The Surface Urban Heat Island and Key Mitigation Factors in Arid Climate Cities, Case of Marrakesh, Morocco
Abstract
:1. Introduction
2. Study Area
3. Material and Methods
4. Results
4.1. Initial Results
4.2. Spatial Variation of LST and NDVI
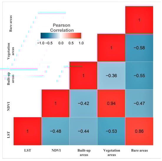
4.3. Relationship between LST, NDVI, Bare Areas, Vegetated Areas and Built-Up Areas
4.4. Relationship between LST and NDVI from 1985 to 2020
4.5. Relationship between Observed Air Temperature and LST
5. Discussion
5.1. Relationship LST, Vegetation, Urban and Bares Areas
5.2. Impact of Construction Type on LST
5.3. Synthesis on the Variation in LST in Marrakesh
6. Conclusions
Author Contributions
Funding
Data Availability Statement
Acknowledgments
Conflicts of Interest
References
- Balk, D.; Leyk, S.; Montgomery, M.R.; Engin, H. Global Harmonization of Urbanization Measures: Proceed with Care. Remote Sens. 2021, 13, 4973. [Google Scholar] [CrossRef]
- Congedo, L.; Macchi, S. The demographic dimension of climate change vulnerability: Exploring the relation between population growth and urban sprawl in Dar es Salaam. Curr. Opin. Environ. Sustain. 2015, 13, 1–10. [Google Scholar] [CrossRef]
- Mohsen, H.; Raslan, R.; El-bastawissi, I.Y. the Impact of Changes in Beirut Urban Patterns on the Microclimate: A Review of Urban Policy and Building. Arch. Planing J. 2020, 25. Available online: https://digitalcommons.bau.edu.lb/apj/vol25/iss1/2/ (accessed on 29 May 2022).
- Keppas, S.C.; Papadogiannaki, S.; Parliari, D.; Kontos, S.; Poupkou, A.; Tzoumaka, P.; Kelessis, A.; Zanis, P.; Casasanta, G.; De’Donato, F.; et al. Future Climate Change Impact on Urban Heat Island in Two Mediterranean Cities Based on High-Resolution Regional Climate Simulations. Atmosphere 2021, 12, 884. [Google Scholar] [CrossRef]
- Périard, J.D.; Travers, G.J.S.; Racinais, S.; Sawka, M.N. Cardiovascular adaptations supporting human exercise-heat accli-mation. Auton. Neurosci. Basic Clin. 2016, 196, 52–62. [Google Scholar] [CrossRef] [PubMed]
- Pascal, M.; Wagner, V.; Alari, A.; Corso, M.; Le Tertre, A. Extreme heat and acute air pollution episodes: A need for joint public health warnings? Atmos. Environ. 2021, 249, 118249. [Google Scholar] [CrossRef]
- Jung, J.; Uejio, C.K.; Adeyeye, T.E.; Kintziger, K.W.; Duclos, C.; Reid, K.; Jordan, M.; Spector, J.T.; Insaf, T.Z. Using social security number to identify sub-populations vulnerable to the health impacts from extreme heat in Florida, U.S. Environ. Res. 2021, 202, 111738. [Google Scholar] [CrossRef] [PubMed]
- Santamouris, M. Recent progress on urban overheating and heat island research. Integrated assessment of the energy, environmental, vulnerability and health impact. Synergies with the global climate change. Energy Build. 2020, 207, 109482. [Google Scholar] [CrossRef]
- Wang, J.; Xiang, Z.; Wang, W.; Chang, W.; Wang, Y. Impacts of strengthened warming by urban heat island on carbon sequestration of urban ecosystems in a subtropical city of China. Urban Ecosyst. 2021, 24, 1165–1177. [Google Scholar] [CrossRef]
- Kong, J.; Zhao, Y.; Carmeliet, J.; Lei, C. Urban Heat Island and Its Interaction with Heatwaves: A Review of Studies on Mesoscale. Sustainability 2021, 13, 10923. [Google Scholar] [CrossRef]
- Gourfi, A.; Daoudi, L.; Rhoujjati, A.; Benkaddour, A.; Fagel, N. Use of bathymetry and clay mineralogy of reservoir sediment to reconstruct the recent changes in sediment yields from a mountain catchment in the Western High Atlas region, Morocco. CATENA 2020, 191, 104560. [Google Scholar] [CrossRef]
