Particulate Matter Concentrations over South Korea: Impact of Meteorology and Other Pollutants
Abstract
1. Introduction
2. Materials and Methods
2.1. Generalized Additive Model (GAM)
2.2. MLR Model
2.3. HYSPLIT Model
3. Results
3.1. Monthly Distribution of PM and Other Pollutants
3.2. Seasonal Variability
3.3. Annual Distribution of PM and Other Pollutants
3.4. Spatial Distribution of PM and Other Pollutants
3.5. Relationships between PM, Pollutant Concentrations, and Meteorological Parameters
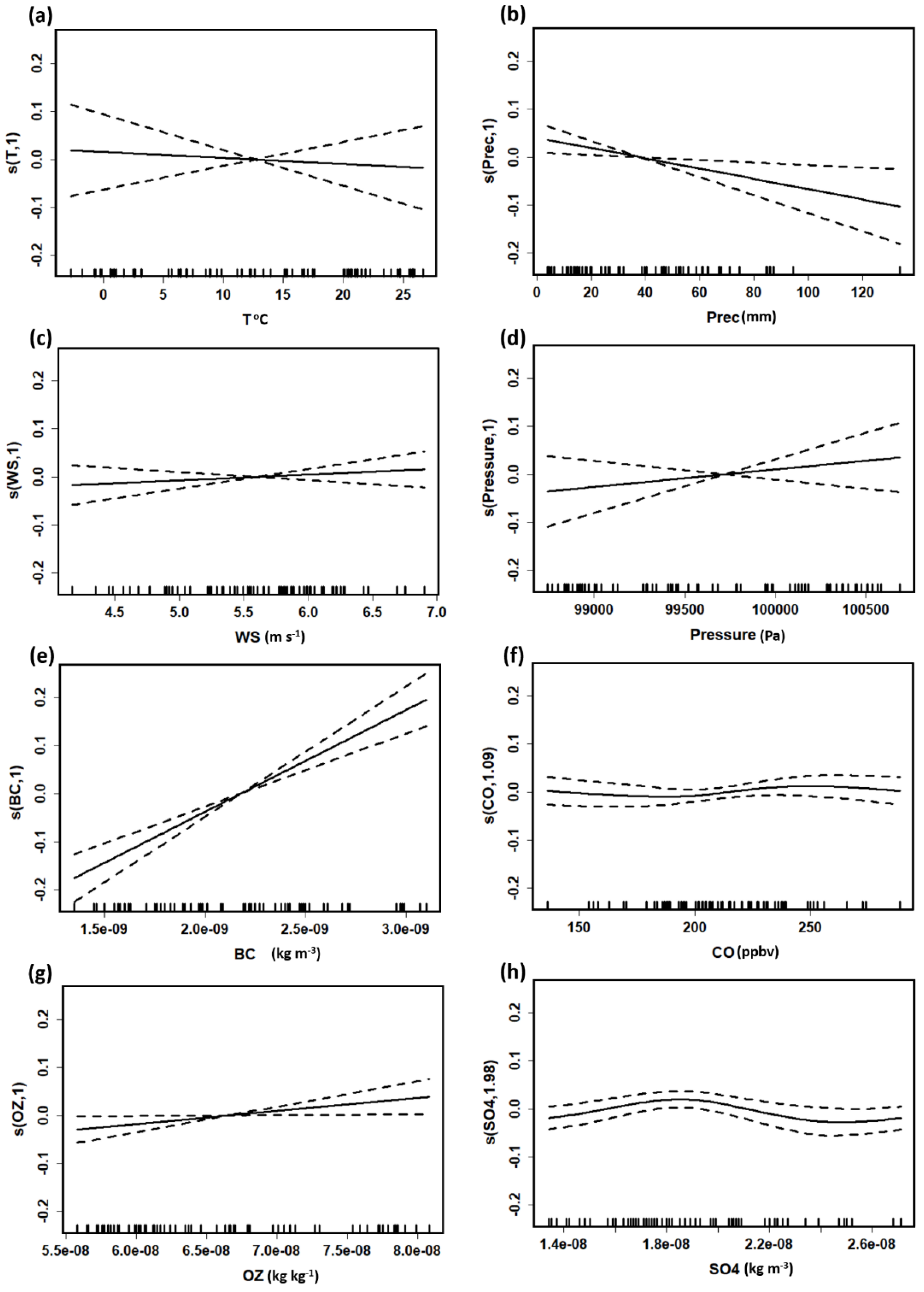
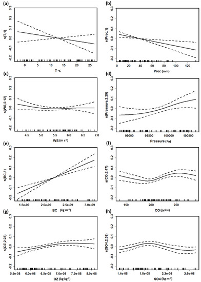
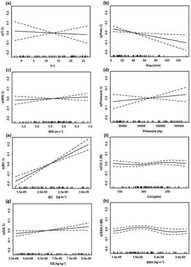
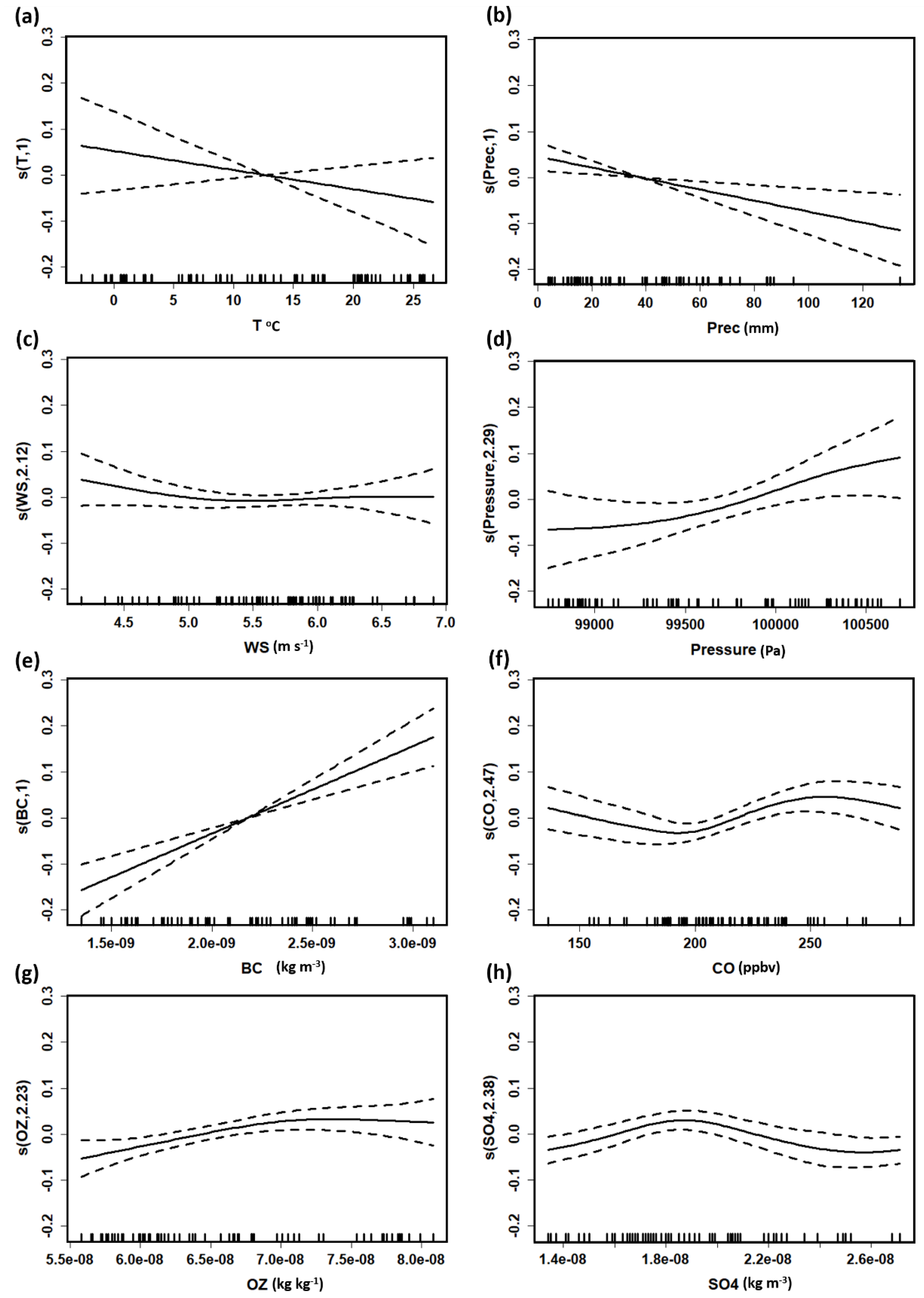
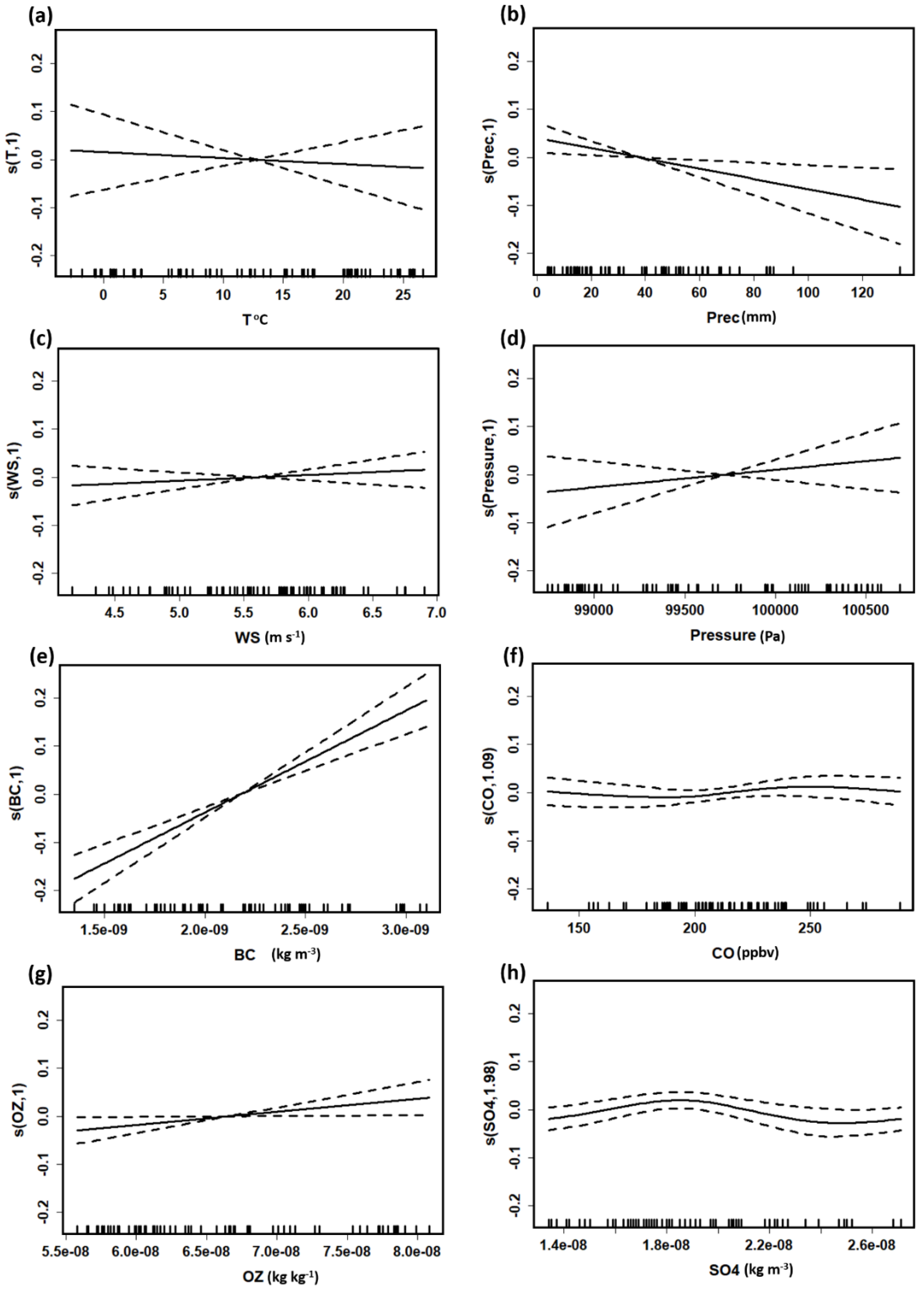
3.6. Generalized Additive Model (GAM) Analysis
3.7. MLR Model Analysis
4. Conclusions
Supplementary Materials
Author Contributions
Funding
Data Availability Statement
Acknowledgments
Conflicts of Interest
References
- Monks, P.; Granier, C.; Fuzzi, S.; Stohl, A.; Williams, M.; Akimoto, H.; Amann, M.; Baklanov, A.; Baltensperger, U.; Bey, I.; et al. Atmospheric composition change–global and regional air quality. Atmos. Environ. 2009, 43, 5268–5350. [Google Scholar] [CrossRef]
- Zhu, W.; Xu, X.; Zheng, J.; Yan, P.; Wang, Y.; Cai, W. The characteristics of abnormal wintertime pollution events in the Jing-Jin-Ji region and its relationships with meteorological factors. Sci. Total Environ. 2018, 626, 887–898. [Google Scholar] [CrossRef] [PubMed]
