Co- and Postseismic Deformation of the 2020 Mw 6.3 Nima (Tibet, China) Earthquake Revealed by InSAR Observations
Abstract
1. Introduction

2. InSAR Observations
2.1. Coseismic Deformation
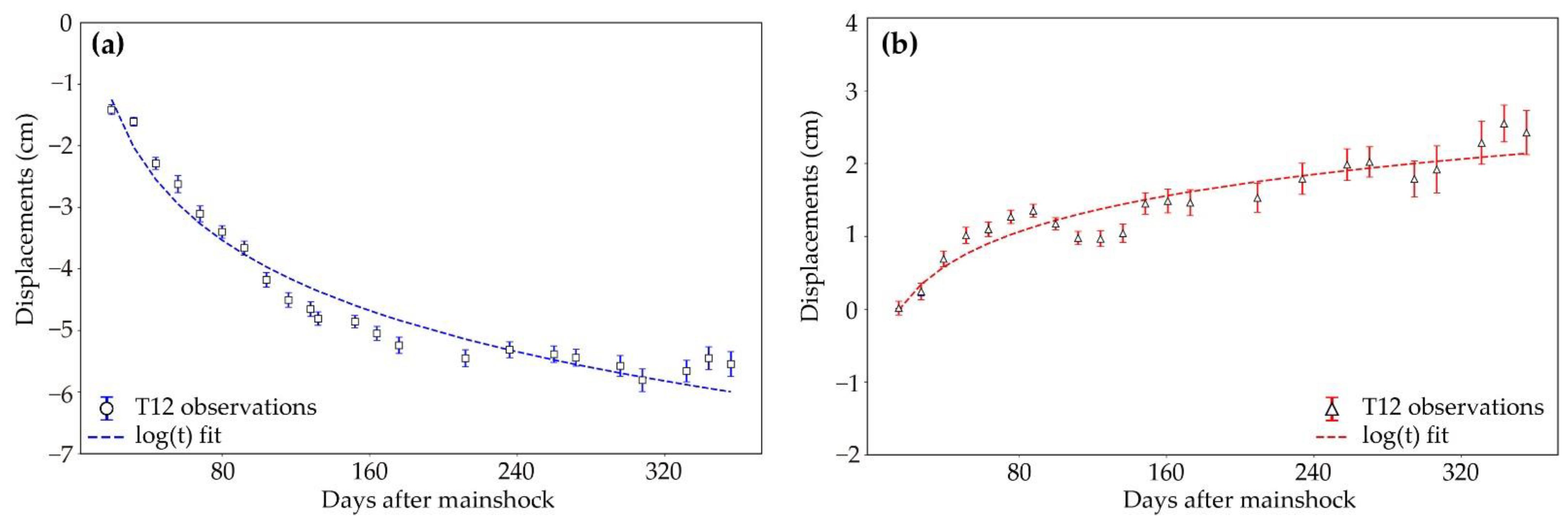
2.2. Postseismic Deformation
3. Coseismic Inversion
4. Postseismic Deformation Mechanism
4.1. Afterslip Inversion
4.2. Poroelastic Rebound
5. Discussion
5.1. Comparisons of the Fault Geometry with Previous Studies
5.2. Static Coulomb Failure Stress Changes
6. Conclusions
Author Contributions
Funding
Data Availability Statement
Acknowledgments
Conflicts of Interest
Appendix A. Validation of Coseismic Deformation Fields

| Tracks | Orbits | Master | Slave | ΔT (days) | B⊥ (m) | Inc (deg) |
|---|---|---|---|---|---|---|
| 12 | Ascending | 20200706 | 20200811 | 36 | −181 | 41.65 |
| 12 | Ascending | 20200718 | 20200730 | 12 | −84 | 41.65 |
References
- Elliott, J.R.; Walters, R.J.; England, P.C.; Jackson, J.A.; Li, Z.H.; Parsons, B. Extension on the Tibetan plateau: Recent normal faulting measured by InSAR and body wave seismology. Geophys. J. Int. 2010, 183, 503–535. [Google Scholar] [CrossRef]
- Yang, J.Y.; Xu, C.J.; Wen, Y.M.; Xu, G.Y. The July 2020 Mw 6.3 Nima Earthquake, Central Tibet: A Shallow Normal-Faulting Event Rupturing in a Stepover Zone. Seismol. Soc. Am. 2021, 93, 45–55. [Google Scholar] [CrossRef]
- Li, H.B.; Pan, J.A.; Sun, Z.M.; Si, J.L.; Pei, J.L.; Liu, D.L.; Chevalier, M.L.; Wang, H.; Lu, H.J.; Zheng, Y.; et al. Continental tectonic deformation and seismic activity: A case study from the Tibetan Plateau. Acta Geol. Sin. 2021, 95, 194–213. (In Chinese) [Google Scholar]
- Deng, Q.D.; Cheng, S.P.; Ma, J.; Du, P. Seismic Activities and Earthquake Potential in the Tibetan Plateau. Chin. J. Geophys. 2014, 57, 678–697. (In Chinese) [Google Scholar] [CrossRef]
- Wang, M.; Shen, Z.K. Present-Day Crustal Deformation of Continental China Derived from GPS and Its Tectonic Implications. J. Geophys. Res. Solid Earth 2020, 125, e2019JB018774. [Google Scholar] [CrossRef]
- Liu, F.C.; Pan, J.W.; Li, H.B.; Sun, Z.M.; Liu, D.L.; Lu, H.J.; Zheng, Y.; Wang, S.G.; Bai, M.K.; Chevalier, M.L.; et al. Characteristics of Quarternary activities along the Riganpei Co fault and seismogenic structure of the July 23, 2020 Mw6. 4 Nima earthquake, central Tibet. Acta Geosci. Sin. 2021, 43, 173–188. (In Chinese) [Google Scholar]
- Wang, H.; Wright, T.J.; Liu, Z.J.; Peng, L.C. Strain Rate Distribution in South-Central Tibet from Two Decades of InSAR and GPS. Geophys. Res. Lett. 2019, 46, 5170–5179. [Google Scholar] [CrossRef]
- Taylor, M.; Yin, A.; Ryerson, F.J.; Kapp, P.; Ding, L. Conjugate strike-slip faulting along the Bangong-Nujiang suture zone accommodates coeval east-west extension and north-south shortening in the interior of the Tibetan Plateau. Tectonics 2003, 22, 0278–7407. [Google Scholar] [CrossRef]
- Taylor, M.; Yin, A. Active structures of the Himalayan-Tibetan orogen and their relationships to earthquake distribution, contemporary strain field, and Cenozoic volcanism. Geosphere 2009, 5, 199–214. [Google Scholar] [CrossRef]
