Pixel-Based Long-Term (2001–2020) Estimations of Forest Fire Emissions over the Himalaya
Abstract
1. Introduction
2. Study Area
3. Materials and Methods
3.1. Land Use Land Cover (LULC)
3.2. Burn Area
3.3. Biomass
3.4. NDVI and Tree Cover Percent
3.5. Wind Vector Data
3.6. Combustion Efficiency (CE)
3.7. Emissions Factors (EFs)
3.8. Global Fire Emission Dataset
3.9. HYSPLIT Model
4. Results
4.1. Variability of Forest Burn Area
4.2. Inter-Annual Variations of Forest Fire Emissions
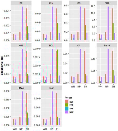
4.3. Spatial Distributions of Emissions
4.4. Temporal Trend of Emissions
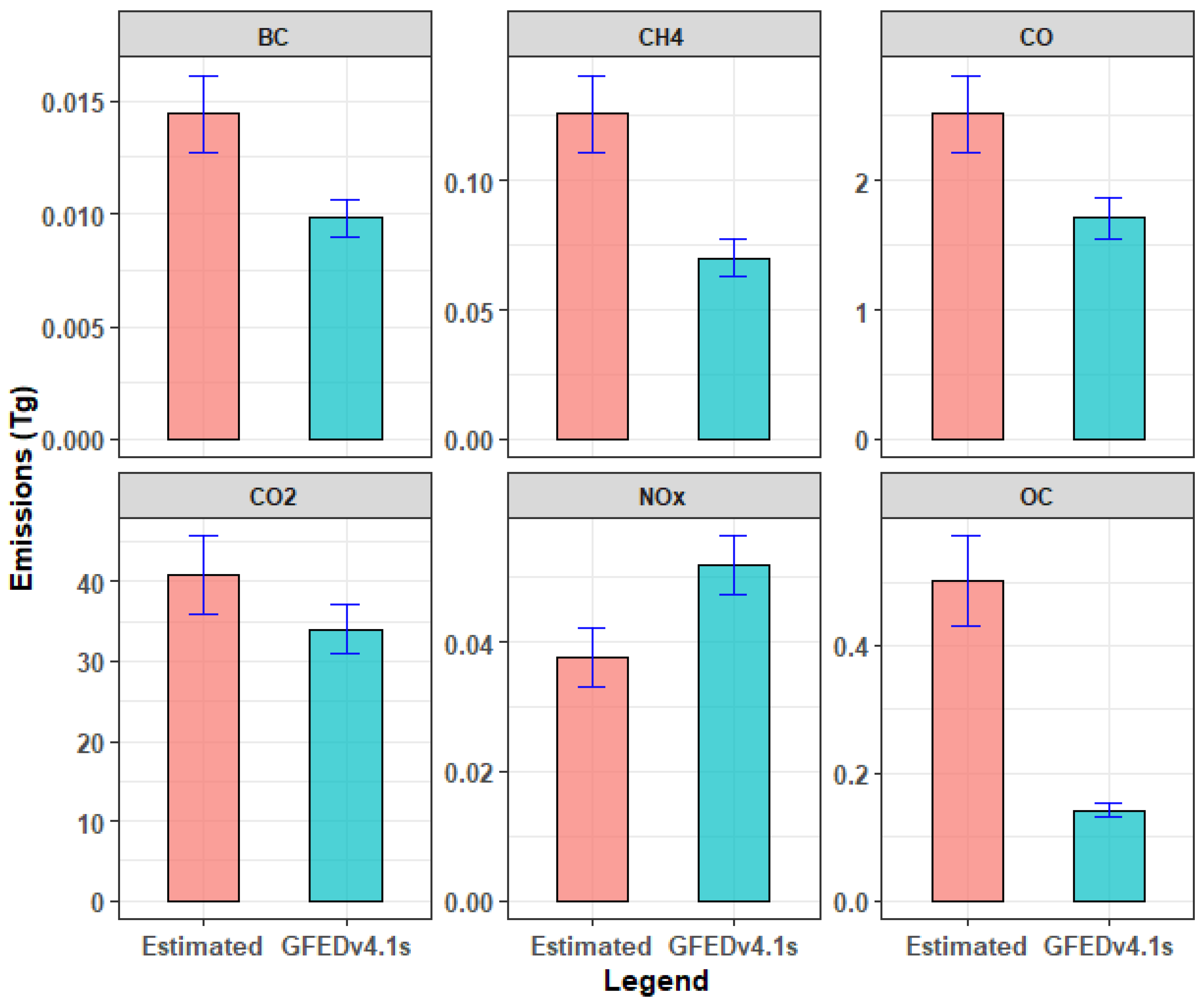
4.5. Comparison with Other Measures and Uncertainties
5. Discussion
6. Conclusions
Supplementary Materials
Author Contributions
Funding
Data Availability Statement
Acknowledgments
Conflicts of Interest
References
- Andreae, M.O.; Crutzen, P.J. Atmospheric Aerosols: Biogeochemical Sources and Role in Atmospheric Chemistry. Science 1997, 276, 1052–1058. [Google Scholar] [CrossRef]
 - van der Werf, G.R.; Randerson, J.T.; Giglio, L.; van Leeuwen, T.T.; Chen, Y.; Rogers, B.M.; Mu, M.; van Marle, M.J.E.; Morton, D.C.; Collatz, G.J.; et al. Global Fire Emissions Estimates during 1997–2016. Earth Syst. Sci. Data 2017, 9, 697–720. [Google Scholar] [CrossRef]
 - Andreae, M.O. Emission of Trace Gases and Aerosols from Biomass Burning-an Updated Assessment. Atmos. Chem. Phys. 2019, 19, 8523–8546. [Google Scholar] [CrossRef]
 - Bond, T.C.; Doherty, S.J.; Fahey, D.W.; Forster, P.M.; Berntsen, T.; DeAngelo, B.J.; Flanner, M.G.; Ghan, S.; Kärcher, B.; Koch, D.; et al. Bounding the Role of Black Carbon in the Climate System: A Scientific Assessment. J. Geophys. Res. Atmos. 2013, 118, 5380–5552. [Google Scholar] [CrossRef]
 - Levine, J.S. Global Biomass Burning: A Case Study of the Gaseous and Particulate Emissions Released to the Atmosphere During the 1997 Fires in Kalimantan and Sumatra, Indonesia. In Advances in Global Change Research; Springer: Dordrecht, The Neterland, 2000; pp. 15–31. [Google Scholar] [CrossRef]
 - Ramanathan, V.; Carmichael, G. Global and Regional Climate Changes Due to Black Carbon. Nat. Geosci. 2008, 1, 221–227. [Google Scholar] [CrossRef]
 - Wiedinmyer, C.; Akagi, S.K.; Yokelson, R.J.; Emmons, L.K.; Al-Saadi, J.A.; Orlando, J.J.; Soja, A.J. The Fire INventory from NCAR (FINN): A High Resolution Global Model to Estimate the Emissions from Open Burning. Geosci. Model Dev. 2011, 4, 625–641. [Google Scholar] [CrossRef]