- Kim, H.C.; Kim, S.; Kim, B.-U.; Jin, C.-S.; Hong, S.; Park, R.; Son, S.-W.; Bae, C.; Bae, M.; Song, C.-K.; et al. Recent increase of surface particulate matter concentrations in the Seoul Metropolitan Area, Korea. Sci. Rep. 2017, 7, 1–7. [Google Scholar] [CrossRef] [PubMed]
- Kliengchuay, W.; Cooper Meeyai, A.; Worakhunpiset, S.; Tantrakarnapa, K. Relationships between meteorological parameters and particulate matter in Mae Hong Son Province, Thailand. Int. J. Environ. Res. Public Health. 2018, 15, 2801. [Google Scholar] [CrossRef] [PubMed]
- Ocak, S.; Turalioglu, F.S. Effect of meteorology on the atmospheric concentrations of traffic-related pollutants in Erzurum, Turkey. J. Int. Environ. Appl. Sci. 2008, 3, 325–335. [Google Scholar]
- Zhang, H.; Wang, Y.; Hu, J.; Ying, Q.; Hu, X.M. Relationships between meteorological parameters and criteria air pollutants in three megacities in China. Environ. Res. 2015, 140, 242–254. [Google Scholar] [CrossRef]
- Cao, Q.; Pui, D.Y.; Lipinski, W. A concept of a novel solar-assisted large-scale cleaning system (SALSCS) for urban air remediation. Aerosol Air Qual. Res. 2014, 15, 1–10. [Google Scholar] [CrossRef]
- Guo, H.; Jiang, F.; Cheng, H.R.; Simpson, I.J.; Wang, X.M.; Ding, A.J.; Wang, T.J.; Saunders, S.M.; Lam, S.H.M.; Blake, D.R. Concurrent observations of air pollutants at two sites in the Pearl River Delta and the implication of regional transport. Atmos. Chem. Phys. 2009, 9, 7343–7360. [Google Scholar] [CrossRef]
- Haddad, K.; Vizakos, N. Air quality pollutants and their relationship with meteorological variables in four suburbs of Greater Sydney, Australia. Air Qual. Atmos. Health 2021, 14, 55–67. [Google Scholar] [CrossRef]