- Bürgmann, R.; Ayhan, M.E.; Fielding, E.J.; Wright, T.J.; McClusky, S.; Aktug, B.; Demir, C.; Lenk, O.; Türkezer, A. Deformation during the 12 November 1999 Düzce, Turkey, Earthquake, from GPS and InSAR Data. Bull. Seismol. Soc. Am. 2002, 92, 161–171. [Google Scholar] [CrossRef]
- Li, Z.H.; Elliott, J.R.; Feng, W.P.; Jackson, J.A.; Parsons, B.E.; Walters, R.J. The 2010 MW 6.8 Yushu (Qinghai, China) earthquake: Constraints provided by InSAR and body wave seismology. J. Geophys. Res. Solid Earth 2011, 116, B10302. [Google Scholar] [CrossRef]
- Massonnet, D.; Feigl, K.L. Radar interferometry and its application to changes in the Earth’s surface. Rev. Geophys. 1998, 36, 441–500. [Google Scholar] [CrossRef]
- Wen, Y.M.; Li, Z.H.; Xu, C.J.; Ryder, I.; Bürgmann, R. Postseismic motion after the 2001 MW 7.8 Kokoxili earthquake in Tibet observed by InSAR time series. J. Geophys. Res. Solid Earth 2012, 117, B08405. [Google Scholar] [CrossRef]
- Barnhart, W.D.; Brengman, C.M.; Li, S.Y.; Peterson, K.E. Ramp-flat basement structures of the Zagros Mountains inferred from co-seismic slip and afterslip of the 2017 Mw7. 3 Darbandikhan, Iran/Iraq earthquake. Earth Planet. Sci. Lett. 2018, 496, 96–107. [Google Scholar] [CrossRef]
- Melgar, D.; Ganas, A.; Taymaz, T.; Valkaniotis, S.; Crowell, B.W.; Kapetanidis, V.; Tsironi, V.; Yolsal-Çevikbilen, S.; Öcalan, T. Rupture kinematics of 2020 January 24 M w 6.7 Doğanyol-Sivrice, Turkey earthquake on the East Anatolian Fault Zone imaged by space geodesy. Geophys. J. Int. 2020, 223, 862–874. [Google Scholar] [CrossRef]
- Cheloni, D.; De Novellis, V.; Albano, M.; Antonioli, A.; Anzidei, M.; Atzori, S.; Avallone, A.; Bignami, C.; Bonano, M.; Calcaterra, S. Geodetic model of the 2016 Central Italy earthquake sequence inferred from InSAR and GPS data. Geophys. Res. Lett. 2017, 44, 6778–6787. [Google Scholar] [CrossRef]
- Pousse-Beltran, L.; Socquet, A.; Benedetti, L.; Doin, M.P.; Rizza, M.; d’Agostino, N. Localized afterslip at geometrical complexities revealed by InSAR after the 2016 Central Italy seismic sequence. J. Geophys. Res. Solid Earth 2020, 125, e2019JB019065. [Google Scholar] [CrossRef]
- Cheloni, D.; Giuliani, R.; D’Anastasio, E.; Atzori, S.; Walters, R.; Bonci, L.; D’Agostino, N.; Mattone, M.; Calcaterra, S.; Gambino, P. Coseismic and post-seismic slip of the 2009 L’Aquila (central Italy) MW 6.3 earthquake and implications for seismic potential along the Campotosto fault from joint inversion of high-precision levelling, InSAR and GPS data. Tectonophysics 2014, 622, 168–185. [Google Scholar] [CrossRef]
- Hu, X.P.; He, P.; Zhang, J. Source mechanism of the 2020 Mw 6.3 Nima earthquake derived from Bayesian inversions with InSAR observations: Insight into EW extensional activity in the central Tibet. Adv. Space Res. 2022, 70, 1721–1736. [Google Scholar] [CrossRef]
