Next Article in Journal
Comparison of Physical-Based Models to Measure Forest Resilience to Fire as a Function of Burn Severity
Previous Article in Journal
Multi-Feature Aggregation for Semantic Segmentation of an Urban Scene Point Cloud
 
 
Font Type:
Arial Georgia Verdana
Font Size:
Aa Aa Aa
Line Spacing:
Column Width:
Background:
Article

The Characteristics of Raindrop Size Distributions in Different Climatological Regions in South Korea

1
Atmospheric Environmental Research Institute (AERI), Pukyong National University, Busan 48513, Korea
2
Department of Civil and Environmental Engineering, Chuang-Ang University, Seoul 06974, Korea
3
Flight Safety Technology Division, NARO Space Center, Korea Aerospace Research Institute (KARI), Goheung-gun 59571, Korea
4
National Institute of Meteorological Sciences, 33 Seohobuk-ro, Seongwipo-si 63568, Korea
*
Author to whom correspondence should be addressed.
Remote Sens. 2022, 14(20), 5137; https://doi.org/10.3390/rs14205137
Submission received: 22 September 2022 / Revised: 3 October 2022 / Accepted: 13 October 2022 / Published: 14 October 2022
(This article belongs to the Section Atmospheric Remote Sensing)

Abstract

To understand the microphysical characteristics of rainfall in four different climatological regions (called BOS, BUS, CPO, and JIN) in South Korea, DSDs and their variables, including the mass-weighted mean diameter (Dm) and normalized number concentration (logNw), were examined. To examine the characteristics of DSDs at four sites with different climatology and topography, data measured from Parsivel disdrometer and wind direction from Automatic Weather System (AWS) during rainy seasons from June to August for three years (2018 to 2020) were analyzed. The DSDs variables were calculated using Gamma distribution model. In the coastal area, larger raindrops with a lower number concentration occurred, whereas smaller raindrops with a higher number concentration dominated in the middle land and mountain region. The mountain area of CPO and middle land area of JIN had a larger contribution to the rain rate than that of the coastal area of BOS and JIN in the range of the smallest diameter. The contribution of the drop size to the total number concentration at the CPO and JIN sites was larger (smaller) than that at BOS and BUS in the smallest (larger) diameter. The average shape and slope parameter of gamma model were higher values at the mountain area than at other sites for both rain types, Z-R relation and polarimetric variables were also shown different values at the four studied sites. The intercept coefficient of Z-R relation showed higher values in the mountain area and middle land area than the coastal area. The slope values of Z-R relation were the smallest in the mountain area. The polarimetric variables of ZH and ZDR were shown highest (lowest) value at the coastal region of BOS (mountain area of CPO) site for both rain types. The Dm-rose, which shows the Dm distributions with the wind direction, was used in this study. In the coastal area (mountain and middle land area), the dominant wind was east–southeast (east) direction. The ratio of the smaller diameter to the middle size at BOS was much smaller than that at CPO. In the analysis of the hourly distribution of the Dm and logNw, there were two and four peaks of Dm at BUS and BOS, respectively. There was one peak of the Dm at the CPO and JIN sites. The time variation of the Dm was much higher than that of the logNw.

Graphical Abstract

1. Introduction

Raindrop size distributions (DSDs) provide essential information about the microphysical characteristics of precipitation. DSDs also play a fundamental role in obtaining accurate rainfall estimations from weather radars and radio frequency conduction in the atmosphere [1,2].
There have been many DSD studies on its modeling based on observation, fitting the distribution with power-law [3], gamma distribution [4], and normalized gamma distribution [5]. To understand DSDs with rainfall types, many previous studies have focused on classifying rainfall into convective and stratiform types [6,7,8]. They have proposed a rainfall classification method using DSD parameters, such as the intercept, median diameter, normalized number concentration, and rain rate.
The spatial distributions of DSDs were retrieved from polarimetric radars to understand the microphysical characteristics and to improve the performance of radar rainfall estimation using a constrained gamma DSD model [9], a Bayesian approach [10], and a gamma DSD model [11]. Maki et al. [12] examined the effects of natural variations in rain DSDs on the rain rate estimates of an X-band polarimetric radar. The rainfall estimator R(KDP, ZDR) is the least sensitive to variations in DSDs, and R(ZH) is the most sensitive to them. Zhang et al. [13] improved the parameterization of rain microphysics obtained from the disdrometer and polarimetric radar for a numerical model using Kessler-type parameterization. They found that simplified constrained-gamma DSD model parameterization outperformed Marshall–Parmel model parameterization.
Power-law and gamma DSDs models have been used to describe the microphysics of widespread precipitation. Smith and Kliche [14] simulated power-law and gamma DSD models to understand their biases in terms of moment methods and found that the bias was stronger when high-order moments were used for the calculation. Montopoli et al. [15] proposed a new stochastic vector autoregressive semi-Markov model to generate the time series of the three driving parameters of a normalized gamma DSD using a Joss–Waldvogel disdrometer in the UK.
There have been also many studies on the characteristics of DSDs in different precipitation types, including thunderstorms [16,17], heavy rainfall [18], and squall-line events [11]. The characteristics of DSDs with rainfall types were examined in Italy [19] and south India [20]. In order to reduce the number of parameters of the gamma DSD model and to improve the radar rainfall estimation, the shape (μ) and slope (Λ) relations have been examined in many studies [21,22,23,24].
To understand the spatial variability of DSDs, Jaffrain et al. [25] examined the variability of DSDs using 16 Parsivel disdrometers spaced every 1 × 1 km2 in Switzerland. They found that the significant variability of the DSDs at a small scale was in the order of 20% for the total number concentration (Nt), 10% for the mass-weighted diameter (Dm), and 30% for the rain rate. Bringi et al. [26] estimated the spatial correlation between the DSD variables and the rain rate for the two precipitation types using S-band polarimetric radar and a 2-D video disdrometer. They found that the convective rain showed a shorter decorrelation distance than stratiform rain in the rain rate, and the correlation between the DSD variables and the rain rate from the radar and 2-D video disdrometer were in good agreement over distances ranging from 1.5 to 7 km.
Leinonen et al. [27] investigated the climatological characteristics of DSDs for five years in Finland to improve the understanding of high-latitude rain microphysics and to provide implications for ground-based and spaceborne radars. Bringi et al. [28] investigated the characteristics of DSDs using a normalized Gamma model in different climatic regions. They classified the precipitation into two rain types, including convective and stratiform rain, and analyzed the gamma parameters using DSDs observed (retrieved) using S-band polarimetric radar.
The regional variability of DSDs has been examined in many different countries. Marzuki et al. [29] examined the regional variability of raindrop size distribution using Parsivel disdrometer data at four different sites at a similar latitude across Indonesia. They found that regional variability is closely related to the variation of the terrain, mesoscale convective system propagation, and the horizontal landmass scale. Lam et al. [30] investigated the characteristics of DSDs in equatorial Malaysia using three years’ worth of JWD data. They compared Gamma distribution and normalized Gamma distribution derived from the moment method and maximum likelihood estimation (MLE) and found the normalized Gamma model with MLE provided better accuracy for long-term rain rate statistics. Malinga and Owolawi [31] investigated various parameters using Gamma and normalized Gamma models obtained using JWD data in South Africa and derived the relations between the raindrops and rain rate in many different rain types. Kozu et al. [32] examined seasonal and diurnal variations of DSDs in three different areas, Gandanki, Singapore, and Kototabang, using the moment method with three, four, and six moments. Montopoli et al. [33] analyzed the characteristics of DSD parameters for convective and stratiform rain in terms of a normalized gamma model in four different climatic regimes, the UK, Greece, Japan, and the US.
Seela et al. [34] examined the raindrop size distribution characteristics of summer and winter seasons in north Taiwan using 12 years DSD data measured from Joss-Waldvogel disdrometer (JWD). They found that winter rainfall has a higher number concentration of small raindrops and a lower number concentration of midsize and larger drops than those summer rainfall. They also found that the average Dm is higher in convective rainfall than stratiform rainfall for both seasons. Oue et al. [35] investigated the two types of precipitation particle distribution in convective cells accompanying a Baiu frontal rainband around Okinawa Island in Japan using C-band polarimetric radar and JWD. They compared DSD and radar variables for convective cells and stratiform cells. They found that higher (lower) number densities of small raindrops of 1–2 mm were dominated in stratiform (convective) cells. Chen et al. [36] analyzed the raindrop size distribution in the Meiyu season in Eastern China with rain types. They found that the mean logNw and Dm values are 3.8 (3.45) and 1.71 (1.3) mm for convective (stratiform) rain.
In the research on the decadal variability of DSDs in Busan, Korea, a higher rain rate, greater annual average Dm, and higher frequency of convective rain were shown in 2012 compared to 2002 [37]. The diurnal DSD variability, which shows maritime (continental) rainfall occurring in the daytime (night time), was examined using wind direction analysis in a coastal area in Korea [38]. Recently, Cha and Yum [39] examined the characteristics of DSDs in mountain and coastal regions using 2 years’ worth of Parsivel disdrometer data in Korea. They focused on the analysis of DSDs with different temperatures and found that the relatively warm temperature (−5 to 0 °C) increased the snow particle number densities at around 0.6–1 mm diameter and the relatively cold temperature (−15 to −10 °C) decreased it above 2 mm diameter.
There are still few studies on DSD parameters in the different climatological regions and especially with wind direction in Korea. To understand the characteristics of DSDs, Z-R relation, and polarimetric variables in different climatological regions in Korea, the observed DSDs from Parsivel at four different sites (two sites in a coastal area and lower altitude, one site in a middle land area, and one site in a mountain area) were examined. A new way of showing the averaged diameter with wind direction called Dm-rose was also proposed. In Section 2, the data and adopted methodology are described. The obtained results are explained in Section 3 and summarized in Section 4.

