Are Climate-Dependent Impacts of Soil Constraints on Crop Growth Evident in Remote-Sensing Data?
Abstract
1. Introduction
- How does the spatial pattern of a remote-sensing-based growth index within fields differ between years, and is it related to in-crop rainfall?
- Does the within-field pattern of average EVI in dry and wet years correlate with the spatial variation of soil constraints expected to have the most impact in these years?
2. Materials and Methods
2.1. Study Area
2.2. Datasets and Pre-Processing
2.2.1. Satellite Data
2.2.2. Climate Data
2.2.3. Soil Constraint Data
2.3. Initial Data Processing Methods
2.3.1. Detecting Years to Be Included in the Ensuing Analysis
2.3.2. Calculating an Index to Represent the Spatial Variation of Crop Yield for Each Year
2.3.3. Determining In-Crop Rainfall
2.4. Statistical Analysis Methods
2.4.1. Assessing Relative Growth Index Consistency within a Certain Climate Year Classification
2.4.2. Comparing Remote-Sensing Data with Data on Soil Constraints
3. Results
3.1. Cropped Years and Climate Classifications for Each Field
3.2. Concistency Analysis
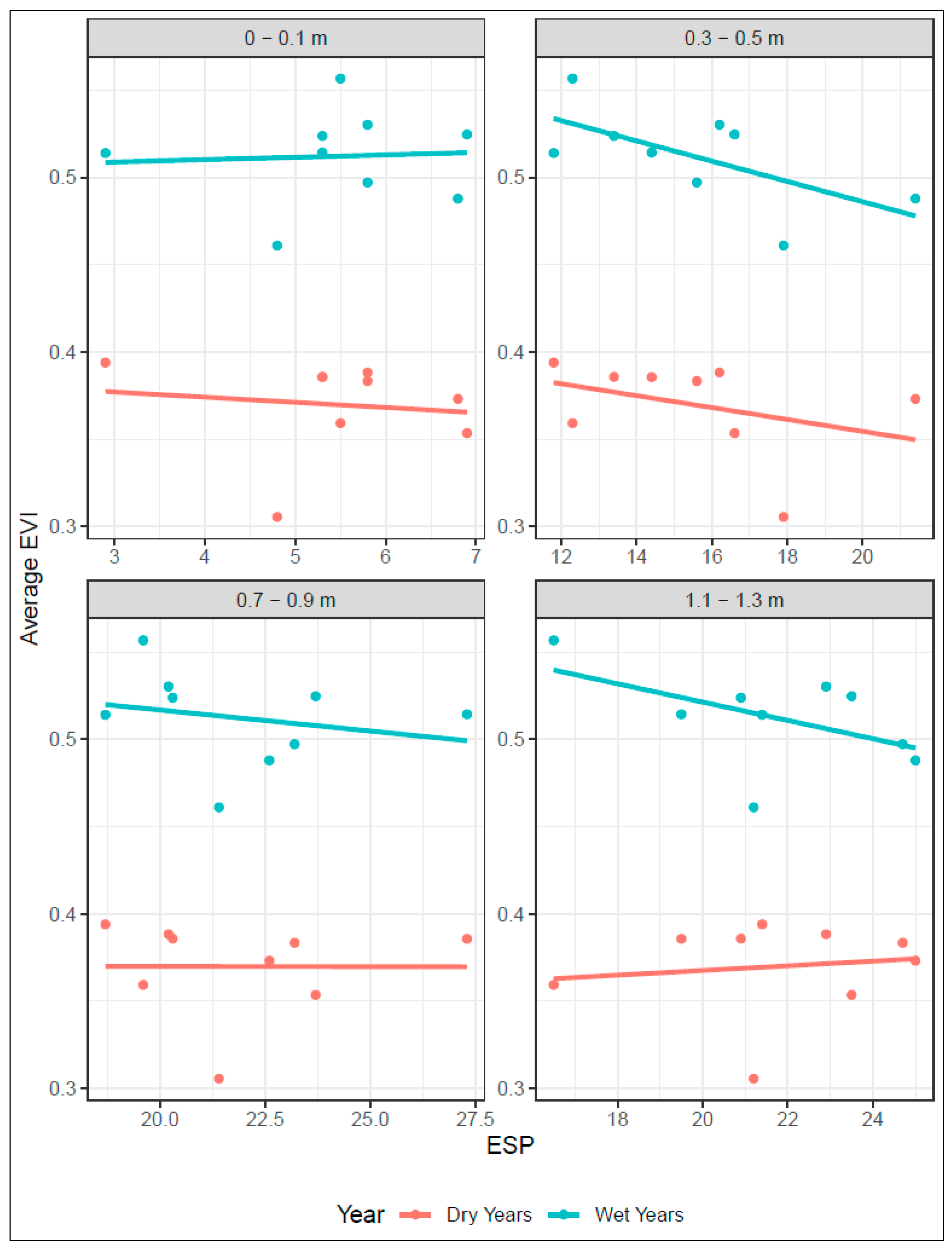
3.3. Analysis with Soil Constraint Data
4. Discussion
5. Conclusions
Author Contributions
Funding
Data Availability Statement
Acknowledgments
Conflicts of Interest
Appendix A
| Fields | ICR | ICR Bootstrap 95% Percentile | ||||
|---|---|---|---|---|---|---|
| Dry | Moderate | Wet | Dry | Moderate | Wet | |
| Field 1 | 22.73 (5) | NA (2) | 53.03 (9) | 37.12 | NA | 43.18 |
| Field 2 | 23.94 (4) | 27.13 (3) | 46.28 (9) | 40.43 | 35.64 | 52.13 |
| Field 3 | 75.26 (3) | 73.84 (5) | NA (1) | 82.29 | 89.74 | NA |
| Field 4 | NA (2) | 7.11 (3) | 47.25 (9) | 23.65 | 38.39 | 54.98 |
| Field 5 | 45.17 (8) | NA (1) | NA (1) | 47.06 | NA | NA |
Appendix B

Appendix C
| Fields | Dry | Moderate | Wet | Bootstrap 95% Percentile |
|---|---|---|---|---|
| Field 1 | 20.83 | 18.94 | 40.91 | 39.03 |
| Field 2 | 34.58 | 24.47 | 23.40 | 43.62 |
| Field 3 | 75.26 | 47.49 | 71.83 | 82.29 |
| Field 4 | 34.09 | 20.10 | 17.07 | 41.09 |
| Field 5 | 27.71 | 13.92 | 12.57 | 36.64 |
References
- Weil, R.R.; Brady, N.C. The Nature and Properties of Soils, Global Edition, 15th ed.; Pearson Education Limited: London, UK, 2017. [Google Scholar]
- Yuan, W.; Zheng, Y.; Piao, S.; Ciais, P.; Lombardozzi, D.; Wang, Y.; Ryu, Y.; Chen, G.; Dong, W.; Hu, Z.; et al. Increased atmospheric vapor pressure deficit reduces global vegetation growth. Sci. Adv. 2019, 5, 1–13. [Google Scholar] [CrossRef] [PubMed]