- JI, Z.T.; ZHANG, Y.Z.; WANG, S.J. Coseismic deformation field and fault slip distribution inversion of the Ms 6.6 Nima, Xizang earthquake by Sentinel-1A InSAR data. Prog. Geophys. 2021, 6, 2312–2319. (In Chinese) [Google Scholar]
- Li, C.T.; Li, Q.; Tan, K.; Lu, X.F. Coseismic deformation characteristics of the 2020 Nima, Xizang Mw6.3 earthquake from Sentinel-1A/B InSAR data and rupture slip distribution. Chin. J. Geophys. 2021, 64, 2297–2310. (In Chinese) [Google Scholar]
- Li, K.; Li, Y.S.; Tapponnier, P.; Xu, X.W.; Li, D.W.; He, Z.T. Joint InSAR and Field Constraints on Faulting During the Mw 6.4, July 23, 2020, Nima/Rongma Earthquake in Central Tibet. J. Geophys. Res. Solid Earth 2021, 126, e2021JB022212. [Google Scholar] [CrossRef]
- Bie, L.D.; Ryder, I.; Nippress, S.E.; Bürgmann, R. Coseismic and post-seismic activity associated with the 2008 M w 6.3 Damxung earthquake, Tibet, constrained by InSAR. Geophys. J. Int. 2014, 196, 788–803. [Google Scholar] [CrossRef]
- Liu, Y.; Xu, C.J.; Wen, Y.M.; Li, Z.C. Post-seismic deformation from the 2009 Mw 6.3 Dachaidan earthquake in the northern Qaidam Basin detected by small baseline subset InSAR technique. Sensors 2016, 16, 206. [Google Scholar] [CrossRef] [PubMed]
- Liang, S.M.; Gan, W.J.; Shen, C.Z.; Xiao, G.R.; Liu, J.; Chen, W.T.; Ding, X.Q.; Zhou, D.M. Three-dimensional velocity field of present-day crustal motion of the Tibetan Plateau derived from GPS measurements. J. Geophys. Res. Solid Earth 2013, 118, 5722–5732. [Google Scholar] [CrossRef]
- Werner, C.; Wegmüller, U.; Strozzi, T.; Wiesmann, A. Gamma SAR and interferometric processing software. In Proceedings of the Ers-Envisat Symposium, Gothenburg, Sweden, 16–20 October 2000. [Google Scholar]
- Goldstein, R.M.; Werner, C.L. Radar interferogram filtering for geophysical applications. Seismol. Res. Lett. 1998, 25, 4035–4038. [Google Scholar] [CrossRef]
- Flynn, T.J. Two-dimensional phase unwrapping with minimum weighted discontinuity. JOSA A 1997, 14, 2692–2701. [Google Scholar] [CrossRef]
- Yu, C.; Penna, N.T.; Li, Z.H. Generation of real-time mode high-resolution water vapor fields from GPS observations. J. Geophys. Res. Atmos. 2017, 122, 2008–2025. [Google Scholar] [CrossRef]
- Yu, C.; Li, Z.H.; Penna, N.T. Interferometric synthetic aperture radar atmospheric correction using a GPS-based iterative tropospheric decomposition model. Remote Sens. Environ. 2018, 204, 109–121. [Google Scholar] [CrossRef]
- Yu, C.; Li, Z.H.; Penna, N.T.; Crippa, P. Generic atmospheric correction model for interferometric synthetic aperture radar observations. J. Geophys. Res. Solid Earth 2018, 123, 9202–9222. [Google Scholar] [CrossRef]
- Berardino, P.; Fornaro, G.; Lanari, R.; Sansosti, E. A new algorithm for surface deformation monitoring based on small baseline differential SAR interferograms. IEEE Trans. Geosci. Remote Sens. 2002, 40, 2375–2383. [Google Scholar] [CrossRef]
- Yu, C.; Li, Z.H.; Penna, N.T. Triggered afterslip on the southern Hikurangi subduction interface following the 2016 Kaikōura earthquake from InSAR time series with atmospheric corrections. Remote Sens. Environ. 2020, 251, 112097. [Google Scholar] [CrossRef]