- Edmondson, J.L.; Stott, I.; Davies, Z.G.; Gaston, K.J.; Leake, J.R. Soil surface temperatures reveal moderation of the urban heat island effect by trees and shrubs. Sci. Rep. 2016, 6, 33708. [Google Scholar] [CrossRef] [PubMed]
- Palmer, B.J.; Fulbright, T.E.; Grahmann, E.D.; Hernández, F.; Hehman, M.W.; Wester, D.B. Vegetation Structural Attributes Providing Thermal Refugia for Northern Bobwhites. J. Wildl. Manag. 2021, 85, 543–555. [Google Scholar] [CrossRef]
- Nedbal, V.; Láska, K.; Brom, J. Mitigation of Arctic Tundra Surface Warming by Plant Evapotranspiration: Complete Energy Balance Component Estimation Using LANDSAT Satellite Data. Remote Sens. 2020, 12, 3395. [Google Scholar] [CrossRef]
- Gourfi, A.; Daoudi, L.; de Vente, J. A new simple approach to assess sediment yield at a large scale with high landscape diversity: An example of Morocco. J. Afr. Earth Sci. 2020, 168, 103871. [Google Scholar] [CrossRef]
- Iddo, A.G.; Paramasivam, V.; Selvaraj, S.K. Design and Techno-economic analysis of power generating unit from waste heat (Preheater and grate cooler) of cement factory in Ethiopia. Mater. Today: Proc. 2021, 46, 7825–7838. [Google Scholar] [CrossRef]
- Tan, P.Y.; Wong, N.H.; Tan, C.L.; Jusuf, S.K.; Chang, M.F.; Chiam, Z.Q. A method to partition the relative effects of evaporative cooling and shading on air temperature within vegetation canopy. J. Urban Ecol. 2018, 4, juy012. [Google Scholar] [CrossRef]
- Sayão, V.M.; dos Santos, N.V.; Mendes, W.D.S.; Marques, K.P.; Safanelli, J.L.; Poppiel, R.R.; Demattê, J.A. Land use/land cover changes and bare soil surface temperature monitoring in southeast Brazil. Geoderma Reg. 2020, 22, e00313. [Google Scholar] [CrossRef]
- Nichol, J.E.; Fung, W.Y.; Lam, K.-S.; Wong, M.S. Urban heat island diagnosis using ASTER satellite images and ‘in situ’ air temperature. Atmos. Res. 2009, 94, 276–284. [Google Scholar] [CrossRef]
- Saaroni, H.; Ben-Dor, E.; Bitan, A.; Potchter, O. Spatial distribution and microscale characteristics of the urban heat island in Tel-Aviv, Israel. Landsc. Urban Plan. 2000, 48, 1–18. [Google Scholar] [CrossRef]
- Cheval, S.; Dumitrescu, A.; Irașoc, A.; Paraschiv, M.-G.; Perry, M.; Ghent, D. MODIS-based climatology of the Surface Urban Heat Island at country scale (Romania). Urban Clim. 2021, 41, 101056. [Google Scholar] [CrossRef]
- Hartz, D.; Prashad, L.; Hedquist, B.; Golden, J.; Brazel, A. Linking satellite images and hand-held infrared thermography to observed neighborhood climate conditions. Remote Sens. Environ. 2006, 104, 190–200. [Google Scholar] [CrossRef]
- Lu, D.; Weng, Q. Spectral mixture analysis of ASTER images for examining the relationship between urban thermal features and biophysical descriptors in Indianapolis, Indiana, USA. Remote Sens. Environ. 2006, 104, 157–167. [Google Scholar] [CrossRef]
- Meng, F.; Liu, M. Remote-sensing image-based analysis of the patterns of urban heat islands in rapidly urbanizing Jinan, China. Int. J. Remote Sens. 2013, 34, 8838–8853. [Google Scholar] [CrossRef]
- Pu, R.; Gong, P.; Michishita, R.; Sasagawa, T. Assessment of multi-resolution and multi-sensor data for urban surface temperature retrieval. Remote Sens. Environ. 2006, 104, 211–225. [Google Scholar] [CrossRef]