2. Materials and Methods

2.1. Datasets

To examine the characteristics of DSDs at 4 sites with different climatology and topography in South Korea, data obtained from PARSIVEL disdrometers during the rainy seasons from June to August for three years (2018 to 2020) were used. Figure 1 shows the locations of the four studied sites, including Daegwallyeong (hereafter CPO, 37.68709°N, 128.7587°E), Jincheon (hereafter JIN, 36.98°N, 127.44°E), Boseong (hereafter BOS, 34.76335°N, 127.2123°E), and Busan (hereafter BUS, 35.12°N, 129.1°E). CPO (JIN) is located at a relatively high (middle) latitude and higher (lower) altitude, whereas both BOS and BUS are located at a relatively lower latitude and coastal area. These locational differences among sites have resulted in distinguishable precipitation climatology. The yearly average rainfalls (10-year trend) for the last 30 years from 1991 to 2020 are around 1695.1 mm (−338.5 mm) for CPO, 1218.7 mm (−26.7 mm) for JIN, 1449.2 mm (+92.8 mm) for BOS, and 1576.7 mm (+32.4 mm) for BUS. Cheonan is the nearest official station to JIN, Goheung is the nearest site to BOS, and Pusan is the nearest site to BUS. Figure 2 shows the time series of annual rainfall for 30 years and the 10-year trend at each site.
The Parsivel disdrometer is a laser-optic system that measures 32 diameter channels from 0.062 mm to 24.5 mm; its detailed specifications are shown in [40]. The first two channels among 32 bins were not included in the analysis because of the low SNR (Signal-to-Noise Ratio) [41,42]. The Parsivel diserometer is widely used for the study on DSDs analysis due to its easy installation and cheap expense. However, there are four erroneous factors such as strong wind effect, marginal faller, and splashing effect. To remove these errors, the quality control algorithm for the Parsivel disdrometer was applied using the scheme proposed by Friedrich et al. [41].
| V o b s V r e f | < 0.6 V r e f
where V o b s is fall velocity observed by Parsivel disdrometer and V r e f is the reference fall velocity proposed by [43].
V r e f = 9.65 10.3 e x p ( 0.6 D )
The raindrop spectra were selected for the analysis when the observed fall velocity is satisfied with Equation (1).
In addition to this algorithm, if the 1 min rain rate was less than 0.1 mm h−1 or higher than 200 mm h−1, the corresponding spectra were removed as unreliable data. The sample numbers used for the analysis after the quality control algorithm for each site were 30,605 for BOS, 34,890 for BUS, 49,818 for CPO, and 28,041 for JIN. To propose a way of showing the Dm distribution with wind direction, the wind direction measured by Automatic Weather System (AWS) as the same period of Parsivel disdrometer.