 - Hao, W.M.; Liu, M.-H. Spatial and Temporal Distribution of Tropical Biomass Burning. Glob. Biogeochem. Cycles 1994, 8, 495–503. [Google Scholar] [CrossRef]
 - Shi, Y.; Zhao, A.; Matsunaga, T.; Yamaguchi, Y.; Zang, S.; Li, Z.; Yu, T.; Gu, X. High-Resolution Inventory of Mercury Emissions from Biomass Burning in Tropical Continents during 2001–2017. Sci. Total Environ. 2019, 653, 638–648. [Google Scholar] [CrossRef]
 - Keywood, M.; Kanakidou, M.; Stohl, A.; Dentener, F.; Grassi, G.; Meyer, C.P.; Torseth, K.; Edwards, D.; Thompson, A.M.; Lohmann, U.; et al. Fire in the Air: Biomass Burning Impacts in a Changing Climate. Crit. Rev. Environ. Sci. Technol. 2013, 43, 40–83. [Google Scholar] [CrossRef]
 - Sannigrahi, S.; Pilla, F.; Maiti, A.; Bar, S.; Bhatt, S.; Kaparwan, A.; Zhang, Q.; Keesstra, S.; Cerda, A. Examining the Status of Forest Fire Emission in 2020 and Its Connection to COVID-19 Incidents in West Coast Regions of the United States. Environ. Res. 2022, 210, 112818. [Google Scholar] [CrossRef]
 - Langmann, B.; Duncan, B.; Textor, C.; Trentmann, J.; van der Werf, G.R. Vegetation Fire Emissions and Their Impact on Air Pollution and Climate. Atmos. Environ. 2009, 43, 107–116. [Google Scholar] [CrossRef]
 - Silva, R.A.; West, J.J.; Zhang, Y.; Anenberg, S.C.; Lamarque, J.-F.; Shindell, D.T.; Collins, W.J.; Dalsoren, S.; Faluvegi, G.; Folberth, G.; et al. Global Premature Mortality Due to Anthropogenic Outdoor Air Pollution and the Contribution of Past Climate Change. Environ. Res. Lett. 2013, 8, 034005. [Google Scholar] [CrossRef]
 - Taylor, D. Biomass Burning, Humans and Climate Change in Southeast Asia. Biodivers. Conserv. 2010, 19, 1025–1042. [Google Scholar] [CrossRef]
 - Cohen, A.J.; Brauer, M.; Burnett, R.; Anderson, H.R.; Frostad, J.; Estep, K.; Balakrishnan, K.; Brunekreef, B.; Dandona, L.; Dandona, R.; et al. Estimates and 25-Year Trends of the Global Burden of Disease Attributable to Ambient Air Pollution: An Analysis of Data from the Global Burden of Diseases Study 2015. Lancet 2017, 389, 1907–1918. [Google Scholar] [CrossRef]
 - Johnston, F.H.; Henderson, S.B.; Chen, Y.; Randerson, J.T.; Marlier, M.; DeFries, R.S.; Kinney, P.; Bowman, D.M.J.S.; Brauer, M. Estimated Global Mortality Attributable to Smoke from Landscape Fires. Environ. Health Perspect. 2012, 120, 695–701. [Google Scholar] [CrossRef]
 - WHO. Ambient (Outdoor) Air Pollution. Available online: https://www.who.int/news-room/fact-sheets/detail/ambient-(outdoor)-air-quality-and-health (accessed on 15 August 2022).