- Zakšek, K.; Oštir, K. Downscaling land surface temperature for urban heat island diurnal cycle analysis. Remote Sens. Environ. 2012, 117, 114–124. [Google Scholar] [CrossRef]
- Chen, X.-L.; Zhao, H.-M.; Li, P.-X.; Yin, Z.-Y. Remote sensing image-based analysis of the relationship between urban heat island and land use/cover changes. Remote Sens. Environ. 2006, 104, 133–146. [Google Scholar] [CrossRef]
- Jamei, Y.; Rajagopalan, P.; Sun, Q. Spatial structure of surface urban heat island and its relationship with vegetation and built-up areas in Melbourne, Australia. Sci. Total Environ. 2018, 659, 1335–1351. [Google Scholar] [CrossRef] [PubMed]
- Chen, L.; Wang, X.; Cai, X.; Yang, C.; Lu, X. Seasonal Variations of Daytime Land Surface Temperature and Their Underlying Drivers over Wuhan, China. Remote Sens. 2021, 13, 323. [Google Scholar] [CrossRef]
- Marzban, F.; Sodoudi, S.; Preusker, R. The influence of land-cover type on the relationship between NDVI–LST and LST-Tair. Int. J. Remote Sens. 2017, 39, 1377–1398. [Google Scholar] [CrossRef]
- Wloczyk, C.; Borg, E.; Richter, R.; Miegel, K. Estimation of instantaneous air temperature above vegetation and soil surfaces from Landsat 7 ETM+ data in northern Germany. Int. J. Remote Sens. 2011, 32, 9119–9136. [Google Scholar] [CrossRef]
- Anniballe, R.; Bonafoni, S.; Pichierri, M. Spatial and temporal trends of the surface and air heat island over Milan using MODIS data. Remote Sens. Environ. 2014, 150, 163–171. [Google Scholar] [CrossRef]
- Lazaar, A.; El Hammouti, K.; Naiji, Z.; Pradhan, B.; Gourfi, A.; Andich, K.; Monir, A. The manifestation of VIS-NIRS spectroscopy data to predict and map soil texture in the Triffa plain (Morocco). Kuwait J. Sci. 2020, 48, 8012. [Google Scholar] [CrossRef]
- HCP Recensement Général de la Population et de l’Habitat de 2014, le Haut Commissariat au Plan du Maroc. 2014. Available online: https://www.hcp.ma/Recensement-General-de-la-Population-et-de-l-Habitat-RGPH-2014_a2945.html (accessed on 29 May 2022).
- Taïbi, A.N.; Hannani, M. El Le Végétal dans l’Espace Public des Villes Coloniales de Marrakech, Alger, Antananarivo et To-liara. Enjeux Socio-Environnementaux d’un «Patrimoine» vert dans un Contexte Urbain en Mutation; CEAUP—Centro de Estudos Africanos da Universidade do Porto: Porto, Portugal, 2020; pp. 27–38. [Google Scholar]
- Gillot, G. La ville Nouvelle Coloniale au Maroc: Moderne, Salubre, Verte, Vaste.; La Maison.; les Villes Nouvelles Écrit par François Leimdorfer. 2014. Available online: https://halshs.archives-ouvertes.fr/halshs-01272511/document (accessed on 5 May 2022).
- Nasiri, V.; Deljouei, A.; Moradi, F.; Sadeghi, S.M.M.; Borz, S.A. Land Use and Land Cover Mapping Using Sentinel-2, Landsat-8 Satellite Images, and Google Earth Engine: A Comparison of Two Composition Methods. Remote Sens. 2022, 14, 1977. [Google Scholar] [CrossRef]
- Richards, J.A. Remote Sensing Digital Image Analysis: An introduction; Springer: Cham, Switzerland, 2013; ISBN 9783642300622. [Google Scholar]
- Vigneshwaran, S.; Kumar, S.V. Extraction of built-up area using high resolution sentinel-2A and google satellite imagery. ISPRS—Int. Arch. Photogramm. Remote Sens. Spat. Inf. Sci. 2018, 42, 165–169. [Google Scholar] [CrossRef]
- USGS. Landsat Data Users Handbook. Available online: https://www.usgs.gov/ (accessed on 5 January 2022).
- Weier, J.; Herring, D. Measuring Vegetation (NDVI & EVI)—Normalized Difference Vegetation Index (NDVI); Nasa Earth Observatory: Springdale, UT, USA, 2000.