- Tang, C.; Asseng, S.; Diatloff, E.; Rengel, Z. Modelling yield losses of aluminium-resistant and aluminium-sensitive wheat due to subsurface soil acidity: Effects of rainfall, liming and nitrogen application. Plant Soil 2003, 254, 349–360. [Google Scholar] [CrossRef]
- SalCon. Salinity Management Handbook; Queensland Departement of Natural Resources and Mines, Indooroopilly, Qld: Brisbane, Australia, 1997. [Google Scholar]
- Page, K.L.; Dalal, R.C.; Wehr, J.B.; Dang, Y.P.; Kopittke, P.M.; Kirchhof, G.; Fujinuma, R.; Menzies, N.W. Management of the major chemical soil constraints affecting yields in the grain growing region of Queensland and New South Wales, Australia—A review. Soil Res. 2018, 56, 765. [Google Scholar] [CrossRef]
- Shaw, R.J. Soil Salinity—Electrical Conductivity and Chloride. In Soil Analysis: An Interpretation Manual; Peverill, K.I., Sparrow, L.A., Reuter, D.J., Eds.; CSIRO Publishing: Collingwood, Australia, 1999. [Google Scholar]
- Dang, Y.P.; Dalal, R.C.; Routley, R.; Schwenke, G.D.; Daniells, I.G. Subsoil constraints to grain production in the cropping soils of the north-eastern region of Australia: An overview. Aust. J. Exp. Agric. 2006, 46, 19–35. [Google Scholar] [CrossRef]
- Sheldon, A.R.; Dalal, R.C.; Kirchhof, G.; Kopittke, P.M.; Menzies, N.W. The effect of salinity on plant-available water. Plant Soil 2017, 418, 477–491. [Google Scholar] [CrossRef]
- Dang, Y.P.; Dalal, R.C.; Buck, S.R.; Harms, B.; Kelly, R.; Hochman, Z.; Schwenke, G.D.; Biggs, A.J.W.; Ferguson, N.J.; Norrish, S. Diagnosis, extent, impacts, and management of subsoil constraints in the northern grains cropping region of Australia. Aust. J. Soil Res. 2010, 48, 105–119. [Google Scholar] [CrossRef]
- Rodriguez, D.; Nuttall, J.; Sadras, V.O.; Rees, H.V.; Armstrong, R. Impact of subsoil constraints on wheat yield and gross margin on fine-textured soils of the southern Victorian Mallee. Aust. J. Agric. Res. 2006, 57, 355–365. [Google Scholar] [CrossRef][Green Version]
- Cai, Y.; Guan, K.; Peng, J.; Wang, S.; Seifert, C.; Wardlow, B.; Li, Z. A high-performance and in-season classification system of field-level crop types using time-series Landsat data and a machine learning approach. Remote Sens. Environ. 2018, 210, 35–47. [Google Scholar] [CrossRef]
- Semeraro, T.; Mastroleo, G.; Pomes, A.; Luvisi, A.; Gissi, E.; Aretano, R. Modelling fuzzy combination of remote sensing vegetation index for durum wheat crop analysis. Comput. Electron. Agric. 2018, 156, 684–692. [Google Scholar] [CrossRef]
- Bai, T.; Zhang, N.; Mercatoris, B.; Chen, Y. Jujube yield prediction method combining Landsat 8 vegetation index and the phenological length. Comput. Electron. Agric. 2019, 162, 1011–1027. [Google Scholar] [CrossRef]