 - Trujano-Jiménez, F.; Ríos, B.; Jaramillo, A.; Ladino, L.A.; Raga, G.B. The Impact of Biomass Burning Emissions on Protected Natural Areas in Central and Southern Mexico. Environ. Sci. Pollut. Res. 2021, 28, 17275–17289. [Google Scholar] [CrossRef]
 - Marlon, J.R.; Bartlein, P.J.; Carcaillet, C.; Gavin, D.G.; Harrison, S.P.; Higuera, P.E.; Joos, F.; Power, M.J.; Prentice, I.C. Climate and Human Influences on Global Biomass Burning over the Past Two Millennia. Nat. Geosci. 2008, 1, 697–702. [Google Scholar] [CrossRef]
 - Earl, N.; Simmonds, I. Spatial and Temporal Variability and Trends in 2001–2016 Global Fire Activity. J. Geophys. Res. Atmos. 2018, 123, 2524–2536. [Google Scholar] [CrossRef]
 - Rogers, B.M.; Balch, J.K.; Goetz, S.J.; Lehmann, C.E.R.; Turetsky, M. Focus on Changing Fire Regimes: Interactions with Climate, Ecosystems, and Society. Environ. Res. Lett. 2020, 15, 030201. [Google Scholar] [CrossRef]
 - Sannigrahi, S.; Pilla, F.; Basu, B.; Basu, A.S.; Sarkar, K.; Chakraborti, S.; Joshi, P.K.; Zhang, Q.; Wang, Y.; Bhatt, S.; et al. Examining the Effects of Forest Fire on Terrestrial Carbon Emission and Ecosystem Production in India Using Remote Sensing Approaches. Sci. Total Environ. 2020, 725, 138331. [Google Scholar] [CrossRef]
 - Kochanski, A.K.; Jenkins, M.A.; Yedinak, K.; Mandel, J.; Beezley, J.; Lamb, B. Toward an Integrated System for Fire, Smoke and Air Quality Simulations. Int. J. Wildland Fire 2016, 25, 534. [Google Scholar] [CrossRef]
 - Zaehle, S.; Sitch, S.; Smith, B.; Hatterman, F. Effects of Parameter Uncertainties on the Modeling of Terrestrial Biosphere Dynamics. Glob. Biogeochem. Cycles 2005, 19, 1–16. [Google Scholar] [CrossRef]
 - Shi, Y.; Gong, S.; Zang, S.; Zhao, Y.; Wang, W.; Lv, Z.; Matsunaga, T.; Yamaguchi, Y.; Bai, Y. High-Resolution and Multi-Year Estimation of Emissions from Open Biomass Burning in Northeast China during 2001–2017. J. Clean. Prod. 2021, 310, 127496. [Google Scholar] [CrossRef]
 - Venkataraman, C.; Habib, G.; Kadamba, D.; Shrivastava, M.; Leon, J.-F.; Crouzille, B.; Boucher, O.; Streets, D.G. Emissions from Open Biomass Burning in India: Integrating the Inventory Approach with High-Resolution Moderate Resolution Imaging Spectroradiometer (MODIS) Active-Fire and Land Cover Data. Global Biogeochem. Cycles 2006, 20. [Google Scholar] [CrossRef]
 - Andreae, M.O.; Merlet, P. Emission of Trace Gases and Aerosols from Biomass Burning. Global Biogeochem. Cycles 2001, 15, 955–966. [Google Scholar] [CrossRef]
 - Avitabile, V.; Herold, M.; Heuvelink, G.B.M.; Lewis, S.L.; Phillips, O.L.; Asner, G.P.; Armston, J.; Ashton, P.S.; Banin, L.; Bayol, N.; et al. An Integrated Pan-tropical Biomass Map Using Multiple Reference Datasets. Glob. Chang. Biol. 2016, 22, 1406–1420. [Google Scholar] [CrossRef]
 - Kaufman, Y.J.; Justice, C.O.; Flynn, L.P.; Kendall, J.D.; Prins, E.M.; Giglio, L.; Ward, D.E.; Menzel, W.P.; Setzer, A.W. Potential Global Fire Monitoring from EOS-MODIS. J. Geophys. Res. Atmos. 1998, 103, 32215–32238. [Google Scholar] [CrossRef]
 - Wooster, M.J.; Roberts, G.; Freeborn, P.H.; Xu, W.; Govaerts, Y.; Beeby, R.; He, J.; Lattanzio, A.; Mullen, R. Meteosat SEVIRI Fire Radiative Power (FRP) Products from the Land Surface Analysis Satellite Applications Facility (LSA SAF)—Part 1: Algorithms, Product Contents and Analysis. Atmos. Chem. Phys. Discuss. 2015, 15, 15831–15907. [Google Scholar] [CrossRef]
 - Freeborn, P.H.; Wooster, M.J.; Hao, W.M.; Ryan, C.A.; Nordgren, B.L.; Baker, S.P.; Ichoku, C. Relationships between Energy Release, Fuel Mass Loss, and Trace Gas an Aerosol Emissions during Laboratory Biomass Fires. J. Geophys. Res. Atmos. 2008, 113, 1–17. [Google Scholar] [CrossRef]
