Radar and Communication Spectral Coexistence on Moving Platform with Interference Suppression
Abstract
1. Introduction
2. Signal Model
3. Problem Formulation
4. The Designed Alternating Procedure
4.1. Communication Transmit Codebook Optimization
4.2. Radar Receive Filter Optimization
4.3. Radar Transmit Waveform Optimization
4.3.1. Minorizing Function Construction
4.3.2. Radar Transmit Waveform Optimization Based on ADMM
4.3.3. Update of
4.3.4. Update of
4.3.5. Update of
4.3.6. Update of
| Algorithm 1 Procedure for , and Optimization |
| Input:, , , , , . Initialize: Let , , , , ; Output: , , .
|
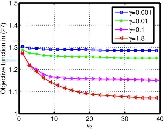
5. Results and Discussion
6. Conclusions
Author Contributions
Funding
Data Availability Statement
Acknowledgments
Conflicts of Interest
References
- De Matthaeis, P.; Oliva, R.; Soldo, Y.; Cruz-Pol, S. Spectrum Management and Its Importance for Microwave Remote Sensing [Technical Committees]. IEEE Geosci. Remote Sens. Mag. 2018, 6, 17–25. [Google Scholar] [CrossRef]
- Zheng, L.; Lops, M.; Eldar, Y.C.; Wang, X. Radar and communication coexistence: An overview: A review of recent methods. IEEE Signal Process. Mag. 2019, 36, 85–99. [Google Scholar] [CrossRef]
- Yang, J.; Aubry, A.; Maio, A.D.; Yu, X.; Cui, G. Design of Constant Modulus Discrete Phase Radar Waveforms Subject to Multi-Spectral Constraints. IEEE Signal Process. Lett. 2020, 27, 875–879. [Google Scholar] [CrossRef]
- Hassanien, A.; Amin, M.G.; Aboutanios, E.; Himed, B. Dual-function radar communication systems: A solution to the spectrum congestion problem. IEEE Signal Process. Mag. 2019, 36, 115–126. [Google Scholar] [CrossRef]
- Mishra, K.V.; Shankar, M.B.; Koivunen, V.; Ottersten, B.; Vorobyov, S.A. Toward millimeter-wave joint radar communications: A signal processing perspective. IEEE Signal Process. Mag. 2019, 36, 100–114. [Google Scholar] [CrossRef]
- Qian, J.; Venturino, L.; Lops, M.; Wang, X. Radar and Communication Spectral Coexistence in Range-Dependent Interference. IEEE Trans. Signal Process. 2021, 69, 5891–5906. [Google Scholar] [CrossRef]
- Wu, W.; Han, G.; Cao, Y.; Huang, Y.; Yeo, T.S. MIMO Waveform Design for Dual Functions of Radar and Communication With Space-Time Coding. IEEE J. Sel. Areas Commun. 2022, 40, 1906–1917. [Google Scholar] [CrossRef]
- Kafafy, M.; Ibrahim, A.S.; Ismail, M.H. Optimal Placement of Reconfigurable Intelligent Surfaces for Spectrum Coexistence With Radars. IEEE Trans. Veh. Technol. 2022, 71, 6574–6585. [Google Scholar] [CrossRef]
- Fang, Z.; Wang, W.; Wang, J.; Liu, B.; Tang, K.; Lou, L.; Heng, C.H.; Wang, C.; Zheng, Y. Integrated Wideband Chip-Scale RF Transceivers for Radar Sensing and UWB Communications: A Survey. IEEE Circuits Syst. Mag. 2022, 22, 40–76. [Google Scholar] [CrossRef]
- Hassanien, A.; Amin, M.G.; Aboutanios, E.; Himed, B. Cognitive radar waveform design and prototype for coexistence with communications. IEEE Sens. J. 2022, 22, 9787–9802. [Google Scholar]
- Cohen, D.; Mishra, K.V.; Eldar, Y.C. Spectrum Sharing Radar: Coexistence via Xampling. IEEE Trans. Aerosp. Electron. Syst. 2018, 54, 1279–1296. [Google Scholar] [CrossRef]
- Qian, J.; Wang, S.; Chen, Z.; Qian, G.; Fu, N. Robust Design for Spectral Sharing System Based on MI Maximization Under Direction Mismatch. IEEE Trans. Veh. Technol. 2022, 71, 6831–6836. [Google Scholar] [CrossRef]