- Wang, S.J.; Zhang, Y.Z.; Wang, Y.P.; Jiao, J.S.; Ji, Z.T.; Han, M. Post-seismic deformation mechanism of the July 2015 MW 6.5 Pishan earthquake revealed by Sentinel-1A InSAR observation. Sci. Rep. 2020, 10, 18536. [Google Scholar] [CrossRef] [PubMed]
- Jónsson, S.; Zebker, H.; Segall, P.; Amelung, F. Fault Slip Distribution of the 1999 Mw 7.1 Hector Mine, California, Earthquake, Estimated from Satellite Radar and GPS Measurements. Bull. Seismol. Soc. Am. 2002, 92, 1377–1389. [Google Scholar] [CrossRef]
- Okada, Y. Internal deformation due to shear and tensile faults in a half-space. Bull. Seismol. Soc. Am. 1992, 82, 1018–1040. [Google Scholar] [CrossRef]
- Feng, W.P.; Li, Z.H. A novel hybrid PSO/simplex algorithm for determining earthquake source parameters using InSAR data. Prog. Geophys. 2010, 25, 1189–1196. (In Chinese) [Google Scholar]
- Kennedy, J.; Eberhart, R. Particle swarm optimization. In Proceedings of the ICNN’95—International Conference on Neural Networks, Perth, WA, Australia, 27 November–1 December 1995; Volume 4, pp. 1942–1948. [Google Scholar]
- Nelder, J.A.; Mead, R. A Simplex Method for Function Minimization. Comput. J. 1965, 7, 308–313. [Google Scholar] [CrossRef]
- Funning, G.J. Source Parameters of Large Shallow Earthquakes in the Alpine-Himalayan Belt from InSAR and Waveform Modelling; University of Oxford: Oxford, UK, 2005. [Google Scholar]
- Li, Z.H.; Feng, W.P.; Xu, Z.H.; Cross, P.; Zhang, J.F. The 1998 Mw 5.7 Zhangbei-Shangyi (China) earthquake revisited: A buried thrust fault revealed with interferometric synthetic aperture radar. Geochem. Geophys. Geosyst. 2008, 9, Q04026. [Google Scholar] [CrossRef]
- Feng, W.P. Modelling Co-and Post-Seismic Displacements Revealed by InSAR, and Their Implications for Fault Behaviour; University of Glasgow: Glasgow, UK, 2015. [Google Scholar]
- Feng, W.P.; Li, Z.H.; Elliott, J.R.; Fukushima, Y.; Hoey, T.; Singleton, A.; Cook, R.; Xu, Z.H. The 2011 MW 6.8 Burma earthquake: Fault constraints provided by multiple SAR techniques. Geophys. J. Int. 2013, 195, 650–660. [Google Scholar] [CrossRef]
- Bürgmann, R.; Ergintav, S.; Segall, P.; Hearn, E.H.; McClusky, S.; Reilinger, R.E.; Woith, H.; Zschau, J. Time-dependent distributed afterslip on and deep below the Izmit earthquake rupture. Bull. Seismol. Soc. Am. 2002, 92, 126–137. [Google Scholar] [CrossRef]
- Marone, C.J.; Scholtz, C.H.; Bilham, R. On the mechanics of earthquake afterslip. J. Geophys. Res. Solid Earth 1991, 96, 8441–8452. [Google Scholar] [CrossRef]
- Jónsson, S.; Segall, P.; Pedersen, R.; Björnsson, G. Post-earthquake ground movements correlated to pore-pressure transients. Nature 2003, 424, 179–183. [Google Scholar] [CrossRef] [PubMed]
- Peltzer, G.; Rosen, P.; Rogez, F.; Hudnut, K. Poroelastic rebound along the Landers 1992 earthquake surface rupture. J. Geophys. Res. Solid Earth 1998, 103, 30131–30145. [Google Scholar] [CrossRef]
