Characteristics and Formation Conditions of Thin Phytoplankton Layers in the Northern Gulf of Mexico Revealed by Airborne Lidar
Abstract
:1. Introduction
2. Materials and Methods
2.1. Experimental Area
2.2. Lidar Data Processing
3. Results
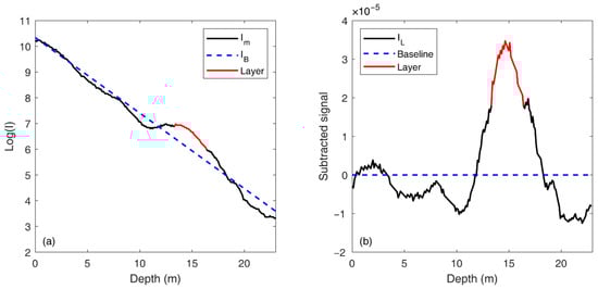
3.1. Data Processing
3.2. Occurrence Probability of Thin Layers
3.3. Depth and Thickness of Thin Layer
3.4. Layer Variation in Two Detections
4. Discussion
5. Conclusions
Author Contributions
Funding
Data Availability Statement
Acknowledgments
Conflicts of Interest
References
- Sullivan, J.M.; Donaghay, P.L.; Rines, J.E.B. Coastal thin layer dynamics: Consequences to biology and optics. Cont. Shelf Res. 2010, 30, 50–65. [Google Scholar] [CrossRef]
- Benoit-Bird, K.J.; Moline, M.A.; Waluk, C.M.; Robbins, I.C. Integrated measurements of acoustical and optical thin layers I: Vertical scales of association. Cont. Shelf Res. 2010, 30, 17–28. [Google Scholar] [CrossRef]
- Uitz, J.; Claustre, H.; Gentili, B.; Stramski, D. Phytoplankton class-specific primary production in the world’s oceans: Seasonal and interannual variability from satellite observations. Glob. Biogeochem. Cycles 2010, 24. [Google Scholar] [CrossRef]
- Berdalet, E.; McManus, M.A.; Ross, O.N.; Burchard, H.; Chavez, F.P.; Jaffe, J.S.; Jenkinson, I.R.; Kudela, R.; Lips, I.; Lips, U.; et al. Understanding harmful algae in stratified systems: Review of progress and future directions. Deep Sea Res. Part II Top. Stud. Oceanogr. 2014, 101, 4–20. [Google Scholar] [CrossRef]
- Boyce, D.G.; Lewis, M.R.; Worm, B. Global phytoplankton decline over the past century. Nature 2010, 466, 591–596. [Google Scholar] [CrossRef]
- Wang, Y.; Yan, T.; Yu, R.; Zhang, Q.; Kong, F.; Zhou, M. Research progresses of thin phytoplankton layer in the ocean. Mar. Sci. 2020, 44, 86–95. [Google Scholar]
- Lunven, M.; Guillaud, J.F.; Youénou, A.; Crassous, M.P.; Berric, R.; Le Gall, E.; Kérouel, R.; Labry, C.; Aminot, A. Nutrient and phytoplankton distribution in the Loire River plume (Bay of Biscay, France) resolved by a new Fine Scale Sampler. Estuar. Coast. Shelf Sci. 2005, 65, 94–108. [Google Scholar] [CrossRef]
- Derenbach, J.B.; Astheimer, H.; Hansen, H.P.; Leach, H. Vertical Microscale Distribution of Phytoplankton in Relation to the Thermocline. Mar. Ecol. Prog. Ser. 1979, 1, 187–193. [Google Scholar] [CrossRef]
- Twardowski, M.S.; Sullivan, J.M.; Donaghay, P.L.; Zaneveld, J.R.V. Microscale Quantification of the Absorption by Dissolved and Particulate Material in Coastal Waters with an ac-9. J. Atmos. Ocean. Technol. 1999, 16, 691–707. [Google Scholar] [CrossRef]
- Moline, M.A.; Benoit-Bird, K.J.; Robbins, I.C.; Schroth-Miller, M.; Waluk, C.M.; Zelenke, B. Integrated measurements of acoustical and optical thin layers II: Horizontal length scales. Cont. Shelf Res. 2010, 30, 29–38. [Google Scholar] [CrossRef]
