Next Article in Journal
A Comparison of Analytical Approaches for the Spectral Discrimination and Characterisation of Mite Infestations on Banana Plants
Previous Article in Journal
Satellite and Machine Learning Monitoring of Optically Inactive Water Quality Variability in a Tropical River
 
 
Font Type:
Arial Georgia Verdana
Font Size:
Aa Aa Aa
Line Spacing:
Column Width:
Background:
Article

Ionospheric Inhomogeneities and Their Influences on the Earth’s Remote Sensing from Space

by
Andrew S. Kryukovsky
1,
Boris G. Kutuza
2,
Vladimir I. Stasevich
3 and
Dmitry V. Rastyagaev
1,*
1
Institute of Information Systems and Computer Engineering, Russian New University, 105005 Moscow, Russia
2
Institute of Radio Engineering and Electronics of RAS, 125009 Moscow, Russia
3
NPP “ROBIS”, 111123 Moscow, Russia
*
Author to whom correspondence should be addressed.
Remote Sens. 2022, 14(21), 5469; https://doi.org/10.3390/rs14215469
Submission received: 23 September 2022 / Revised: 25 October 2022 / Accepted: 28 October 2022 / Published: 30 October 2022
(This article belongs to the Section Atmospheric Remote Sensing)

Abstract

An important problem that arises when planning experiments on remote sensing from space in the P-band is taking into account the influence of the Earth’s ionosphere. We investigated the influence of ionospheric inhomogeneities on the results of remote sensing of the Earth from space, taking into account the curvature of the propagation medium. One- and two-layer models of the ionosphere, both with and without large-scale inhomogeneities of the cold ionospheric plasma, were considered. To obtain numerical results, a bicharacteristic system was used, which makes it possible to adequately take into account the complex structures of ionospheric plasma layers. The dependence of the rate of phase change on the height and the dependence of the total electron concentration on the horizontal distance and group time were investigated. The case was compared when the vector of the strength of the Earth’s magnetic field is perpendicular to the plane of propagation, and the case when this vector lies in the plane of propagation. The dependence of the difference between the refractive indices on the height along the rays was studied. Estimates of the Faraday rotation angle and phase deviation were obtained for various models. The magnitude of the angle of Faraday rotation depends significantly on the orientation of the trajectory relative to the Earth’s magnetic field. Polarization coefficients are investigated. It is shown that the o- and x-waves are separately circularly polarized, and the contribution of the longitudinal component of the electric field in the electromagnetic wave is insignificant.

1. Introduction

This work is devoted to the study of the features of the influence of the ionosphere on the propagation of P-band radio waves (430 MHz) and numerical simulation of the rotation of the polarization vector in the ionospheric plasma. The relevance of the work is determined by the problems of remote sensing of the Earth’s surface with space antennas with a synthesized aperture [1], as well as the problems of reconstructing the profile of the electron concentration of the ionospheric plasma by radio tomography methods [2,3]. In [4,5,6], we studied the influence of the ionosphere without considering the curvature of the Earth on the parameters of radio signals, the magnitude of the Faraday rotation angle and phase incursion. In particular, in [4], we considered a high-latitude daytime two-layer model of the Earth’s ionosphere, which does not contain local inhomogeneities. In [5,6], a high-latitude model of the Earth’s nighttime ionosphere and a mid-latitude model of the daytime ionosphere are considered. The influence of horizontal electron concentration gradients in the vicinity of the wave channel between the F and E layers was studied. However, the influence of local inhomogeneities was not considered in these works. In this paper, we consider spherical models of the ionosphere and possible large-scale inhomogeneities of the plasma along the propagation path of the radio signals. The paper compares two cases: when the vector of the magnetic field strength is in the plane perpendicular to the plane of propagation, and the case when this vector lies in the plane of propagation. Particular attention is paid to the study of the polarization coefficients, which was not carried out in previous work [4,5,6].
The P-band of electromagnetic waves, in contrast to the higher-frequency C-, S- and L-bands [7,8,9], is interesting in that it has an increased penetrating ability into vegetation, soil and snow covers and allows both surface and subsurface sounding. Aircraft SARs of the P-band are actively used in Russia, Germany, France, Sweden and other countries for the study of earth resources [10,11,12,13]. In Russia, a multifrequency polarimetric aviation radar complex “IMARK” [10] was created, consisting of four SARs, installed on a TU-134 aircraft and operating simultaneously in the X, L, P and VHF frequency bands. In Germany and France, RSA systems PolSAR and (Pol-)InSAR [11,12,13] are used, which are installed on relatively small aircraft. Much attention is paid to remote sensing in the P-band for studying soil moisture, biometric and moisture characteristics of forests, crops, sea ice, snow cover, etc. The P-band is highly informative for studying forests. A detailed analysis of the radar image shows the seasonal variability of the backward radar reflection, its dependence on the type and age of trees, the moisture regime of vegetation and forest canopy, biomass, etc.
When studying earth covers on a global scale, it is necessary to carry out radar sounding from platforms located in space. In the next few years, for the first time, space experiments (SE) with P-band SAR are planned: in Russia, the project was named “MKS-RSA (P)” [14,15], and in the European Space Agency (ESA), “BIOMASS” [16,17]. Difficulties in conducting FE in the P range are associated with the strong influence of the ionosphere during the passage of electromagnetic radiation [18,19]. In this sense, the ionosphere is a complex filter, and passing through it changes the amplitude, phase and polarization of electromagnetic waves. In addition, spatio-temporal inhomogeneities are observed in the ionosphere, and its characteristics depend on latitude and solar activity.
In an abbreviated form, the results of the work were presented at the 13th European Conference on Synthetic Aperture Radar (EUSAR-2021) [20].