 - Li, F.; Zhang, X.; Roy, D.P.; Kondragunta, S. Estimation of Biomass-Burning Emissions by Fusing the Fire Radiative Power Retrievals from Polar-Orbiting and Geostationary Satellites across the Conterminous United States. Atmos. Environ. 2019, 211, 274–287. [Google Scholar] [CrossRef]
 - Vermote, E.; Ellicott, E.; Dubovik, O.; Lapyonok, T.; Chin, M.; Giglio, L.; Roberts, G.J. An Approach to Estimate Global Biomass Burning Emissions of Organic and Black Carbon from MODIS Fire Radiative Power. J. Geophys. Res. Atmos. 2009, 114, D18205. [Google Scholar] [CrossRef]
 - Boschetti, L.; Roy, D.P. Strategies for the Fusion of Satellite Fire Radiative Power with Burned Area Data for Fire Radiative Energy Derivation. J. Geophys. Res. Atmos. 2009, 114, D20302. [Google Scholar] [CrossRef]
 - Zhang, X.; Kondragunta, S.; Schmidt, C.; Kogan, F. Near Real Time Monitoring of Biomass Burning Particulate Emissions (PM2.5) across Contiguous United States Using Multiple Satellite Instruments. Atmos. Environ. 2008, 42, 6959–6972. [Google Scholar] [CrossRef]
 - Konovalov, I.B.; Lvova, D.A.; Beekmann, M.; Jethva, H.; Mikhailov, E.F.; Paris, J.-D.; Belan, B.D.; Kozlov, V.S.; Ciais, P.; Andreae, M.O. Estimation of Black Carbon Emissions from Siberian Fires Using Satellite Observations of Absorption and Extinction Optical Depths. Atmos. Chem. Phys. 2018, 18, 14889–14924. [Google Scholar] [CrossRef]
 - Bar, S.; Parida, B.R.; Roberts, G.; Pandey, A.C.; Acharya, P.; Dash, J. Spatio-Temporal Characterization of Landscape Fire in Relation to Anthropogenic Activity and Climatic Variability over the Western Himalaya, India. GIScience Remote Sens. 2021, 58, 281–299. [Google Scholar] [CrossRef]
 - Babu, K.V.S.; Roy, A.; Prasad, P.R. Forest Fire Risk Modeling in Uttarakhand Himalaya Using TERRA Satellite Datasets. Eur. J. Remote Sens. 2016, 49, 381–395. [Google Scholar] [CrossRef]
 - Prabhakar, R.; Somanathan, E.; Mehta, B.S. How Degraded Are Himalayan Forests? Curr. Sci. 2006, 91, 61–67. [Google Scholar]
 - Murmu, M.; Roy, A.; Karnatak, H.C.; Chauhan, P. Impact Of Forest Fire Emissions On Air Quality Over Western Himalaya Region. Int. Arch. Photogramm. Remote Sens. Spat. Inf. Sci. 2022, XLIII-B3-2, 1153–1160. [Google Scholar] [CrossRef]
 - Yarragunta, Y.; Srivastava, S.; Mitra, D.; Chandola, H.C. Influence of Forest Fire Episodes on the Distribution of Gaseous Air Pollutants over Uttarakhand, India. GIScience Remote Sens. 2020, 57, 190–206. [Google Scholar] [CrossRef]
 - Negi, P.S.; Pandey, C.P.; Singh, N. Black Carbon Aerosols in the Ambient Air of Gangotri Glacier Valley of North-Western Himalaya in India. Atmos. Environ. 2019, 214, 116879. [Google Scholar] [CrossRef]
 - Negi, P.S.; Pandey, C.P. Black Carbon Pollutants in Pristine Himalayan Ecosystem: A Pilot Study along Gangotri Glacier Valley. Environ. Monit. Assess. 2021, 193, 726. [Google Scholar] [CrossRef] [PubMed]
 - Prabhu, V.; Soni, A.; Madhwal, S.; Gupta, A.; Sundriyal, S.; Shridhar, V.; Sreekanth, V.; Mahapatra, P.S. Black Carbon and Biomass Burning Associated High Pollution Episodes Observed at Doon Valley in the Foothills of the Himalayas. Atmos. Res. 2020, 243, 105001. [Google Scholar] [CrossRef]
 - Gul, C.; Mahapatra, P.S.; Kang, S.; Singh, P.K.; Wu, X.; He, C.; Kumar, R.; Rai, M.; Xu, Y.; Puppala, S.P. Black Carbon Concentration in the Central Himalayas: Impact on Glacier Melt and Potential Source Contribution. Environ. Pollut. 2021, 275, 116544. [Google Scholar] [CrossRef]