- Marler, R.T.; Arora, J.S. The weighted sum method for multi-objective optimization: New insights. Struct. Multidiscipl. Optim. 2010, 41, 853–862. [Google Scholar] [CrossRef]
- Hao, Y.; Ni, Q.; Li, H.; Hou, S. On the energy and spectral efficiency tradeoff in massive MIMO-enabled HetNets with capacity-constrained backhaul links. IEEE Trans. Commun. 2017, 65, 4720–4733. [Google Scholar] [CrossRef]
- Cheng, Z.; Han, C.; Liao, B.; He, Z.; Li, J. Communication-aware waveform design for mimo radar with good transmit beampattern. IEEE Trans. Signal Process. 2018, 66, 5549–5562. [Google Scholar] [CrossRef]
- Chen, N.; Wei, P.; Gao, L.; Zhang, H. Beampattern synthesis and spectral compatibility based mimo radar waveform design. Digit. Signal Process. 2021, 118, 103211. [Google Scholar] [CrossRef]
- He, Q.; Wang, Z.; Hu, J.; Blum, R.S. Performance Gains From Cooperative MIMO Radar and MIMO Communication Systems. IEEE Signal Process. Lett. 2019, 26, 194–198. [Google Scholar] [CrossRef]
- Li, Z.; Shi, J.; Liu, W.; Pan, J.; Li, B. Robust Joint Design of Transmit Waveform and Receive Filter for MIMO-STAP Radar Under Target and Clutter Uncertainties. IEEE Trans. Veh. Technol. 2022, 71, 1156–1171. [Google Scholar] [CrossRef]
- Khawar, A.; Abdel-Hadi, A.; Clancy, T.C. Spectrum sharing between S-band radar and LTE cellular system: A spatial approach. In Proceedings of the 2014 IEEE International Symposium on Dynamic Spectrum Access Networks (DYSPAN), McLean, VA, USA, 1–4 April 2014; pp. 7–14. [Google Scholar]
- Shahriar, C.; Abdelhadi, A.; Clancy, T.C. Overlapped-MIMO radar waveform design for coexistence with communication systems. In Proceedings of the 2015 IEEE Wireless Communications and Networking Conference (WCNC), New Orleans, LA, USA, 9–12 March 2015; pp. 223–228. [Google Scholar]
- Bo, L.; Petropulu, A.P.; Trappe, W. Optimum Co-Design for Spectrum Sharing between Matrix Completion Based MIMO Radars and a MIMO Communication System. IEEE Trans. Signal Process. 2016, 64, 4562–4575. [Google Scholar]
- Qian, J.; Liu, Z.; Wang, K.; Fu, N.; Wang, J. Transmission Design for Radar and Communication Spectrum Sharing Enhancement. IEEE Trans. Veh. Technol. 2022. [Google Scholar] [CrossRef]
- Qian, J.; He, Z.; Huang, N.; Li, B. Transmit Designs for Spectral Coexistence of MIMO Radar and MIMO Communication System. IEEE Trans. Circuits Syst. II Express Briefs 2018, 65, 2072–2076. [Google Scholar] [CrossRef]
- Chen, P.; Zheng, L.; Wang, X.; Li, H.; Wu, L. Moving Target Detection Using Colocated MIMO Radar on Multiple Distributed Moving Platforms. IEEE Trans. Signal Process. 2017, 65, 4670–4683. [Google Scholar] [CrossRef]
- Bilik, I.; Longman, O.; Villeval, S.; Tabrikian, J. The Rise of Radar for Autonomous Vehicles: Signal Processing Solutions and Future Research Directions. IEEE Signal Process. Mag. 2019, 36, 20–31. [Google Scholar] [CrossRef]
- Wang, J. CFAR-Based Interference Mitigation for FMCW Automotive Radar Systems. IEEE Trans. Intell. Transp. Syst. 2022, 23, 12229–12238. [Google Scholar] [CrossRef]
