Accurate Estimation of Chlorophyll-a Concentration in the Coastal Areas of the Ebro Delta (NW Mediterranean) Using Sentinel-2 and Its Application in the Selection of Areas for Mussel Aquaculture
Abstract
1. Introduction
2. Materials and Methods
2.1. Study Area
2.2. In Situ Measurements
2.3. Maps of Chlorophyll-a from Sentinel-2
2.4. Carrying Capacity Model
3. Results
3.1. In Situ Measurements
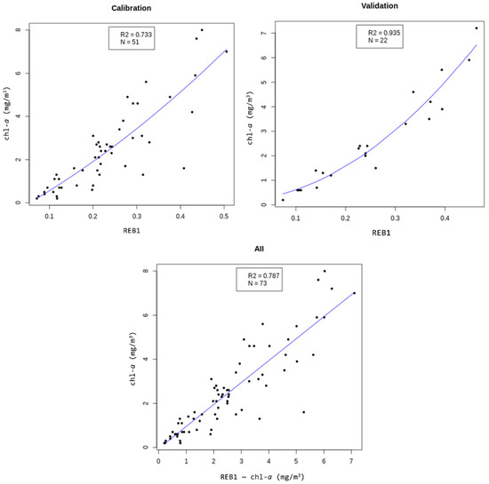
3.2. Maps of Chlorophyll-a from Sentinel-2
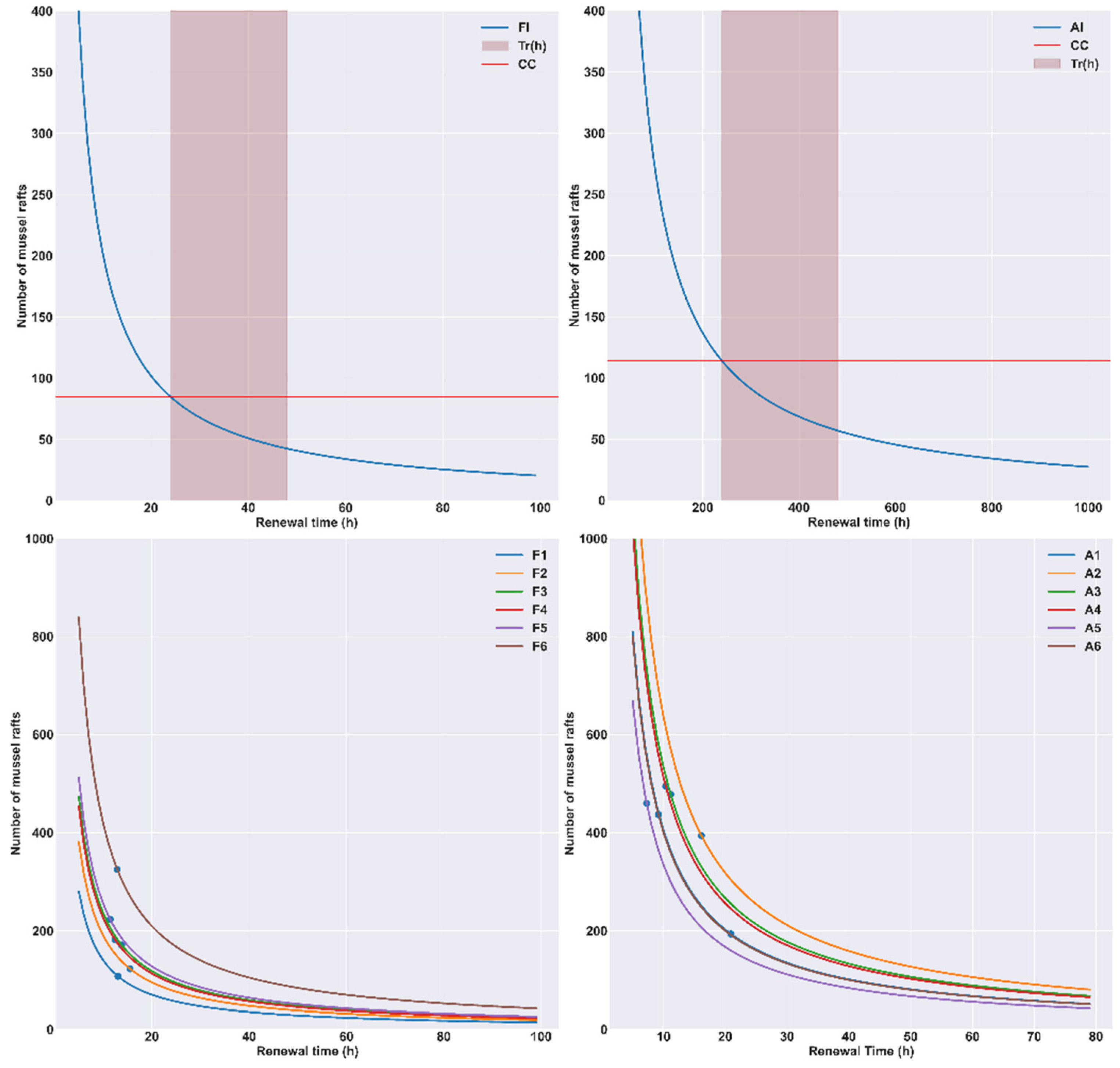
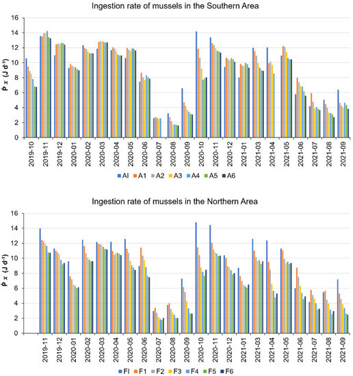
3.3. Carrying Capacity Model
4. Discussion
5. Conclusions
Supplementary Materials
Author Contributions
Funding
Data Availability Statement
Acknowledgments
Conflicts of Interest
References
- Brigolin, D.; Porporato, E.M.D.; Prioli, G.; Pastres, R. Making space for shellfish farming along the Adriatic coast. Ices J. Mar. Sci. 2017, 74, 1540–1551. [Google Scholar] [CrossRef]
- Giordano, L.; Portacci, G.; Caroppo, C. Multidisciplinary tools for sustainable management of an ecosystem service: The case study of mussel farming in the Mar Piccolo of Taranto (Mediterranean, Ionian Sea). Ocean Coast. Manag. 2019, 176, 11–23. [Google Scholar] [CrossRef]
- Habbane, M.; ElSabh, M.I.; Dubois, J.M. Determination of potential for aqua-culture activities via passive teledetection and a grid-based geographical information system—Application to coastal waters to the Baie-des-Chaleurs (Eastern Canada). Int. J. Remote Sens. 1997, 18, 3439–3457. [Google Scholar] [CrossRef]
- Hou, Y.; Zhao, G.; Chen, X.; Yu, X. Improving Satellite Retrieval of Coastal Aquaculture Pond by Adding Water Quality Parameters. Remote Sens. 2022, 14, 3306. [Google Scholar] [CrossRef]
- Radiarta, I.N.; Saitoh, S.-I. Biophysical models for Japanese scallop, Mizuhopecten yessoensis, aquaculture site selection in Funka Bay, Hokkaido, Japan, using remotely sensed data and geographic information system. Aquac. Int. 2009, 17, 403–419. [Google Scholar] [CrossRef]
- Babin, M.; Roesler, C.S.; Cullen, J.J. Real-Time Coastal Observing Systems for Marine Ecosystem Dynamics and Harmful Algal Blooms: Theory, Instrumentation and Modelling. In Monographs on Oceanographic Methodology; UNESCO: Paris, France, 2008. [Google Scholar]
- Silva, A.; Pinto, L.; Rodrigues, S.M.; de Pablo, H.; Santos, M.; Moita, T.; Mateus, M. A HAB warning system for shellfish harvesting in Portugal. Harmful Algae 2016, 53, 33–39. [Google Scholar] [CrossRef] [PubMed]
- Torres Palenzuela, J.M.; Gonzalez Vilas, L.; Bellas, F.M.; Garet, E.; Gonzalez-Fernandez, A.; Spyrakos, E. Pseudo-nitzschia Blooms in a Coastal Upwelling System: Remote Sensing Detection, Toxicity and Environmental Variables. Water 2019, 11, 1954. [Google Scholar] [CrossRef]
- Touza, I.S.; Rodriguez, J.E.A.; Pet, J.V.; Cumbreno, J.D.R. An Information System to Reduce the Effects of Red Tides in the Galician Rias. In Proceedings of the Systems of Optical Security 2003 Conference, Warsaw, Poland, 11–12 December 2003; pp. 33–37. [Google Scholar]
- Wakamatsu, L.; Britten, G.L.; Styles, E.J.; Fischer, A.M. Chlorophyll-a and Sea Surface Temperature Changes in Relation to Paralytic Shellfish Toxin Production off the East Coast of Tasmania, Australia. Remote Sens. 2022, 14, 665. [Google Scholar] [CrossRef]
- Wolny, J.L.; Tomlinson, M.C.; Uz, S.S.; Egerton, T.A.; McKay, J.R.; Meredith, A.; Reece, K.S.; Scott, G.P.; Stumpf, R.P. Current and Future Remote Sensing of Harmful Algal Blooms in the Chesapeake Bay to Support the Shellfish Industry. Front. Mar. Sci. 2020, 7, 337. [Google Scholar] [CrossRef]