 - Yasunari, T.J.; Tan, Q.; Lau, K.-M.; Bonasoni, P.; Marinoni, A.; Laj, P.; Ménégoz, M.; Takemura, T.; Chin, M. Estimated Range of Black Carbon Dry Deposition and the Related Snow Albedo Reduction over Himalayan Glaciers during Dry Pre-Monsoon Periods. Atmos. Environ. 2013, 78, 259–267. [Google Scholar] [CrossRef]
 - Kumar, R.; Naja, M.; Satheesh, S.K.; Ojha, N.; Joshi, H.; Sarangi, T.; Pant, P.; Dumka, U.C.; Hegde, P.; Venkataramani, S. Influences of the Springtime Northern Indian Biomass Burning over the Central Himalayas. J. Geophys. Res. Atmos. 2011, 116, D19302. [Google Scholar] [CrossRef]
 - Bali, K.; Mishra, A.K.; Singh, S. Impact of Anomalous Forest Fire on Aerosol Radiative Forcing and Snow Cover over Himalayan Region. Atmos. Environ. 2017, 150, 264–275. [Google Scholar] [CrossRef]
 - Giglio, L.; Boschetti, L.; Roy, D.P.; Humber, M.L.; Justice, C.O. The Collection 6 MODIS Burned Area Mapping Algorithm and Product. Remote Sens. Environ. 2018, 217, 72–85. [Google Scholar] [CrossRef] [PubMed]
 - Bar, S.; Parida, B.R.; Shankar, B.U. Unfolding the Contribution of Environmental and Anthropogenic Variables in Forest Fire over Western Himalayan Fire Regime. In Proceedings of the 2021 IEEE International India Geoscience and Remote Sensing Symposium (InGARSS), Ahmedabad, India, 6–10 December 2021; pp. 557–560. [Google Scholar]
 - Bar, S.; Parida, B.R.; Pandey, A.C. Landsat-8 and Sentinel-2 Based Forest Fire Burn Area Mapping Using Machine Learning Algorithms on GEE Cloud Platform over Uttarakhand, Western Himalaya. Remote Sens. Appl. Soc. Environ. 2020, 18, 100324. [Google Scholar] [CrossRef]
 - Roteta, E.; Bastarrika, A.; Padilla, M.; Storm, T.; Chuvieco, E. Development of a Sentinel-2 Burned Area Algorithm: Generation of a Small Fire Database for Sub-Saharan Africa. Remote Sens. Environ. 2019, 222, 1–17. [Google Scholar] [CrossRef]
 - Shi, Y.; Matsunaga, T.; Saito, M.; Yamaguchi, Y.; Chen, X. Comparison of Global Inventories of CO2 Emissions from Biomass Burning during 2002–2011 Derived from Multiple Satellite Products. Environ. Pollut. 2015, 206, 479–487. [Google Scholar] [CrossRef]
 - Akagi, S.K.; Yokelson, R.J.; Wiedinmyer, C.; Alvarado, M.J.; Reid, J.S.; Karl, T.; Crounse, J.D.; Wennberg, P.O. Emission Factors for Open and Domestic Biomass Burning for Use in Atmospheric Models. Atmos. Chem. Phys. 2011, 11, 4039–4072. [Google Scholar] [CrossRef]
 - McMeeking, G.R. The Optical, Chemical, and Physical Properties of Aerosols and Gases Emitted by the Laboratory Combustion of Wildland Fuels; Dissertation Abstracts International. Ph.D. Thesis, Colorado State University, Fort Collins, CO, USA, 2008. [Google Scholar]
 - Randerson, J.T.; Van Der Werf, G.R.; Giglio, L.; Collatz, G.J.; Kasibhatla, P.S. Global Fire Emissions Database, Version 4.1 (GFEDv4); ORNL DAAC: Oak Ridge, TN, USA, 2015. [Google Scholar] [CrossRef]
 - Sulla-Menashe, D.; Friedl, M. MCD12Q1 MODIS/Terra+Aqua Land Cover Type Yearly L3 Global 500m SIN Grid V006. NASA EOSDIS L. Process. DAAC 2015, 10, 200. [Google Scholar] [CrossRef]
 - Giglio, L.; Randerson, J.T.; van der Werf, G.R. Analysis of Daily, Monthly, and Annual Burned Area Using the Fourth-Generation Global Fire Emissions Database (GFED4). J. Geophys. Res. Biogeosci. 2013, 118, 317–328. [Google Scholar] [CrossRef]
 - Randerson, J.T.; Chen, Y.; van der Werf, G.R.; Rogers, B.M.; Morton, D.C. Global Burned Area and Biomass Burning Emissions from Small Fires. J. Geophys. Res. Biogeosci. 2012, 117. [Google Scholar] [CrossRef]