- Cai, Y.; Guan, K.; Lobell, D.; Potgieter, A.B.; Wang, S.; Peng, J.; Xu, T.; Asseng, S.; Zhang, Y.; You, L.; et al. Integrating satellite and climate data to predict wheat yield in Australia using machine learning approaches. Agric. For. Meteorol. 2019, 274, 144–459. [Google Scholar] [CrossRef]
- Dang, Y.P.; Moody, P.W. Quantifying the costs of soil constraints to Australian agriculture: A case study of wheat in north-eastern Australia. Soil Res. 2016, 54, 700–707. [Google Scholar] [CrossRef]
- Goodwin, A.W.; Lindsey, L.E.; Harrison, S.K.; Paul, P.A. Estimating wheat yield with normalized difference vegetation index and fractional green canopy cover. Crop. Forage Turfgrass Manag. 2018, 4, 1–6. [Google Scholar] [CrossRef]
- Kobayashi, N.; Tani, H.; Wang, X.; Sonobe, R. Crop classification using spectral indices derived from Sentinel-2A imagery. J. Inf. Telecommun. 2020, 4, 67–90. [Google Scholar] [CrossRef]
- Lai, Y.R.; Pringle, M.J.; Kopittke, P.M.; Menzies, N.W.; Orton, T.G.; Dang, Y.P. An empirical model for prediction of wheat yield, using time-integrated Landsat NDVI. Int. J. Appl. Earth Obs. Geoinf. 2018, 72, 99–108. [Google Scholar] [CrossRef]
- Orton, T.G.; Mallawaarachchi, T.; Pringle, M.J.; Menzies, N.W.; Dalal, R.C.; Kopittke, P.M.; Searle, R.; Hochman, Z.; Dang, Y.P. Quantifying the economic impact of soil constraints on Australian agriculture: A case-study of wheat. L. Degrad. Dev. 2018, 29, 3866–3875. [Google Scholar] [CrossRef]
- Rouse, J.W.; Hass, R.H.; Schell, J.A.; Deering, D.W. Monitoring vegetation systems in the great plains with ERTS. Third Earth Resour. Technol. Satell. Symp. 1973, 1, 309–317. [Google Scholar]
- Zhao, Y.; Potgieter, A.B.; Zhang, M.; Wu, B.; Hammer, G.L. Predicting wheat yield at the field scale by combining high-resolution Sentinel-2 satellite imagery and crop modelling. Remote Sens. 2020, 12, 1024. [Google Scholar] [CrossRef]
- Dang, Y.P.; Dalal, R.C.; Christopher, J.; Apan, A.A.; Pringle, M.J.; Bailey, K.; Biggs, A.J.W. Managing Subsoil Constraints Advanced Techniques for Managing Subsoil Constraints Project Results Book; Grains Research & Development Corporation: Canberra, Australia, 2010. [Google Scholar]
- Dang, Y.P.; Pringle, M.J.; Schmidt, M.; Dalal, R.C.; Apan, A. Identifying the spatial variability of soil constraints using multi-year remote sensing. Field Crop. Res. 2011, 123, 248–258. [Google Scholar] [CrossRef]