2.2. Methodology

After the data quality control algorithm was applied to the DSD data, the DSD parameters were calculated using the Gamma distribution model proposed by Ulbrich [4], as shown in Equation (3).
N ( D ) = N 0 D μ exp ( Λ D )
where N(D) (mm−1 m−3) is the number concentration per unit volume for each drop diameter, N0 (mm−1−μ m−3) is an intercept parameter, Λ (mm−1) is the slope, and μ (dimensionless) indicates the shape parameter of the Gamma model. The nth moment for the DSDs, Mn, was calculated using Equation (4). Moments of the 2nd, 4th, and 6th orders were used to describe the DSD parameters in this study.
M n = N 0 Λ ( μ + n + 1 ) Γ ( μ + n + 1 )
Then, the Gamma DSD variables were calculated as follows [23]:
μ = ( 7 11 η ) ( η 2 + 14 η + 1 ) 1 / 2 2 ( η 1 ) ,
Λ = [ M 2 Γ ( μ + 5 ) M 4 Γ ( μ + 3 ) ] 1 / 2 = [ M 2 ( μ + 4 ) ( μ + 3 ) M 4 ] 1 / 2 ,
where η is the ratio of moments ( η = M 4 2 / M 2 M 6 ).
The additional DSD variables were calculated as follows [5] for the normalized gamma distributions:
D m = M 4 M 3 ,
L W C = π 6 ρ w M 3 ,
N w = 4 4 π ρ w ( L W C D m 4 ) ,
where D m is the mass-weighted mean diameter (mm) and N w is the normalized intercept parameter ( mm 1 m 3 ).
To find the differences in the DSD characteristics among rainfall types, the classification scheme proposed by [28] was applied to the data. When the 1 min rainfall rate is higher than 5 mm h−1 (0.5 mm h−1) and the standard deviation for five minutes rainfall rate is larger (smaller) than 1.5 mm h−1, then it is classified as convective (stratiform) rain. They used a 2 min averaged rain rate for the analysis; however, 1 min data were used in this study to retain more sampling numbers.
To compare Z-R relation and polarimetric variables at each site, T-matrix scattering simulation was executed. The T-matrix scattering simulation derived by Waterman [44] and programmed by Leinonen [45] was used in this study. The raindrop shape was represented by the combined drop axis ratio proposed by Beard and Kubesh [46]’s model for raindrops between 0.7 and 1.5 mm, by Thurai and Bringi [47]’s model for raindrop diameters larger than 1.5 mm, and by sphere model for raindrop diameter smaller than 0.7 mm. Additional parameters in the scattering simulation are the distribution of raindrop canting angles, the temperature, and the wavelength. In this study, the temperature is set to 20 °C and the distribution of canting angles is assumed to be Gaussian with an average of 0° and a standard deviation angle of 10°. The wavelengths for the simulation are 10.39 cm for CPO, 10.97 cm for JIN, 10.38 cm for BOS, and 11.06 cm for BUS. The rain rate was calculated by the following equation:
R = π 6 D m i n D m a x ρ w V t ( D ) N ( D ) d D ,
where ρ w is water density ( g   m 3 ), V t ( m   s 1 ) is the terminal velocity of raindrops with size. The relation between fall velocity and raindrop size is given by Atlas et al. [42].
To propose Dm-rose, the wind direction was selected when wind speed is stronger than 0.2 m s−1 and divided into 16 directions. Then, average Dm values and their frequency with 16 wind directions were calculated. The workflow of this study is shown in Figure 3.

3. Results

3.1. Average Drop Size Distributions

To understand the raindrop number concentration with the diameter at each site, average N(D)s were calculated (Figure 4). In the range smaller than 1 mm diameter, the CPO and JIN sites had larger number concentrations than the BUS and BOS sites. Between 1.5 mm and 4 mm in diameter, the number concentration of BOS (CPO) was larger (smaller) than at the other sites. In the range larger than 4 mm in diameter, BOS (BUS) had the largest (smallest) number density. The average Dm (LogNw) values of BOS, BUS, JIN, and CPO sites were 1.30 mm (3.58 mm 1 m 3 ), 1.15 mm (3.81 mm 1 m 3 ), 1.10 mm (3.88 mm 1 m 3 ) and 1.06 mm (4.06 mm 1 m 3 ), respectively. At the BUS and BOS sites in the coastal area, the rainfall consisted of larger raindrops with a lower number concentration. In the mountain area of the CPO and the middle land area of JIN sites, smaller raindrops with a higher number concentration dominated.
To find the number concentration of four different sites at the same rain rate, the rain rates were categorized into the three ranges of 0.1 < R < 5.0 mm h−1 (weak rain rate), 5.0 < R < 10.0 mm h−1 (moderate rain rate), and 10.0 mm h−1 < R (severe rain rate). Figure 5 shows the number concentration of the diameters with the three different rain rate categories. At the number concentration of a raindrop diameter of less than 1 mm, the CPO (BUS) site had the largest (smallest) number density in all rain rate categories. There were no samples observed at a diameter larger than 5 mm, and the three sites of BUS, CPO, and JIN had similar number concentrations in the weak rain rate category (Figure 5a). At the moderate rain rate (Figure 5b), the number density of the smaller diameter (less than 1 mm) at CPO was much higher than at the other sites, and the BOS site had a larger number concentration of middle and large size of diameters (larger than 1 mm). At the severe rain rate, the number density of all sites had similar patterns except for the BUS site, with a drop diameter of larger than 4 mm (Figure 5c).
To determine the contribution of the drop diameter to the rain rate and total number concentration, the drops were divided into four categories (D < 1 mm, 1 < D < 2 mm, 2 < D < 3 mm, and 4 mm < D). Figure 6 shows the contribution ratio of the rain rate to the total number concentration with respect to each raindrop diameter. In the case of the rain rate, its contribution to the raindrop diameter category of less than 1 mm was the largest (smallest) at the CPO (BOS) site. The rain rates at the CPO and JIN sites had larger contributions than at the BUS and BOS sites in the range of diameters of less than 1 mm. The raindrop category of 1 mm to 2 mm had the largest (smallest) contribution at the BUS (CPO) site. The mountain area of CPO and middle land area of JIN had a larger rain rate contribution than that of the coastal area of BOS and BUS in the range of the smallest diameter (less than 1 mm). For the larger raindrop diameter (larger than 1 mm), the pattern shows the reverse. More than 80% of the contributions of rain at all sites were less than 2 mm in diameter, whereas more than 79% of the contributions of the total number concentration occurred at a diameter of less than 1 mm. Similar to the rain rate contributions, the contributions of the total number concentration at CPO and JIN had larger values than those at BOS and BUS in a range of diameter less than 1 mm. At a diameter larger than 1 mm, BOS and BUS had larger contributions than those at CPO and JIN.