2. Models of the Electron Concentration of the Ionosphere

Four models of electron concentration are considered (Figure 1a–d): an exponential model (1), a two-layer model (2), a two-layer model with local inhomogeneity with increased electron concentration (3) and a two-layer model with local inhomogeneity with reduced electron concentration (4). The distribution of the electron concentration in the ionosphere is shown in gray. Darker regions correspond to a higher electron concentration. Background values are shown so that one unit corresponds to 106 cm–3. Green indicates the surface of the Earth. These models are consistent with the daytime ionospheric plasma model (12 h) relative to the point with coordinates 40 degrees north latitude, 30 degrees east longitude. Disturbances in models 3 and 4 are located at the maximum of the F layer of the ionosphere.
To calculate the electron concentration in model 1, the following formula was used:
N = N 0 exp ρ z 0 z m 2 ,
where z0 = 280 km, zm = 140 km, N0 = 6.1 × 105 cm−3 and ρ is the distance from the Earth’s surface to the observation point along the ray connecting the center of the Earth with the observation point. z0 is the height of the ionospheric layer maximum, N0 is the value of the electron density at the ionospheric layer maximum and zm is the height distance from the layer maximum at which the electron density decreases by a factor of e.
To calculate the electron concentration in models 2, 3 and 4, a formula was used containing three exponentials and a perturbation as an additional term:
N = j = 1 3 N 0 j exp 1 2 1 ρ z 0 j z m j exp ρ z 0 j z m j + β N Δ ,
N Δ = N 0 exp x x Δ x m Δ 2 y y Δ y m Δ 2 ρ z Δ z T z m Δ 2 .
In Formula (2), z01 = 196 km, zm1 = 40 km, N01 = 7.025 104 cm−3; z02 = 263 km, zm2 = 55 km, N02 = 5.618 × 105 cm−3; and z03 = 108 km, zm3 = 12.5 km, N03 = 1.046 105 cm−3.
Parameters z01, z02 and z03 characterize the height of three ionospheric layers (F (F1, F2) and E), and parameters zm1, zm2 and zm3 characterize, to some extent, the width of each layer (Chapman layer). The values N01, N02 and N03 are the maximum values of the electron concentration for each layer.
The disturbance parameters were chosen as follows: xΔ = 700 km, yΔ = 0 km, zΔ = 300 km; xm = 50 km, ym = 50 km, zm = 30 km. The parameters xΔ, yΔ and zΔ describe the position of the center of inhomogeneity, and the parameters xm, ym and zm describe its size.
In z T = R z 2 + X T 2 R z , Rz is the Earth’s radius and XT = 700 km.
The parameter β shows the proportion of additional maximum ionization (or recombination) compared to the value of the electron density in the maximum of the ionospheric layer in model (1). If the parameter β = 0, we obtain model 2; if β = 0.2, we obtain model 3; if β = −0.2, we obtain model 4.
The ionospheric model (Formula (2)) is built based on experimental data [21]. They reflect the undisturbed state of the mid-latitude daytime ionosphere. Model (1) is constructed in such a way that the maximum and width of the maximum electron concentration of the layer F, obtained by Formulas (1) and (2), more or less coincide. Finally, the perturbation of the electron density (Formula (3)) is a “ball” located above the observation point (receiver) on the Earth’s surface at the maximum of the F layer.
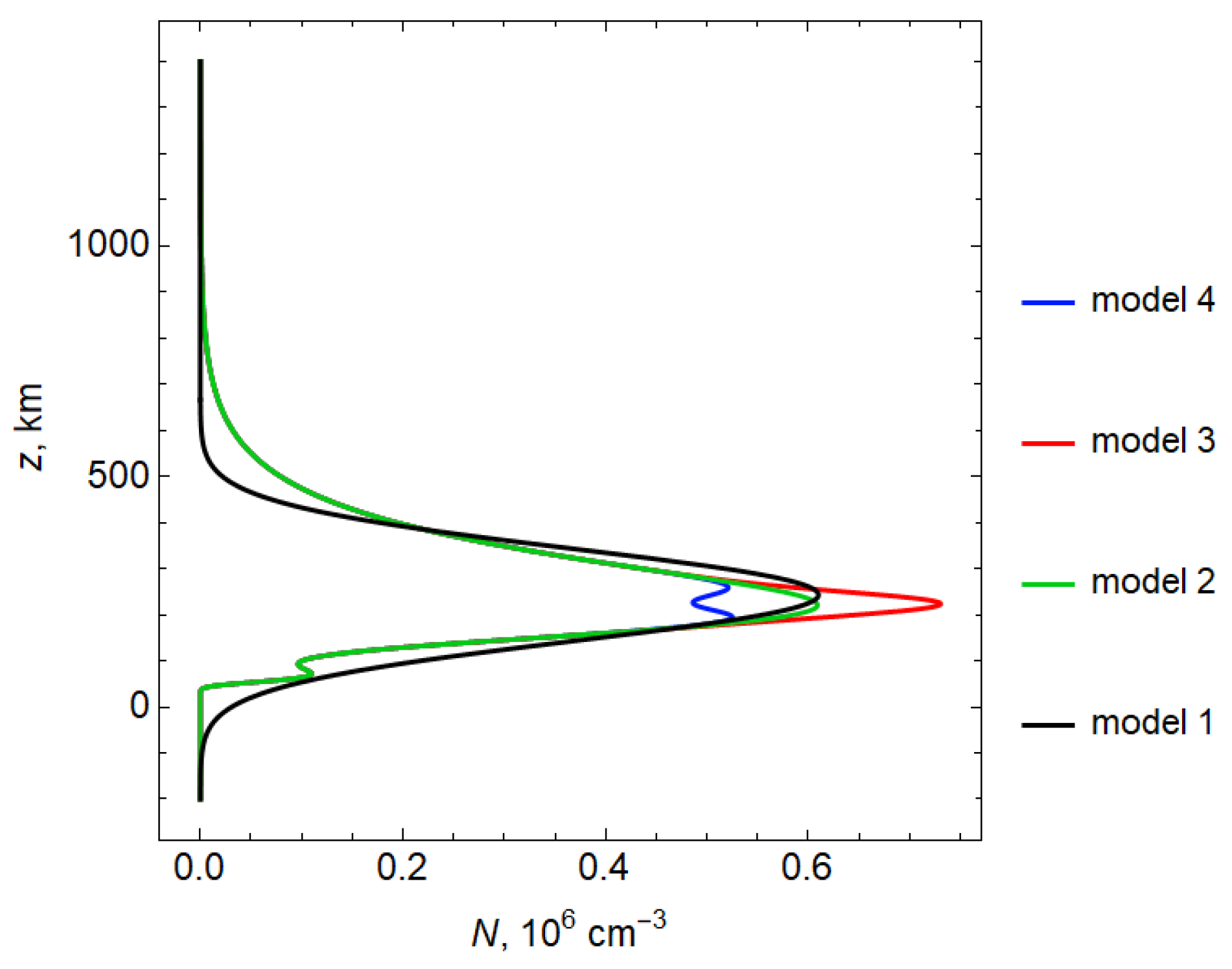
Figure 2 shows the dependence of the electron concentration on altitude for the observation point with the coordinate x = 700 km, relative to which all further calculations were carried out.
Here and in other figures, model 1 is represented in black, model 2 in green, model 3 in red and model 4 in blue. Exponential model 1 is chosen to correspond to two-layer model 2 in the vicinity of the maximum of the ionospheric layer F.