- Pollitz, F.F.; Peltzer, G.; Bürgmann, R. Mobility of continental mantle: Evidence from postseismic geodetic observations following the 1992 Landers earthquake. J. Geophys. Res. Solid Earth 2000, 105, 8035–8054. [Google Scholar] [CrossRef]
- Pollitz, F.F.; Wicks, C.; Thatcher, W. Mantle flow beneath a continental strike-slip fault: Postseismic deformation after the 1999 Hector Mine earthquake. Science 2001, 293, 1814–1818. [Google Scholar] [CrossRef] [PubMed]
- Freed, A.M. Afterslip (and only afterslip) following the 2004 Parkfield, California, earthquake. Geophys. Res. Lett. 2007, 34, L06312. [Google Scholar] [CrossRef]
- Lohman, R.B.; Simons, M. Some thoughts on the use of InSAR data to constrain models of surface deformation: Noise structure and data downsampling. Geochem. Geophys. Geosyst. 2005, 6, Q01007. [Google Scholar] [CrossRef]
- Wimpenny, S.; Copley, A.; Ingleby, T. Fault mechanics and post-seismic deformation at Bam, SE Iran. Geophys. J. Int. 2017, 209, 1018–1035. [Google Scholar] [CrossRef]
- Furuya, M.; Matsumoto, F. Post-Seismic to Co-Seismic Moment Ratios for the 2016 Moderate Earthquakes Along Chaman Fault. Geophys. Res. Lett. 2022, 49, e2021GL095236. [Google Scholar] [CrossRef]
- He, J.; Peltzer, G. Poroelastic triggering in the January 9-22, 2008 Nima-Gaize (Tibet) earthquake sequence. In AGU Fall Meeting Abstracts; American Geophysical Union: Washington, DC, USA, 2009; p. S51C-1434. [Google Scholar]
- Peltzer, G.; Rosen, P.; Rogez, F.; Hudnut, K. Postseismic rebound in fault step-overs caused by pore fluid flow. Science 1996, 273, 1202–1204. [Google Scholar] [CrossRef]
- Wang, S.; Xu, W.B.; Xu, C.J.; Yin, Z.; Bürgmann, R.; Liu, L.; Jiang, G.Y. Changes in groundwater level possibly encourage shallow earthquakes in central Australia: The 2016 Petermann Ranges earthquake. Geophys. Res. Lett. 2019, 46, 3189–3198. [Google Scholar] [CrossRef]
- Wang, K.; Fialko, Y. Space geodetic observations and models of postseismic deformation due to the 2005 M7. 6 Kashmir (Pakistan) earthquake. J. Geophys. Res. Solid Earth 2014, 119, 7306–7318. [Google Scholar] [CrossRef]
- Bagnardi, M.; Hooper, A. Inversion of surface deformation data for rapid estimates of source parameters and uncertainties: A Bayesian approach. Geochem. Geophys. Geosyst. 2018, 19, 2194–2211. [Google Scholar] [CrossRef]
- Stein, R.S. Earthquake Conversations. Sci. Am. 2003, 288, 72–79. [Google Scholar] [CrossRef] [PubMed]
- Lin, J.; Stein, R.S. Stress triggering in thrust and subduction earthquakes and stress interaction between the southern San Andreas and nearby thrust and strike-slip faults. J. Geophys. Res. Solid Earth 2004, 109, B02303. [Google Scholar] [CrossRef]
- King, G.C.; Stein, R.S.; Lin, J. Static stress changes and the triggering of earthquakes. Bull. Seismol. Soc. Am. 1994, 84, 935–953. [Google Scholar]
- Toda, S.; Stein, R.S.; Richards-Dinger, K.; Bozkurt, S.B. Forecasting the evolution of seismicity in southern California: Animations built on earthquake stress transfer. J. Geophys. Res. Solid Earth 2005, 110, B05S16. [Google Scholar] [CrossRef]