- Jassim, M.S.; Coskuner, G.; Munir, S. Temporal analysis of air pollution and its relationship with meteorological parameters in Bahrain, 2006–2012. Arab. J. Geosci. 2018, 11, 1–15. [Google Scholar] [CrossRef]
- Sharma, A.P.; Kim, K.; Ahn, J.; Shon, Z.; Sohn, J.; Lee, J.; Ma, C.; Brown, R.J. Ambient particulate matter (PM10) concentrations in major urban areas of Korea during 1996–2010. Atmos. Poll. Res. 2014, 5, 161–169. [Google Scholar] [CrossRef]
- Liu, Y.; Zhou, Y.; Lu, J. Exploring the relationship between air pollution and meteorological conditions in China under environmental governance. Sci. Rep. 2020, 10, 1–11. [Google Scholar]
- Li, X.; Ma, Y.; Wang, Y.; Liu, N.; Hong, Y. Temporal and spatial analyses of particulate matter (PM10 and PM2.5) and its relationship with meteorological parameters over an urban city in northeast China. Atmos. Res. 2017, 198, 185–193. [Google Scholar] [CrossRef]
- Caramagna, A.; Famoso, F.; Lanzafame, R.; Monforte, P. Analysis of vertical profile of particulates dispersion in function of the aerodynamic diameter at a congested road in Catania. Energy Procedia 2015, 82, 702–707. [Google Scholar] [CrossRef]
- Brusca, S.; Famoso, F.; Lanzafame, R.; Garrano, A.M.C.; Monforte, P. Experimental analysis of a plume dispersion around obstacles. Energy Procedia 2015, 82, 695–701. [Google Scholar] [CrossRef]
- Crawford, J.H.; Ahn, J.-Y.; Al-Saadi, J.; Chang, L.; Emmons, L.K.; Kim, J.; Lee, G.; Park, J.-H.; Park, R.J.; Woo, J.H.; et al. The Korea–United States Air Quality (KORUS-AQ) field study. Elem. Sci. Anth. 2021, 9, 00163. [Google Scholar] [CrossRef]