3. Calculation Methods

Let ω =f be the circular radiation frequency, f the working frequency, k the wave vector, r = ( x , y , z ) the coordinates of the observation point and t the group time. The Appleton–Hartree (Lassen) formula is valid for the effective dielectric constant [22,23]:
ε ± = 1 2 ν ( 1 ν ) 2 ( 1 ν ) u sin 2 θ ± u 2 sin 4 θ + 4 u ( 1 ν ) 2 cos 2 θ ,
where ν is the ratio of the square of the circular plasma frequency ωp to the square of the operating circular frequency ω,
ω p 2 = 4 π e 2 N / m e , ν = ω p 2 / ω 2 ,
and the parameter u is the ratio of the square of the gyromagnetic circular frequency ωH to the square of the circular frequency ω:
u = ω H / ω 2 = e 2 H 0 / m e c ω 2 .
In Formulas (5) and (6), e is the electron charge, me is the mass of the electron, n is the electron concentration at a fixed point and H0 is the magnitude of the strength of the Earth’s magnetic field. The “+” sign in Formula (4) corresponds to an ordinary wave, and the “−” sign corresponds to an extraordinary one.
Since the circular radiation frequency, the frequency in this problem, is much higher than the plasma frequency ωp, we assume that effective permittivity of the propagation medium has the form:
ε ( r , k , ω ) = 1 ω p / ω 2 .
To determine the ray paths in the work, a bicharacteristic system of equations [24,25,26]
d r d t = Γ k / Γ ω , d k d t = Γ r / Γ ω ,
with the Hamiltonian
Γ = k x 2 + k y 2 + k z 2 ω 2 c 2 ε ( r , k , ω ) ,
was used. The initial wave vector k ( 0 ) depends parametrically on the ray exit angle α0. c is the speed of light.
Performing differentiation in system (8), taking into account the Hamiltonian (9), we obtain:
d r d t = 2 c 2 k ω 2 ε k ω 2 ε ω 1 , d k d t = ω 2 ε r ω 2 ε ω 1 .

4. Ray Paths

The ray paths in the (x,z) plane calculated by the bicharacteristics method are shown in Figure 3. The rays with different exit angles are colored according to the spectrum of the rainbow. The radiation source is point-like, moves and is located above the maximum of the F2 layer at a distance of 400 km from the Earth’s surface. The angle of inclination of the rays from left to right varies from 150° to 30° relative to the positive direction of the horizontal axis. The receiver is located on the surface of the Earth at a distance = 700 km from the origin, as shown in the figure. Only those trajectories that come to the observation point are highlighted.
The quasi-parabolic dependence of group time of the radiation source on the coordinate x calculated using the bicharacteristic system (10) is shown in Figure 4.
Since the differences in time delays are small, visually, the curve shown in Figure 4 is the same for all four models.

5. Phase Variations

Consider the influence of the ionosphere on the phase variation along the ray. The derivative of the phase with respect to group time is determined by the formula [4,5,6,27]:
Φ o ( t ) = d x d t k x ( t ) + d y d t k y ( t ) + d z d t k z ( t ) ω = Φ ( t ) ω .
The dependence of the relative rate of phase change on height is shown in Figure 5a–d. In this figure and the following, the coloring of the lines corresponds to the coloring of the rays in Figure 3.
The shape of the curves is virtually independent of the orientation of the magnetic field. The minima of the curves with respect to the vertical axis correspond to the positions of the maxima of the ionospheric layers. In Figure 5a, there is one minimum, since model 1 is a single-layer model. In Figure 5b, corresponding to the two-layer model 2, an additional minimum appears below, the origin of which is explained by layer E, and a maximum that corresponds to the interlayer valley. The upper minimum corresponds to the F layer of the ionosphere.
In models 3 and 4, characteristic emission on the rays occurs in the region of the main maximum of the electron concentration (layer F2), where there is an inhomogeneity with an increased (model 3) or reduced (model 4) electron concentration. The rays passing through these inhomogeneities are shown in light green in Figure 5c,d.
Figure 6 shows the dependence of the phase deviation ΔΦ on the group time t at the signal receiving point. The phase deviation ΔΦ was found as Δ Φ = Φ ω R / c ,
Φ ( t ) = 0 t Φ ( η ) d η ,
where and ωR/c is the ray phase in the vacuum along the straight line connecting the source and receiver, and t is the signal delay (see Figure 4).
In the case of model 1 (black color), the dependence is linear. For the two-layer model 2 (green color), the curve is linear too, but shifted to the right. In the case of perturbed models, loops are formed at the end of the line, lying on opposite sides of the unperturbed line (model 3—red color, model 4—blue color). In all cases, the ionosphere makes a significant contribution to the magnitude of the phase.
Figure 7 shows the dependence of the phase deviation on the Cartesian horizontal coordinate x of the ray exit.
For the simplest model 1 and in the case of model 2, the curve has a quasi-parabolic shape (black color). In the case of a disturbance with a reduced electron concentration (model 4), an additional elevation appears on the curve, and in the case of a disturbance with a higher electron concentration (model 3), a small dip occurs. Thus, disturbances in the electron concentration in the vicinity of the main maximum of the ionospheric layer, in contrast to the lower layer E, lead to a violation of the expected monotonicity of the dependences ΔΦ(t) and ΔΦ(x), and can be recorded.
In Figure 8, the graphs of the dependence of the total electron concentration (TEC) on the x coordinate are shown. To calculate the TEC in TECU along the trajectories, the following formula was applied:
T E C = 10 12 0 t N ( r ) ( x η ) 2 + ( y η ) 2 + ( z η ) 2 d η ,
where η is the current time.
It can be seen that Figure 7 and Figure 8 have much in common. In both cases, the dependence is parabolic. However, the curves in Figure 7, corresponding to models 1 and 2, are convex upward, and for TEC (Figure 8), they are convex downward. As for the perturbed models 3 and 4, the effects of perturbations are opposite in nature. However, if we consider the moduli of these quantities, we can see that the absolute values for model 3 are increasing, and for model 4 they are decreasing. Thus, measurements of the total electron content along the beam make it possible to judge the effect of large-scale ionospheric irregularities on the phase deviation.