3.2. Average Drop Size Distributions with Rain Types

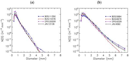
To determine the characteristics of DSDs with rain types, stratiform and convective rain were separated. Figure 7 shows the number concentrations of the diameters at four different sites with the rain types. The percentages of stratiform (convective) rain at BOS, BUS, CPO, and JIN were 66% (34%), 68% (32%), 71% (29%), and 75% (25%), respectively. The occurrence frequency of convective rain was higher in the coastal area of BOS and BUS than in the mountain area of CPO and the middle land area of JIN. The CPO site had the highest number concentration in both rain types at a raindrop diameter less than 1 mm. BOS had the highest number concentration at a diameter larger than 2 mm for stratiform rain. For convective rain, the BOS (BUS) site had the smallest number concentration at a raindrop size of less (larger) than 2 mm (4 mm) in diameter.
The average Dm values at BOS, BUS, CPO, and JIN for stratiform (convective) rain were 1.24 mm (1.84 mm), 1.11 mm (1.55 mm), 0.97 mm (1.45 mm), and 1.05 mm (1.59 mm), respectively. The average logNw at BOS, BUS, CPO, and JIN for stratiform (convective) rain were 3.62 mm 1 m 3 (3.70 mm 1 m 3 ), 3.83 mm 1 m 3 (4.04 mm 1 m 3 ), 4.23 mm 1 m 3 (4.14 mm 1 m 3 ), and 3.99 mm 1 m 3 (4.02 mm 1 m 3 ), respectively. The mean rain rates at BOS, BUS, CPO, and JIN for stratiform (convective) rain were 1.96 mm h−1 (17.97 mm h−1), 1.98 mm h−1 (17.31 mm h−1), 2.30 mm h−1 (13.93 mm h−1), and 2.03 mm h−1 (18.56 mm h−1), respectively (Table 1).
Figure 8 shows the occurrence frequency of shape parameter with rain types at the four different sites. The frequency of convective rain was larger than that of stratiform rain less than 7 for BOS, 7 for BUS, 7 for JIN, and 13 for CPO. There is one peak value of the frequency in stratiform rain at the four studied sites, whereas there are two peaks in convective rain at the CPO site. The average value of shape parameters for convective (stratiform) rain at the BOS, BUS, CPO, and JIN sites were 4.75 (7.70), 5.70(9.61), 7.74 (13.25), and 5.56 (9.82), respectively.
Figure 9 shows the occurrence frequency of slope parameter with rain types at the four different sites. The occurrence frequency of convective rain was larger than that of stratiform rain less than 7 mm 1 at BOS, less than 9 mm 1   at BUS, less than 9 mm 1   at JIN, and less than 17 mm 1   at CPO. There is also one peak value of the frequency in stratiform rain at the four studied sites, whereas there are two peaks in convective rain at CPO site. The average value of shape parameters for convective (stratiform) rain at the BOS, BUS, CPO, and JIN sites were 5.18 mm 1 (11.95), 6.99 mm 1 (14.66), 10.08 mm 1 (22.77), and 6.88 mm 1 (16.13), respectively.
Figure 10 shows a boxplot of the Dm and logNw average values for the stratiform and convective rain at each site, with the separation line of the rain types proposed by Bringi et al. [8] (BR09). The average Dm and logNw values at the four studied sites almost coincide with the BR09 line. The number concentrations for the stratiform and convective rain are not very different among the sites, but the average diameter has larger differences between the rain types.

3.3. The Characteristics of Z-R Relationship and Polarimetric Variables

In order to calculate the Z-R relation (R(Z)), rain rate and reflectivity were calculated by 1 min DSD spectra. Figure 11 shows the scatter plot of rain rate measured by DSDs and obtained Z-R relations at the four studied sites. The intercept values of the relations at the BOS, BUS, and JIN sites were around 0.06 and 0.1 at the CPO site. The slope values of Z-R relations were 0.62 at BOS, 0.64 at BUS, 0.63 at JIN, and 0.57 at CPO. The correlation coefficients of the relations at the four studied sites were distributed between 0.94 and 0.96. The most accurate relation with 2.647 mm h−1 of RMSE was obtained at the BUS site.
The Z-R relations for All, convective, and stratiform rain are summarized in Table 2.
To compare the characteristics of polarimetric variables with rain types, the occurrence frequency of horizontal reflectivity (ZH), differential reflectivity (ZDR), and specific differential phase (KDP) were calculated at the four studied sites. Figure 12 shows the occurrence frequency of reflectivity with rain types at each site. The frequency of stratiform rain was larger than that of convective rain weaker than 31 dBZ at BOS, 30 dBZ at BUS, 27 dBZ at CPO, and 29 dBZ at JIN. The average reflectivity of stratiform and convective rain were 22.6 dBZ and 38.0 dBZ at BOS, 22.4 dBZ and 36.6 dBZ at BUS, 21.9 dBZ and 35.1 dBZ at CPO, and 22.4 dBZ and 37.0 dBZ at JIN.
Figure 13 shows the occurrence frequency of differential reflectivity with rain types at each site. The frequency of stratiform rain was larger than that of convective rain weaker than 0.4 dB at BOS, 0.3 dB at BUS, 0.3 dB at CPO, and 0.4 dB at JIN. The average differential reflectivity of stratiform and convective rain were 0.24 dB and 0.71 dB at BOS, 0.19 dB and 0.53 dB at BUS, 0.15 dB and 0.48 dB at CPO, and 0.19 dB and 0.57 dB at JIN.
Figure 14 shows the occurrence frequency of specific differential phase with rain types at each site. The frequency of stratiform rain was 100% below 0.1 dB at the four studied sites. The average specific differential phase of stratiform rain for all sites were 0.1 deg km−1. The average specific differential phase of convective rain was 0.25 deg km−1 at BOS, 0.19 deg km−1 at BUS, 0.16 deg km−1 at CPO, and 0.22 deg km−1 at JIN. This would be one of research topic on separation of rain types using polarimetric radar observation.

3.4. Raindrop Size Distribution with Wind Direction and Its Hourly Variation

To determine the distributions of the raindrop size with wind direction at the four studied sites, the occurrence frequency of the Dm was calculated with the 16 wind directions. This concept comes from the wind rose, which displays the wind speed in different wind directions. In this study, Dm was used instead of the wind speed, and it is referred to as the Dm-rose. The program for display of Dm-rose was provided by [48] and modified.
Figure 15 shows the Dm-rose with four different categories (0–1 mm, 1–2 mm, 2–3 mm, and over 3 mm) at four different sites. At the BOS site (Figure 15a), the highest proportions of winds were 15.8% in the ESE and 15.7% in the SE, whereas the lowest was 1.1% in the NNE. Small drops of less than 1 mm occurred the most in the ESE, and middle-sized drops between 1 mm and 3 mm appeared more often in the SE than in the other directions. The occurrence frequency of drops larger than 3 mm was 0.1% in the ESE and SSE directions.
At the BUS site (Figure 15b), the highest proportions of wind were 18.7% in the ESE and 15.1% in the E, whereas the lowest was 0.6% in the NNW and 0.6% in the N. The small and middle-sized drops (less than 3 mm) occurred the most when the wind direction was ESE, whereas rain drops larger than 3 mm occurred the most in the SE direction. In the case of the CPO site, the east wind direction dominated, with 30.5%, and the second most frequent direction was ESE, with 19.2%. This is clearly different from the other sites, especially for the coastal area of the BOS and BUS sites. All the Dm sizes occurred the most in the E direction and the ratio of the occurrence of small drops (0–1 mm) to middle drops (1–2 mm) was larger than that of the other sites (Figure 15c). At the JIN site (Figure 15d), the east wind direction was also significant, at 15.0%, and the W direction occurred the least often, at 2.9%.
In the coastal areas of BOS and BUS (mountain area of CPO and middle land area of JIN), the dominant wind direction was ESE (E). The Dm-rose is a good indicator, showing the occurrence frequency of different raindrop sizes with the wind direction at a glance.
Figure 16 shows the hourly average Dm and logNw values at the four studied sites. When Dm is larger, the logNw is lower for all sites. The BOS site had the largest Dm and the lowest logNw for almost every day compared to the other sites. There are four peak values of Dm at the BOS site with two peaks in the morning and two peaks in the afternoon. At the BUS site, one peak of Dm occurred at 07 LST and one peak was at 18 LST. The lowest Dm for BUS occurred at 11 and 12 LST. In the case of the CPO (JIN) site, the peak value of Dm was at 08 (16) LST. The logNw of CPO (BOS) was larger than that of the other sites. The time variation of the Dm was much higher than that of the logNw.