 - Saatchi, S.S.; Harris, N.L.; Brown, S.; Lefsky, M.; Mitchard, E.T.A.; Salas, W.; Zutta, B.R.; Buermann, W.; Lewis, S.L.; Hagen, S.; et al. Benchmark Map of Forest Carbon Stocks in Tropical Regions across Three Continents. Proc. Natl. Acad. Sci. USA 2011, 108, 9899–9904. [Google Scholar] [CrossRef] [PubMed]
 - Baccini, A.; Goetz, S.J.; Walker, W.S.; Laporte, N.T.; Sun, M.; Sulla-Menashe, D.; Hackler, J.; Beck, P.S.A.; Dubayah, R.; Friedl, M.A.; et al. Estimated Carbon Dioxide Emissions from Tropical Deforestation Improved by Carbon-Density Maps. Nat. Clim. Chang. 2012, 2, 182–185. [Google Scholar] [CrossRef]
 - Santoro, M.; Beaudoin, A.; Beer, C.; Cartus, O.; Fransson, J.E.S.; Hall, R.J.; Pathe, C.; Schmullius, C.; Schepaschenko, D.; Shvidenko, A.; et al. Forest Growing Stock Volume of the Northern Hemisphere: Spatially Explicit Estimates for 2010 Derived from Envisat ASAR. Remote Sens. Environ. 2015, 168, 316–334. [Google Scholar] [CrossRef]
 - Santoro, M.; Beer, C.; Cartus, O.; Schmullius, C.; Shvidenko, A.; McCallum, I.; Wegmüller, U.; Wiesmann, A. Retrieval of Growing Stock Volume in Boreal Forest Using Hyper-Temporal Series of Envisat ASAR ScanSAR Backscatter Measurements. Remote Sens. Environ. 2011, 115, 490–507. [Google Scholar] [CrossRef]
 - Huete, A.; Justice, C.; Van Leeuwen, W. MODIS Vegetation Index (MOD13). Algorithm Theor. basis Doc. 1999, 3, 295–309. [Google Scholar]
 - Justice, C.O.; Vermote, E.; Townshend, J.R.G.; Defries, R.; Roy, D.P.; Hall, D.K.; Salomonson, V.V.; Privette, J.L.; Riggs, G.; Strahler, A. The Moderate Resolution Imaging Spectroradiometer (MODIS): Land Remote Sensing for Global Change Research. IEEE Trans. Geosci. Remote Sens. 1998, 36, 1228–1249. [Google Scholar] [CrossRef]
 - Van Der Werf, G.R.; Randerson, J.T.; Giglio, L.; Collatz, G.J.; Mu, M.; Kasibhatla, P.S.; Morton, D.C.; Defries, R.S.; Jin, Y.; Van Leeuwen, T.T. Global Fire Emissions and the Contribution of Deforestation, Savanna, Forest, Agricultural, and Peat Fires (1997–2009). Atmos. Chem. Phys. 2010. [Google Scholar] [CrossRef]
 - Wiedinmyer, C.; Quayle, B.; Geron, C.; Belote, A.; McKenzie, D.; Zhang, X.; O’Neill, S.; Wynne, K.K. Estimating Emissions from Fires in North America for Air Quality Modeling. Atmos. Environ. 2006, 40, 3419–3432. [Google Scholar] [CrossRef]
 - Wu, J.; Kong, S.; Wu, F.; Cheng, Y.; Zheng, S.; Yan, Q.; Zheng, H.; Yang, G.; Zheng, M.; Liu, D.; et al. Estimating the Open Biomass Burning Emissions in Central and Eastern China from 2003 to 2015 Based on Satellite Observation. Atmos. Chem. Phys. 2018, 18, 11623–11646. [Google Scholar] [CrossRef]
 - Bray, C.D.; Battye, W.; Aneja, V.P.; Tong, D.Q.; Lee, P.; Tang, Y. Ammonia Emissions from Biomass Burning in the Continental United States. Atmos. Environ. 2018, 187, 50–61. [Google Scholar] [CrossRef]
 - Ito, A.; Penner, J.E. Global Estimates of Biomass Burning Emissions Based on Satellite Imagery for the Year 2000. J. Geophys. Res. Atmos. 2004, 109, D14S05. [Google Scholar] [CrossRef]
 - Hansen, M.C.; Defries, R.S.; Townshend, J.R.G.; Sohlberg, R. Global Land Cover Classification at 1 Km Spatial Resolution Using a Classification Tree Approach. Int. J. Remote Sens. 2000, 21, 1331–1364. [Google Scholar] [CrossRef]
 - Shi, Y.; Zang, S.; Matsunaga, T.; Yamaguchi, Y. A Multi-Year and High-Resolution Inventory of Biomass Burning Emissions in Tropical Continents from 2001–2017 Based on Satellite Observations. J. Clean. Prod. 2020, 270, 122511. [Google Scholar] [CrossRef]
 - Anderson, G.K.; Sandberg, D.V.; Norheim, R.A. Fire Emission Production Simulator (FEPS) User’s Guide. 2004. Available online: https://www.fs.fed.us/pnw/fera/publications/fulltext/FEPS_User_Guide.pdf (accessed on 22 June 2022).
