Water Occurrence in the Two Largest Lakes in China Based on Long-Term Landsat Images: Spatiotemporal Changes, Ecological Impacts, and Influencing Factors
Abstract
:1. Introduction
2. Materials and Methods
2.1. Study Area
2.2. Study Data
2.3. Research Framework
2.4. Methods
2.4.1. Image Preprocessing
2.4.2. Extraction of Water Bodies
2.4.3. Calculation and Classification of Water Occurrence
2.4.4. Landscape Transfer Rate
2.4.5. Landscape Pattern Index
2.4.6. Geostatistical Connectivity
2.4.7. Other Methods
3. Results
3.1. Accuracy of Extracted Water Bodies
3.2. Spatial and Temporal Changes in Water Occurrence
3.3. Ecological Impacts of Water Occurrence Changes
3.3.1. Influences of WO Changes on NPP in Poyang Lake
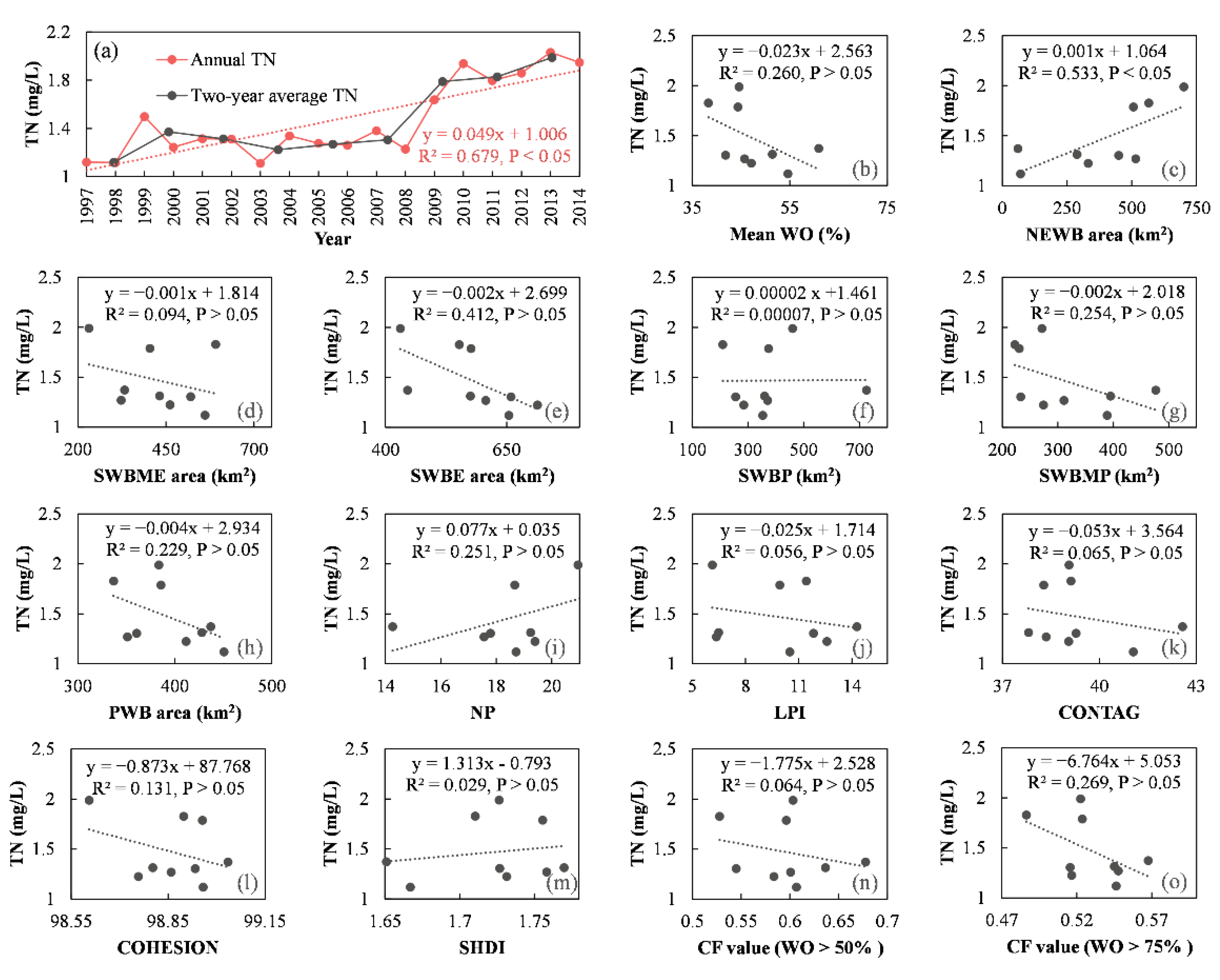
3.3.2. Influences of WO Changes on TN in Dongting Lake
3.4. The Natural and Human Factors That Influence Water Occurrence Changes
3.4.1. Influences of Precipitation and Runoff on WO Changes
3.4.2. Influences of the Encroachment of Cropland on WO Changes
4. Discussion
4.1. Similarities and Differences in Water Occurrence Changes and the Influencing Factors
4.2. Ecological Impact of Water Occurrence Changes
4.3. Uncertainty and Prospects
5. Conclusions
- The mean WO showed a significantly decreasing trend in the two lakes from 1989 to 2020. Before 2002, the landscape variation in Dongting Lake was more intense. After 2002, the landscape variation in Poyang Lake was more intense.
