Using UAV and Field Measurement Technology to Monitor the Impact of Coal Gangue Pile Temperature on Vegetation Ecological Construction
Abstract
1. Introduction
2. Materials and Methods
2.1. Study Area
2.2. Methods
2.2.1. UAV Monitoring
2.2.2. Vegetation Field Survey
2.2.3. Analysis of the Properties of Soil Samples
2.2.4. Data Analysis
3. Results
3.1. UAV Image Processing
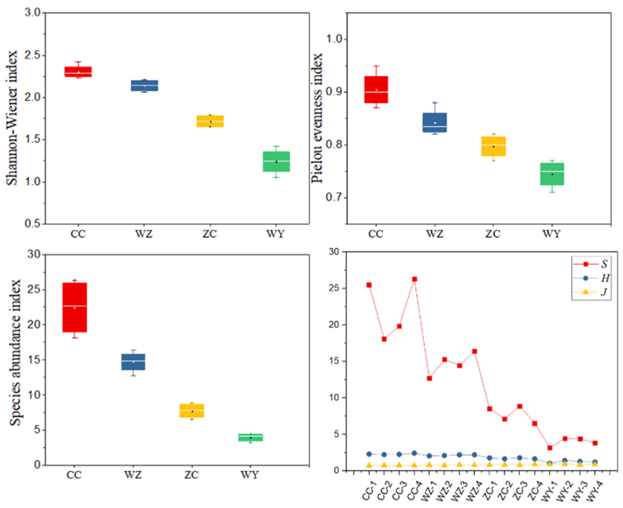
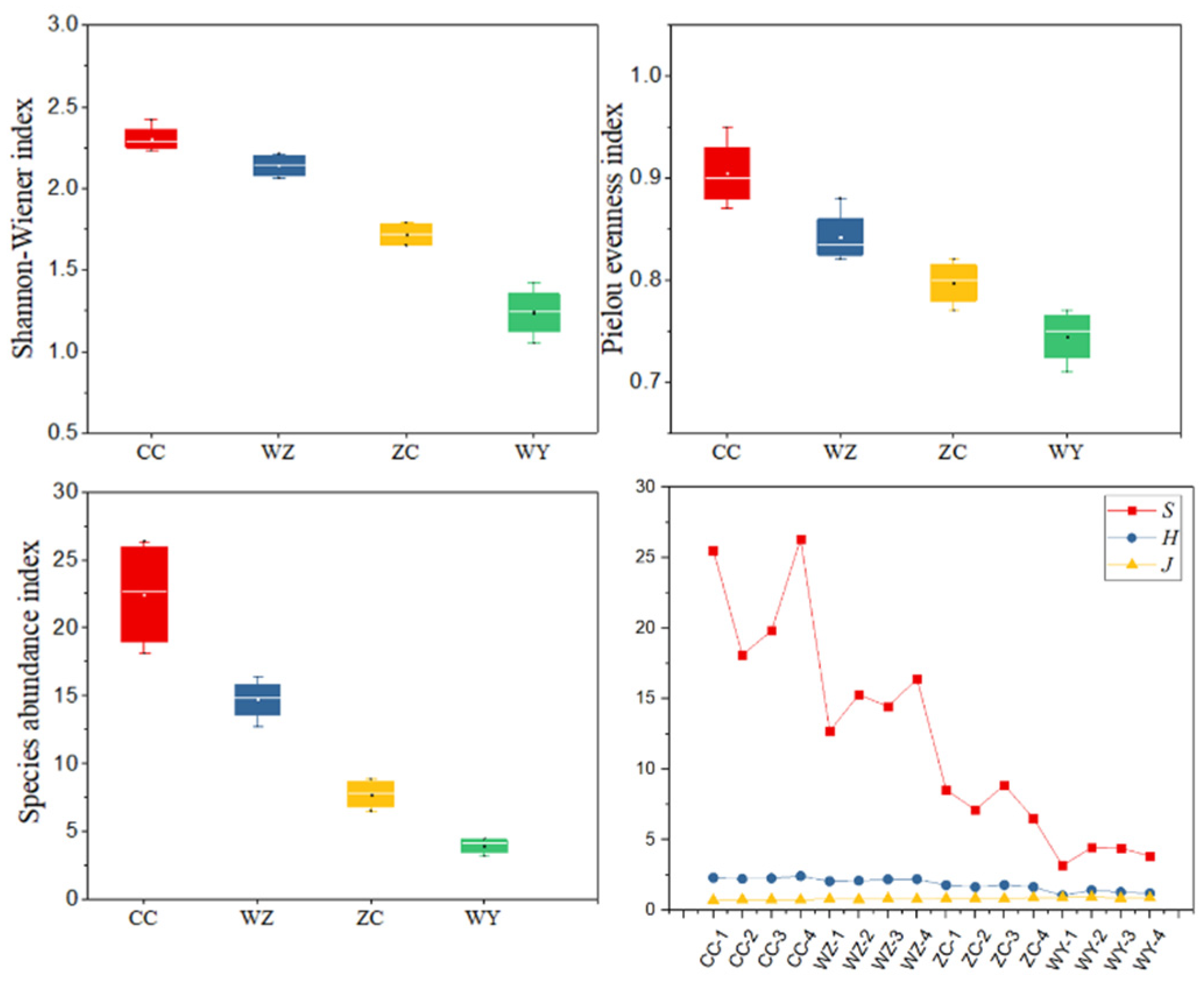
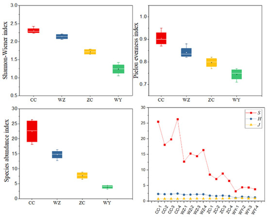
3.2. Field Investigation of Vegetation Status
3.3. Effect of Temperature on Coal Gangue Pile Nutrients
3.4. Response of Vegetation Community Structure to Coal Gangue Pile Environmental Factors
4. Discussion
5. Conclusions
Author Contributions
Funding
Institutional Review Board Statement
Informed Consent Statement
Data Availability Statement
Acknowledgments
Conflicts of Interest
References
- Liang, Y.; Liang, H.; Zhu, S. Mercury emission from spontaneously ignited coal gangue hill in Wuda coalfield, Inner Mongolia, China. Fuel 2016, 182, 525–530. [Google Scholar] [CrossRef]
- Zhao, Y.; Zhang, J.; Chou, C.; Li, Y.; Wang, Z.; Ge, Y.; Zheng, C. Trace element emissions from spontaneous combustion of gob piles in coal mines, Shanxi, China. Int. J. Coal Geol. 2008, 73, 52–62. [Google Scholar] [CrossRef]
- Zhu, J. Abiotic Stress Signaling and Responses in Plants. Cell 2016, 167, 313–324. [Google Scholar] [CrossRef]
- Wang, S.; Luo, K.; Wang, X.; Sun, Y. Estimate of sulfur, arsenic, mercury, fluorine emissions due to spontaneous combustion of coal gangue: An important part of Chinese emission inventories. Environ. Pollut. 2016, 209, 107–113. [Google Scholar] [CrossRef] [PubMed]
- Carr, J.A.; D’Odorico, P.; McGlathery, K.J.; Wiberg, P.L. Stability and resilience of seagrass meadows to seasonal and interannual dynamics and environmental stress. J. Geophys. Res. Biogeosci. 2015, 117, 1007. [Google Scholar] [CrossRef]
- Teskey, R.O.; Hinckley, T.M. Influence of temperature and water potential on root growth of white oak. Physiol. Plant. 1981, 52, 363–369. [Google Scholar] [CrossRef]
- Jihong, X.; Hongbei, G.; Mingan, S. Study of the Effect of Soil Temperature on Soil Water Infiltration. J. Soil Water Conserv. 2009, 23, 217–220. [Google Scholar]