6. Faraday Rotation of the Plane of Polarization

The Faraday rotation of the plane of polarization can have a significant impact on the operation of space-based surface sensing systems with synthesized aperture radars. At a frequency of 420 MHz, we can assume that the ordinary and extraordinary waves propagate along the same radial path. Then, the angle of the Faraday rotation is determined by the formula (see [4,22,27,28]):
Ω ( t ) = ω 2 c 0 t Δ μ ( d x / d t ) 2 + ( d y / d t ) 2 + ( d z / d t ) 2 d t ,
where
Δ μ 1 2 ν u 2 sin 4 θ + 4 1 ν 2 u cos 2 θ 1 ν 1 u cos 2 θ u sin 2 θ ,
is the difference in the refractive indices of the ordinary and extraordinary waves.
In expression (15), θ is the angle between the vector of the external magnetic field strength H 0 and the wave vector k . If the medium is quasi-isotropic, then we can assume that
Ω ( t ) = 0.5 ω 0 t Δ μ ε ( r ( t ) ) d t .
In the calculations, it was assumed that the amplitude of the magnetic field is constant, and the orientation of the magnetic field relative to the local coordinate system is given by the angles γ and φ [4,5,6,27]: H0 = 0.465 Oe, γ = −57°, φ = 90° or 0°.
Figure 9, Figure 10, Figure 11 and Figure 12 show the dependences of the difference in the refractive indices of the ordinary and extraordinary wave Δμ on height z.
Figure 9a, Figure 10a, Figure 11a and Figure 12a correspond to the case when the field strength vector lies in the plane perpendicular to the propagation plane (φ = 90°), and Figure 9b, Figure 10b, Figure 11b and Figure 12b correspond to the case when the field strength vector lies in the plane, the very plane of propagation (φ = 0°). The behavior of the curves in Figure 9, Figure 10, Figure 11 and Figure 12 is similar to the behavior of the curves in Figure 5. The shape of each curve follows the electron concentration profile. In the perturbed case (Figure 11 and Figure 12), the behavior of part of the light green ray trajectories deviates from the general tendency characteristic of other rays: in model 3, they form the main strongly elongated maximum, and in the case of model 4, the light green rays form a minimum against the background of other rays.
Comparing Figure 9a,b, describing different orientations of the vector of the strength of the Earth’s magnetic field, we see that the main maximum is already formed by different groups of rays. For the case φ = 90°, these are light green, and for the case φ = 0°, they are yellow (see also Figure 3). This means that the maximum value of the difference in refractive indices Δμ has shifted from green to yellow rays propagating to the left.
Comparing Figure 10a,b, plotted for φ = 90° and φ = 0°, respectively, we see that there is a significant difference in the behavior of curves of the same color (and, therefore, with the same exit angles) in the vicinity of the lower layer E.
Comparing Figure 11a,b, it is easy to find that a change in the position of the strength of the Earth’s magnetic field relative to the plane of propagation leads to the splitting of the main maximum at φ = 0° (Figure 11b).
For model 4 (Figure 12a,b), it can be seen that after the transition from φ = 90° to φ = 0°, the local minimum in the vicinity of the maximum of the ionospheric layer forms no longer green rays but blue rays.
Thus, the value of the angle φ, and, consequently, the angle θ, which depends on the angle φ, significantly affects the difference between the refractive indices of the ordinary and extraordinary waves Δμ, and the square of the cosine of the angle θ is essential, since it is this value that is entered into Formula (15).
Figure 13a shows the dependence of the square of the cosine of the angle between the wave vector and the vector of the strength of the Earth’s magnetic field when this vector is in the plane perpendicular to the plane of propagation (φ = 90°).
All lines in Figure 13a are straight lines, since within the framework of the model, the angle θ retains its value along each ray. The range of values cos 2 θ does not include 0 and 1, which becomes clear if we recall the geometry of the problem. With this configuration, both quasi-longitudinal and quasi-transverse propagation are absent.
For comparison, Figure 13b shows the dependence on the height z in the case when this vector of the strength of the Earth’s magnetic field lies in the plane of propagation (φ = 0°).
The entire color spectrum is represented. When moving from the red to the violet region of the spectrum (from left to right in Figure 6), the value cos 2 θ first increases from 0.8 to unity (yellow lines), which means that the angle tends to zero (quasi-longitudinal propagation). Then, cos 2 θ begins to decrease, and for the violet rays, there is a quasi-transverse propagation (~90°).
Let us now consider the angle of rotation Ω of the plane of polarization (angle of Faraday rotation) on the surface of the Earth at the point of reception.
Figure 14a shows the dependence of the angle of the Faraday rotation Ω on group time at the point of signal reception for the angle φ = 90°. It should be noted that layer E practically does not affect the smoothness of the curve. This can be seen from a comparison of the black line (model 1) and the green line (model 2). However, local perturbations of the maximum layer (models 3 and 4) lead to significant deviations or “loops” on opposite sides of the green curve. Figure 14b shows the dependence of the Faraday rotation angle on the group time for the angle φ = 0°.
Comparing Figure 14a,b, it can be seen that in the latter case, the angle of rotation of the plane of polarization Ω reaches 85° (model 1), while for φ = 90°, it is almost twice as small (~45°, model 1).
On the other hand, if for the case φ = 90° (Figure 14a) the differences in the angle Ω for the disturbed models 3 and 4 from model 2 are significant (red and blue), then in the case of φ = 0°, these differences are hardly noticeable.
The dependence of the Faraday rotation angle Ω on the x coordinate is shown in Figure 15a in the case of φ = 90°. For a case φ = 0°, the dependence of the Faraday rotation angle on the x coordinate is shown in Figure 15b.
Unperturbed curves behave like smooth parabolas, and the effect of layer E is negligible (compare the black and green curves). Perturbations lead to deviations from the green curve, and in contrast to Figure 13, which shows the dependence of the phase difference ΔΦ on the horizontal distance, the region with increased electron concentration now creates a maximum (red line), and that with a lower one creates a minimum (blue line). In the case of case φ = 0°, deviations from the green curve caused by disturbances are much smaller (Figure 14b). With distance, the value of the Faraday rotation angle decreases (see also Figure 14b) and is equal to 0° when the angle is θ = 90° (x~1200 km).
Thus, we see that the value of the Faraday rotation angle significantly depends on the orientation of the path with respect to the Earth’s magnetic field [22].