- Prairie, J.C.; Franks, P.J.S.; Jaffe, J.S. Cryptic peaks: Invisible vertical structure in fluorescent particles revealed using a planar laser imaging fluorometer. Limnol. Oceanogr. 2010, 55, 1943–1958. [Google Scholar] [CrossRef]
- Churnside, J.H. LIDAR detection of plankton in the ocean. In Proceedings of the 2007 IEEE International Geoscience and Remote Sensing Symposium, Barcelona, Spain, 23–28 July 2007; pp. 3174–3177. [Google Scholar] [CrossRef]
- Churnside, J.; Wells, R.J.D.; Boswell, K.; Quinlan, J.; Marchbanks, R.; McCarty, B.; Sutton, T. Surveying the distribution and abundance of flying fishes and other epipelagics in the northern Gulf of Mexico using airborne lidar. Bull. Mar. Sci. 2017, 93, 591–609. [Google Scholar] [CrossRef]
- Kampel, M.; Lorenzzetti, J.A.; Bentz, C.M.; Nunes, R.A.; Paranhos, R.; Rudorff, F.M.; Politano, A.T. Simultaneous measurements of chlorophyll concentration by lidar, fluorometry, above-water radiometry, and ocean color MODIS images in the southwestern Atlantic. Sensors 2009, 9, 528–541. [Google Scholar] [CrossRef] [PubMed]
- Churnside, J.; Ostrovsky, L. Lidar observation of a strongly nonlinear internal wave train in the Gulf of Alaska. Int. J. Remote Sens. 2005, 26, 167–177. [Google Scholar] [CrossRef]
- Churnside, J.H.; Donaghay, P.L. Thin scattering layers observed by airborne lidar. ICES J. Mar. Sci. 2009, 66, 778–789. [Google Scholar] [CrossRef]
- Churnside, J.H.; Thorne, R.E. Comparison of airborne lidar measurements with 420 kHz echo-sounder measurements of zooplankton. Appl Opt. 2005, 44, 5504–5511. [Google Scholar] [CrossRef]
- Liu, H.; Chen, P.; Mao, Z.; Pan, D.; He, Y. Subsurface plankton layers observed from airborne lidar in Sanya Bay, South China Sea. Opt. Express 2018, 26, 29134–29147. [Google Scholar] [CrossRef]
- Turner, R.E.; Rabalais, N.N. The Gulf of Mexico. In World Seas: An Environmental Evaluation; Elsevier: Amsterdam, The Netherlands, 2019; pp. 445–464. [Google Scholar]
- Conner, W.H.; Day, J.W.; Baumann, R.H.; Randall, J.M. Influence of hurricanes on coastal ecosystems along the northern Gulf of Mexico. Wetl. Ecol. Manag. 1989, 1, 45–56. [Google Scholar] [CrossRef]
- Turner, R. Inputs and outputs of the Gulf of Mexico. In The Gulf of Mexico Large Marine Ecosystems; Wiley-Blackwell: Hoboken, NJ, USA, 1999; pp. 64–73. [Google Scholar]
- Beyer, J.; Trannum, H.C.; Bakke, T.; Hodson, P.V.; Collier, T.K. Environmental effects of the Deepwater Horizon oil spill: A review. Mar. Pollut Bull. 2016, 110, 28–51. [Google Scholar] [CrossRef]
- Churnside, J.H.; Marchbanks, R. Preliminary LIDAR Data Report. p. 27. Available online: https://csl.noaa.gov/groups/csl3/measurements/2011McArthurII/ (accessed on 30 November 2021).