- Dang, Y.P.; Dalal, R.C.; Pringle, M.J.; Biggs, A.J.W.; Darr, S.; Sauer, B.; Moss, J.; Payne, J.; Orange, D. Electromagnetic induction sensing of soil identifies constraints to the crop yields of north-eastern Australia. Soil Res. 2011, 49, 559–571. [Google Scholar] [CrossRef]
- Dang, Y.P.; Dalal, R.C.; Mayer, D.G.; McDonald, M.; Routley, R.; Schwenke, G.D.; Buck, S.R.; Daniells, I.G.; Singh, D.K.; Manning, W.; et al. High subsoil chloride concentrations reduce soil water extraction and crop yield on Vertosols in north-eastern Australia. Aust. J. Agric. Res. 2008, 59, 321. [Google Scholar] [CrossRef]
- Page, K.L.; Dalal, R.C.; Menzies, N.W.; Strong, W.M. Nitrification in a Vertisol subsoil and its relationship to the accumation of ammonium-nitrogen at depth. Aust. J. Soil Res. 2002, 40, 727–735. [Google Scholar] [CrossRef]
- Hochman, Z.; Probert, M.; Dalgliesh, N.P. Developing testable hypotheses on the impacts of sub-soil constraints on crops and croplands using the cropping systems simulator APSIM. In Proceedings of the 4th International Crop Science Congress, Brisbane, Australia, 26 September 2004. [Google Scholar]
- Dang, Y.P.; Routley, R.; McDonald, M.; Dalal, R.C.; Alsemgeest, V.; Orange, D. Effects of chemical subsoil constraints on lower limit of plant available water for crops grown in southwest Queensland. In Proceedings of the 4th International Crop Science Congress, Brisbane, Australia, 26 September 2004. [Google Scholar]
- Thomas, G.A.; Gibson, G.; Nielsen, R.G.H.; Martin, W.D.; Radford, B.J. Effects of tillage, stubble, gypsum, and nitrogen fertiliser on cereal cropping on a red-brown earth in south-west Queensland. Aust. J. Exp. Agric. 1995, 35, 997–1008. [Google Scholar] [CrossRef]
- Flood, N.; Danaher, T.; Gill, T.; Gillingham, S. An operational scheme for deriving standardised surface reflectance from landsat TM/ETM+ and SPOT HRG imagery for eastern Australia. Remote Sens. 2013, 5, 83–109. [Google Scholar] [CrossRef]
- Zhu, Z.; Wang, S.; Woodcock, C.E. Improvement and expansion of the Fmask algorithm: Cloud, cloud shadow, and snow detection for Landsats 4-7, 8, and Sentinel 2 images. Remote Sens. Environ. 2015, 159, 269–277. [Google Scholar] [CrossRef]
- Huete, A.; Didan, K.; Miura, T.; Rodriguez, E.; Gao, X.; Ferreira, L. Overview of the radiometric and biophysical performance of the MODIS vegetation indices. Remote Sens. Environ. 2002, 83, 195–213. [Google Scholar] [CrossRef]
- Ulfa, F.; Orton, T.G.; Dang, Y.P.; Menzies, N.W. Developing and Testing Remote-Sensing Indices to Represent within-Field Variation of Wheat Yields: Assessment of the Variation Explained by Simple Models. Agronomy 2022, 12, 384. [Google Scholar] [CrossRef]