- The landscape structure of WO gradually fragmented and diversified. PD, LPI, CONTAGE, and COHESION showed a decreasing trend in Poyang Lake and Dongting Lake. The SHDI in Poyang Lake showed an increasing trend, and Dongting Lake showed almost no trend. The hydrological connectivity according to geostatistical connectivity analysis also exhibited a decreasing trend. In particular, the hydrological connectivity in Poyang Lake decreased sharply after 2006. From the perspective of landscape structure, variations in Poyang Lake were more dramatic than those in Dongting Lake.
- From 2000 to 2015, NPP in Poyang Lake experienced an increasing trend, with an increasing rate of 10.03 gC/m2. The increase in NPP was negatively correlated with the mean WO, SWBMP area, and PWB area (p < 0.05). From 1997 to 2014, TN in Dongting Lake experienced an increasing trend, with an increasing rate of 0.0486 mg/L. The increase in TN was negatively correlated with the NWB area (p < 0.05).
- Among the annual precipitation, inflow runoff, and upstream runoff, only the upstream runoff showed a significantly positive correlation with the mean WO in Poyang Lake and only the annual precipitation showed a significantly positive correlation with the mean WO in Dongting Lake. According to the moving window approach and Pearson correlation coefficient, the influences of natural factors on WO changes became weaker. The encroachment of cropland plays an important role in WO changes.