- Jordan, C.E.; Crawford, J.H.; Beyersdorf, A.J.; Eck, T.F.; Halliday, H.S.; Nault, B.A.; Chang, L.S.; Park, J.; Park, R.; Lee, G.; et al. Investigation of factors controlling PM2.5 variability across the South Korean Peninsula during KORUS-AQ. Elementa-Sci. Anthrop. 2020, 8. [Google Scholar] [CrossRef]
- Eck, T.F.; Holben, B.; Kim, J.; Beyersdorf, A.; Choi, M.; Lee, S.; Koo, J.-H.; Giles, D.; Schafer, J.; Sinyuk, A.; et al. Influence of cloud, fog, and high relative humidity during pollution transport events in South Korea: Aerosol properties and PM2.5 variability. Atmos. Environ. 2020, 232, 117530. [Google Scholar] [CrossRef]
- Peterson, D.A.; Hyer, E.J.; Han, S.-O.; Crawford, J.H.; Park, R.J.; Holz, R.; Kuehn, R.E.; Eloranta, E.; Knote, C.; Jordan, C.; et al. Meteorology influencing springtime air quality, pollution transport, and visibility in Korea. Elementa-Sci. Anthr. 2019, 7, 57. [Google Scholar] [CrossRef]
- Kumar, N.; Park, R.J.; Jeong, J.I.; Woo, J.H.; Kim, Y.; Johnson, J.; Yarwood, G.; Kang, S.; Chun, S.; Knipping, E. Contributions of international sources to PM2. 5 in South Korea. Atmos. Environ. 2021, 261, 118542. [Google Scholar] [CrossRef]
- Xie, P.; Liao, H. The Impacts of Changes in Anthropogenic Emissions Over China on PM2. 5 Concentrations in South Korea and Japan During 2013–2017. Front. Environ. Sci. 2022, 31, 1–14. [Google Scholar]