- Xu, Z.; Yuan, M. An Interference Mitigation Technique for Automotive Millimeter Wave Radars in the Tunable Q-Factor Wavelet Transform Domain. IEEE Trans. Microw. Theory Tech. 2021, 69, 5270–5283. [Google Scholar] [CrossRef]
- Brooker, G.M. Mutual Interference of Millimeter-Wave Radar Systems. IEEE Trans. Electromagn. Compat. 2007, 49, 170–181. [Google Scholar] [CrossRef]
- Goppelt, M.; BlöCher, H.L.; Menzel, W. Automotive radar-investigation of mutual interference mechanisms. Adv. Radio Sci. 2010, 8, 55–60. [Google Scholar] [CrossRef]
- Liu, F.; Cui, Y.; Masouros, C.; Xu, J.; Han, T.X.; Eldar, Y.C.; Buzzi, S. Integrated Sensing and Communications: Toward Dual-Functional Wireless Networks for 6G and Beyond. IEEE J. Sel. Areas Commun. 2022, 40, 1728–1767. [Google Scholar] [CrossRef]
- Garcia, N.; Haimovich, A.M.; Lops, M.; Lops, M. Resource Allocation in MIMO Radar With Multiple Targets for Non-Coherent Localization. IEEE Trans. Signal Process. 2014, 62, 2656–2666. [Google Scholar] [CrossRef]
- Yu, X.; Alhujaili, K.; Cui, G.; Monga, V. MIMO Radar Waveform Design in the Presence of Multiple Targets and Practical Constraints. IEEE Trans. Signal Process. 2020, 68, 1974–1989. [Google Scholar] [CrossRef]
- Xu, Z.; Xue, S.; Wang, Y. Incoherent Interference Detection and Mitigation for Millimeter-Wave FMCW Radars. Remote Sens. 2022, 14, 4817. [Google Scholar] [CrossRef]
- Wang, J.; Aubry, P.; Yarovoy, A. 3-D Short-Range Imaging With Irregular MIMO Arrays Using NUFFT-Based Range Migration Algorithm. IEEE Trans. Geosci. Remote Sens. 2020, 58, 4730–4742. [Google Scholar] [CrossRef]
- Zhang, R.; Liang, Y.C.; Cui, S. Dynamic resource allocation in cognitive radio networks. IEEE Signal Process. Mag. 2010, 27, 102–114. [Google Scholar] [CrossRef]
- Karbasi, S.M.; Aubry, A.; Carotenuto, V.; Naghsh, M.M.; Bastani, M.H. Knowledge-based design of space-time transmit code and receive filter for a multiple-input-multiple-output radar in signal-dependent interference. IET Radar Sonar Navig. 2015, 9, 1124–1135. [Google Scholar] [CrossRef]
- Aubry, A.; DeMaio, A.; Farina, A.; Wicks, M. Knowledge-Aided (Potentially Cognitive) Transmit Signal and Receive Filter Design in Signal-Dependent Clutter. IEEE Trans. Aerosp. Electron. Syst. 2013, 49, 93–117. [Google Scholar] [CrossRef]
- Gini, F.; Maio, A.D.; Patton, L. Waveform Design and Diversity for Advanced Radar Systems; The Institution of Engineering and Technology: London, UK, 2012. [Google Scholar]
- Zeng, Y.; Zhang, R. Millimeter Wave MIMO With Lens Antenna Array: A New Path Division Multiplexing Paradigm. IEEE Trans. Commun. 2015, 64, 1557–1571. [Google Scholar] [CrossRef]
- Zhang, X.; Li, H.; Liu, J.; Himed, B. Joint delay and doppler estimation for passive sensing with direct-path interference. IEEE Trans. Signal Process. 2016, 64, 630–640. [Google Scholar] [CrossRef]
- Filo, M.; Hossain, A.; Biswas, A.R.; Piesiewicz, R. Cognitive pilot channel: Enabler for radio systems coexistence. In Proceedings of the 2009 Second International Workshop on Cognitive Radio and Advanced Spectrum Management, Aalborg, Denmark, 18–20 May 2009; pp. 17–23. [Google Scholar]
- Gottumukkala, V.K.V.; Minn, H. Capacity Analysis and Pilot-Data Power Allocation for MIMO-OFDM With Transmitter and Receiver IQ Imbalances and Residual Carrier Frequency Offset. IEEE Trans. Veh. Technol. 2012, 61, 553–565. [Google Scholar] [CrossRef]