Author Contributions
Funding
Data Availability Statement
Acknowledgments
Conflicts of Interest
References
- Xu, X.; Jiang, B.; Tan, Y.; Costanza, R.; Yang, G. Lake-Wetland Ecosystem Services Modeling and Valuation: Progress, Gaps and Future Directions. Ecosyst. Serv. 2018, 33, 19–28. [Google Scholar] [CrossRef]
- Heino, J.; Alahuhta, J.; Bini, L.M.; Cai, Y.; Heiskanen, A.-S.; Hellsten, S.; Kortelainen, P.; Kotamäki, N.; Tolonen, K.T.; Vihervaara, P.; et al. Lakes in the Era of Global Change: Moving beyond Single-Lake Thinking in Maintaining Biodiversity and Ecosystem Services. Biol. Rev. 2021, 96, 89–106. [Google Scholar] [CrossRef] [PubMed]
- Huang, C.; Chen, Y.; Zhang, S.; Wu, J. Detecting, Extracting, and Monitoring Surface Water From Space Using Optical Sensors: A Review. Rev. Geophys. 2018, 56, 333–360. [Google Scholar] [CrossRef]
- Deng, Y.; Jiang, W.; Tang, Z.; Li, J.; Lv, J.; Chen, Z.; Jia, K. Spatio-Temporal Change of Lake Water Extent in Wuhan Urban Agglomeration Based on Landsat Images from 1987 to 2015. Remote Sens. 2017, 9, 270. [Google Scholar] [CrossRef] [Green Version]
- Bhateria, R.; Jain, D. Water Quality Assessment of Lake Water: A Review. Sustain. Water Resour. Manag. 2016, 2, 161–173. [Google Scholar] [CrossRef] [Green Version]
- Hou, X.; Feng, L.; Dai, Y.; Hu, C.; Gibson, L.; Tang, J.; Lee, Z.; Wang, Y.; Cai, X.; Liu, J.; et al. Global Mapping Reveals Increase in Lacustrine Algal Blooms over the Past Decade. Nat. Geosci. 2022, 15, 130–134. [Google Scholar] [CrossRef]
- Zhang, G.; Yao, T.; Chen, W.; Zheng, G.; Shum, C.K.; Yang, K.; Piao, S.; Sheng, Y.; Yi, S.; Li, J.; et al. Regional Differences of Lake Evolution across China during 1960s–2015 and Its Natural and Anthropogenic Causes. Remote Sens. Environ. 2019, 221, 386–404. [Google Scholar] [CrossRef]
- Aminjafari, S.; Brown, I.; Chalov, S.; Simard, M.; Lane, C.R.; Jarsjö, J.; Darvishi, M.; Jaramillo, F. Drivers and Extent of Surface Water Occurrence in the Selenga River Delta, Russia. J. Hydrol. -Reg. Stud. 2021, 38, 100945. [Google Scholar] [CrossRef]
- Gorelick, N.; Hancher, M.; Dixon, M.; Ilyushchenko, S.; Thau, D.; Moore, R. Google Earth Engine: Planetary-Scale Geospatial Analysis for Everyone. Remote Sens. Environ. 2017, 202, 18–27. [Google Scholar] [CrossRef]
- Pekel, J.-F.; Cottam, A.; Gorelick, N.; Belward, A.S. High-Resolution Mapping of Global Surface Water and Its Long-Term Changes. Nature 2016, 540, 418–422. [Google Scholar] [CrossRef]
- Zou, Z.; Xiao, X.; Dong, J.; Qin, Y.; Doughty, R.B.; Menarguez, M.A.; Zhang, G.; Wang, J. Divergent Trends of Open-Surface Water Body Area in the Contiguous United States from 1984 to 2016. Proc. Natl. Acad. Sci. USA 2018, 115, 3810–3815. [Google Scholar] [CrossRef] [PubMed] [Green Version]
- Wang, X.; Xiao, X.; Zou, Z.; Dong, J.; Qin, Y.; Doughty, R.B.; Menarguez, M.A.; Chen, B.; Wang, J.; Ye, H.; et al. Gainers and Losers of Surface and Terrestrial Water Resources in China during 1989–2016. Nat. Commun. 2020, 11, 3471. [Google Scholar] [CrossRef] [PubMed]