4. Conclusions

To understand the microphysical characteristics of rainfall at four different climatological regions (called BOS, BUS, CPO, and JIN) in Korea, DSDs and their variables, including the mass-weighted mean diameter (Dm) and normalized number concentration (logNw), were examined. We also analyzed the Z-R relations and polarimetric variables at the four studied sites.
In the coastal areas of BOS and BUS, larger raindrops with a lower number concentration mainly comprised the rain, whereas smaller raindrops with a higher number concentration dominated in the mountain region of the CPO and the middle land region of JIN sites. At the CPO site, the number concentration of smaller raindrops (less than 1 mm) was the highest in the weak and moderate rain rate categories. The BOS site had a higher number concentration of diameters larger than 1 mm for the moderate rain rate category. For the severe rain rate category, the trends of the number concentration variation with diameter were not significantly different among the sites except for BUS, which had a diameter larger than 4 mm.
The contributions of the drop size to the rain rate and total number concentration were analyzed. The mountain area of CPO and middle land area of JIN had a larger contribution to the rain rate than that of the coastal area of BOS and JIN in the range of the smallest diameter. For the larger raindrop diameter, the pattern was the reverse. The contribution of the drop size to the total number concentration at the CPO and JIN sites was larger (smaller) than that at BOS and BUS for the smallest (larger) diameter.
The features of the DSD variables with the rain types, stratiform and convective rain, were analyzed. The proportion of stratiform rain was higher in the mountain and middle land area than that in the coastal area. This caused a larger (smaller) Dm and lower (higher) logNw at the BOS (JIN) and BUS CPO) sites for both rain types. The average shape and slope parameter of gamma model were higher values at the mountain region of CPO site than at other sites for both rain types.
The intercept coefficient of Z-R relation showed higher values in the mountain area and middle land area than the coastal area, whereas the slope coefficient had the smallest values in the mountain area. The polarimetric variables of ZH and ZDR were shown highest (lowest) value at the coastal region of BOS (mountain area of CPO) site for both rain types. These results are consistent with larger Dm at the coastal area than that at the mountain area. The average KDP had same value at the four studied sites for stratiform rain and had the highest (lowest) value at the coastal area of BOS (mountain area of CPO) for convective rain.
The Dm-rose, which shows the Dm distributions with wind direction, was proposed in this study. In the coastal area (mountain and middle land area), the dominant wind was ESE (E). The ratio of the smaller diameter to the middle size at BOS was much smaller than that at CPO. The Dm-rose is a good indicator of the occurrence frequency of different raindrop sizes with wind direction. In the analysis of the hourly distribution of the Dm and logNw, there were two and four peaks of the Dm at BUS and BOS, respectively, whereas there was one peak of the Dm at the CPO and JIN sites. The time variation of the Dm is much higher than that of the logNw.
Even though the DSDs of only summer seasons of three years were analyzed, we found that different characteristics of DSDs, Z-R relations, and polarimetric variables occurred in the different climatological regions of South Korea in this study. These results can contribute to further research on weather radar rainfall estimates and rain type classification.

Author Contributions

Conceptualization, C.-H.Y. and M.-Y.K.; methodology, M.-Y.K.; writing—original draft preparation, C.-H.Y.; writing—review and editing, C.-H.Y., M.-Y.K., H.-J.K., S.-H.S. and W.J.; visualization, C.-H.Y., H.-J.K. and S.-H.S.; project administration, C.-H.Y.; funding acquisition, C.-H.Y. All authors have read and agreed to the published version of the manuscript.

Funding

This research was supported by Basic Science Research Program through the National Research Foundation of Korea (NRF) funded by the Ministry of Education (NRF-2020R1I1A3066504).

Institutional Review Board Statement

Not applicable.

Informed Consent Statement

Not applicable.

Data Availability Statement

Not applicable.

Conflicts of Interest

The authors declare no conflict of interest.