- PMuhammad, Y.; Sheng, H.; Sami, U.; Rahman, I.; Atif, Z.; Asif, M. Estimation of Land Surface Temperature using LAND-SAT-8 Data-A Case Study of District Malakand, Khyber Pakhtunkhwa, Pakistan. J. Lib. Arts Humanit. 2020, 1, 140–148. [Google Scholar]
- Gallo, K.P.; Owen, T.W. Satellite-Based Adjustments for the Urban Heat Island Temperature Bias. J. Appl. Meteorol. 1999, 38, 806–813. [Google Scholar] [CrossRef]
- Gallo, K.P.; McNab, A.L.; Karl, T.R.; Brown, J.F.; Hood, J.J.; Tarpley, J.D. The Use of NOAA AVHRR Data for Assessment of the Urban Heat Island Effect. J. Appl. Meteorol. 1993, 32, 899–908. [Google Scholar] [CrossRef]
- Petralli, M.; Prokopp, A.; Morabito, M.; Bartolini, G.; Torrigiani, T.; Orlandini, S. Ruolo Delle Aree Verdi Nella Mitiga-zione Dell’Isola Di Calore Urbana: Uno Studio Nella Città Di Firenze. Riv. Ital. di Agrometeorol. 2006, 1. Available online: https://www.mendeley.com/catalogue/1901752a-f70d-3806-acec-3fe702778ac0/?utm_source=desktop&utm_medium=1.19.8&utm_campaign=open_catalog&userDocumentId=%7B932e2722-18fd-3001-9592-f1826dffbc22%7D (accessed on 29 May 2022).
- dos Santos, A.R.; de Oliveira, F.S.; da Silva, A.G.; Gleriani, J.M.; Gonçalves, W.; Moreira, G.L.; Silva, F.G.; Branco, E.R.F.; Moura, M.M.; da Silva, R.G.; et al. Spatial and temporal distribution of urban heat islands. Sci. Total Environ. 2017, 605–606, 946–956. [Google Scholar] [CrossRef] [PubMed]
- Fujibe, F. Urban warming in Japanese cities and its relation to climate change monitoring. Int. J. Clim. 2011, 31, 162–173. [Google Scholar] [CrossRef]
- Sodoudi, S.; Shahmohamadi, P.; Vollack, K.; Cubasch, U.; Che-Ani, A.I. Mitigating the urban heat island effect in megacity tehran. Adv. Meteorol. 2014, 2014, 547974. [Google Scholar] [CrossRef]
- Vargo, J.; Stone, B.; Habeeb, D.; Liu, P.; Russell, A. The social and spatial distribution of temperature-related health impacts from urban heat island reduction policies. Environ. Sci. Policy 2016, 66, 366–374. [Google Scholar] [CrossRef]
- Zhou, D.; Zhang, L.; Hao, L.; Sun, G.; Liu, Y.; Zhu, C. Spatiotemporal trends of urban heat island effect along the urban development intensity gradient in China. Sci. Total Environ. 2016, 544, 617–626. [Google Scholar] [CrossRef] [PubMed]
- Al-Saadi, L.M.; Jaber, S.H.; Al-Jiboori, M.H. Variation of urban vegetation cover and its impact on minimum and maximum heat islands. Urban Clim. 2020, 34, 100707. [Google Scholar] [CrossRef]
- Farhadi, H.; Faizi, M.; Sanaieian, H. Mitigating the urban heat island in a residential area in Tehran: Investigating the role of vegetation, materials, and orientation of buildings. Sustain. Cities Soc. 2019, 46, 101448. [Google Scholar] [CrossRef]
- Senanayake, I.; Welivitiya, W.; Nadeeka, P. Remote sensing based analysis of urban heat islands with vegetation cover in Colombo city, Sri Lanka using Landsat-7 ETM+ data. Urban Clim. 2013, 5, 19–35. [Google Scholar] [CrossRef]
- Stache, E.; Schilperoort, B.; Ottelé, M.; Jonkers, H. Comparative analysis in thermal behaviour of common urban building materials and vegetation and consequences for urban heat island effect. Build. Environ. 2021, 213, 108489. [Google Scholar] [CrossRef]
- Guha, S.; Govil, H.; Dey, A.; Gill, N. Analytical study of land surface temperature with NDVI and NDBI using Landsat 8 OLI and TIRS data in Florence and Naples city, Italy. Eur. J. Remote Sens. 2018, 51, 667–678. [Google Scholar] [CrossRef]
- Sharifi, E.; Sivam, A.; Karuppannan, S.; Boland, J. Landsat Surface Temperature Data Analysis for Urban Heat Resilience: Case Study of Adelaide. In Lecture Notes in Geoinformation and Cartography; Springer: New York, NY, USA, 2017; pp. 433–447. [Google Scholar] [CrossRef]