- DeLuca, N.M.; Zaitchik, B.F.; Guikema, S.D.; Jacobs, J.M.; Davis, B.J.K.; Curriero, F.C. Evaluation of remotely sensed prediction and forecast models for Vibrio parahaemolyticus in the Chesapeake Bay. Remote Sens. Environ. 2020, 250, 112016. [Google Scholar] [CrossRef]
- Uz, S.S.; Ames, T.J.; Memarsadeghi, N.; McDonnell, S.M.; Blough, N.V.; Mehta, A.V.; McKay, J.R. Supporting Aquaculture in the Chesapeake Bay Using Artificial Intelligence to Detect Poor Water Quality with Remote Sensing. In Proceedings of the IEEE International Geoscience and Remote Sensing Symposium (IGARSS), Electr Network, Waikoloa, HI, USA, 26 September–2 October 2020; pp. 3629–3632. [Google Scholar]
- Huot, Y.; Babin, M.; Bruyant, F.; Grob, C.; Twardowski, M.S.; Claustre, H. Relationship between photosynthetic parameters and different proxies of phytoplankton biomass in the subtropical ocean. Biogeosciences 2007, 4, 853–868. [Google Scholar] [CrossRef]
- Muller-Karger, F.E.; Miloslavich, P.; Bax, N.J.; Simmons, S.; Costello, M.J.; Sousa Pinto, I.; Canonico, G.; Turner, W.; Gill, M.; Montes, E.; et al. Advancing Marine Biological Observations and Data Requirements of the Complementary Essential Ocean Variables (EOVs) and Essential Biodiversity Variables (EBVs) Frameworks. Front. Mar. Sci. 2018, 5, 211. [Google Scholar] [CrossRef]
- Miloslavich, P.; Bax, N.J.; Simmons, S.E.; Klein, E.; Appeltans, W.; Aburto-Oropeza, O.; Andersen Garcia, M.; Batten, S.D.; Benedetti-Cecchi, L.; Checkley Jr., D. M.; et al. Essential ocean variables for global sustained observations of biodiversity and ecosystem changes. Glob. Change Biol. 2018, 24, 2416–2433. [Google Scholar] [CrossRef] [PubMed]
- Staehr, S.U.; Van der Zande, D.; Staehr, P.A.U.; Markager, S. Suitability of multisensory satellites for long-term chlorophyll assessment in coastal waters: A case study in optically-complex waters of the temperate region. Ecol. Indic. 2022, 134, 108479. [Google Scholar] [CrossRef]
- Pahlevan, N.; Mangin, A.; Balasubramanian, S.V.; Smith, B.; Alikas, K.; Arai, K.; Barbosa, C.; Bélanger, S.; Binding, C.; Bresciani, M.; et al. ACIX-Aqua: A global assessment of atmospheric correction methods for Landsat-8 and Sentinel-2 over lakes, rivers, and coastal waters. Remote Sens. Environ. 2021, 258, 112366. [Google Scholar] [CrossRef]
- Gordon, H.R.; Morel, A.Y. Remote Assessment of Ocean Color for Interpretation of Satellite Visible Imagery. A Review; Springer: New York, NY, USA, 1983; p. 114. [Google Scholar]
- Soriano-González, J.; Urrego, E.P.; Sòria-Perpinyà, X.; Angelats, E.; Alcaraz, C.; Delegido, J.; Ruíz-Verdú, A.; Tenjo, C.; Vicente, E.; Moreno, J. Towards the Combination of C2RCC Processors for Improving Water Quality Retrieval in Inland and Coastal Areas. Remote Sens. 2022, 14, 1124. [Google Scholar] [CrossRef]
- Chen, J.; Zhang, M.; Cui, T.; Wen, Z. A Review of Some Important Technical Problems in Respect of Satellite Remote Sensing of Chlorophyll-a Concentration in Coastal Waters. IEEE J. Sel. Top. Appl. Earth Obs. Remote Sens. 2013, 6, 2275–2289. [Google Scholar] [CrossRef]
- FAO. The State of World Fisheries and Aquaculture 2022. Towards Blue Transformation; FAO: Rome, Italy, 2022. [Google Scholar]
- Naylor, R.L.; Hardy, R.W.; Buschmann, A.H.; Bush, S.R.; Cao, L.; Klinger, D.H.; Little, D.C.; Lubchenco, J.; Shumway, S.E.; Troell, M. A 20-year retrospective review of global aquaculture. Nature 2021, 591, 551–563. [Google Scholar] [CrossRef]