References

  1. You, C.; Kang, M.; Lee, D.-I. Rainfall estimates with respect to rainfall types using S-band polarimetric radar in Korea. Atmosphere 2019, 10, 773. [Google Scholar] [CrossRef]
  2. Uijlenhoet, R.; Torres, D.S. Measurement and parameterization of rainfall microstructure. J. Hydrol. 2005, 328, 1–7. [Google Scholar] [CrossRef]
  3. Marshall, J.S.; Parmel, M.K. The distribution of raindrops with size. J. Meteor. 1948, 5, 165–166. [Google Scholar] [CrossRef]
  4. Ulbrich, C.W. Natural variations in the analytical form of the raindrop size distribution. J. Clim. Appl. Meteor. 1983, 22, 1764–1775. [Google Scholar] [CrossRef]
  5. Testud, J.; Oury, S.; Black, R.A.; Amayenc, P.; Dou, X. The concept of “normalized” distributions to describe raindrop spectra: A tool for cloud physics and cloud remote sensing. J. Appl. Meteor. 2001, 40, 1118–1140. [Google Scholar] [CrossRef]
  6. Penide, G.; Kumar, V.V.; Protat, A.; May, P.T. Statistics of drop size distribution parameters and rain rates for stratiform and convective precipitation during the north Australian wet season. Mon. Wea. Rev. 2013, 141, 3222–3237. [Google Scholar] [CrossRef]
  7. Tokay, A.; Short, D.A. Evidence from tropical raindrop spectra of the origin of rain from stratiform versus convective clouds. J. Appl. Meteor. 1996, 35, 355–371. [Google Scholar] [CrossRef]
  8. Bringi, V.N.; Williams, C.R.; Thurai, M.; May, P.T. Using dual-polarized radar and dual-frequency profiler for DSD characterization: A case study from Darwin, Australia. J. Atmos. Ocean. Technol. 2009, 26, 2107–2122. [Google Scholar] [CrossRef]
  9. Brandes, E.A.; Zhang, G.; Vivekanandan, J. Comparison of polarimetric radar drop size distribution retrieval algorithm. J. Atmos. Ocean. Technol. 2004, 21, 584–598. [Google Scholar] [CrossRef]
  10. Cao, Q.; Zhang, G.; Brandes, E.A.; Schuur, T.J. Polarimetric radar rain estimation through retrieval of drop size distribution using a Bayesian approach. J. Appl. Meteor. Climatol. 2010, 49, 973–990. [Google Scholar] [CrossRef]
  11. Bringi, V.N.; Huang, G.J.; Chandrasekar, V.; Gorgucci, E. A methodology for estimating the parameters of a gamma raindrop distribution model from polarimetric radar data: Application to a squall-line event from the TRMM/Brazil campaign. J. Atmos. Ocean. Technol. 2002, 19, 633–645. [Google Scholar] [CrossRef]
  12. Maki, M.; Park, S.-G.; Bringi, V.N. Effect of natural variations in rain drop size distributions on rain rate estimators of 3 cm wavelength polarimetric radar. J. Meteor. Soc. Jpn. 2005, 83, 871–893. [Google Scholar] [CrossRef]
  13. Zhang, G.; Sun, J.; Brandes, E.A. Improving parametrization of rain microphysics with disdrometer and radar observations. J. Atmos. Sci. 2006, 63, 1273–1290. [Google Scholar] [CrossRef]
  14. Smith, P.L.; Kliche, D.V. The bias in moment estimators for parameters of drop size distribution functions: Sampling from exponential distribution. J. Appl. Meteor. 2005, 44, 1195–1205. [Google Scholar] [CrossRef]
  15. Montopoli, M.; Marzano, F.S.; Vulpiani, G. Analysis and synthesis of raindrop size distribution time series from disrometer data. IEEE Trans. Geosci. Remote Sens. 2008, 46, 466–478. [Google Scholar] [CrossRef]
  16. Friedirch, K.; Kalina, E.; Masters, F.J.; Lopes, C.R. Drop-size distributions in thunderstorms measured by optical disdrometers during VORTEX2. Mon. Wea. Rev. 2013, 141, 1182–1203. [Google Scholar] [CrossRef]
  17. Brandes, E.A.; Zhang, G.; Vivekanandan, J. Drop size distribution retrieval with polarimetric radar: Model and application. J. Appl. Meteor. 2004, 43, 461–475. [Google Scholar] [CrossRef]
  18. Smith, J.A.; Hui, E.; Steiner, M.; Baeck, M.L.; Krajewski, W.F.; Ntelekos, A.A. Variability of rainfall rate and raindrop size distributions in heavy rain. Water Resour. Res. 2009, 45, 1–12. [Google Scholar] [CrossRef]
  19. Caracciolo, C.; Porcu, F.; Prodi, F. Precipitation classification at mid-latitudes in terms of drop size distribution parameters. Adv. Geosci. 2008, 16, 11–17. [Google Scholar] [CrossRef]
  20. Roy, S.S.; Datta, R.K.; Bhatia, R.C.; Sharma, A.K. Drop size distributions of tropical rain over south India. G Eofizika 2005, 22, 105–128. [Google Scholar]
  21. Kumar, L.S.; Lee, Y.H.; Ong, J.T. Two-parameter gamma drop size distribution models for Singapore. IEEE Trans. Geosci. Remote Sens. 2011, 49, 3371–3380. [Google Scholar] [CrossRef]
  22. Moisseev, D.N.; Chandrasekar, V. Examination of the µ–Λ relation suggested for drop size distribution parameters. J. Atmos. Ocean. Technol. 2007, 24, 847–855. [Google Scholar] [CrossRef]
  23. Zhang, G.; Vivekanandan, J.; Barndes, E.A.; Meneghini, R.; Kozu, T. The shape-slope relation in observed Gamma raindrop size distributions: Statistical error or useful information? J. Atmos. Ocean. Technol. 2003, 20, 1106–1119. [Google Scholar] [CrossRef]
  24. Rao, T.N.; Kirankumar, N.V.P.; Radhakrishna, B.; Rao, N. On the variability of the shape-slope parameter relations of the gamma raindrop size distribution model. Geophys. Res. Lett. 2006, 33, 6. [Google Scholar]
  25. Jaffrain, J.; Studzinski, A.; Berne, A. A network of disdrometers to quantify the small-scale variability of the raindrop size distribution. Water Resour. Res. 2011, 47, 8. [Google Scholar] [CrossRef]
  26. Bringi, V.N.; Tolstoy, L.; Thurai, M.; Petersen, W.A. Estimation of spatial correlation of drop size distribution parameters and rain rate using NASA’s S-band polarimetric radar and 2D video disdrometer network: Two case studies from MC3E. J. Hydrometeorol. 2015, 16, 1207–1221. [Google Scholar] [CrossRef]
  27. Leinonen, J.; Moisseev, D.; Leskinen, M.; Petersen, W.A. A climatology of disdrometer measurements of rainfall in Finland over five years with implications for global radar observation. J. Appl. Meteor. Climatol. 2012, 51, 392–404. [Google Scholar] [CrossRef]
  28. Bringi, V.N.; Chandraaekar, V.; Hubbert, J.; Gorgucci, E.; Randeu, W.L.; Schoenhuber, M. Raindrop size distribution in different climatic regimes from disdrometer and dual-polarized radar analysis. J. Atmos. Sci. 2003, 60, 354–365. [Google Scholar] [CrossRef]
  29. Marzuki, M.; Hashiguchi, H.; Yamamoto, M.K.; Mori, M.; Yamanaka, M.D. Regional variability of raindrop size distribution over Indonesia. Annl. Geophys. 2013, 31, 1941–1948. [Google Scholar] [CrossRef]
  30. Lam, H.Y.; Din, J.; Jong, S.L. Statistical and physical descriptions of raindrop size distributions in equatorial Malaysia from disdrometer observation. Adv. Meteorol. 2014, 2014, 12. [Google Scholar] [CrossRef]
  31. Malinga, S.J.; Owolawi, P.A. Obtaining raindrop size model using method of moment and its applications for south Africa radio systems. Prog. Electromagn. Res. B 2014, 46, 119–183. [Google Scholar] [CrossRef]
  32. Kozu, T.; Reddy, K.K.; Mori, S.; Thurai, M.; Ong, J.T.; Rao, D.N.; Shimomai, T. Seasonal and diurnal variations of raindrop size distribution in Asian monsoon region. J. Meteor. Soc. Jpn. 2006, 84, 195–209. [Google Scholar] [CrossRef]
  33. Montopoli, M.; Marzano, F.S.; Vulpiani, G.; Anagnostou, M.N.; Anagnostou, E.N. Statistical characterization and modeling of raindrop spectra time series for different climatological regions. IEEE Trans. Geosci. Remote Sens. 2008, 46, 2778–2787. [Google Scholar] [CrossRef]
  34. Seela, B.K.; Janapati, J.; Lin, P.-L.; Wang, P.K.; Lee, M.-T. Raindrop size distribution characteristics of summer and winter season rainfall over north Taiwan. J. Geophys. Res. Atmos. 2018, 123, 11–602. [Google Scholar] [CrossRef]
  35. Oue, M.; Uyeda, H.; Shusse, Y. Two types of precipitation particle distribution in convective cells accompanying a Baiu frontal rainband around Okinawa Island, Japan. J. Geophys. Res. 2010, 115, D02201. [Google Scholar] [CrossRef]
  36. Chen, B.; Yang, J.; Pu, J. Statistical characteristics of raindrop size distribution in the Meiyu season observed in eastern China. J. Meteor. Soc. Jpn. 2013, 91, 215–227. [Google Scholar] [CrossRef]
  37. You, C.-H.; Lee, D.-I. Decadal variation in raindrop size distributions in Busan, Korea. Adv. Meteorol. 2015, 2015, 8. [Google Scholar] [CrossRef]
  38. Suh, S.-H.; You, C.-H.; Lee, D.-I. Climatological characteristics of raindrop size distributions in Busan, Republic of Korea. Hydrol. Earth Syst. Sci. 2016, 20, 193–207. [Google Scholar] [CrossRef]
  39. Cha, J.W.; Yum, S.S. Characteristics of precipitation particles measured by Parsivel disdrometer at mountain and a coastal site in Korea. Asia-Pac. J. Atmos. Sci. 2021, 57, 176–261. [Google Scholar] [CrossRef]
  40. Loffler-Mang, M.; Joss, J. An optical disdrometer for measuring size and velocity of hydrometeors. J. Atmos. Ocean. Technol. 2000, 17, 130–139. [Google Scholar] [CrossRef]
  41. Friedrich, K.; Higgins, S.; Masters, F.J.; Lopez, C.R. Articulating and stationary PARSIVEL disdrometer measurements in conditions with strong winds and heavy rainfall. J. Atmos. Ocean. Technol. 2013, 30, 2063–2080. [Google Scholar] [CrossRef]
  42. Atlas, D.; Srivastava, R.C.; Sekhon, R.S. Doppler radar characteristics of precipitation at vertical incidence. Rev. Geophys. 1973, 11, 1–35. [Google Scholar] [CrossRef]
  43. Ji, L.; Chen, H.; Li, L.; Chen, B.; Xiao, X.; Chen, M.; Zhang, G. Raindrop size distributions and rain characteristics observed by a PARSIVEL disdrometer in Beijing, northern China. Remote Sens. 2019, 11, 1479. [Google Scholar] [CrossRef]
  44. Waterman, P.C. Symmetry, unitarity, and geometry in electromagnetic scattering. Phys. Rev. D 1971, 3, 825. [Google Scholar] [CrossRef]
  45. Leinonen, J. High-level interface to T-matrix scattering calculations: Architecture, capabilities and limitations. Opt. Express 2014, 22, 1655–1660. [Google Scholar] [CrossRef] [PubMed]
  46. Beard, K.V.; Kubesh, R.J. Laboratory measurements of small raindrop distortion. Part II: Oscillation frequencies and modes. J. Atmos. Sci. 1991, 48, 2245–2264. [Google Scholar] [CrossRef]
  47. Thurai, M.; Bringi, V.N. Drop axis ratios from 2D video disdrometer. J. Atmos. Ocean. Technol. 2005, 22, 963–975. [Google Scholar] [CrossRef]
  48. Coyote Graphics Routines. Available online: http://www.idlcoyote.com/idldoc/cg/cgwindrose.html (accessed on 21 September 2022).