- Churnside, J.H.; Marchbanks, R.D. Inversion of oceanographic profiling lidars by a perturbation to a linear regression. Appl. Opt. 2017, 56, 5228–5233. [Google Scholar] [CrossRef]
- Churnside, J.H.; Marchbanks, R.D. Subsurface plankton layers in the Arctic Ocean. Geophys. Res. Lett. 2015, 42, 4896–4902. [Google Scholar] [CrossRef]
- Churnside, J.H.; Sullivan, J.M.; Twardowski, M.S. Lidar extinction-to-backscatter ratio of the ocean. Opt. Express 2014, 22, 18698–18706. [Google Scholar] [CrossRef]
- Onitsuka, G.; Yoshikawa, Y.; Shikata, T.; Yufu, K.; Abe, K.; Tokunaga, T.; Kimoto, K.; Matsuno, T. Development of a thin diatom layer observed in a stratified embayment in Japan. J. Oceanogr. 2018, 74, 351–365. [Google Scholar] [CrossRef]
- Nababan, B.; Muller-Karger, F.E.; Hu, C.; Biggs, D.C. Chlorophyll variability in the northeastern Gulf of Mexico. Int. J. Remote Sens. 2011, 32, 8373–8391. [Google Scholar] [CrossRef]
- Brereton, A.; Noh, Y.; Raasch, S. Modelling a simple mechanism for the formation of phytoplankton thin layers using large-eddy simulation: In situ growth. Mar. Ecol. Prog. Ser. 2020, 653, 77–90. [Google Scholar] [CrossRef]
- Anderson, D.M.; Garrison, D.J. Ecology and Oceanography of Harmful Algal Blooms; Spring: Berlin/Heidelberg, Germany, 1997. [Google Scholar]
- Hill, N.; Häder, D.-P. A biased random walk model for the trajectories of swimming micro-organisms. J. Theor. Biol. 1997, 186, 503–526. [Google Scholar] [CrossRef]
- Robertson, B.; Gharabaghi, B.; Hall, K. Prediction of incipient breaking wave-heights using artificial neural networks and empirical relationships. Coast. Eng. J. 2015, 57, 1550018. [Google Scholar] [CrossRef]
- Terrill, E.J.; Melville, W.K.; Stramski, D. Bubble entrainment by breaking waves and their influence on optical scattering in the upper ocean. J. Geophys. Res. Ocean. 2001, 106, 16815–16823. [Google Scholar] [CrossRef]
- Ryan, J.; McManus, M.; Paduan, J.; Chavez, F. Phytoplankton thin layers caused by shear in frontal zones of a coastal upwelling system. Mar. Ecol. Prog. Ser. 2008, 354, 21–34. [Google Scholar] [CrossRef]
- Johnston, T.S.; Cheriton, O.M.; Pennington, J.T.; Chavez, F.P. Thin phytoplankton layer formation at eddies, filaments, and fronts in a coastal upwelling zone. Deep Sea Res. Part II Top. Stud. Oceanogr. 2009, 56, 246–259. [Google Scholar] [CrossRef]
- Fukumori, I.; Wang, O.; Fenty, I.; Forget, G.; Heimbach, P.; Ponte, R. Synopsis of the ECCO Central Production Global Ocean and Sea-Ice State Estimate, Version 4 Release 4. Zenodo 2021. [Google Scholar] [CrossRef]
- Muller-Karger, F.E.; Smith, J.P.; Werner, S.; Chen, R.; Roffer, M.; Liu, Y.; Muhling, B.; Lindo-Atichati, D.; Lamkin, J.; Cerdeira-Estrada, S.; et al. Natural variability of surface oceanographic conditions in the offshore Gulf of Mexico. Prog. Oceanogr. 2015, 134, 54–76. [Google Scholar] [CrossRef]
- Thomson, R.E.; Fine, I.V. Estimating mixed layer depth from oceanic profile data. J. Atmos. Ocean. Technol. 2003, 20, 319–329. [Google Scholar] [CrossRef]
- Dekshenieks, M.M.; Donaghay, P.L.; Sullivan, J.M.; Rines, J.E.B.; Osborn, T.R.; Twardowski, M.S. Temporal and spatial occurrence of thin phytoplankton layers in relation to physical processes. Mar. Ecol. Prog. Ser. 2001, 223, 61–71. [Google Scholar] [CrossRef]
- Durham, W.M.; Stocker, R. Thin phytoplankton layers: Characteristics, mechanisms, and consequences. Ann. Rev. Mar. Sci. 2012, 4, 177–207. [Google Scholar] [CrossRef]