- Toda, S.; Stein, R.S.; Sevilgen, V.; Lin, J. Coulomb 3.3 Graphic-rich deformation and stress-change software for earthquake, tectonic, and volcano research and teaching—User guide. US Geol. Surv. Open-File Rep. 2011, 1060, 63. [Google Scholar]
- Ziv, A.; Rubin, A.M. Static stress transfer and earthquake triggering: No lower threshold in sight? J. Geophys. Res. Solid Earth 2000, 105, 13631–13642. [Google Scholar] [CrossRef]












| Model | Strike (°) | Dip (°) | Rake (°) | Slip (m) | Longitude (°) | Latitude (°) | Length (km) | Width (km) | Depth (km) | Mw | |
|---|---|---|---|---|---|---|---|---|---|---|---|
| USGS | 20 | 61 | −91 | 86.86 | 33.14 | 10 | 6.3 | ||||
| 203 | 29 | −88 | |||||||||
| CENC | 1 | 48 | −92 | 86.81 | 33.19 | 6 | 6.4 | ||||
| 183 | 42 | −88 | |||||||||
| GCMT | 10 | 48 | −88 | 86.87 | 33.10 | 16.8 | 6.4 | ||||
| 187 | 42 | −2 | |||||||||
| Yang et al. [2] | 30 ± 1.6 | 48.3 ± 2.8 | −80.2 ± 9.1 | 1.2 ± 0.2 | 86.83 | 33.20 | 13.2 ± 0.4 | 6.5 ± 0.4 | 6.3 ± 0.3 | 6.3 | |
| This study | InSAR-U a | 29.1 ± 0.8 | 47.2 ± 0.6 | −74.7 ± 2.1 | 1.43 ± 0.23 | 86.866 ± 0.002 | 33.189 ± 0.003 | 11.4 ± 0.2 | 6.9 ± 0.4 | 4.8 * ± 0.1 | 6.37 |
| InSAR-D b | 29.1 | 50.2 | - | - | 86.88 | 33.18 | 20.0 | 11.0 | 7.4 | 6.35 | |
| Tracks | Orbits | Master | Slave | ΔT (days) | ΔPT (days) | B⊥ (m) | Inc (deg) | Data pts |
|---|---|---|---|---|---|---|---|---|
| 121 | Descending | 20200714 | 20200726 | 12 | 4 | 110 | 41.61 | 1172 |
| 12 | Ascending | 20200718 | 20200730 | 12 | 8 | −84 | 41.65 | 1671 |
Publisher’s Note: MDPI stays neutral with regard to jurisdictional claims in published maps and institutional affiliations. |
© 2022 by the authors. Licensee MDPI, Basel, Switzerland. This article is an open access article distributed under the terms and conditions of the Creative Commons Attribution (CC BY) license (https://creativecommons.org/licenses/by/4.0/).
Share and Cite
Zhang, M.; Li, Z.; Yu, C.; Liu, Z.; Zhang, X.; Wang, J.; Yang, J.; Han, B.; Peng, J. Co- and Postseismic Deformation of the 2020 Mw 6.3 Nima (Tibet, China) Earthquake Revealed by InSAR Observations. Remote Sens. 2022, 14, 5390. https://doi.org/10.3390/rs14215390
Zhang M, Li Z, Yu C, Liu Z, Zhang X, Wang J, Yang J, Han B, Peng J. Co- and Postseismic Deformation of the 2020 Mw 6.3 Nima (Tibet, China) Earthquake Revealed by InSAR Observations. Remote Sensing. 2022; 14(21):5390. https://doi.org/10.3390/rs14215390
Chicago/Turabian StyleZhang, Miaomiao, Zhenhong Li, Chen Yu, Zhenjiang Liu, Xuesong Zhang, Jiatong Wang, Jing Yang, Bingquan Han, and Jianbing Peng. 2022. "Co- and Postseismic Deformation of the 2020 Mw 6.3 Nima (Tibet, China) Earthquake Revealed by InSAR Observations" Remote Sensing 14, no. 21: 5390. https://doi.org/10.3390/rs14215390
APA StyleZhang, M., Li, Z., Yu, C., Liu, Z., Zhang, X., Wang, J., Yang, J., Han, B., & Peng, J. (2022). Co- and Postseismic Deformation of the 2020 Mw 6.3 Nima (Tibet, China) Earthquake Revealed by InSAR Observations. Remote Sensing, 14(21), 5390. https://doi.org/10.3390/rs14215390