- Deng, Y.; Jiang, W.; Tang, Z.; Ling, Z.; Wu, Z. Long-Term Changes of Open-Surface Water Bodies in the Yangtze River Basin Based on the Google Earth Engine Cloud Platform. Remote Sens. 2019, 22. [Google Scholar] [CrossRef] [Green Version]
- Li, Y.; Niu, Z. Systematic Method for Mapping Fine-Resolution Water Cover Types in China Based on Time Series Sentinel-1 and 2 Images. Int. J. Appl. Earth Obs. Geoinf. 2022, 106, 102656. [Google Scholar] [CrossRef]
- Li, X.; Ling, F.; Cai, X.; Ge, Y.; Li, X.; Yin, Z.; Shang, C.; Jia, X.; Du, Y. Mapping Water Bodies under Cloud Cover Using Remotely Sensed Optical Images and a Spatiotemporal Dependence Model. Int. J. Appl. Earth Obs. Geoinf. 2021, 103, 102470. [Google Scholar] [CrossRef]
- Fang, Y.; Li, H.; Wan, W.; Zhu, S.; Wang, Z.; Hong, Y.; Wang, H. Assessment of Water Storage Change in China’s Lakes and Reservoirs over the Last Three Decades. Remote Sens. 2019, 11, 1467. [Google Scholar] [CrossRef] [Green Version]
- Wu, G.; Liu, Y. Mapping Dynamics of Inundation Patterns of Two Largest River-Connected Lakes in China: A Comparative Study. Remote Sens. 2016, 8, 560. [Google Scholar] [CrossRef] [Green Version]
- Liu, H.; Zheng, L.; Jiang, L.; Liao, M. Forty-Year Water Body Changes in Poyang Lake and the Ecological Impacts Based on Landsat and HJ-1 A/B Observations. J. Hydrol. 2020, 589, 125161. [Google Scholar] [CrossRef]
- Wang, C.; Jiang, W.; Deng, Y.; Ling, Z.; Deng, Y. Long Time Series Water Extent Analysis for SDG 6.6.1 Based on the GEE Platform: A Case Study of Dongting Lake. IEEE J. Sel. Top. Appl. Earth Observations Remote Sens. 2022, 15, 490–503. [Google Scholar] [CrossRef]
- Mu, S.; Yang, G.; Xu, X.; Wan, R.; Li, B. Assessing the Inundation Dynamics and Its Impacts on Habitat Suitability in Poyang Lake Based on Integrating Landsat and MODIS Observations. Sci. Total Environ. 2022, 834, 154936. [Google Scholar] [CrossRef] [PubMed]
- Yang, L.; Wang, L.; Zhang, M.; Niu, Z.; Yao, R.; Yu, D.; Li, C.; He, Q. Variation of Water Body in Dongting Lake from in Situ Measurements and MODIS Observations in Recent Decades. Int. J. Digit. Earth. 2021, 14, 959–984. [Google Scholar] [CrossRef]
- Wan, Z.; Wu, H. Evolution of Ecological Patterns of Poyang Lake Wetland Landscape over the Last One Hundred Years Based on Historical Topographic Maps and Landsat Images. Sustainability 2022, 14, 7868. [Google Scholar] [CrossRef]
- Ye, X.; Meng, Y.; Xu, L.; Xu, C. Net Primary Productivity Dynamics and Associated Hydrological Driving Factors in the Floodplain Wetland of China’s Largest Freshwater Lake. Sci. Total Environ. 2019, 659, 302–313. [Google Scholar] [CrossRef] [PubMed]
- Tian, Z.; Zheng, B.; Wang, L.; Li, L.; Wang, X.; Li, H.; Norra, S. Long Term (1997–2014) Spatial and Temporal Variations in Nitrogen in Dongting Lake, China. PLoS ONE 2017, 12, e0170993. [Google Scholar] [CrossRef] [PubMed]
- Ashouri, H.; Hsu, K.-L.; Sorooshian, S.; Braithwaite, D.K.; Knapp, K.R.; Cecil, L.D.; Nelson, B.R.; Prat, O.P. PERSIANN-CDR: Daily Precipitation Climate Data Record from Multisatellite Observations for Hydrological and Climate Studies. Bull. Amer. Meteor. Soc. 2015, 96, 69–83. [Google Scholar] [CrossRef] [Green Version]