- Lucas, L.V.; Cloern, J.E.; Thompson, J.K.; Stacey, M.T.; Koseff, J.R. Bivalve Grazing Can Shape Phytoplankton Communities. Front. Mar. Sci. 2016, 3, 14. [Google Scholar] [CrossRef]
- Krause, G.; Le Vay, L.; Buck, B.; Costa-Pierce, B.; Dewhurst, T.; Heasman, K.; Nevejan, N.; Nielsen, P.; Nielsen, K.N.; Park, K.; et al. Prospects of Low Trophic Marine Aquaculture Contributing to Food Security in a Net Zero-Carbon World. Front. Sustain. Food Syst. 2022, 6, 875509. [Google Scholar] [CrossRef]
- Wijsman, J.W.M.; Troost, K.; Fang, J.; Roncarati, A. Global Production of Marine Bivalves. Trends and Challenges. In Goods and Services of Marine Bivalves; Smaal, A.C., Ferreira, J.G., Grant, J., Petersen, J.K., Strand, Ø., Eds.; Springer: Cham, Switzerland, 2019; pp. 7–26. [Google Scholar]
- Raymond, W.W.; Barber, J.S.; Dethier, M.N.; Hayford, H.A.; Harley, C.D.G.; King, T.L.; Paul, B.; Speck, C.A.; Tobin, E.D.; Raymond, A.E.T.; et al. Assessment of the impacts of an unprecedented heatwave on intertidal shellfish of the Salish Sea. Ecology 2022, 103, e3798. [Google Scholar] [CrossRef] [PubMed]
- White, R.; Anderson, S.; Booth, J.; Braich, G.; Draeger, C.; Fei, C.; Harley, C.; Henderson, S.; Jakob, M.; Lau, C.-A.; et al. The Unprecedented Pacific Northwest Heatwave of June 2021. Phys. Sci. 2022. [Google Scholar] [CrossRef]
- Seuront, L.; Nicastro, K.R.; Zardi, G.I.; Goberville, E. Decreased thermal tolerance under recurrent heat stress conditions explains summer mass mortality of the blue mussel Mytilus edulis. Sci. Rep. 2019, 9, 17498. [Google Scholar] [CrossRef] [PubMed]
- Harley, C.D.G. Tidal dynamics, topographic orientation, and temperature-mediated mass mortalities on rocky shores. Mar. Ecol. Prog. Ser. 2008, 371, 37–46. [Google Scholar] [CrossRef]
- Juza, M.; Tintoré, J. Multivariate Sub-Regional Ocean Indicators in the Mediterranean Sea: From Event Detection to Climate Change Estimations. Front. Mar. Sci. 2021, 8, 610589. [Google Scholar] [CrossRef]
- Juza, M.; Fernández-Mora, À.; Tintoré, J. Sub-Regional Marine Heat Waves in the Mediterranean Sea From Observations: Long-Term Surface Changes, Sub-Surface and Coastal Responses. Front. Mar. Sci. 2022, 9, 785771. [Google Scholar] [CrossRef]
- Ramon, M.; Fernandez, M.; Galimany, E. Development of mussel (Mytilus galloprovincialis) seed from two different origins in a semi-enclosed Mediterranean Bay (NE Spain). Aquaculture 2007, 264, 148–159. [Google Scholar] [CrossRef]
- Guyondet, T.; Roy, S.; Koutitonsky, V.G.; Grant, J.; Tita, G. Integrating multiple spatial scales in the carrying capacity assessment of a coastal ecosystem for bivalve aquaculture. J. Sea Res. 2010, 64, 341–359. [Google Scholar] [CrossRef]
- van der Veer, H.W.; Alunno-Bruscia, M. The DEBIB project: Dynamic Energy Budgets in Bivalves. J. Sea Res. 2006, 56, 81–84. [Google Scholar] [CrossRef]
- Smaal, A.C.; van Duren, L.A. Bivalve Aquaculture Carrying Capacity: Concepts and Assessment Tools. In Goods and Services of Marine Bivalves; Smaal, A.C., Ferreira, J.G., Grant, J., Petersen, J.K., Strand, Ø., Eds.; Springer: Cham, Switzerland, 2019; pp. 451–483. [Google Scholar]
- Dame, R.F.; Prins, T.C. Bivalve carrying capacity in coastal ecosystems. Aquat. Ecol. 1997, 31, 409–421. [Google Scholar] [CrossRef]
- Kooijman, S.A.L.M. Energy budgets can explain body size relations. J. Theor. Biol. 1986, 121, 269–282. [Google Scholar] [CrossRef]