- Ulfa, F.; Orton, T.G.; Dang, Y.P.; Menzies, N.W. A comparison of remote-sensing vegetation indices for assessing within-field variation of wheat yield. In Proceedings of the 20th Agronomy Conference. Toowoomba, Queensland, Australia, 18–22 September 2002. [Google Scholar]
- Page, K.L.; Dang, Y.P.; Martinez, C.; Dalal, R.C.; Wehr, J.B.; Kopittke, P.M.; Orton, T.G.; Menzies, N.W. Review of crop-specific tolerance limits to acidity, salinity, and sodicity for seventeen cereal, pulse, and oilseed crops common to rainfed subtropical cropping systems. L. Degrad. Dev. 2021, 32, 2459–2480. [Google Scholar] [CrossRef]
- R Core team. R: A Language and Environment for Statistical Computing; R Foundation for Statistical Computing: Vienna, Austria, 2020. [Google Scholar]
- Robinson, S.V.J.; Nguyen, L.H.; Galpern, P. Livin’ on the edge: Precision yield data shows evidence of ecosystem services from field boundaries. Agric. Ecosyst. Environ. 2022, 333, 107956. [Google Scholar] [CrossRef]
- Armstrong, R.D.; Eagle, C.; Flood, R. Improving grain yields on a sodic clay soil in a temperate, medium-rainfall cropping environment. Crop Pasture Sci. 2015, 66, 492–505. [Google Scholar] [CrossRef]
- Gill, J.S.; Sale, P.W.G.; Tang, C. Amelioration of dense sodic subsoil using organic amendments increases wheat yield more than using gypsum in a high rainfall zone of southern Australia. Field Crop. Res. 2008, 107, 265–275. [Google Scholar] [CrossRef]
- Gardner, W.K.; Fawcett, R.G.; Steed, G.R.; Pratley, J.E.; Whitfield, D.; van Rees, H. Crop Production on Duplex Soils: An Introduction. Aust. J. Exp. Agric. 1992, 32, 797–800. [Google Scholar] [CrossRef]
- Hussain, N.; Mujeeb, F.; Sarwar, G.; Hassan, G.; Ullah, M.K. Soil salinity/sodicity and ground water quality changes in relation to rainfall and reclamation activities. In Proceedings of the International Workshop on Conjunctive Water Management for Sustainable Irrigated Agriculture in South Asia, Lahore, Pakistan, 16–17 April 2002. [Google Scholar]
- Sadras, V.; Baldock, J.; Roget, D.; Rodriguez, D. Measuring and modelling yield and water budget components of wheat crops in coarse-textured soils with chemical constraints. Field Crop. Res. 2003, 84, 241–260. [Google Scholar] [CrossRef]
- Kotlar, A.M.; Everaer, B.; Blanchy, G.; Huits, D.; Garré, S. The potential of adaptive drainage to control salinization in Polder context. In Proceedings of the EGU General Assembly, Vienna, Austria, 23–27 May 2022. [Google Scholar]