- Yang, J.; Huang, X. The 30 m Annual Land Cover Dataset and Its Dynamics in China from 1990 to 2019. Earth Syst. Sci. Data. 2021, 13, 3907–3925. [Google Scholar] [CrossRef]
- Deng, Y.; Jiang, W.; Wu, Z.; Ling, Z.; Peng, K.; Deng, Y. Assessing Surface Water Losses and Gains under Rapid Urbanization for SDG 6.6.1 Using Long-Term Landsat Imagery in the Guangdong-Hong Kong-Macao Greater Bay Area, China. Remote Sens. 2022, 14, 881. [Google Scholar] [CrossRef]
- Zhou, Y.; Dong, J.; Xiao, X.; Liu, R.; Zou, Z.; Zhao, G.; Ge, Q. Continuous Monitoring of Lake Dynamics on the Mongolian Plateau Using All Available Landsat Imagery and Google Earth Engine. Sci. Total Environ. 2019, 689, 366–380. [Google Scholar] [CrossRef]
- Liu, C.; Zhang, F.; Carl Johnson, V.; Duan, P.; Kung, H. Spatio-Temporal Variation of Oasis Landscape Pattern in Arid Area: Human or Natural Driving? Ecol. Indic. 2021, 125, 107495. [Google Scholar] [CrossRef]
- Pardo-Igúzquiza, E.; Dowd, P.A. CONNEC3D: A Computer Program for Connectivity Analysis of 3D Random Set Models. Comput. Geosci. 2003, 29, 775–785. [Google Scholar] [CrossRef]
- Liu, X.; Zhang, Q.; Li, Y.; Tan, Z.; Werner, A.D. Satellite Image-Based Investigation of the Seasonal Variations in the Hydrological Connectivity of a Large Floodplain (Poyang Lake, China). J. Hydrol. 2020, 585, 124810. [Google Scholar] [CrossRef]
- Trigg, M.A.; Michaelides, K.; Neal, J.C.; Bates, P.D. Surface Water Connectivity Dynamics of a Large Scale Extreme Flood. J. Hydrol. 2013, 505, 138–149. [Google Scholar] [CrossRef] [Green Version]
- Wang, Y.; Ma, J.; Xiao, X.; Wang, X.; Dai, S.; Zhao, B. Long-Term Dynamic of Poyang Lake Surface Water: A Mapping Work Based on the Google Earth Engine Cloud Platform. Remote Sens. 2019, 11, 313. [Google Scholar] [CrossRef] [Green Version]
- Wu, H.; Zeng, G.; Liang, J.; Chen, J.; Xu, J.; Dai, J.; Sang, L.; Li, X.; Ye, S. Responses of Landscape Pattern of China’s Two Largest Freshwater Lakes to Early Dry Season after the Impoundment of Three-Gorges Dam. Int. J. Appl. Earth Obs. Geoinf. 2017, 56, 36–43. [Google Scholar] [CrossRef]
- Wu, G.; Liu, Y. Assessment of the Hydro-Ecological Impacts of the Three Gorges Dam on China’s Largest Freshwater Lake. Remote Sens. 2017, 9, 1069. [Google Scholar] [CrossRef] [Green Version]
- Geng, M.; Wang, K.; Yang, N.; Li, F.; Zou, Y.; Chen, X.; Deng, Z.; Xie, Y. Spatiotemporal Water Quality Variations and Their Relationship with Hydrological Conditions in Dongting Lake after the Operation of the Three Gorges Dam, China. J. Clean Prod. 2021, 283, 124644. [Google Scholar] [CrossRef]
- Geng, M.; Wang, K.; Yang, N.; Li, F.; Zou, Y.; Chen, X.; Deng, Z.; Xie, Y. Evaluation and Variation Trends Analysis of Water Quality in Response to Water Regime Changes in a Typical River-Connected Lake (Dongting Lake), China. Environ. Pollut. 2021, 268, 115761. [Google Scholar] [CrossRef]