7. Investigation of Polarization Coefficients

The relationships between the components of the electric field strength vector E along the ray path determine the polarization coefficients [22,23]. Let us introduce an additional coordinate system associated with the ray path. Let the component E1 of the electric field strength vector E of the wave be directed along the wave vector k , and the component E2 of the vector E lie in the plane formed by the vector of the strength of the Earth’s magnetic field H 0 and the wave vector. Then, the component E3 is orthogonal to the components E1 and E2 and forms a right-handed triple with them (Figure 16).
We denote
E 3 E 2 = R , R = i R o , R + = i R x .
The quantities R and R+ are the polarization coefficients of the ordinary and extra-ordinary waves. Since these are imaginary quantities, in what follows, we use their real analogues Ro and Rx, which we also call the polarization coefficients.
It is known from [22] that:
R = i 2 Y L Y T 2 1 ν Y T 4 ( 1 ν ) 2 + 4 Y L 2 .
In Formula (17), the “+” sign corresponds to an extraordinary wave, the “−” sign corresponds to an ordinary wave, and
Y L = u cos θ , Y T = u sin θ .
If the wave, for example, is linearly polarized, then it can be decomposed into two components, an ordinary wave (o-wave) and an extraordinary wave (x-wave), and each wave will have its own polarization coefficient.
Figure 17 shows the polarization coefficient for the cases φ = 90° and φ = 0°. The distribution of the electron concentration for model 4 and a distance of 700 km along the x axis was chosen as a background.
For all rays, these are straight lines, and in Figure 17a, half of the spectrum obscures the other. For φ = 90°, all values are grouped near −1, which indicates that the o-wave has an almost circular polarization [22].
Let us now consider the case when φ = 0°. Here, we have two limiting cases: Ro =−1 and Ro = 1 (Figure 17b). There are still many rays in the vicinity of Ro = −1 (see Figure 17c, which is a fragment of Figure 17b). There are few rays in the vicinity of Ro = 1. These are violet rays and therefore correspond to an angle θ close to 90°. The area between Ro = −1 and Ro = 1 is generally poorly filled. Hence, it follows that the range of values of the angles of exit of the rays, for which the ordinary wave has an elliptical polarization, significantly different from the circular one, is small and can hardly be recorded experimentally at these frequencies.
Similar reasoning can be applied to an extraordinary wave. Figure 18 shows the polarization coefficient for the cases φ = 90° and φ = 0°.
Figure 18a shows the polarization factor for the case of φ = 90°. It looks like Figure 17a, with the only difference being that now the rays are grouped in the vicinity of not −1, but 1.
Figure 18b shows the polarization factor for the case φ = 0°. This figure is symmetrical with respect to Figure 17b. Now, the lines are grouped mainly in the vicinity of Rx = 1 (see the fragment in Figure 18c), and in the vicinity of Rx = −1, we see two lonely lines. Thus, it is easy to verify that the same conclusions are valid for an extraordinary wave as for an ordinary one: with the exception of a small region, the wave has practically circular polarization.
It is known that R R + = 1 (see [22]), which is confirmed by direct calculations. This is easy to verify by comparing Figure 17 and Figure 18.
In addition to the transverse field components E in the electromagnetic wave, there is also a longitudinal component; that is, the plane of polarization is somewhat inclined.
The ratio of the longitudinal electric component of the wave field to the transverse one determines the ratio Formula (20) [22]:
E 1 E 2 = tg ψ o , x = R o , x Y T 1 ν 1 ε ± .
Numerical calculations are shown in Figure 19, Figure 20, Figure 21 and Figure 22. The calculation results depend on the type of model.
Consider first the value tan ψ 0 for an ordinary wave. The dependence tan ψ 0 on the height z along the rays for model 1 is shown in Figure 19a in the case of φ = 90° and in Figure 19b in the case of φ = 0°.
We see that in Figure 19a, the families of curves form two “petals” (see Figure 13a), since the angle θ first decreases, reaches its limiting value and then begins to increase. The asymmetry of the right and left petals is related to the geometry of the problem. Each curve has one extremum because model 1 is a one-layer exponential model.
Let us compare Figure 19a,b. In Figure 19b, most of the rays form a single family, and only two violet rays, for which the angle θ is close to 90°, stand out from the crowd.
Figure 20a,b show the dependences tan ψ o on the height z along the rays for the two-layer model 2. The case φ = 90° is shown in Figure 20a, and the case φ = 0° in Figure 20b.
In contrast to model 1, the figures show two extremums: the upper one corresponds to the F layer, and the lower one to the E layer. It should be noted that in Figure 20a,b, the rays merge into one line at an altitude of about 40 km, while those in Figure 19a,b do not. The reason is that the electron concentration in model 2 decreases much faster when approaching the Earth than in model 1 (see Figure 5).
Figure 21a,b shows the dependences tan ψ o on the height z along the rays for the two-layer model 3, which contains an inhomogeneity with an increased electron concentration at the maximum of the ionospheric layer. A comparison of Figure 20a,b Figure 21a,b, and Figure 21b shows that the differences are insignificant, but they exist. Green lines in Figure 21a form a bulge that is absent in the analogous curves in Figure 20a. The blue curves also differ. In Figure 21b, the blue curves form a thickening area that is absent in Figure 20b.
More significant differences are observed between model 2 and model 4, which contains an inhomogeneity with a lowered electron concentration at the maximum of the ionospheric layer. Comparing Figure 20a and Figure 22a, we see that the blue and green rays have significant bulges, and in Figure 22b, the area of thickening of green rays is clearly visible, which is absent in Figure 20b.
Similar calculations performed by us for the dependence tan ψ x on height in the case of φ = 90° and φ = 0° showed, as one would expect, that the resulting graphs are symmetrical about the vertical axis compared to Figure 19, Figure 20, Figure 21 and Figure 22 calculated for tan ψ o .
It follows from all the figures that the value of the longitudinal component of the electric field is small.

8. Conclusions

Using the bicharacteristics method, we considered the features of the influence of the Earth’s ionosphere on the propagation of P-band radio waves (430 MHz). Four spherical models were compared: a single-layer model of the ionosphere without disturbances, a two-layer model of the ionosphere without disturbances, a two-layer model with local formation with increased electron concentration in the vicinity of the maximum of the F2 layer and a two-layer model with local formation with lowered electron concentration in the vicinity of the maximum of the F2 layer. The values of phase variations and the angle of the Faraday rotation of the plane of polarization, arising due to the influence of the ionosphere, were determined. We have established that the angle of the Faraday rotation in the case of a spherical model of the daytime mid-latitude ionosphere can reach 40°. The value of the Faraday rotation angle essentially depends on the orientation of the trajectory and the magnitude and direction of the Earth’s magnetic field, and the estimation of this value cannot be reduced to the calculation of the total electron density. It is also extremely important to estimate the phase deviation of the hundreds of radians component. Thus, when processing the SAR results, it is necessary to consider the influence of the ionosphere at least at the level of the IRI model [29,30,31], which is currently the main tool for predicting the parameters of the Earth’s ionospheric plasma. There are models based on the consideration of physical processes occurring in the atmosphere of the type TIEGCM [32] and SAMI3 [33]. However, at present, for the problems under consideration, it is more expedient to use adaptive models of the type IRTAM [34] and NequickG [35].
It should be noted that although, as shown by our calculations, the contribution of local inhomogeneities is relatively small, it reaches several degrees and cannot be taken into account using preliminary modeling. Therefore, space experiments in the P-band should be carried out simultaneously with the restoration of ionospheric parameters along the path in real time, such as with the method of radiotomography. On the other hand, the analysis of polarization coefficients showed that many problems are removed if circular polarization is used in the experiment, although the problem of phase deviation remains.