- Lee, S.; Kim, J.; Choi, M.; Hong, J.; Lim, H.; Eck, T.F.; Holben, B.N.; Ahn, J.Y.; Kim, J.; Koo, J.H. Analysis of long-range transboundary transport (LRTT) effect on Korean aerosol pollution during the KORUS-AQ campaign. Atmos. Environ. 2019, 204, 53–67. [Google Scholar] [CrossRef]
- Yim, S.H.L.; Gu, Y.; Shapiro, M.A.; Stephens, B. Air quality and acid deposition impacts of local emissions and transboundary air pollution in Japan and South Korea. Atmos. Chem. Phys. 2019, 19, 13309–13323. [Google Scholar] [CrossRef]
- Choi, J.; Park, R.J.; Lee, H.M.; Lee, S.; Jo, D.S.; Jeong, J.I.; Henze, D.K.; Woo, J.H.; Ban, S.J.; Lee, M.D.; et al. Impacts of local vs. trans-boundary emissions from different sectors on PM2. 5 exposure in South Korea during the KORUS-AQ campaign. Atmos. Environ. 2019, 203, 196–205. [Google Scholar] [CrossRef]
- Park, S.K. Seasonal variations of fine particulate matter and mortality rate in Seoul, Korea with a focus on the short-term impact of meteorological extremes on human health. Atmosphere 2021, 12, 151. [Google Scholar] [CrossRef]
- Han, S.B.; Song, S.K.; Shon, Z.H.; Kang, Y.H.; Bang, J.H.; Oh, I. Comprehensive study of a long-lasting severe haze in Seoul megacity and its impacts on fine particulate matter and health. Chemosphere 2021, 268, 129369. [Google Scholar] [CrossRef] [PubMed]
- Lee, S.; Ho, C.H.; Choi, Y.S. High-PM10 concentration episodes in Seoul, Korea: Background sources and related meteorological conditions. Atmos. Environ. 2011, 45, 7240–7247. [Google Scholar] [CrossRef]