- Nakata-Osaki, C.M.; Souza, L.C.L.; Rodrigues, D.S. THIS—Tool for Heat Island Simulation: A GIS extension model to calculate urban heat island intensity based on urban geometry. Comput. Environ. Urban Syst. 2018, 67, 157–168. [Google Scholar] [CrossRef]
- Zha, Y.; Gao, J.; Ni, S. Use of normalized difference built-up index in automatically mapping urban areas from TM imagery. Int. J. Remote Sens. 2003, 24, 583–594. [Google Scholar] [CrossRef]
- He, C.; Shi, P.; Xie, D.; Zhao, Y. Improving the normalized difference built-up index to map urban built-up areas using a semiautomatic segmentation approach. Remote Sens. Lett. 2010, 1, 213–221. [Google Scholar] [CrossRef]
- Chakraborty, T.; Lee, X. A simplified urban-extent algorithm to characterize surface urban heat islands on a global scale and examine vegetation control on their spatiotemporal variability. Int. J. Appl. Earth Obs. Geoinf. ITC J. 2018, 74, 269–280. [Google Scholar] [CrossRef]
- Kim, G. Assessing Urban Forest Structure, Ecosystem Services, and Economic Benefits on Vacant Land. Sustainability 2016, 8, 679. [Google Scholar] [CrossRef]
- EPA Urban Heat Island Basics. Reducing Urban Heat Islands: Compendium of Strategies. In Heat Island Effect; US EPA: Washington, DC, USA, 2008. [Google Scholar]
- El Hannani, M.; Taïbi, A.N.; Brabra, N.; Giffon, S. Les enjeux du végétal dans une ville du « Sud » The Importance of Plant Life in a City of the “South”—The Case of Marra-kesh and the End of "Garden-City” Model. Proj. Paysage 2017, 16, 5862. [Google Scholar] [CrossRef]
- Algretawee, H.; Rayburg, S.; Neave, M. Estimating the effect of park proximity to the central of Melbourne city on Urban Heat Island (UHI) relative to Land Surface Temperature (LST). Ecol. Eng. 2019, 138, 374–390. [Google Scholar] [CrossRef]
- Bourscheidt, V. Análise da influência do uso do solo nas variações de temperatura utilizando imagens MODIS e LAND-SAT 8. In Proceedings of the XVII Simpósio Bras. Sensoriamento Remoto—SBSR, João Pessoa, Brazil, 25–29 April 2015. [Google Scholar]
- Abir, F.A.; Saha, R. Assessment of land surface temperature and land cover variability during winter: A spatio-temporal analysis of Pabna municipality in Bangladesh. Environ. Chall. 2021, 4, 100167. [Google Scholar] [CrossRef]
- Dissanayake, D.; Morimoto, T.; Ranagalage, M.; Murayama, Y. Land-Use/Land-Cover Changes and Their Impact on Surface Urban Heat Islands: Case Study of Kandy City, Sri Lanka. Climate 2019, 7, 99. [Google Scholar] [CrossRef]
- Knight, J.H.; Minasny, B.; McBratney, A.; Koen, T.B.; Murphy, B.W. Soil temperature increase in eastern Australia for the past 50 years. Geoderma 2018, 313, 241–249. [Google Scholar] [CrossRef]
- Deng, Y.; Wang, S.; Bai, X.; Tian, Y.; Wu, L.; Xiao, J.; Chen, F.; Qian, Q. Relationship among land surface temperature and LUCC, NDVI in typical karst area. Sci. Rep. 2018, 8, 64. [Google Scholar] [CrossRef]
- Ibrahim, F.; Rasul, G. Urban Land Use Land Cover Changes and Their Effect on Land Surface Temperature: Case Study Using Dohuk City in the Kurdistan Region of Iraq. Climate 2017, 5, 13. [Google Scholar] [CrossRef]
- Raynolds, M.K.; Comiso, J.C.; Walker, D.A.; Verbyla, D. Relationship between satellite-derived land surface temperatures, arctic vegetation types, and NDVI. Remote Sens. Environ. 2008, 112, 1884–1894. [Google Scholar] [CrossRef]
- Synnefa, A. Cool-colored coatings fight the urban heat-island effect. SPIE Newsroom 2007. [Google Scholar] [CrossRef]
- Akbari, H.; Pomerantz, M.; Taha, H. Cool surfaces and shade trees to reduce energy use and improve air quality in urban areas. Sol. Energy 2001, 70, 295–310. [Google Scholar] [CrossRef]
- Urban, B.; Roth, K. Guidelines for Selecting Cool Roofs; U.S. Department of Energy: Washington, DC, USA, 2010.