- Hochman, Z.; Dang, Y.P.; Schwenke, G.D.; Dalgliesh, N.P.; Routley, R.; McDonald, M.; Daniells, I.G.; Manning, W.; Poulton, P.L. Simulating the effects of saline and sodic subsoils on wheat crops growing on Vertosols. Aust. J. Agric. Res. 2007, 58, 802–810. [Google Scholar] [CrossRef]
- Reddy, G.P.O. Geospatial Technologies in Land Resources Mapping, Monitoring, and Management: An Overview; Springer Nature: Cham, Switzerland, 2018. [Google Scholar]
- Rawson, H.M.; Begg, J.E.; Woodward, R.G. The effect of atmospheric humidity on photosynthesis, transpiration and water use efficiency of leaves of several plant species. Planta 1977, 134, 5–10. [Google Scholar] [CrossRef] [PubMed]
- Orton, T.G.; Mcclymont, D.; Page, K.L.; Menzies, N.W.; Dang, Y.P. ConstraintID: An online software tool to assist grain growers in Australia identify areas affected by soil constraints. Comput. Electron. Agric. 2022, 202, 107422. [Google Scholar] [CrossRef]
- Dang, Y.P.; Orton, T.G.; Mcclymont, D.; Menzies, N.W. ConstraintID: A free web-based tool for spatial diagnosis of soil constraints. In Proceeding of the 20th Agronomy Conference, Toowoomba, Queensland, Australia, 18–22 September 2022. [Google Scholar]






| Soil Depth | Cl | ECse | ESP | pH | Clay |
|---|---|---|---|---|---|
| Field 1 | |||||
| 0.05 | 21 (20, 25) | 0.60 (0.42, 0.79) | 5.5 (2.9, 6.9) | 7.6 (6.9, 8.4) | 41 (27, 48) |
| 0.40 | 191 (36, 512) | 2.19 (1.08, 4.57) | 15.5 (11.8, 21.4) | 8.9 (8.5, 9.1) | 49 (42, 56) |
| 0.80 | 1159 (800, 1940) | 10.76 (6.31, 18.76) | 21.9 (18.7, 27.3) | 7.7 (5.4, 8.7) | 52 (44, 61) |
| 1.20 | 1861 (1400, 2390) | 12.44 (9.2, 21.58) | 21.7 (16.5, 25) | 6.4 (4.5, 8.5) | 53 (47, 60) |
| Field 2 | |||||
| 0.05 | 22 (20, 36) | 0.59 (0.41, 1.03) | 3.5 (1.6, 5) | 7.2 (6.1, 8.4) | 32 (24, 42) |
| 0.40 | 137 (45, 307) | 1.97 (1.28, 3.18) | 13.1 (9.9, 17.3) | 8.8 (8.7, 8.9) | 42 (37, 50) |
| 0.80 | 827 (479, 1660) | 8.13 (4.8, 18.01) | 22.4 (19.1, 27.4) | 7.6 (5.3, 9) | 43 (38, 52) |
| 1.20 | 1329 (940, 2060) | 9.28 (6.62, 12.16) | 23.7 (20.3, 28.5) | 6.1 (4.4, 8.4) | 47 (37, 55) |
| Field 3 | |||||
| 0.05 | 20 (20, 20) | 0.44 (0.31, 0.59) | 1.1 (0.4, 1.9) | 8.1 (6.5, 8.7) | 49 (38, 60) |
| 0.40 | 20 (20, 24) | 0.52 (0.24, 0.76) | 4.8 (0.6, 11) | 8.7 (7.4, 9) | 51 (39, 62) |
| 0.80 | 68 (20, 138) | 1.19 (0.43, 1.96) | 10.3 (0.4, 17.4) | 9.1 (8.5, 9.4) | 50 (22, 63) |
| 1.20 | 339 (20, 763) | 2.81 (0.58, 5.1) | 13.9 (0.2, 20.6) | 8.8 (8.1, 9.4) | 53 (28, 67) |
| Field 4 | |||||
| 0.05 | 419 (20, 1470) | 2.71 (0.4, 7.92) | 5.8 (2.3, 11.2) | 7.7 (7.2, 8.8) | 60 (56, 69) |
| 0.40 | 1158 (47, 2170) | 10.43 (1.32, 21.78) | 16.1 (5, 27.9) | 8.2 (7.8, 8.9) | 61 (55, 68) |
| 0.80 | 1866 (436, 3270) | 20.5 (13.06, 26.38) | 22.1 (15.3, 28.4) | 7.8 (7.7, 7.9) | 61 (55, 68) |