- Fucang, Z.; Yiping, Z.; Junchang, Z. Temperature effect on soil water retention. Acta Pedol. Sin. 1997, 2, 160–169. [Google Scholar]
- Yamakawa, Y.; Kishikawa, H. On the Effect of Temperature upon the Division and Elongation of Cells in the Root of Rice Plant. Jpn. J. Crop. Sci. 2008, 26, 94–95. [Google Scholar] [CrossRef]
- Sandve, S.R.; Kosmala, A.; Rudi, H.; Fjellheim, S.; Rapacz, M.; Yamada, T.; Rognli, O.A. Molecular mechanisms underlying frost tolerance in perennial grasses adapted to cold climates. Plant Sci. 2011, 180, 69–77. [Google Scholar] [CrossRef]
- Pan, R.; Zheng, L.; Jia, H.; Ma, G. The environmental pollution and control of coal gangue spontaneous combustion in mining. Electron. J. Geotech. Eng. 2015, 20, 3555–3562. [Google Scholar]
- Donglin, W.; Hao, F.; Yi, L.I.; Afeng, Z. Impacts of Soil Water and Temperature Effects on CO2 Emissions in Winter Wheat Field under Gravel Mulching Condition; Transactions of the Chinese Society for Agricultural Machinery: Beijing, China, 2017. [Google Scholar]
- Niinemets, Ü.; Kull, K. Leaf structure vs. nutrient relationships vary with soil conditions in temperate shrubs and trees. Acta Oecol. 2003, 24, 209–219. [Google Scholar] [CrossRef]
- Zhang, F.; Hu, Z.; Fu, Y.; Yang, K.; Wu, Q.; Feng, Z. A New Identification Method for Surface Cracks from UAV Images Based on Machine Learning in Coal Mining Areas. Remote Sens. 2020, 12, 1571. [Google Scholar] [CrossRef]
- Bowman, R.A.; Cole, C.V. An exploratory method for fractionation of organic phosphorus from grassland soils. Soil Sci. 1978, 125, 95–101. [Google Scholar] [CrossRef]
- Xinyu, Z.; Yang, Y.; Chuang, Z.; Shuli, N.; Hao, Y.; Guirui, Y.; Huimin, W.; Evgenia, B.; Yakov, K.; Dashuan, T.; et al. Contrasting responses of phosphatase kinetic parameters to nitrogen and phosphorus additions in forest soils. Funct. Ecol. 2018, 32, 106–116. [Google Scholar]
- Zhang, Y.; Song, H.; Wang, X.; Zhou, X.; Zhang, K.; Chen, X.; Liu, J.; Han, J.; Wang, A. The Roles of Different Types of Trichomes in Tomato Resistance to Cold, Drought, Whiteflies, and Botrytis. Agronomy 2020, 10, 411. [Google Scholar] [CrossRef]
- Ward, E.J.; Domec, J.C.; Laviner, M.A.; Fox, T.R.; Sun, G.; Mcnulty, S.; King, J.; Noormets, A. Fertilization intensifies drought stress: Water use and stomatal conductance of Pinus taeda in a midrotation fertilization and throughfall reduction experiment. For. Ecol. Manag. 2015, 355, 72–82. [Google Scholar] [CrossRef]