Figure 1. The locations of the four PARSIVEL disdrometers (full circle), with topography. CPO site is located at the mountain area (849.15 m in altitude), JIN is a middle land area (111 m in altitude), BUS (1.41 m in altitude) and BOS (10 m in altitude) in a coastal area.
Figure 1. The locations of the four PARSIVEL disdrometers (full circle), with topography. CPO site is located at the mountain area (849.15 m in altitude), JIN is a middle land area (111 m in altitude), BUS (1.41 m in altitude) and BOS (10 m in altitude) in a coastal area.
Remotesensing 14 05137 g001
Figure 2. The time series of annual rainfall (blue) and the trend (red) for 30 years at (a) CPO, (b) JIN, (c) BOS, and (d) BUS site. Cheonan is the nearest official station to JIN, Goheung is the nearest site to BOS, and Pusan is the nearest site to BUS.
Figure 2. The time series of annual rainfall (blue) and the trend (red) for 30 years at (a) CPO, (b) JIN, (c) BOS, and (d) BUS site. Cheonan is the nearest official station to JIN, Goheung is the nearest site to BOS, and Pusan is the nearest site to BUS.
Remotesensing 14 05137 g002
Figure 3. The workflow of this study.
Figure 3. The workflow of this study.
Remotesensing 14 05137 g003
Figure 4. Average raindrop number concentration with diameter at four different sites. The rectangles in blue represent BOS, the triangles in red represent BUS, the circles in purple represent CPO, and the arrows in green represent the JIN site. The numbers in the legend are sampling numbers at each site.
Figure 4. Average raindrop number concentration with diameter at four different sites. The rectangles in blue represent BOS, the triangles in red represent BUS, the circles in purple represent CPO, and the arrows in green represent the JIN site. The numbers in the legend are sampling numbers at each site.
Remotesensing 14 05137 g004
Figure 5. Average raindrop number concentration with diameter at four different sites with respect to rain rate (a) 0.1 < R < 5.0 mm h−1, (b) 5.0 < R < 10.0 mm h−1, and (c) 10.0 mm h−1 < R. The rectangles in blue represent BOS, the triangles in red represent BUS, the circles in purple represent CPO, and the arrows in green represent the JIN site. The numbers in the legend represent the percentage of each rain rate.
Figure 5. Average raindrop number concentration with diameter at four different sites with respect to rain rate (a) 0.1 < R < 5.0 mm h−1, (b) 5.0 < R < 10.0 mm h−1, and (c) 10.0 mm h−1 < R. The rectangles in blue represent BOS, the triangles in red represent BUS, the circles in purple represent CPO, and the arrows in green represent the JIN site. The numbers in the legend represent the percentage of each rain rate.
Remotesensing 14 05137 g005
Figure 6. The contribution ratios of the raindrop diameter to (a) the rain rate and (b) the total number concentration. The blue represents BOS site, the red represents BUS site, the purple represents CPO site, and the green represents JIN site.
Figure 6. The contribution ratios of the raindrop diameter to (a) the rain rate and (b) the total number concentration. The blue represents BOS site, the red represents BUS site, the purple represents CPO site, and the green represents JIN site.
Remotesensing 14 05137 g006
Figure 7. Average number concentrations of diameter with rain types (a) stratiform and (b) convective rain at the four studied sites. The number in the legend represent the sample number. The rectangles in blue represent BOS, the triangles in red represent BUS, the circles in purple represent CPO, and the arrows in green represent the JIN site.
Figure 7. Average number concentrations of diameter with rain types (a) stratiform and (b) convective rain at the four studied sites. The number in the legend represent the sample number. The rectangles in blue represent BOS, the triangles in red represent BUS, the circles in purple represent CPO, and the arrows in green represent the JIN site.
Remotesensing 14 05137 g007
Figure 8. The occurrence frequency of shape parameters with rain type at (a) BOS, (b) BUS, (c) CPO, and (d) JIN site. The blue represents stratiform rain and the red represents convective rain. The legend shows the average (Avg.), standard deviation (Std.), and skewness (Skew) of shape parameter.
Figure 8. The occurrence frequency of shape parameters with rain type at (a) BOS, (b) BUS, (c) CPO, and (d) JIN site. The blue represents stratiform rain and the red represents convective rain. The legend shows the average (Avg.), standard deviation (Std.), and skewness (Skew) of shape parameter.
Remotesensing 14 05137 g008
Figure 9. The occurrence frequency of slope parameters with rain type at (a) BOS, (b) BUS, (c) CPO, and (d) JIN site. The blue represents stratiform rain and the red represents convective rain. The legend shows the average (Avg.), standard deviation (Std.), and skewness (Skew) of slope parameter.
Figure 9. The occurrence frequency of slope parameters with rain type at (a) BOS, (b) BUS, (c) CPO, and (d) JIN site. The blue represents stratiform rain and the red represents convective rain. The legend shows the average (Avg.), standard deviation (Std.), and skewness (Skew) of slope parameter.
Remotesensing 14 05137 g009
Figure 10. Boxplot of Dm and logNw values of convective and stratiform rain for each site. The line curve represents the separation line of rain types proposed by BR09. The section above (below) this line represents convective (stratiform) rain.
Figure 10. Boxplot of Dm and logNw values of convective and stratiform rain for each site. The line curve represents the separation line of rain types proposed by BR09. The section above (below) this line represents convective (stratiform) rain.
Remotesensing 14 05137 g010
Figure 11. The scatter plots of rain rate measured by DSD and R(Z) relations were obtained from DSDs at (a) BOS, (b) BUS, (c) CPO, and (d) JIN sites. The legend shows the Z-R relation, root mean square error (RMSE), and cross-correlation coefficient (CC).
Figure 11. The scatter plots of rain rate measured by DSD and R(Z) relations were obtained from DSDs at (a) BOS, (b) BUS, (c) CPO, and (d) JIN sites. The legend shows the Z-R relation, root mean square error (RMSE), and cross-correlation coefficient (CC).
Remotesensing 14 05137 g011
Figure 12. The occurrence frequency of reflectivity with rain types at (a) BOS, (b) BUS, (c) CPO, and (d) JIN site. The blue represents stratiform rain and the red represents convective rain. The legend shows the average (Avg.), standard deviation (Std.), and skewness (Skew) of reflectivity for both rain types.
Figure 12. The occurrence frequency of reflectivity with rain types at (a) BOS, (b) BUS, (c) CPO, and (d) JIN site. The blue represents stratiform rain and the red represents convective rain. The legend shows the average (Avg.), standard deviation (Std.), and skewness (Skew) of reflectivity for both rain types.
Remotesensing 14 05137 g012
Figure 13. The occurrence frequency of differential reflectivity with rain types at (a) BOS, (b) BUS, (c) CPO, and (d) JIN site. The blue represents stratiform rain and the red represents convective rain. The legend shows the average (Avg.), standard deviation (Std.), and skewness (Skew) of differential reflectivity for both rain types.
Figure 13. The occurrence frequency of differential reflectivity with rain types at (a) BOS, (b) BUS, (c) CPO, and (d) JIN site. The blue represents stratiform rain and the red represents convective rain. The legend shows the average (Avg.), standard deviation (Std.), and skewness (Skew) of differential reflectivity for both rain types.
Remotesensing 14 05137 g013
Figure 14. The occurrence frequency of specific differential phase with rain types at (a) BOS, (b) BUS, (c) CPO, and (d) JIN site. The blue represents stratiform rain and the red represents convective rain. The legend shows the average (Avg.), standard deviation (Std.), and skewness (Skew) of specific differential phase for both rain types.
Figure 14. The occurrence frequency of specific differential phase with rain types at (a) BOS, (b) BUS, (c) CPO, and (d) JIN site. The blue represents stratiform rain and the red represents convective rain. The legend shows the average (Avg.), standard deviation (Std.), and skewness (Skew) of specific differential phase for both rain types.
Remotesensing 14 05137 g014
Figure 15. The Dm distribution with wind direction of the (a) BOS, (b) BUS, (c) CPO, and (d) JIN sites.
Figure 15. The Dm distribution with wind direction of the (a) BOS, (b) BUS, (c) CPO, and (d) JIN sites.
Remotesensing 14 05137 g015
Figure 16. Time series of average (a) Dm and (b) logNw at the four studied sites. The rectangles in blue represent BOS, the triangles in red represent BUS, the circles in purple represent CPO, and the arrows in green represent the JIN site.
Figure 16. Time series of average (a) Dm and (b) logNw at the four studied sites. The rectangles in blue represent BOS, the triangles in red represent BUS, the circles in purple represent CPO, and the arrows in green represent the JIN site.
Remotesensing 14 05137 g016
Table 1. The average DSDs variables, rain rates, and sample numbers of rain types at the four studied sites.
Table 1. The average DSDs variables, rain rates, and sample numbers of rain types at the four studied sites.
BOSBUSCPOJIN
TypesStr.ConStr.Con.Str.Con.Str.Con.
Dm (mm)1.241.841.111.550.971.461.051.59
LogNw (mm−1 m−3)3.623.703.834.044.234.143.974.02
Rain rate (mm h−1)1.9617.971.9817.312.3013.932.0318.56
No. (%)11350 (66)5884 (34)14376 (68)6670 (32)20209 (71)8329 (29)12136 (75)4062 (25)
Table 2. Z-R relations for all, convective, and stratiform rain type at the four studied sites.
Table 2. Z-R relations for all, convective, and stratiform rain type at the four studied sites.
SiteZ-R Relations
ALLConvectiveStratiform
BOSR = 0.058Z0.621R = 0.075Z0.596R = 0.067Z0.591
BUSR = 0.058Z0.641R = 0.070Z0.623R = 0.067Z0.608
CPOR = 0.106Z0.575R = 0.132Z0.548R = 0.040Z0.773
JINR = 0.064Z0.626R = 0.080Z0.603R = 0.067Z0.612
Publisher’s Note: MDPI stays neutral with regard to jurisdictional claims in published maps and institutional affiliations.