 - Randerson, J.T.; Van Der Werf, G.R.; Giglio, L.; Collatz, G.J.; Kasibhatla, P.S. Global Fire Emissions Database, Version 4, (GFEDv4); ORNL DAAC: Oak Ridge, TN, USA, 2018. [Google Scholar] [CrossRef]
 - Rolph, G.; Stein, A.; Stunder, B. Real-Time Environmental Applications and Display SYstem: READY. Environ. Model. Softw. 2017, 95, 210–228. [Google Scholar] [CrossRef]
 - Haridas, M.K.M.; Rao, P.V.N.; Rao, K.S.; Sudhakar, P. Studies of Forest Fire Induced Changes in Atmosphere over Uttarakhand, India, Using Space Based Observations and Model Simulations. Curr. Sci. 2018, 114, 2504–2512. [Google Scholar] [CrossRef]
 - Reddy, C.S.; Bird, N.G.; Sreelakshmi, S.; Manikandan, T.M.; Asra, M.; Krishna, P.H.; Jha, C.S.; Rao, P.V.N.; Diwakar, P.G. Identification and Characterization of Spatio-Temporal Hotspots of Forest Fires in South Asia. Environ. Monit. Assess. 2019, 191, 791. [Google Scholar] [CrossRef]
 - Kumar, A.; Bali, K.; Singh, S.; Naja, M.; Mishra, A.K. Estimates of Reactive Trace Gases (NMVOCs, CO and NOx) and Their Ozone Forming Potentials during Forest Fire over Southern Himalayan Region. Atmos. Res. 2019, 227, 41–51. [Google Scholar] [CrossRef]
 - Gong, P.; Wang, X. Forest Fires Enhance the Emission and Transport of Persistent Organic Pollutants and Polycyclic Aromatic Hydrocarbons from the Central Himalaya to the Tibetan Plateau. Environ. Sci. Technol. Lett. 2021, 8, 498–503. [Google Scholar] [CrossRef]
 - Chatterjee, A.; Mukherjee, S.; Dutta, M.; Ghosh, A.; Ghosh, S.K.; Roy, A. High Rise in Carbonaceous Aerosols under Very Low Anthropogenic Emissions over Eastern Himalaya, India: Impact of Lockdown for COVID-19 Outbreak. Atmos. Environ. 2021, 244, 117947. [Google Scholar] [CrossRef] [PubMed]
 - Sandeep, K.; Panicker, A.S.; Gautam, A.S.; Beig, G.; Gandhi, N.; S, S.; Shankar, R.; Nainwal, H.C. Black Carbon over a High Altitude Central Himalayan Glacier: Variability, Transport, and Radiative Impacts. Environ. Res. 2022, 204, 112017. [Google Scholar] [CrossRef]
 - Shi, Y.; Matsunaga, T.; Yamaguchi, Y. High-Resolution Mapping of Biomass Burning Emissions in Three Tropical Regions. Environ. Sci. Technol. 2015, 49, 10806–10814. [Google Scholar] [CrossRef]
 









| Data | Product ID | Characteristics | Source | 
|---|---|---|---|
| Burn area | MCD64A1 v006 | Monthly and 500 m | Land Processes Distributed Active Archive Center (LP DAAC) | 
| Land Use Land Cover | Decadal and 100 m | EarthData https://earthdata.nasa.gov/ (accessed on 22 June 2022)  | |
| Biomass | 1 km | GEOCARBON global biomass http://lucid.wur.nl/ (accessed on 22 June 2022)  | |
| Normalized Difference Vegetation Index (NDVI) | MOD13A2 | 16 Days and 1 km | NASA LP DAAC https://lpdaac.usgs.gov/ (accessed on 22 June 2022)  | 
| Percent Tree Cover | MOD44B | Yearly and 250 m | |
| Emission Factors | [3,7,26,35,54,55,56] | ||
| Global Fire Emissions Database, Version 4.1s | GFEDv4.1s | Monthly and 0.25° | ORNL DAAC https://daac.ornl.gov/ (accessed on 22 June 2022)  | 
| Meteorological (Wind Vector)  | Hourly and 0.1° | ECMWF https://www.ecmwf.int/ (accessed on 22 June 2022)  | 
| Forest Types | CO | CO2 | CH4 | NOx | SO2 | NH3 | PM2.5 | PM10 | OC | BC | 
|---|---|---|---|---|---|---|---|---|---|---|
| EBF | 92.0 (±27) | 1663.0 (±58) | 5.1 (±2.0) | 2.6 (±1.4) | 0.5 (±0.2) | 0.8 (±1.2) | 9.7 (±3.5) | 13.86 | 4.7 (±2.7) | 0.5 (±0.3) | 
| ENF | 118 (±45) | 1514.0 (±121) | 6 (±3.1) | 1.8 (±0.7) | 1.0 (±0.3) | 3.5 (±2.3) | 13.0 (±5.9) | 18.57 | 7.8 (±4.8) | 0.2 (±0.2) | 
| DBF | 102 (±19) | 1630.0 (±37) | 5.0 (±0.9) | 1.3 (±0.6) | 1.0 (±0.3) | 1.5 (±0.4) | 13.0 (±5.6) | 18.57 | 9.2 (±4.8) | 0.6 (±0.2) | 