- Garner, W.W.; Allard, H.A. Photoperiodism, the response of the plant to relative length of day and night. Science 1922, 55, 582–583. [Google Scholar] [CrossRef] [PubMed][Green Version]
- Sangwan, V.; Orvar, B.L.; Beyerly, J.; Hirt, H.; Dhindsa, R.S. Opposite changes in membrane fluidity mimic cold and heat stress activation of distinct plant MAP kinase pathways. Plant J. 2010, 31, 629–638. [Google Scholar] [CrossRef]
- Scharf, K.D.; Berberich, T.; Ebersberger, I.; Nover, L. The plant heat stress transcription factor (Hsf) family: Structure, function and evolution. Biochim. Biophys. Acta 2012, 1819, 104–119. [Google Scholar] [CrossRef] [PubMed]
- Zhang, X.; Lu, G.; Long, W.; Zou, X.; Nishio, T. Recent progress in drought and salt tolerance studies in Brassica crops. Breed. Sci. 2014, 64, 60–73. [Google Scholar] [CrossRef] [PubMed]
- Querol, X.; Izquierdo, M.; Monfort, E.; Alvarez, E.; Font, O.; Moreno, T.; Alastuey, A.; Zhuang, X.; Lu, W.; Wang, Y. Environmental characterization of burnt coal gangue banks at Yangquan, Shanxi Province, China. Int. J. Coal Geol. 2008, 75, 93–104. [Google Scholar] [CrossRef]
- Chengliang, Z. The Habitat and Vegetation Constructing for Spontaneous Combustion Gangue Pile in Yangquan City, Shanxi Province; Beijing Forestry University: Beijing, China, 2008; Volume 157. [Google Scholar]
- Guo, Y.; Jie, L.; Ya-Chen, L.; Hai, W.; Yi-Wei, M.O. Effects of Salt Stress on Photosynthetic Characteristics and Stoma Structure of Two Kinds of Bracketplants. Hub Agric. Sci. 2016. [Google Scholar] [CrossRef]
- Carlson, C.L.; Carlson, C.A. Impacts of coal pile leachate on a forested wetland in South Carolina. Water Air Soil Pollut. 1994, 72, 89–109. [Google Scholar] [CrossRef]
- Sahrawat, K.A. Iron Toxicity in Wetland Rice and the Role of Other Nutrients. J. Plant Nutr. 2005, 27, 1471–1504. [Google Scholar] [CrossRef]
- Tilman, D. Secondary Succession and the Pattern of Plant Dominance Along Experimental Nitrogen Gradients. Ecol. Monogr. 1987, 57, 189–214. [Google Scholar] [CrossRef]
- Tilman, D. The Influence of Functional Diversity and Composition on Ecosystem Processes. Science 1997, 277, 1300–1302. [Google Scholar] [CrossRef]