Share and Cite

MDPI and ACS Style

You, C.-H.; Kim, H.-J.; Suh, S.-H.; Jung, W.; Kang, M.-Y. The Characteristics of Raindrop Size Distributions in Different Climatological Regions in South Korea. Remote Sens. 2022, 14, 5137. https://doi.org/10.3390/rs14205137

AMA Style

You C-H, Kim H-J, Suh S-H, Jung W, Kang M-Y. The Characteristics of Raindrop Size Distributions in Different Climatological Regions in South Korea. Remote Sensing. 2022; 14(20):5137. https://doi.org/10.3390/rs14205137

Chicago/Turabian Style

You, Cheol-Hwan, Hyeon-Joon Kim, Sung-Ho Suh, Woonseon Jung, and Mi-Young Kang. 2022. "The Characteristics of Raindrop Size Distributions in Different Climatological Regions in South Korea" Remote Sensing 14, no. 20: 5137. https://doi.org/10.3390/rs14205137

APA Style

You, C.-H., Kim, H.-J., Suh, S.-H., Jung, W., & Kang, M.-Y. (2022). The Characteristics of Raindrop Size Distributions in Different Climatological Regions in South Korea. Remote Sensing, 14(20), 5137. https://doi.org/10.3390/rs14205137

Note that from the first issue of 2016, this journal uses article numbers instead of page numbers. See further details here.

Article Metrics

Back to TopTop