- Cardoso, J.F.M.F.; van der Veer, H.W.; Kooijman, S.A.L.M. Body-size scaling relationships in bivalve species: A comparison of field data with predictions by the Dynamic Energy Budget (DEB) theory. J. Sea Res. 2006, 56, 125–139. [Google Scholar] [CrossRef]
- Dong, S.; Wang, F.; Zhang, D.; Yu, L.; Pu, W.; Shang, Y. Growth performance and ecological services evaluation of razor clams based on dynamic energy budget model. J. Environ. Manag. 2022, 306, 114329. [Google Scholar] [CrossRef] [PubMed]
- Fuentes-Santos, I.; Labarta, U.; Álvarez-Salgado, X.A. Modelling mussel shell and flesh growth using a dynamic net production approach. Aquaculture 2019, 506, 84–93. [Google Scholar] [CrossRef]
- Troost, T.A.; Wijsman, J.W.; Saraiva, S.; Freitas, V. Modelling shellfish growth with dynamic energy budget models: An application for cockles and mussels in the Oosterschelde (southwest Netherlands). Philos. Trans. R Soc. Lond. B Biol. Sci. 2010, 365, 3567–3577. [Google Scholar] [CrossRef]
- Cardoso, J.F.M.F.; Witte, J.I.J.; van der Veer, H.W. Intra- and interspecies comparison of energy flow in bivalve species in Dutch coastal waters by means of the Dynamic Energy Budget (DEB) theory. J. Sea Res. 2006, 56, 182–197. [Google Scholar] [CrossRef]
- Duarte, P.; Fernandez-Reiriz, M.J.; Labarta, U. Modelling mussel growth in ecosystems with low suspended matter loads using a Dynamic Energy Budget approach. J. Sea Res. 2012, 67, 44–57. [Google Scholar] [CrossRef]
- Stechele, B.; Maar, M.; Wijsman, J.; Van der Zande, D.; Degraer, S.; Bossier, P.; Nevejan, N. Comparing life history traits and tolerance to changing environments of two oyster species (Ostrea edulis and Crassostrea gigas) through Dynamic Energy Budget theory. Conserv. Physiol. 2022, 10, coac034. [Google Scholar] [CrossRef]
- Filgueira, R.; Guyondet, T.; Comeau, L.A.; Grant, J. A fully-spatial ecosystem-DEB model of oyster (Crassostrea virginica) carrying capacity in the Richibucto Estuary, Eastern Canada. J. Mar. Syst. 2014, 136, 42–54. [Google Scholar] [CrossRef]
- Pete, R.; Guyondet, T.; Bec, B.; Derolez, V.; Cesmat, L.; Lagarde, F.; Pouvreau, S.; Fiandrino, A.; Richard, M. A box-model of carrying capacity of the Thau lagoon in the context of ecological status regulations and sustainable shellfish cultures. Ecol. Model. 2020, 426, 109049. [Google Scholar] [CrossRef]
- Barille, L.; Le Bris, A.; Goulletquer, P.; Thomas, Y.; Glize, P.; Kane, F.; Falconer, L.; Guillotreau, P.; Trouillet, B.; Palmer, S.; et al. Biological, socio-economic, and administrative opportunities and challenges to moving aquaculture offshore for small French oyster-farming companies. Aquaculture 2020, 521, 735045. [Google Scholar] [CrossRef]
- Gernez, P.; Barille, L.; Lerouxel, A.; Mazeran, C.; Lucas, A.; Doxaran, D. Remote sensing of suspended particulate matter in turbid oyster-farming ecosystems. J. Geophys. Res. Ocean. 2014, 119, 7277–7294. [Google Scholar] [CrossRef]
- Graham, P.; Falconer, L.; Telfer, T.; Mossone, P.; Viale, I.; Carboni, S. A modelling approach to classify the suitability of shallow Mediterranean lagoons for pacific oyster, Crassostrea gigas (Thunberg, 1793) farming. Ocean Coast. Manag. 2020, 192, 105234. [Google Scholar] [CrossRef]
- Palmer, S.C.J.; Gornez, P.M.; Thomas, Y.; Simis, S.; Miller, P.I.; Glize, P.; Barille, L. Remote Sensing-Driven Pacific Oyster (Crassostrea gigas) Growth Modeling to Inform Offshore Aquaculture Site Selection. Front. Mar. Sci. 2020, 6, 802. [Google Scholar] [CrossRef]