- Lee, S.; Ho, C.H.; Lee, Y.G.; Choi, H.J.; Song, C.K. Influence of transboundary air pollutants from China on the high-PM10 episode in Seoul, Korea for the period October 16–20, 2008. Atmos. Environ. 2013, 77, 430–439. [Google Scholar] [CrossRef]
- Allabakash, S.; Lim, S. Anthropogenic influence of temperature changes across East Asia using CMIP6 simulations. Sci. Rep. 2022, 12, 1–14. [Google Scholar] [CrossRef]
- Available online: https://seoulsolution.kr/en/content/6540 (accessed on 8 July 2021).
- Available online: https://www.airkorea.or.kr/web/pmRelay?itemCode=10007&pMENU_NO=108 (accessed on 8 July 2021).
- Kim, H.G.; Kim, J.Y.; Kang, Y.H. Comparative evaluation of the third-generation reanalysis data for wind resource assessment of the southwestern offshore in South Korea. Atmosphere 2018, 9, 73. [Google Scholar] [CrossRef]
- Allabakash, S.; Lim, S. Climatology of Planetary Boundary Layer Height-Controlling Meteorological Parameters Over the Korean Peninsula. Remote Sens. 2020, 12, 2571. [Google Scholar] [CrossRef]
- Allabakash, S.; Lim, S.; Chandrasekar, V.; Min, K.H.; Choi, J.; Jang, B. X-band dual-polarization radar observations of snow growth processes of a severe winter storm: Case of 12 December 2013 in South Korea. J. Atmos. Ocean. Technol. 2019, 36, 1217–1235. [Google Scholar] [CrossRef]
- Bosilovich, M.; Akella, S.; Coy, L.; Cullather, R.; Draper, C.; Gelaro, R.; Kovach, R.; Liu, Q.; Molod, A.; Norris, P.; et al. MERRA-2: Initial Evaluation of the Climate; NASA Tech. Rep. Series on Global Modeling and Data Assimilation; NASA/TM–2015-104606, 43; NASA Goddard Space Flight Center: Greenbelt, MD, USA, 2015.