| DNF | 118 (±45) | 1514.0 (±121) | 6.0 (±3.1) | 3.0 (±0.7) | 1.0 (±0.3) | 3.5 (±2.3) | 13.6 (±5.9) | 19.43 | 7.8 (±4.8) | 0.2 (±0.2) | 
| MF | 102.0 (±19) | 1630.0 (±37) | 5.0 (±0.9) | 1.3 (±0.6) | 1.0 (±0.3) | 1.5 (±0.4) | 13.0 (±5.6) | 18.57 | 9.2 (±4.8) | 0.6 (±0.2) | 
| Shrub | 68.0 (±17) | 1716.0 (±38) | 2.6 (±0.9) | 3.9 (±0.8) | 0.7 (±0.3) | 1.2 (±0.4) | 9.3 (±3.4) | 13.29 | 6.6 (±1.2) | 0.5 (±0.2) | 
| Grass | 59.0 (±17) | 1692.0 (±38) | 1.5 (±0.9) | 2.8 (±0.8) | 0.5 (± 0.3) | 0.5 (±0.4) | 5.4 (±3.4) | 7.71 | 2.6 (±1.2) | 0.4 (±0.2) | 
| Regions | CO | CO2 | CH4 | NOx | SO2 | NH3 | PM2.5 | PM10 | OC | BC | 
|---|---|---|---|---|---|---|---|---|---|---|
| Western Himalaya | 0.32  (±0.25)  | 4.92  (±3.90)  | 0.016  (±0.012)  | 0.004  (±0.0033)  | 0.003  (±0.002)  | 0.005  (±0.004)  | 0.04  (±0.03)  | 0.06  (±0.04)  | 0.027  (±0.021)  | 0.0017  (±0.0013)  | 
| Nepal | 0.97  (±0.78)  | 15.52  (±12.39)  | 0.048  (±0.038)  | 0.013  (±0.010)  | 0.009  (±0.008)  | 0.014  (±0.011)  | 0.124  (±0.098)  | 0.176  (±0.141)  | 0.087  (±0.069)  | 0.006  (±0.005)  | 
| Eastern Himalaya | 1.23  (±0.88)  | 20.37  (±14.56)  | 0.063  (±0.045)  | 0.021  (±0.015)  | 0.011  (±0.007)  | 0.016  (±0.011)  | 0.149  (±0.106)  | 0.213  (±0.151)  | 0.098  (±0.068)  | 0.007  (±0.005)  | 
| Emissions in Tg | 2001–2010 | 2011–2020 | ||||
|---|---|---|---|---|---|---|
| β (Trend) | p | R2 | β (Trend) | p | R2 | |
| CO | 0.333 | 0.015 * | 0.54 | −0.165 | 0.293 | 0.14 | 
| CO2 | 5.468 | 0.015 * | 0.54 | −2.738 | 0.276 | 0.15 | 
| CH4 | 0.017 | 0.015 * | 0.54 | −0.008 | 0.279 | 0.14 | 
| NOx | 0.005 | 0.015 * | 0.55 | −0.003 | 0.191 | 0.2 | 
| SO2 | 0.003 | 0.016 * | 0.54 | −0.001 | 0.346 | 0.11 | 
| NH3 | 0.004 | 0.017 * | 0.53 | −0.002 | 0.356 | 0.11 | 
| PM2.5 | 0.041 | 0.016 * | 0.54 | −0.02 | 0.311 | 0.13 | 
| PM10 | 0.058 | 0.016 * | 0.54 | −0.029 | 0.311 | 0.13 | 
| OC | 0.057 | 0.035 * | 0.45 | −0.012 | 0.794 | 0.01 * | 
| BC | 0.002 | 0.015 * | 0.54 | −0.001 | 0.293 | 0.14 | 
| Species | r | R2 | p | RMSE (Tg) | MAE (Tg) | 
|---|---|---|---|---|---|
| CO2 | 0.93 | 0.86 | <0.01 * | 5.93 | 9.33 | 
| CO | 0.92 | 0.85 | <0.01 * | 0.73 | 0.77 | 
| OC | 0.80 | 0.64 | <0.01 * | 0.16 | 0.34 | 
| BC | 0.93 | 0.86 | <0.01 * | 0.003 | 0.005 | 
| CH4 | 0.91 | 0.84 | <0.01 * | 0.025 | 0.052 | 
| NOx | 0.92 | 0.85 | <0.01 * | 0.007 | 0.014 | 
Publisher’s Note: MDPI stays neutral with regard to jurisdictional claims in published maps and institutional affiliations.  | 
© 2022 by the authors. Licensee MDPI, Basel, Switzerland. This article is an open access article distributed under the terms and conditions of the Creative Commons Attribution (CC BY) license (https://creativecommons.org/licenses/by/4.0/).
Share and Cite
Bar, S.; Parida, B.R.; Pandey, A.C.; Kumar, N. Pixel-Based Long-Term (2001–2020) Estimations of Forest Fire Emissions over the Himalaya. Remote Sens. 2022, 14, 5302. https://doi.org/10.3390/rs14215302
Bar S, Parida BR, Pandey AC, Kumar N. Pixel-Based Long-Term (2001–2020) Estimations of Forest Fire Emissions over the Himalaya. Remote Sensing. 2022; 14(21):5302. https://doi.org/10.3390/rs14215302
Chicago/Turabian StyleBar, Somnath, Bikash Ranjan Parida, Arvind Chandra Pandey, and Navneet Kumar. 2022. "Pixel-Based Long-Term (2001–2020) Estimations of Forest Fire Emissions over the Himalaya" Remote Sensing 14, no. 21: 5302. https://doi.org/10.3390/rs14215302
APA StyleBar, S., Parida, B. R., Pandey, A. C., & Kumar, N. (2022). Pixel-Based Long-Term (2001–2020) Estimations of Forest Fire Emissions over the Himalaya. Remote Sensing, 14(21), 5302. https://doi.org/10.3390/rs14215302
        