- Stechele, B.; van der Zande, D.; Alvera-Azcárate, A.; Delbare, D.; Lacroix, G.; Nevejan, N. Biological site suitability for exposed self-regulating cultivation of blue mussel (Mytilus edulis): A Belgian case study. Aquac. Eng. 2022, 98, 102264. [Google Scholar] [CrossRef]
- Gencat. Evolució de la Producció Aqüícola Marina. Departament d’Acció Climàtica, Alimentació i Agenda Rural. Available online: http://agricultura.gencat.cat/ca/ambits/pesca/aquicultura/estadistica-aquicultura/evolucio-produccio-aquicola/ (accessed on 30 August 2022).
- Cerralbo, P.; Espino, M.; Grifoll, M. Modeling circulation patterns induced by spatial cross-shore wind variability in a small-size coastal embayment. Ocean Model. 2016, 104, 84–98. [Google Scholar] [CrossRef]
- F.-Pedrera Balsells, M.; Grifoll, M.; Fernández-Tejedor, M.; Espino, M. Short-Term Response of Chlorophyll a Concentration Due to Intense Wind and Freshwater Peak Episodes in Estuaries: The Case of Fangar Bay (Ebro Delta). Water 2021, 13, 701. [Google Scholar] [CrossRef]
- Soriano-González, J.; Angelats, E.; Fernández-Tejedor, M.; Diogene, J.; Alcaraz, C. First Results of Phytoplankton Spatial Dynamics in Two NW-Mediterranean Bays from Chlorophyll-a Estimates Using Sentinel 2: Potential Implications for Aquaculture. Remote Sens. 2019, 11, 1756. [Google Scholar]
- Angelats, E.; Soriano-González, J.; Fernández-Tejedor, M.; Alcaraz, C. Combined flooding and water quality monitoring during short extreme events using Sentinel-2: The caes study of Gloria storm in Ebro delta. ISPRS Ann. Photogramm. Remote Sens. Spat. Inf. Sci. 2022, V-3-2022, 361–368. [Google Scholar] [CrossRef]
- Camp, J.; Delgado, M. Hidrografía de las Bahías del Delta del Ebro. Investig. Pesq. 1987, 51, 351–369. [Google Scholar]
- Jeffrey, S.W.; Humphrey, G.F. New spectrophotometric equations for determining chlorophylls a, b, c1 and c2 in higher plants, algae and natural phytoplankton. Biochem. Und Physiol. Der Pflanz. 1975, 167, 191–194. [Google Scholar] [CrossRef]
- SNAP-ESA Sentinel Application Platform v 8.0. Available online: http://step.esa.int (accessed on 1 July 2022).
- RCoreTeam A Language and Environment for Statistical Computing, R Foundation for Statistical Computing: Vienna, Austria. Available online: https://www.R-project.org (accessed on 1 July 2022).
- Brockmann, C.; Doerffer, R.; Peters, M.; Kerstin, S.; Embacher, S.; Ruescas, A. Evolution of the C2RCC Neural Network for Sentinel 2 and 3 for the Retrieval of Ocean Colour Products in Normal and Extreme Optically Complex Waters. In Proceedings of the Living Planet Symposium, Prague, Czech Republic, 1 August 2016; p. 54. [Google Scholar]
- Warren, M.A.; Simis, S.G.H.; Martinez-Vicente, V.; Poser, K.; Bresciani, M.; Alikas, K.; Spyrakos, E.; Giardino, C.; Ansper, A. Assessment of atmospheric correction algorithms for the Sentinel-2A MultiSpectral Imager over coastal and inland waters. Remote Sens. Environ. 2019, 225, 267–289. [Google Scholar] [CrossRef]
- Kanamitsu, M.; Ebisuzaki, W.; Woollen, J.; Yang, S.-K.; Hnilo, J.J.; Fiorino, M.; Potter, G.L. NCEP–DOE AMIP-II Reanalysis (R-2). Bull. Am. Meteorol. Soc. 2002, 83, 1631–1644. [Google Scholar] [CrossRef]
- NASA Goddard Space Flight Center, O.E.L. Ocean Biology Processing Group. Ancillary Meteorological Ocean Color Data, NASA OB.DAAC. 2018. Available online: https://disc.gsfc.nasa.gov/datasets/OMTO3_003/summary (accessed on 17 July 2022).