- Pearce, J.L.; Beringer, J.; Nicholls, N.; Hyndman, R.J.; Tapper, N.J. Quantifying the influence of local meteorology on air quality using generalized additive models. Atmos. Environ. 2011, 45, 1328–1336. [Google Scholar] [CrossRef]
- Bertaccini, P.; Dukic, V.; Ignaccolo, R. Modeling the short-term effect of traffic and meteorology on air pollution in Turin with generalized additive models. Adv. Meteorol. 2012, 2012, 609328. [Google Scholar] [CrossRef]
- Carslaw, D.C.; Beevers, S.D.; Tate, J.E. Modelling and assessing trends in traffic-related emissions using a generalised additive modelling approach. Atmos. Environ. 2007, 41, 5289–5299. [Google Scholar] [CrossRef]
- Huang, F.; Li, X.; Wang, C.; Xu, Q.; Wang, W.; Luo, Y.; Tao, L.; Gao, Q.; Guo, J.; Chen, S.; et al. PM2.5 spatiotemporal variations and the relationship with meteorological factors during 2013–2014 in Beijing, China. PLoS ONE 2015, 10, e0141642. [Google Scholar] [CrossRef]
- Ma, Y.; Ma, B.; Jiao, H.; Zhang, Y.; Xin, J.; Yu, Z. An analysis of the effects of weather and air pollution on tropospheric ozone using a generalized additive model in Western China: Lanzhou, Gansu. Atmos. Environ. 2020, 224, 117342. [Google Scholar] [CrossRef]
- Zou, B.; Chen, J.; Zhai, L.; Fang, X.; Zheng, Z. Satellite based mapping of ground PM2.5 concentration using generalized additive modeling. Remote Sens. 2017, 9, 1. [Google Scholar] [CrossRef]
- Hastie, T.J.; Tibshirani, R.J. Generalized Additive Models; CRC Press: Boca Raton, FL, USA, 1990; Volume 43. [Google Scholar]
- Akaike, H. Statistical predictor identification. Ann. Inst. Stat. Math. 1970, 22, 203–217. [Google Scholar] [CrossRef]
- Wood, S.N. Generalized Additive Models: An Introduction with R; CRC Press: Boca Raton, FL, USA, 2017. [Google Scholar]
- Stein, A.F.; Draxler, R.R.; Rolph, G.D.; Stunder, B.J.; Cohen, M.D.; Ngan, F. NOAA’s HYSPLIT atmospheric transport and dispersion modeling system. Bull. Am. Meteorol. Soc. 2015, 96, 2059–2077. [Google Scholar] [CrossRef]
- Lee, D.; Choi, J.Y.; Myoung, J.; Kim, O.; Park, J.; Shin, H.J.; Ban, S.J.; Park, H.J.; Nam, K.P. Analysis of a severe PM2. 5 episode in the Seoul Metropolitan area in South Korea from 27 February to 7 March 2019: Focused on estimation of domestic and foreign contribution. Atmosphere 2019, 10, 756. [Google Scholar] [CrossRef]
- Oh, H.R.; Ho, C.H.; Kim, J.; Chen, D.; Lee, S.; Choi, Y.S.; Change, L.S.; Song, C.-K. Long-range transport of air pollutants originating in China: A possible major cause of multi-day high-PM10 episodes during cold season in Seoul, Korea. Atmos. Environ. 2015, 109, 23–30. [Google Scholar] [CrossRef]
- Lee, D.G.; Lee, Y.M.; Jang, K.W.; Yoo, C.; Kang, K.H.; Lee, J.H.; Jung, S.W.; Park, J.M.; Lee, S.B.; Han, J.S.; et al. Korean national emissions inventory system and 2007 air pollutant emissions. Asian J. Atmos. Environ. 2011, 5, 278–291. [Google Scholar] [CrossRef]
- Li, L.; Lin, G.Z.; Liu, H.Z.; Guo, Y.; Ou, C.Q.; Chen, P.Y. Can the Air Pollution Index be used to communicate the health risks of air pollution? Environ. Pollut. 2015, 205, 153–160. [Google Scholar] [CrossRef]