| 1.20 | 2592 (1080, 4490) | 20.05 (15.46, 23.56) | 25.2 (17.7, 32) | 8 (7.7, 8.2) | 67 (59, 75) |
| Field 5 | |||||
| 0.05 | 52 (20, 132) | 0.72 (0.34, 1.32) | 8.2 (3, 12) | 7.6 (7.1, 8) | 37 (27, 49) |
| 0.40 | 324 (52, 668) | 2.6 (0.93, 4.43) | 20.4 (15, 28.1) | 8.6 (7.2, 9) | 54 (42, 60) |
| 0.80 | 831 (564, 1220) | 5.67 (3.77, 8.68) | 29 (20.1, 45.8) | 6.7 (4.7, 8.5) | 54 (40, 63) |
| 1.20 | 997 (781, 1320) | 6.35 (4.78, 8.12) | 36.5 (25.1, 48.7) | 4.8 (4.4, 5.2) | 55 (44, 62) |
| Fields | Dry Years | Moderate Years | Wet Years |
|---|---|---|---|
| 1 | 2002, 2004, 2006, 2009, 2018 | 2001, 2005, 2011, 2015, 2017 | 2003, 2007, 2008, 2010, 2016 |
| 2 | 2002, 2004, 2006, 2009, 2019 | 1999, 2001, 2003, 2005, 2017 | 2007, 2008, 2010, 2011, 2016 |
| 3 | 2002, 2013, 2017 | 2000, 2003, 2006 | 1999, 2007, 2012 |
| 4 | 2006, 2009, 2012, 2013 | 2003, 2005, 2014, 2015 | 2004, 2011, 2016, 2017 |
| 5 | 2002, 2005, 2017 | 2003, 2007, 2014 | 1999, 2004, 2010 |
| Fields | Dry | Moderate | Wet | Bootstrap 95% Percentile |
|---|---|---|---|---|
| Field 1 | 22.73 | 16.67 | 44.31 | 36.00 |
| Field 2 | 23.40 | 42.55 | 36.17 | 44.18 |
| Field 3 | 75.26 | 47.69 | 75.46 | 82.29 |
| Field 4 | 16.43 | 22.59 | 22.16 | 37.76 |
| Field 5 | 12.43 | 27.03 | 12.57 | 34.58 |
Publisher’s Note: MDPI stays neutral with regard to jurisdictional claims in published maps and institutional affiliations. |
© 2022 by the authors. Licensee MDPI, Basel, Switzerland. This article is an open access article distributed under the terms and conditions of the Creative Commons Attribution (CC BY) license (https://creativecommons.org/licenses/by/4.0/).
Share and Cite
Ulfa, F.; Orton, T.G.; Dang, Y.P.; Menzies, N.W. Are Climate-Dependent Impacts of Soil Constraints on Crop Growth Evident in Remote-Sensing Data? Remote Sens. 2022, 14, 5401. https://doi.org/10.3390/rs14215401
Ulfa F, Orton TG, Dang YP, Menzies NW. Are Climate-Dependent Impacts of Soil Constraints on Crop Growth Evident in Remote-Sensing Data? Remote Sensing. 2022; 14(21):5401. https://doi.org/10.3390/rs14215401
Chicago/Turabian StyleUlfa, Fathiyya, Thomas G. Orton, Yash P. Dang, and Neal W. Menzies. 2022. "Are Climate-Dependent Impacts of Soil Constraints on Crop Growth Evident in Remote-Sensing Data?" Remote Sensing 14, no. 21: 5401. https://doi.org/10.3390/rs14215401
APA StyleUlfa, F., Orton, T. G., Dang, Y. P., & Menzies, N. W. (2022). Are Climate-Dependent Impacts of Soil Constraints on Crop Growth Evident in Remote-Sensing Data? Remote Sensing, 14(21), 5401. https://doi.org/10.3390/rs14215401