- Joye, S.; MacDonald, I.; Montoya, J.P.; Peccini, M. Geophysical and geochemical signatures of Gulf of Mexico seafloor brines. Biogeosciences 2005, 2, 295–309. [Google Scholar] [CrossRef]
- Brown, C.D.; Hoyer, M.V.; Bachmann, R.W.; Canfield Jr, D.E. Nutrient-chlorophyll relationships: An evaluation of empirical nutrient-chlorophyll models using Florida and north-temperate lake data. Can. J. Fish. Aquat. Sci. 2000, 57, 1574–1583. [Google Scholar] [CrossRef]
- He, Z.G.; Wang, D.; Chen, J.; Hu, J. Eddy structure in South China Sea from satellite tracked surface drifting buoys and satellite remote sensing sea surface height. J. Trop. Oceanogr. 2001, 20, 27–35. [Google Scholar]
- Li, C.; Chiang, K.P.; Laws, E.A.; Liu, X.; Chen, J.; Huang, Y.; Chen, B.; Tsai, A.Y.; Huang, B. Quasi-Antiphase Diel Patterns of Abundance and Cell Size/Biomass of Picophytoplankton in the Oligotrophic Ocean. Geophys. Res. Lett. 2022, 49, e2022GL097753. [Google Scholar] [CrossRef]
- Liu, Q.; Liu, D.; Zhu, X.; Zhou, Y.; Le, C.; Mao, Z.; Bai, J.; Bi, D.; Chen, P.; Chen, W. Optimum wavelength of spaceborne oceanic lidar in penetration depth. J. Quant. Spectrosc. Radiat. Transf. 2020, 256, 107310. [Google Scholar] [CrossRef]
- Zhou., Y.; Chen., Y.; Zhao., H.; Jamet., C.; Dionisi., D.; Chami., M.; Girolamo, P.D.; Churnside., J.H.; Malinka., A.; Zhao., H.; et al. Shipborne oceanic high-spectral-resolution lidar for accurate estimation of seawater depth-resolved optical properties. Light: Sci. Appl. Inpress 2022. [Google Scholar] [CrossRef]
- Zhou, Y.; Liu, D.; Xu, P.; Liu, C.; Bai, J.; Yang, L.; Cheng, Z.; Tang, P.; Zhang, Y.; Su, L. Retrieving the seawater volume scattering function at the 180° scattering angle with a high-spectral-resolution lidar. Opt. Express 2017, 25, 11813. [Google Scholar] [CrossRef] [PubMed]
- Liu, D.; Xu, P.; Zhou, Y.; Chen, W.; Han, B.; Zhu, X.; He, Y.; Mao, Z.; Le, C.; Chen, P. Lidar remote sensing of seawater optical properties: Experiment and Monte Carlo simulation. IEEE Trans. Geosci. Remote Sens. 2019, 57, 9489–9498. [Google Scholar] [CrossRef]













Publisher’s Note: MDPI stays neutral with regard to jurisdictional claims in published maps and institutional affiliations. |
© 2022 by the authors. Licensee MDPI, Basel, Switzerland. This article is an open access article distributed under the terms and conditions of the Creative Commons Attribution (CC BY) license (https://creativecommons.org/licenses/by/4.0/).
Share and Cite
Yang, Y.; Pan, H.; Zheng, D.; Zhao, H.; Zhou, Y.; Liu, D. Characteristics and Formation Conditions of Thin Phytoplankton Layers in the Northern Gulf of Mexico Revealed by Airborne Lidar. Remote Sens. 2022, 14, 4179. https://doi.org/10.3390/rs14174179
Yang Y, Pan H, Zheng D, Zhao H, Zhou Y, Liu D. Characteristics and Formation Conditions of Thin Phytoplankton Layers in the Northern Gulf of Mexico Revealed by Airborne Lidar. Remote Sensing. 2022; 14(17):4179. https://doi.org/10.3390/rs14174179
Chicago/Turabian StyleYang, Yichen, Hangkai Pan, Dekang Zheng, Hongkai Zhao, Yudi Zhou, and Dong Liu. 2022. "Characteristics and Formation Conditions of Thin Phytoplankton Layers in the Northern Gulf of Mexico Revealed by Airborne Lidar" Remote Sensing 14, no. 17: 4179. https://doi.org/10.3390/rs14174179
APA StyleYang, Y., Pan, H., Zheng, D., Zhao, H., Zhou, Y., & Liu, D. (2022). Characteristics and Formation Conditions of Thin Phytoplankton Layers in the Northern Gulf of Mexico Revealed by Airborne Lidar. Remote Sensing, 14(17), 4179. https://doi.org/10.3390/rs14174179