Author Contributions

Conceptualization, B.G.K. and A.S.K.; methodology, A.S.K.; software, A.S.K. and D.V.R.; validation, B.G.K. and V.I.S.; investigation, B.G.K. and A.S.K.; resources, V.I.S.; data curation, B.G.K.; writing—original draft preparation, A.S.K.; writing—review and editing, B.G.K. and D.V.R.; visualization, A.S.K.; supervision, B.G.K.; project administration, D.V.R.; funding acquisition, V.I.S. All authors have read and agreed to the published version of the manuscript.

Funding

This research received no external funding.

Data Availability Statement

The study did not report any data.

Acknowledgments

The materials of this work were reported in an abridged form at the 13th European Conference on Synthetic Aperture Radar [20] in 2021.

Conflicts of Interest

The authors declare no conflict of interest.

References

  1. Kutuza, B.G.; Kalinkevitch, A.A.; Ephimov, A.I.; Vostrov, E.A.; Dzenkevitch, A.B. Application of SAR Operating at P-band for Space Experiments. In Proceedings of the EUSAR’96, Konigswinter, Germany, 26–28 March 1996; pp. 309–313. [Google Scholar]
  2. Andreeva, E.S.; Frolov, V.L.; Kunitsyn, V.E.; Kryukovskii, A.S.; Lukin, D.S.; Nazarenko, M.O.; Padokhin, A.M. Radiotomography and HF ray tracing of the artificially disturbed ionosphere above the Sura heating facility. Radio Sci. 2016, 51, 638–644. [Google Scholar] [CrossRef]
  3. Franke, S.J.; Yeh, K.C.; Andreeva, E.S.; Kunitsyn, V.E. A study of the equatorial anomaly ionosphere using tomographic images. Radio Sci. 2003, 38, 1011–1020. [Google Scholar] [CrossRef]
  4. Kutuza, B.G.; Bova, Y.I.; Kryukovsky, A.S.; Stasevich, V.I. Features of the Influence of the Earth‘s Ionosphere on the P-Band Propagation. In Proceedings of the 12th European Conference on Synthetic Aperture Radar—EUSAR 2018, Aachen, Germany, 4–7 June 2018; pp. 806–809. [Google Scholar]
  5. Bova, Y.I.; Kryukovsky, A.S.; Kutuza, B.G.; Lukin, D.S.; Stasevich, V.I. Investigation of the influence of the ionosphere on the propagation of electromagnetic waves of the P-band. Phys. Found. Instrum. 2018, 7, 54–61. [Google Scholar] [CrossRef]
  6. Bova, Y.I.; Kryukovskii, A.S.; Kutuza, B.G.; Lukin, D.S. Investigation of the Influence of the Earth Io-nosphere on the Radio Wave Propagation in the High-Frequency Range. J. Commun. Technol. Electron. 2019, 64, 740–746. [Google Scholar] [CrossRef]
  7. Klobuchar, J.A. Ionospheric time-delay algorithm for single-frequency GPS users. IEEE Trans. Aerosp. Electron. Syst. 1987, AES-23, 325–331. [Google Scholar] [CrossRef]
  8. Prieto-Cerdeira, R.; Pérez, R.O.; Breeuwer, E.; Lucas-Rodriguez, R.; Falcone, M. Performance of the Galileo single-frequency ionospheric correction during in-orbit validation. GPSworld 2014, 25, 53–58. Available online: https://www.researchgate.net/publication/265039815 (accessed on 20 October 2022).
  9. Yuan, Y.; Wang, N.; Li, Z.; Huo, X. The BeiDou Global Broadcast Ionospheric Delay Correction Model (BDGIM) and Its Preliminary Performance Evaluation Results. Navigation 2019, 66, 55–69. [Google Scholar] [CrossRef]
  10. IMARK—Multi-Frequency Airborne Polarimetric Radar System Operating on Board of TU-134A Flying Laboratory for Remote Observations of the Earth’s Surface; Moscow Scientific Research Institute for Instrument Engineering, MNIIP/VEGA-M Corporation: Moscow, Russia, 1998; 8p.
  11. Frey, O.; Morsdorf, F.; Meier, E. Tomographic imaging of a forested area by airborne multi-baseline P-band SAR. Sensors 2008, 8, 5884–5896. [Google Scholar] [CrossRef]
  12. Frey, O.; Meier, E. 3-D Time-Domain SAR Imaging of Forest Using Airborn Multibaseline Data at L- and P-Bands. IEEE Trans. Geosci. Remote Sens. 2011, 49, 3660–3664. [Google Scholar] [CrossRef]
  13. Garestier, F.; Le Toan, T. Estimation of the Backscatter Vertical Profile of a Pine Forest Using Single Baseline P-Band (Pol-)InSar Data. IEEE Trans. Geosci. Remote Sens. 2010, 48, 3340–3348. [Google Scholar] [CrossRef]
  14. Kutuza, B.; Kalinkevich, A.; Zakharov, A.; Stasevich, V.; Smirnov, Y. Space experiment on the International Space Station with P-band SAR. In EUSAR 2014, Proceedings of the 10th European Conference on Synthetic Aperture Radar, Berlin, Germany, 2–6 June 2014; VDE: Berlin, Germany; pp. 1345–1348. ISBN 978-3-8007-3607-2/2197-4403.
  15. Kutuza, B.; Kalinkevich, A.; Zakharov, A.; Stasevich, V.; Smirnov, Y.; Turukm, V. Perspective of Utilization of the Spaceborne P-Band SAR Together with L/S-Band SAR. In Proceedings of the EUSAR 2016: 11th European Conference on Synthetic Aperture Radar, Hamburg, Germany, 6–9 June 2016; pp. 296–299. [Google Scholar]
  16. Le Toan, T.; Quegan, S.; Davidson, M.W.J.; Balzter, H.; Paillou, P.; Papathanassiou, K.; Plummer, S.; Rocca, F.; Saatchi, S.; Shugart, H.; et al. The BIOMASS Mission: Mapping global forest biomass to better understand the terrestrial carbon cycle. Remote Sens. Environ. 2010, 115, 2850–2860. [Google Scholar] [CrossRef]
  17. Fuegen, T.; Sperlich, E.; Heer, C.; Warren, C.; Carbone, A.; Heliere, F. Development Status of the Biomass SAR Instrument. In Proceedings of the European Conference on Synthetic Aperture Radar, Online, 29 March–1 April 2021. [Google Scholar]
  18. Gracheva, V.; Kim, J.; Prats, P.; Rodriguez-Cassola, M.; Papathanassiou, K. Combined Estimation of Ionospheric Scintillations in SAR Images exploiting Faraday Rotation and Autofocus for the Biomass Mission. In Proceedings of the European Conference on Synthetic Aperture Radar, Online, 29 March–1 April 2021; pp. 902–907. [Google Scholar]
  19. Kutuza, B.; Moshkov, A.; Pozhidaev, V. Combined Method for Estimation the Angle of Faraday Rotation when Processing Data from the Onboard P-band SAR. In Proceedings of the 11th European Conference on Synthetic Aperture Radar (EUSAR 2016), Hamburg, Germany, 6–9 June 2016; pp. 1203–1206. [Google Scholar]
  20. Bova, Y.I.; Kryukovsky, A.S.; Kutuza, B.G.; Stasevich, V.I. The influence of ionospheric inhomogeneities on remote sensing of the Earth from space. In Proceedings of the 13th European Conference on Synthetic Aperture Radar–EUSAR-2021, Leipzig, Germany, 29 March–1 April 2021; pp. 902–907. [Google Scholar]
  21. GOST 25645.146-89 Earth’s Ionosphere; Model of Global Distribution of Concentration, Temperature, and Effective Frequency of Electron Collisions. Part 1. Tables of Parameters. USSR State Committee for Standards: Moscow, USSR, 1990. Available online: http://www.gostrf.com/normadata/1/4294828/4294828794.pdf (accessed on 20 October 2022).
  22. Davies, K. Ionospheric Radio Waves; Blaisdell Pub. Co.: London, UK, 1969. [Google Scholar]
  23. Ginzburg, V.L. Propagation of Electromagnetic Waves in Plasma; Nauka: Moscow, Russia, 1967; 685p. [Google Scholar]
  24. Kryukovskii, A.S.; Lukin, D.S.; Kir’yanova, K.S. Method of extended bicharacteristic system in simulating wave propagation in ionospheric plasma. J. Commun. Technol. Electron. 2012, 57, 1039–1045. [Google Scholar] [CrossRef]
  25. Kryukovskii, A.S.; Lukin, D.S.; Rastyagaev, D.V.; Skvortsova, Y.I. Mathematical simulation of propagation of frequency-modulated radio waves in ionospheric plasma. J. Commun. Technol. Electron. 2015, 60, 1049–1057. [Google Scholar] [CrossRef]
  26. Kazantsev, A.N.; Lukin, D.S.; Spiridonov, Y.G. A method for studying the propagation of radio waves in an inhomogeneous magnetoactive ionosphere. Space Res. 1967, 5, 593–600. [Google Scholar]