- Allabakash, S.; Yasodha, P.; Bianco, L.; Venkatramana Reddy, S.; Srinivasulu, P.; Lim, S. Improved boundary layer height measurement using a fuzzy logic method: Diurnal and seasonal variabilities of the convective boundary layer over a tropical station. J. Geophys. Res. Atmos. 2017, 122, 9211–9232. [Google Scholar] [CrossRef]
- Chen, Z.; Chen, D.; Zhao, C.; Kwan, M.-P.; Cai, J.; Zhuang, Y.; Zhao, B.; Wang, X.; Chen, B.; Yang, J.; et al. Influence of meteorological conditions on PM2.5 concentrations across China: A review of methodology and mechanism. Environ. Int. 2020, 139, 105558. [Google Scholar] [CrossRef]















| Season | PM | T | QLML | Prec | WS | U | W | P | GHT | BC | CO | SO2 | SO4 | O3 |
|---|---|---|---|---|---|---|---|---|---|---|---|---|---|---|
| Spring | PM2.5 | −0.42 | −0.51 | −0.15 | −0.18 | 0.11 | −0.39 | 0.43 | 0.11 | 0.77 | 0.61 | 0.64 | 0.64 | −0.24 |
| PM10 | −0.15 | −0.22 | −0.03 | −0.27 | 0.04 | −0.17 | 0.24 | 0.33 | 0.64 | 0.58 | 0.73 | 0.73 | 0.05 | |
| Summer | PM2.5 | −0.62 | −0.66 | −0.49 | −0.61 | 0.41 | −0.13 | 0.12 | 0.52 | 0.83 | 0.54 | 0.49 | 0.49 | 0.70 |
| PM10 | −0.64 | −0.69 | −0.47 | −0.57 | 0.47 | −0.13 | 0.06 | 0.49 | 0.85 | 0.59 | 0.56 | 0.56 | 0.66 | |
| Autumn | PM2.5 | −0.55 | −0.63 | −0.44 | −0.02 | 0.42 | −0.04 | 0.58 | −0.52 | 0.78 | 0.79 | 0.60 | 0.60 | −0.05 |
| PM10 | −0.71 | −0.78 | −0.61 | 0.12 | 0.56 | −0.22 | 0.72 | −0.70 | 0.88 | 0.87 | 0.76 | 0.76 | −0.25 | |
| Winter | PM2.5 | −0.19 | −0.33 | −0.27 | 0.01 | 0.05 | −0.01 | −0.26 | 0.30 | 0.75 | 0.52 | 0.19 | 0.19 | −0.10 |
| PM10 | −0.31 | −0.43 | −0.29 | 0.13 | 0.09 | 0.02 | −0.36 | 0.43 | 0.71 | 0.48 | 0.19 | 0.19 | 0.04 |
Publisher’s Note: MDPI stays neutral with regard to jurisdictional claims in published maps and institutional affiliations. |
© 2022 by the authors. Licensee MDPI, Basel, Switzerland. This article is an open access article distributed under the terms and conditions of the Creative Commons Attribution (CC BY) license (https://creativecommons.org/licenses/by/4.0/).
Share and Cite
Allabakash, S.; Lim, S.; Chong, K.-S.; Yamada, T.J. Particulate Matter Concentrations over South Korea: Impact of Meteorology and Other Pollutants. Remote Sens. 2022, 14, 4849. https://doi.org/10.3390/rs14194849
Allabakash S, Lim S, Chong K-S, Yamada TJ. Particulate Matter Concentrations over South Korea: Impact of Meteorology and Other Pollutants. Remote Sensing. 2022; 14(19):4849. https://doi.org/10.3390/rs14194849
Chicago/Turabian StyleAllabakash, Shaik, Sanghun Lim, Kyu-Soo Chong, and Tomohito J. Yamada. 2022. "Particulate Matter Concentrations over South Korea: Impact of Meteorology and Other Pollutants" Remote Sensing 14, no. 19: 4849. https://doi.org/10.3390/rs14194849
APA StyleAllabakash, S., Lim, S., Chong, K.-S., & Yamada, T. J. (2022). Particulate Matter Concentrations over South Korea: Impact of Meteorology and Other Pollutants. Remote Sensing, 14(19), 4849. https://doi.org/10.3390/rs14194849