- OceanColor Data. Available online: https://oceandata.sci.gsfc.nasa.gov (accessed on 27 September 2021).
- Pereira-Sandoval, M.; Ruescas, A.; Urrego, P.; Ruiz-Verdú, A.; Delegido, J.; Tenjo, C.; Soria-Perpinyà, X.; Vicente, E.; Soria, J.; Moreno, J. Evaluation of Atmospheric Correction Algorithms over Spanish Inland Waters for Sentinel-2 Multi Spectral Imagery Data. Remote Sens. 2019, 11, 1469. [Google Scholar] [CrossRef]
- Cui, T.; Zhang, J.; Groom, S.; Sun, L.; Smyth, T.; Sathyendranath, S. Validation of MERIS ocean-color products in the Bohai Sea: A case study for turbid coastal waters. Remote Sens. Environ. 2010, 114, 2326–2336. [Google Scholar] [CrossRef]
- Cairo, C.; Barbosa, C.; Lobo, F.; Novo, E.; Carlos, F.; Maciel, D.; Flores Júnior, R.; Silva, E.; Curtarelli, V. Hybrid Chlorophyll-a Algorithm for Assessing Trophic States of a Tropical Brazilian Reservoir Based on MSI/Sentinel-2 Data. Remote Sens. 2020, 12, 40. [Google Scholar] [CrossRef]
- O’Reilly, J.E.; Werdell, P.J. Chlorophyll algorithms for ocean color sensors—OC4, OC5 & OC6. Remote Sens. Environ. 2019, 229, 32–47. [Google Scholar] [CrossRef] [PubMed]
- Gitelson, A.A.; Gao, B.-C.; Li, R.-R.; Berdnikov, S.; Saprygin, V. Estimation of chlorophyll-a concentration in productive turbid waters using a Hyperspectral Imager for the Coastal Ocean—The Azov Sea case study. Environ. Res. Lett. 2011, 6, 024023. [Google Scholar] [CrossRef]
- Mishra, S.; Mishra, D.R. Normalized difference chlorophyll index: A novel model for remote estimation of chlorophyll-a concentration in turbid productive waters. Remote Sens. Environ. 2012, 117, 394–406. [Google Scholar] [CrossRef]
- Niroumand-Jadidi, M.; Bovolo, F.; Bruzzone, L.; Gege, P. Inter-Comparison of Methods for Chlorophyll-a Retrieval: Sentinel-2 Time-Series Analysis in Italian Lakes. Remote Sens. 2021, 13, 2381. [Google Scholar] [CrossRef]
- QGIS.org. QGIS Geographic Information System, QGIS Association. Available online: http://www.qgis.org (accessed on 21 April 2022).
- Rosland, R.; Strand, Ø.; Alunno-Bruscia, M.; Bacher, C.; Strohmeier, T. Applying Dynamic Energy Budget (DEB) theory to simulate growth and bio-energetics of blue mussels under low seston conditions. J. Sea Res. 2009, 62, 49–61. [Google Scholar] [CrossRef]
- Kooijman, S.A.L.M. Dynamic Energy and Mass Budgets in Biological Systems, 2nd ed.; Cambridge University Press: Cambridge, UK, 2000. [Google Scholar]
- van der Veer, H.W.; Cardoso, J.F.M.F.; van der Meer, J. The estimation of DEB parameters for various Northeast Atlantic bivalve species. J. Sea Res. 2006, 56, 107–124. [Google Scholar] [CrossRef]
- Galimany, E.; Ramón, M.; Ibarrola, I. Feeding behavior of the mussel Mytilus galloprovincialis (L.) in a Mediterranean estuary: A field study. Aquaculture 2011, 314, 236–243. [Google Scholar] [CrossRef]
- Ibáñez-Solé, J. Modelo Dinámico Para el Cálculo de la Capacidad de Carga de una Bahía Costera Para el Cultivo de Bivalvos; Universidad Nacional de Educación a Distancia (España); Facultad de Ciencias: Mexico City, Mexico, 2014. [Google Scholar]
- Aquaculture Stewardship Council. ASC Bivalve Standard, version 1.1; Aquaculture Stewardship Council: Utrecht, The Netherlands, 2019. [Google Scholar]
- Clementi, E.; Aydogdu, A.; Goglio, A.C.; Pistoia, J.; Escudier, R.; Drudi, M.; Grandi, A.; Mariani, A.; Lyubartsev, V.; Lecci, R.; et al. Mediterranean Sea Physical Analysis and Forecast (CMEMS MED-Currents, EAS6 system) (Version 1) set. Copernicus Monitoring Environment Marine Service (CMEMS). 2021. Available online: https://resources.marine.copernicus.eu/product-detail/MEDSEA_ANALYSISFORECAST_PHY_006_013/INFORMATION (accessed on 1 June 2022).