  27. Kryukovsky, A.S.; Lukin, D.S.; Bova, Y.I.; Rastyagaev, D.V.; Kutuza, B.G. Study of the effect of the equatorial ionosphere anomaly on the polarizing characteristics of HF radio waves. In Proceedings of the 2021 Systems of Signals Generating and Processing in the Field of on Board Communications Conference Proceedings, Moscow, Russia, 16–18 March 2021; p. 9415981. [Google Scholar]
  28. Kutuza, B.G.; Moshkov, A.V. Influence of the Faraday rotation of the plane of polarization in the ionosphere when measuring their space radio emission from the ocean surface. Res. Earth Space 1988, 5, 94–98. [Google Scholar]
  29. Bova, Y.I.; Kryukovsky, A.S.; Lukin, D.S. Propagation of Frequency-Modulated Electromagnetic Radiation in the Earth’s Ionosphere with Allowance for Absorption and the External Magnetic Field. J. Commun. Technol. Electron. 2019, 64, 1–12. [Google Scholar] [CrossRef]
  30. Kryukovskii, A.S.; Kurkin, V.I.; Laryunin, O.A.; Lukin, D.S.; Podlesnyi, A.V.; Rastyagaev, D.V.; Chernyak, Y.M. Numerical modeling of amplitude maps for the corrected iri-2012 model with smooth ionospheric disturbances. J. Commun. Technol. Electron. 2016, 61, 920–925. [Google Scholar] [CrossRef]
  31. Ipatov, E.B.; Kryukovskii, A.S.; Lukin, D.S.; Palkin, E.A.; Rastyagaev, D.V. Methods of simulation of electromagnetic wave propagation in the ionosphere with allowance for the distributions of the electron concentration and the Earth’s magnetic field. J. Commun. Technol. Electron. 2014, 59, 1341–1348. [Google Scholar] [CrossRef]
  32. Roble, R.G.; Ridley, E.C.; Richmond, A.D.; Dickinson, R.E. A coupled thermosphere/ionosphere general circulation model. Geophys. Res. Lett. 1988, 15, 1325–1328. [Google Scholar] [CrossRef]
  33. Huba, J.D.; Liu, H.-L. Global modeling of equatorial spread F with SAMI3/WACCM-X. Geophys. Res. Lett. 2020, 47, e2020GL088258. [Google Scholar] [CrossRef]
  34. IRI Real-Time Assimilative Mapping (IRTAM). IRI Real-Time Assimilative Mapping (IRTAM) (uml.edu). Available online: https://giro.uml.edu/IRTAM/ (accessed on 20 October 2022).
  35. Montenbruck, O.; Rodríguez, B.G. NeQuick-G performance assessment for space applications. GPS Solut. 2020, 24, 13. [Google Scholar] [CrossRef]
Figure 1. Four models of electron concentration: (a) exponential model; (b) two-layer model; (c) model with local inhomogeneity with increased electron concentration; (d) model with local inhomogeneity with reduced electron concentration.
Figure 1. Four models of electron concentration: (a) exponential model; (b) two-layer model; (c) model with local inhomogeneity with increased electron concentration; (d) model with local inhomogeneity with reduced electron concentration.
Remotesensing 14 05469 g001
Figure 2. Dependence of electron concentration on height along the z axis.
Figure 2. Dependence of electron concentration on height along the z axis.
Remotesensing 14 05469 g002
Figure 3. Ray paths against the background of the profile of the electron concentration of the ionosphere.
Figure 3. Ray paths against the background of the profile of the electron concentration of the ionosphere.
Remotesensing 14 05469 g003
Figure 4. Dependence of group time t on the x-coordinate of the ray output.
Figure 4. Dependence of group time t on the x-coordinate of the ray output.
Remotesensing 14 05469 g004
Figure 5. The dependence of the relative rate of phase change on height: (a) model 1; (b) model 2; (c) model 3; (d) model 4.
Figure 5. The dependence of the relative rate of phase change on height: (a) model 1; (b) model 2; (c) model 3; (d) model 4.
Remotesensing 14 05469 g005
Figure 6. The dependence of the phase deviation ΔΦ on the group time t.
Figure 6. The dependence of the phase deviation ΔΦ on the group time t.
Remotesensing 14 05469 g006
Figure 7. The dependence of the phase deviation ΔΦ on the horizontal distance x.
Figure 7. The dependence of the phase deviation ΔΦ on the horizontal distance x.
Remotesensing 14 05469 g007
Figure 8. The dependence of TEC on the horizontal distance x.
Figure 8. The dependence of TEC on the horizontal distance x.
Remotesensing 14 05469 g008
Figure 9. Dependence of the difference in the refractive indices Δμ on the height along the rays, model 1: (a) φ = 90°; (b) φ = 0°.
Figure 9. Dependence of the difference in the refractive indices Δμ on the height along the rays, model 1: (a) φ = 90°; (b) φ = 0°.
Remotesensing 14 05469 g009
Figure 10. Dependence of the difference in the refractive indices Δμ on the height along the rays, model 2: (a) φ = 90°; (b) φ = 0°.
Figure 10. Dependence of the difference in the refractive indices Δμ on the height along the rays, model 2: (a) φ = 90°; (b) φ = 0°.
Remotesensing 14 05469 g010
Figure 11. Dependence of the difference in the refractive indices Δμ on the height along the rays, model 3: (a) φ = 90°; (b) φ = 0°.
Figure 11. Dependence of the difference in the refractive indices Δμ on the height along the rays, model 3: (a) φ = 90°; (b) φ = 0°.
Remotesensing 14 05469 g011
Figure 12. Dependence of the difference in the refractive indices Δμ on the height along the rays, model 4: (a) φ = 90°; (b) φ = 0°.
Figure 12. Dependence of the difference in the refractive indices Δμ on the height along the rays, model 4: (a) φ = 90°; (b) φ = 0°.
Remotesensing 14 05469 g012
Figure 13. Dependence of cos 2 θ on the height z: (a) φ = 90°; (b) φ = 0°.
Figure 13. Dependence of cos 2 θ on the height z: (a) φ = 90°; (b) φ = 0°.
Remotesensing 14 05469 g013
Figure 14. The dependence of the angle of the Faraday rotation Ω on the group time t: (a) φ = 90°; (b) φ = 0°.
Figure 14. The dependence of the angle of the Faraday rotation Ω on the group time t: (a) φ = 90°; (b) φ = 0°.
Remotesensing 14 05469 g014
Figure 15. The dependence of the angle of the Faraday rotation Ω on the horizontal distance x: (a) φ = 90°; (b) φ = 0°.
Figure 15. The dependence of the angle of the Faraday rotation Ω on the horizontal distance x: (a) φ = 90°; (b) φ = 0°.
Remotesensing 14 05469 g015
Figure 16. The additional coordinate system associated with the ray path.
Figure 16. The additional coordinate system associated with the ray path.
Remotesensing 14 05469 g016
Figure 17. Dependence of the polarization coefficient Ro on the height z: (a) φ = 90°; (b) φ = 0°; (c) φ = 0° (fragment).
Figure 17. Dependence of the polarization coefficient Ro on the height z: (a) φ = 90°; (b) φ = 0°; (c) φ = 0° (fragment).
Remotesensing 14 05469 g017
Figure 18. Dependence of the polarization coefficient Rx on the height z: (a) φ = 90°; (b) φ = 0°; (c) φ = 0° (fragment).
Figure 18. Dependence of the polarization coefficient Rx on the height z: (a) φ = 90°; (b) φ = 0°; (c) φ = 0° (fragment).
Remotesensing 14 05469 g018
Figure 19. The dependence of tan ψ 0 on the height z, model 1: (a) φ = 90°; (b) φ = 0°.
Figure 19. The dependence of tan ψ 0 on the height z, model 1: (a) φ = 90°; (b) φ = 0°.
Remotesensing 14 05469 g019
Figure 20. The dependence of tan ψ 0 on the height z, model 2: (a) φ = 90°; (b) φ = 0°.
Figure 20. The dependence of tan ψ 0 on the height z, model 2: (a) φ = 90°; (b) φ = 0°.
Remotesensing 14 05469 g020
Figure 21. The dependence of tan ψ 0 on the height z, model 3: (a) φ = 90°; (b) φ = 0°.
Figure 21. The dependence of tan ψ 0 on the height z, model 3: (a) φ = 90°; (b) φ = 0°.
Remotesensing 14 05469 g021
Figure 22. The dependence of tan ψ 0 on the height z, model 4: (a) φ = 90°; (b) φ = 0°.
Figure 22. The dependence of tan ψ 0 on the height z, model 4: (a) φ = 90°; (b) φ = 0°.
Remotesensing 14 05469 g022
Publisher’s Note: MDPI stays neutral with regard to jurisdictional claims in published maps and institutional affiliations.