- Debbage, N.; Shepherd, J.M. The urban heat island effect and city contiguity. Comput. Environ. Urban Syst. 2015, 54, 181–194. [Google Scholar] [CrossRef]
- Taslim, S.; Parapari, D.M.; Shafaghat, A. Urban Design Guidelines to Mitigate Urban Heat Island (UHI) Effects In Hot-Dry Cities. J. Teknol. 2015, 74. [Google Scholar] [CrossRef]
- Sari, D.P. A Review of How Building Mitigates the Urban Heat Island in Indonesia and Tropical Cities. Earth 2021, 2, 653–666. [Google Scholar] [CrossRef]
- Österreicher, D.; Sattler, S. Maintaining Comfortable Summertime Indoor Temperatures by Means of Passive Design Measures to Mitigate the Urban Heat Island Effect—A Sensitivity Analysis for Residential Buildings in the City of Vienna. Urban Sci. 2018, 2, 66. [Google Scholar] [CrossRef]
















| Sample | District | X | Y | Air Temperature (°C) | Humidity (%) | LST (°C) |
|---|---|---|---|---|---|---|
| P1 | Mechewer | 31.60954 | −7.9825 | 31.5 | 48 | 31.26 |
| P2 | Mechewer | 31.6026 | −7.97826 | 33.4 | 46 | 30.51 |
| P3 | SYBA | 31.60755 | −7.97137 | 33 | 45 | 30.96 |
| P4 | Medina | 31.62393 | −7.98717 | 30.5 | 49 | 30.69 |
| P5 | Hivernage | 31.62195 | −8.00576 | 30.2 | 50 | 27.29 |
| P6 | Issil | 31.64318 | −8.0075 | 34.4 | 44 | 31.39 |
| P7 | Riad Salam | 31.65922 | −8.02481 | 37.4 | 38 | 35.47 |
| P8 | Sidi Ghanem | 31.66696 | −8.04049 | 36.9 | 40 | 34.93 |
| Satellite | Sensor | No. of MS Bands (Nominal Resolution) | Period |
|---|---|---|---|
| Landsat 5 | TM | 6 (30 m) | 27 July 1985 |
| 9 July 1990 | |||
| 8 August 1995 | |||
| 19 August 2005 | |||
| 16 July 2010 | |||
| Landsat 7 | ETM+ | 6 (30 m) | 13 August 2000 |
| Landsat 8 | OLI/TIRS | 8 (30 m) | 14 July 2015 |
| 12 August 2020 | |||
| Sentinel-2A | 13 (10–20 m) | 14 August 2020 |
| Sensor | K1 | K2 |
|---|---|---|
| Landsat 5 TM | Band 6 | Band 6 |
| 607.76 | 1260.56 | |
| Landsat 7 ETM+ | Band 6 | Band 6 |
| 666.09 | 1282.71 | |
| Landsat 8 OLI | Band 10 | Band 10 |
| 774.89 | 1321.08 |
Publisher’s Note: MDPI stays neutral with regard to jurisdictional claims in published maps and institutional affiliations. |
© 2022 by the authors. Licensee MDPI, Basel, Switzerland. This article is an open access article distributed under the terms and conditions of the Creative Commons Attribution (CC BY) license (https://creativecommons.org/licenses/by/4.0/).
Share and Cite
Gourfi, A.; Taïbi, A.N.; Salhi, S.; Hannani, M.E.; Boujrouf, S. The Surface Urban Heat Island and Key Mitigation Factors in Arid Climate Cities, Case of Marrakesh, Morocco. Remote Sens. 2022, 14, 3935. https://doi.org/10.3390/rs14163935
Gourfi A, Taïbi AN, Salhi S, Hannani ME, Boujrouf S. The Surface Urban Heat Island and Key Mitigation Factors in Arid Climate Cities, Case of Marrakesh, Morocco. Remote Sensing. 2022; 14(16):3935. https://doi.org/10.3390/rs14163935
Chicago/Turabian StyleGourfi, Abdelali, Aude Nuscia Taïbi, Salima Salhi, Mustapha El Hannani, and Said Boujrouf. 2022. "The Surface Urban Heat Island and Key Mitigation Factors in Arid Climate Cities, Case of Marrakesh, Morocco" Remote Sensing 14, no. 16: 3935. https://doi.org/10.3390/rs14163935
APA StyleGourfi, A., Taïbi, A. N., Salhi, S., Hannani, M. E., & Boujrouf, S. (2022). The Surface Urban Heat Island and Key Mitigation Factors in Arid Climate Cities, Case of Marrakesh, Morocco. Remote Sensing, 14(16), 3935. https://doi.org/10.3390/rs14163935
