scholar] [CrossRef]
- Dadashzadeh, M.; Abbaspour-Gilandeh, Y.; Mesri-Gundoshmian, T.; Sabzi, S.; Hernández-Hernández, J.L.; Hernández-Hernández, M.; Arribas, J.I. Weed classification for site-specific weed management using an automated stereo computer-vision machine-learning system in rice fields. Plants 2020, 9, 559. [Google Scholar] [CrossRef]










| Sensor Type | Sensor Dimensions | Aperture Range | Focal Length | Maximum Photo Resolution | Effective Sensor Accuracy | Sensor Accuracy | Optical Zoom | Minimum Normal Focusing Distance |
|---|---|---|---|---|---|---|---|---|
| 22.3 × 14.9 mm | F3.5–6.3 F22-40 | 15–45 mm | 4000 × 6000 | 24.7 MP | 24.2 MP | 3 times | 25 cm |
| C6 | C5 | C4 | C3 | C2 | C1 | C0 |
|---|---|---|---|---|---|---|
| 16.400 | −123.200 | −2.238 | 54.300 | 0.183 | 1.378 | −0.268 |
| LST2 -LST1 (°C) | ET2-ET1 (mm/day) | |||||
|---|---|---|---|---|---|---|
| Plot | Max | Min | Mean | Max | Min | Mean |
| A | 0.01 | −0.72 | −0.14 | 0.64 | 0.05 | 0.40 |
| B | −2.82 | −3.65 | −3.33 | 0.49 | −0.37 | 0.18 |
| C | 0.00 | −2.79 | −0.68 | 0.85 | −0.86 | 0.22 |
| D | −0.97 | −1.62 | −1.38 | 0.62 | 0.03 | 0.36 |
Publisher’s Note: MDPI stays neutral with regard to jurisdictional claims in published maps and institutional affiliations. |
© 2022 by the authors. Licensee MDPI, Basel, Switzerland. This article is an open access article distributed under the terms and conditions of the Creative Commons Attribution (CC BY) license (https://creativecommons.org/licenses/by/4.0/).
Share and Cite
Aliabad, F.A.; Shojaei, S.; Mortaz, M.; Ferreira, C.S.S.; Kalantari, Z. Use of Landsat 8 and UAV Images to Assess Changes in Temperature and Evapotranspiration by Economic Trees following Foliar Spraying with Light-Reflecting Compounds. Remote Sens. 2022, 14, 6153. https://doi.org/10.3390/rs14236153
Aliabad FA, Shojaei S, Mortaz M, Ferreira CSS, Kalantari Z. Use of Landsat 8 and UAV Images to Assess Changes in Temperature and Evapotranspiration by Economic Trees following Foliar Spraying with Light-Reflecting Compounds. Remote Sensing. 2022; 14(23):6153. https://doi.org/10.3390/rs14236153
Chicago/Turabian StyleAliabad, Fahime Arabi, Saeed Shojaei, Morad Mortaz, Carla Sofia Santos Ferreira, and Zahra Kalantari. 2022. "Use of Landsat 8 and UAV Images to Assess Changes in Temperature and Evapotranspiration by Economic Trees following Foliar Spraying with Light-Reflecting Compounds" Remote Sensing 14, no. 23: 6153. https://doi.org/10.3390/rs14236153
APA StyleAliabad, F. A., Shojaei, S., Mortaz, M., Ferreira, C. S. S., & Kalantari, Z. (2022). Use of Landsat 8 and UAV Images to Assess Changes in Temperature and Evapotranspiration by Economic Trees following Foliar Spraying with Light-Reflecting Compounds. Remote Sensing, 14(23), 6153. https://doi.org/10.3390/rs14236153