Share and Cite

MDPI and ACS Style

Kryukovsky, A.S.; Kutuza, B.G.; Stasevich, V.I.; Rastyagaev, D.V. Ionospheric Inhomogeneities and Their Influences on the Earth’s Remote Sensing from Space. Remote Sens. 2022, 14, 5469. https://doi.org/10.3390/rs14215469

AMA Style

Kryukovsky AS, Kutuza BG, Stasevich VI, Rastyagaev DV. Ionospheric Inhomogeneities and Their Influences on the Earth’s Remote Sensing from Space. Remote Sensing. 2022; 14(21):5469. https://doi.org/10.3390/rs14215469

Chicago/Turabian Style

Kryukovsky, Andrew S., Boris G. Kutuza, Vladimir I. Stasevich, and Dmitry V. Rastyagaev. 2022. "Ionospheric Inhomogeneities and Their Influences on the Earth’s Remote Sensing from Space" Remote Sensing 14, no. 21: 5469. https://doi.org/10.3390/rs14215469

APA Style

Kryukovsky, A. S., Kutuza, B. G., Stasevich, V. I., & Rastyagaev, D. V. (2022). Ionospheric Inhomogeneities and Their Influences on the Earth’s Remote Sensing from Space. Remote Sensing, 14(21), 5469. https://doi.org/10.3390/rs14215469

Note that from the first issue of 2016, this journal uses article numbers instead of page numbers. See further details here.

Article Metrics

Back to TopTop