- Changwei, A. The relationship between soil microorganism and soil fertility in the process of transforming Kangping’s desertification. Sci. Technol. Rev. 2010, 28, 45–49. [Google Scholar]
- Otte, L.M.A.M. Metal and metalloid removal in constructed wetlands, with emphasis on the importance of plants and standardized measurements: A review. Environ. Pollut. 2010, 158, 3447–3461. [Google Scholar]
- He, X.; Yang, X.; Luo, Z.; Guan, T. Application of unmanned aerial vehicle (UAV) thermal infrared remote sensing to identify coal fires in the Huojitu coal mine in Shenmu city, China. Sci. Rep. 2020, 10, 13895. [Google Scholar] [CrossRef]
- Teodoro, A.; Fernandes, J.; Santos, P.; Duarte, L.; Flores, D. Monitoring of soil movement in a self-burning coal waste pile with UAV imagery. In Earth Resources and Environmental Remote Sensing/GIS Applications XI; International Society for Optics and Photonics: Bellingham, WA, USA, 2020. [Google Scholar] [CrossRef]













| Name | Type | Floor Space (m2) | Gangue (Wt) | Altitude (m) | Altitude (m) | Falling Gradient (°) | Whether the Spontaneous Combustion |
|---|---|---|---|---|---|---|---|
| CC | mound design | 66,700 | 288 | 980 | 44 | 33.7 | No |
| WZ | mound design | 76,670 | 1556 | 970 | 56 | 15–38 | No |
| ZC | mound design | 86,710 | 500 | 985 | 60 | 40 | Yes |
| WY | mound design | 68,000 | 120 | 893 | 35 | 33 | Yes |
| CC | WZ | ZC | WY |
|---|---|---|---|
| M. sativa | R. pseudoacacia L. | F. arundinacea | C. canadensis (L.) Cronq. |
| A. fruticosa L. | F. arundinacea | A. fruticosa L. | A.annua L. |
| Astragalus adsurgens Pall. | Platycladus | M. suaveolens Ledeb | Artemisia capillaries |
| Robinia pseudoacacia L. | Amygdalus persica Linn | Siberian apricot | Artemisia scoparia |
| A. fruticosa L. | Fructus forsythiae | B. pilosa L. | H. altaicus |
| Juniperus chinensis | Fraxinus chinensis | S.viridis (L.) Beauv | C.virgata Swartz |
| Sabina procumbens | Rheum franzenbachii | S.brachyotus | S.viridis (L.) Beauv |
| Sabina vulgaris | Rhus typhina | Yucca gloriosa | E.pilosa (L.) Beauv. |
| Robinia pseudoacacia L | A. fruticosa L. | A.lavandulaefolia | |
| Platycladus orientalis Franco | M. suaveolens | L.davurica | |
| F. atropuTpurea | M. sativa | M.suaveolens | |