- Maio, A.D.; Nicola, S.D.; Huang, Y.; Luo, Z.Q. Design of Phase Codes for Radar Performance Optimization With a Similarity Constraint. IEEE Trans. Signal Process. 2009, 57, 610–621. [Google Scholar] [CrossRef]
- Trees, H.L.V. Optimum Array Processing, Part IV of Detection, Estimation, and Modulation Theory; Wiley: Hoboken, NJ, USA, 2002. [Google Scholar]
- Boyd, S.; Vandenberghe, L. Convex Optimization; Cambridge University Press: Cambridge, UK, 2004. [Google Scholar]
- Qian, J.; Lops, M.; Zheng, L.; Wang, X.; He, Z. Joint System Design for Co-existence of MIMO Radar and MIMO Communication. IEEE Trans. Signal Process. 2018, 66, 3504–3519. [Google Scholar] [CrossRef]
- Ghadimi, E.; Teixeira, A.; Shames, I.; Johansson, M. Optimal Parameter Selection for the Alternating Direction Method of Multipliers (ADMM): Quadratic Problems. IEEE Trans. Autom. Control 2015, 60, 644–658. [Google Scholar] [CrossRef]
- Yeh, J. Real Analysis: Theory of Measure and Integration; World Scientific: Singapore, 2006. [Google Scholar]
- Lu, J.; Liu, F.; Sun, J.; Liu, Q.; Miao, Y. Joint Estimation of Target Parameters and System Deviations in MIMO Radar With Widely Separated Antennas on Moving Platforms. IEEE Trans. Aerosp. Electron. Syst. 2021, 57, 3015–3028. [Google Scholar] [CrossRef]
- Boyd, S.; Parikh, N.; Chu, E.; Peleato, B.; Eckstein, J. Distributed optimization and statistical learning via the alternating direction method of multipliers. Found. Trends® Mach. Learn. 2011, 3, 1–122. [Google Scholar]
- Cui, G.; Li, H.; Rangaswamy, M. MIMO Radar Waveform Design With Constant Modulus and Similarity Constraints. IEEE Trans. Signal Process. 2014, 62, 343–353. [Google Scholar] [CrossRef]
- Qian, J.; Lu, M.; Huang, N. Radar and Communication Co-Existence Design Based on Mutual Information Optimization. IEEE Trans. Circuits Syst. II Express Briefs 2020, 67, 3577–3581. [Google Scholar] [CrossRef]








Publisher’s Note: MDPI stays neutral with regard to jurisdictional claims in published maps and institutional affiliations. |
© 2022 by the authors. Licensee MDPI, Basel, Switzerland. This article is an open access article distributed under the terms and conditions of the Creative Commons Attribution (CC BY) license (https://creativecommons.org/licenses/by/4.0/).
Share and Cite
Qian, J.; Liu, Z.; Lu, Y.; Zheng, L.; Zhang, A.; Han, F. Radar and Communication Spectral Coexistence on Moving Platform with Interference Suppression. Remote Sens. 2022, 14, 5018. https://doi.org/10.3390/rs14195018
Qian J, Liu Z, Lu Y, Zheng L, Zhang A, Han F. Radar and Communication Spectral Coexistence on Moving Platform with Interference Suppression. Remote Sensing. 2022; 14(19):5018. https://doi.org/10.3390/rs14195018
Chicago/Turabian StyleQian, Junhui, Ziyu Liu, Yuanyuan Lu, Le Zheng, Ailing Zhang, and Fengxia Han. 2022. "Radar and Communication Spectral Coexistence on Moving Platform with Interference Suppression" Remote Sensing 14, no. 19: 5018. https://doi.org/10.3390/rs14195018
APA StyleQian, J., Liu, Z., Lu, Y., Zheng, L., Zhang, A., & Han, F. (2022). Radar and Communication Spectral Coexistence on Moving Platform with Interference Suppression. Remote Sensing, 14(19), 5018. https://doi.org/10.3390/rs14195018