- Delgado, M. Fitoplancton de las Bahías del Delta del Ebro. Investig. Pesq. 1987, 51, 517–548. [Google Scholar]
- Matthews, M.W. A current review of empirical procedures of remote sensing in inland and near-coastal transitional waters. Int. J. Remote Sens. 2011, 32, 6855–6899. [Google Scholar] [CrossRef]
- Ligi, M.; Kutser, T.; Kallio, K.; Attila, J.; Koponen, S.; Paavel, B.; Soomets, T.; Reinart, A. Testing the performance of empirical remote sensing algorithms in the Baltic Sea waters with modelled and in situ reflectance data. Oceanologia 2017, 59, 57–68. [Google Scholar] [CrossRef]
- Moore, T.S.; Dowell, M.D.; Bradt, S.; Ruiz Verdu, A. An optical water type framework for selecting and blending retrievals from bio-optical algorithms in lakes and coastal waters. Remote Sens. Environ. 2014, 143, 97–111. [Google Scholar] [CrossRef]
- Spyrakos, E.; O’Donnell, R.; Hunter, P.D.; Miller, C.; Scott, M.; Simis, S.G.H.; Neil, C.; Barbosa, C.C.F.; Binding, C.E.; Bradt, S.; et al. Optical types of inland and coastal waters. Limnol. Oceanogr. 2018, 63, 846–870. [Google Scholar] [CrossRef]
- Uudeberg, K.; Ansko, I.; Põru, G.; Ansper, A.; Reinart, A. Using Optical Water Types to Monitor Changes in Optically Complex Inland and Coastal Waters. Remote Sens. 2019, 11, 2297. [Google Scholar] [CrossRef]
- Anestis, A.; Lazou, A.; Poertner, H.O.; Michaelidis, B. Behavioral, metabolic, and molecular stress responses of marine bivalve Mytilus galloprovincialis during long-term acclimation at increasing ambient temperature. Am. J. Physiol. Regul. Integr. Comp. Physiol. 2007, 293, R911–R921. [Google Scholar] [CrossRef] [PubMed]
- Filgueira, R.; Chica, M.; Palacios, J.J.; Strohmeier, T.; Lavaud, R.; Agüera, A.; Damas, S.; Strand, Ø. Embracing multimodal optimization to enhance Dynamic Energy Budget parameterization. Ecol. Model. 2020, 431, 109139. [Google Scholar] [CrossRef]
- Filgueira, R.; Strople, L.C.; Strohmeier, T.; Rastrick, S.; Strand, Ø. Mussels or tunicates: That is the question. Evaluating efficient and sustainable resource use by low-trophic species in aquaculture settings. J. Clean. Prod. 2019, 231, 132–143. [Google Scholar] [CrossRef]
- Gibbs, M.T. Sustainability performance indicators for suspended bivalve aquaculture activities. Ecol. Indic. 2007, 7, 94–107. [Google Scholar] [CrossRef]
- Dabrowski, T.; Lyons, K.; Curé, M.; Berry, A.; Nolan, G. Numerical modelling of spatio-temporal variability of growth of Mytilus edulis (L.) and influence of its cultivation on ecosystem functioning. J. Sea Res. 2013, 76, 5–21. [Google Scholar] [CrossRef]
- Filgueira, R.; Guyondet, T.; Thupaki, P.; Sakamaki, T.; Grant, J. The effect of embayment complexity on ecological carrying capacity estimations in bivalve aquaculture sites. J. Clean. Prod. 2021, 288, 125739. [Google Scholar] [CrossRef]










| Bands Combination | References | Equations |
|---|---|---|
| Red to Green ratio (RG) | [69] | Rrs(B4)/Rrs(B3) |
| Blue to Green ratio (BG) | Based on OC2 [70] | Rrs (B2)/Rrs(B3) |
| Blue to Green ratio 2 (BG2) | Based on OC3 [70] | max (Rrs (B1), Rrs (B2))/Rrs(B3) |
| Red Edge 1 to Blue (REB1) | [70] | Rrs (B5)/Rrs(B2) |
| Red Edge 1 to Green (REG1) | [69] | Rrs (B5)/Rrs(B3) |
| Red Edge 1 to Red (RER) | [69,71] | Rrs (B5)/Rrs(B4) |
| Red Edge 2 to Green (REG2) | [69] | Rrs (B6)/Rrs(B3) |
| GIT (3 band model) | [71] | (1/Rrs(B4) − 1/Rrs(B5)) × Rrs(B6) |
| Normalized Difference Chlorophyll Index (NDCI) | [72] | (Rrs(B6) − Rrs(B5))/(Rrs(B6) + Rrs(B5)) |
| apig (apig) | [73] | apig |
| Parameter | Unit | Definition | Value |
|---|---|---|---|
| J cm−2 d−1 | Maximum Surface area-specific assimilation rate | 273 | |
| mg C m−3 | Half saturation coefficient | calculated 1 | |
| K | Arrhenius temperature | 5800 | |
| K | Reference temperature | 289 | |
| K | Lower boundary of tolerance range | 275 | |
| K | Upper boundary of tolerance range | 296 | |
| K | Arrhenius temperature for rate of decrease at lower boundary | 45,430 | |