| Parthenocissus tricuspidata | Albizia julibrissin | Ulmus pumila L. | |
| F. arundinacea | H. altaicus | Portulaca afra | |
| Pinus tabuliformis | Artemisia capillaries | Yucca gloriosa L. | |
| Artemisia capillaries | Cosmos bipinnatus Cav. | F.arundinacea | |
| Cosmos bipinnatus Cav. | S. viridis (L.) Beauv | ||
| S. viridis (L.) Beauv | E. stephanianum Willd. | ||
| C. canadensis (L.) Cronq. | |||
| Cirsium segetum | |||
| Fructus forsythiae | |||
| Ligustrum vicaryi | |||
| H. scandens (Lour.) Merr | |||
| C.album | |||
| Leonurus heterophyllus Sweet. |
| pH | SWC | ET | SOC | AN | AP | AK | |
|---|---|---|---|---|---|---|---|
| S | 0.839 ** | 0.892 ** | –0.883 ** | 0.950 ** | 0.943 ** | 0.897 ** | 0.929 ** |
| H | 0.763 ** | 0.794 ** | –0.902 ** | 0.913 ** | 0.895 ** | 0.879 ** | 0.831 ** |
| J | –0.800 ** | –0.785 ** | 0.859 ** | –0.884 ** | –0.882 ** | –0.845 ** | –0.845 ** |
Publisher’s Note: MDPI stays neutral with regard to jurisdictional claims in published maps and institutional affiliations. |
© 2022 by the authors. Licensee MDPI, Basel, Switzerland. This article is an open access article distributed under the terms and conditions of the Creative Commons Attribution (CC BY) license (https://creativecommons.org/licenses/by/4.0/).
Share and Cite
Ruan, M.; Hu, Z.; Duan, X.; Zhou, T.; Nie, X. Using UAV and Field Measurement Technology to Monitor the Impact of Coal Gangue Pile Temperature on Vegetation Ecological Construction. Remote Sens. 2022, 14, 353. https://doi.org/10.3390/rs14020353
Ruan M, Hu Z, Duan X, Zhou T, Nie X. Using UAV and Field Measurement Technology to Monitor the Impact of Coal Gangue Pile Temperature on Vegetation Ecological Construction. Remote Sensing. 2022; 14(2):353. https://doi.org/10.3390/rs14020353
Chicago/Turabian StyleRuan, Mengying, Zhenqi Hu, Xinyi Duan, Tao Zhou, and Xinran Nie. 2022. "Using UAV and Field Measurement Technology to Monitor the Impact of Coal Gangue Pile Temperature on Vegetation Ecological Construction" Remote Sensing 14, no. 2: 353. https://doi.org/10.3390/rs14020353
APA StyleRuan, M., Hu, Z., Duan, X., Zhou, T., & Nie, X. (2022). Using UAV and Field Measurement Technology to Monitor the Impact of Coal Gangue Pile Temperature on Vegetation Ecological Construction. Remote Sensing, 14(2), 353. https://doi.org/10.3390/rs14020353