| K | Arrhenius temperature for rate of decrease at upper boundary | 31,376 | |
| Shape coefficient | 0.29 | ||
| V | cm3 | Bivalve volume | 0.06 |
| Cf | Jµg−1 chla | 0.419 |
| Bands Combination | C2-Nets | FIT 1 | MAE (mg/m3) | APD (%) | RMSE (mg/m3) | BIAS (mg/m3) | r |
|---|---|---|---|---|---|---|---|
| RG | C2RCC | Pm4 | 0.736 | 39.843 | 1.107 | −0.075 | 0.820 |
| RG | C2XC | Pm4 | 0.703 | 59.572 | 0.949 | 0.083 | 0.870 |
| BG | C2RCC | Lm | 0.726 | 39.815 | 1.107 | −0.070 | 0.817 |
| BG | C2XC | LLPm3 | 0.734 | 39.634 | 1.120 | −0.102 | 0.816 |
| BG2 | C2RCC | Lm | 0.751 | 59.752 | 1.013 | −0.061 | 0.850 |
| BG2 | C2XC | LLPm3 | 0.734 | 39.634 | 1.120 | −0.102 | 0.816 |
| REB1 | C2RCC | Lm | 0.741 | 39.530 | 1.101 | 0.018 | 0.820 |
| REB1 | C2XC | Pm2 | 0.598 | 36.216 | 0.887 | 0.054 | 0.887 |
| REG1 | C2RCC | Lm | 0.738 | 38.898 | 1.097 | −0.027 | 0.820 |
| REG1 | C2XC | Pm4 | 0.616 | 42.844 | 0.878 | −0.022 | 0.889 |
| RER | C2RCC | Lm | 0.745 | 51.303 | 1.090 | −0.056 | 0.825 |
| RER | C2XC | LLPm4 | 1.005 | 73.194 | 1.428 | −0.263 | 0.682 |
| REG2 | C2RCC | Lm | 0.742 | 51.294 | 1.047 | 0.039 | 0.839 |
| REG2 | C2XC | LLPm2 | 0.669 | 50.039 | 0.947 | −0.048 | 0.870 |
| GIT | C2RCC | Lm | 0.748 | 54.933 | 1.038 | 0.019 | 0.842 |
| GIT | C2XC | LLPm4 | 1.052 | 79.078 | 1.486 | −0.223 | 0.644 |
| NDCI | C2RCC | Lm | 0.749 | 42.445 | 1.104 | 0.095 | 0.820 |
| NDCI | C2XC | Pm4 | 1.358 | 113.510 | 1.880 | −0.297 | 0.251 |
| apig | C2RCC | Lm | 0.753 | 59.581 | 1.010 | −0.017 | 0.850 |
| apig | C2XC | LLPm4 | 1.064 | 78.601 | 1.483 | −0.193 | 0.661 |
| Area Code | Surface (m2) | Tr (h) | CC (Number of Mussel Rafts) | Cr (h) |
|---|---|---|---|---|
| AI | 3.7 × 107 | 240.5 | 114 | 331 |
| A1 | 5.5 × 106 | 20.9 | 194 | 29 |
| A2 | 7.5 × 106 | 16.1 | 352 | 19 |
| A3 | 7 × 106 | 11.1 | 478 | 15 |
| A4 | 6.8 × 106 | 10.3 | 494 | 14 |
| A5 | 4.8 × 106 | 7.3 | 460 | 10 |
| A6 | 6.1 × 106 | 9.2 | 437 | 14 |
| FI | 2.7 × 106 | 24.5 | 85 | 64 |
| F1 | 1.8 × 106 | 13 | 107 | 17 |
| F2 | 2.5 × 106 | 15.5 | 120 | 21 |
| F3 | 2.6 × 106 | 13.8 | 107 | 15 |
| F4 | 2.9 × 106 | 12.5 | 174 | 17 |
| F5 | 3.8 × 106 | 11.4 | 223 | 17 |
| F6 | 6.1 × 106 | 12.9 | 325 | 19 |
Publisher’s Note: MDPI stays neutral with regard to jurisdictional claims in published maps and institutional affiliations. |
© 2022 by the authors. Licensee MDPI, Basel, Switzerland. This article is an open access article distributed under the terms and conditions of the Creative Commons Attribution (CC BY) license (https://creativecommons.org/licenses/by/4.0/).
Share and Cite
Fernández-Tejedor, M.; Velasco, J.E.; Angelats, E. Accurate Estimation of Chlorophyll-a Concentration in the Coastal Areas of the Ebro Delta (NW Mediterranean) Using Sentinel-2 and Its Application in the Selection of Areas for Mussel Aquaculture. Remote Sens. 2022, 14, 5235. https://doi.org/10.3390/rs14205235
Fernández-Tejedor M, Velasco JE, Angelats E. Accurate Estimation of Chlorophyll-a Concentration in the Coastal Areas of the Ebro Delta (NW Mediterranean) Using Sentinel-2 and Its Application in the Selection of Areas for Mussel Aquaculture. Remote Sensing. 2022; 14(20):5235. https://doi.org/10.3390/rs14205235
Chicago/Turabian StyleFernández-Tejedor, Margarita, Jorge Enrique Velasco, and Eduard Angelats. 2022. "Accurate Estimation of Chlorophyll-a Concentration in the Coastal Areas of the Ebro Delta (NW Mediterranean) Using Sentinel-2 and Its Application in the Selection of Areas for Mussel Aquaculture" Remote Sensing 14, no. 20: 5235. https://doi.org/10.3390/rs14205235
APA StyleFernández-Tejedor, M., Velasco, J. E., & Angelats, E. (2022). Accurate Estimation of Chlorophyll-a Concentration in the Coastal Areas of the Ebro Delta (NW Mediterranean) Using Sentinel-2 and Its Application in the Selection of Areas for Mussel Aquaculture. Remote Sensing, 14(20), 5235. https://doi.org/10.3390/rs14205235