- Li, Y.; Zhang, Q.; Cai, Y.; Tan, Z.; Wu, H.; Liu, X.; Yao, J. Hydrodynamic Investigation of Surface Hydrological Connectivity and Its Effects on the Water Quality of Seasonal Lakes: Insights from a Complex Floodplain Setting (Poyang Lake, China). Sci. Total Environ. 2019, 660, 245–259. [Google Scholar] [CrossRef]
- Li, J.; Li, Y.; He, L.; Chen, J.; Plaza, A. Spatio-Temporal Fusion for Remote Sensing Data: An Overview and New Benchmark. Sci. China Inf. Sci. 2020, 63, 140301. [Google Scholar] [CrossRef] [Green Version]
- Heimhuber, V.; Tulbure, M.G.; Broich, M. Addressing Spatio-Temporal Resolution Constraints in Landsat and MODIS-Based Mapping of Large-Scale Floodplain Inundation Dynamics. Remote Sens. Environ. 2018, 211, 307–320. [Google Scholar] [CrossRef]















| ID | Interval | Description | Name |
|---|---|---|---|
| 1 | 0 ≤ WO ≤ 5% | Nonwater body and ephemeral water bodies | NEWB |
| 2 | 5% < WO ≤ 25% | Seasonal water bodies which are more inclined to ephemeral water bodies | SWBME |
| 3 | 25% < WO ≤ 50% | Seasonal water bodies which are inclined to ephemeral water bodies | SWBE |
| 4 | 50% < WO ≤ 75% | Seasonal water bodies which are inclined to permanent water bodies | SWBP |
| 5 | 75% < WO ≤ 95% | Seasonal water bodies which are more inclined to permanent water bodies | SWBMP |
| 6 | 95% < WO ≤ 100% | Permanent water bodies | PWB |
| Visual Interpretation | User’s Accuracy (%) | |||
|---|---|---|---|---|
| Water Body | Nonwater Body | |||
| Extraction | Water body | 960 | 70 | 93.20 |
| Nonwater body | 8 | 962 | 99.18 | |
| Producer’s accuracy (%) | 99.17 | 93.22 | overall accuracy: 96.10 kappa: 0.922 | |
Publisher’s Note: MDPI stays neutral with regard to jurisdictional claims in published maps and institutional affiliations. |
© 2022 by the authors. Licensee MDPI, Basel, Switzerland. This article is an open access article distributed under the terms and conditions of the Creative Commons Attribution (CC BY) license (https://creativecommons.org/licenses/by/4.0/).
Share and Cite
Deng, Y.; Jiang, W.; Ye, X.; Zhang, L.; Jia, K. Water Occurrence in the Two Largest Lakes in China Based on Long-Term Landsat Images: Spatiotemporal Changes, Ecological Impacts, and Influencing Factors. Remote Sens. 2022, 14, 3875. https://doi.org/10.3390/rs14163875
Deng Y, Jiang W, Ye X, Zhang L, Jia K. Water Occurrence in the Two Largest Lakes in China Based on Long-Term Landsat Images: Spatiotemporal Changes, Ecological Impacts, and Influencing Factors. Remote Sensing. 2022; 14(16):3875. https://doi.org/10.3390/rs14163875
Chicago/Turabian StyleDeng, Yue, Weiguo Jiang, Xuchun Ye, Lin Zhang, and Kai Jia. 2022. "Water Occurrence in the Two Largest Lakes in China Based on Long-Term Landsat Images: Spatiotemporal Changes, Ecological Impacts, and Influencing Factors" Remote Sensing 14, no. 16: 3875. https://doi.org/10.3390/rs14163875
APA StyleDeng, Y., Jiang, W., Ye, X., Zhang, L., & Jia, K. (2022). Water Occurrence in the Two Largest Lakes in China Based on Long-Term Landsat Images: Spatiotemporal Changes, Ecological Impacts, and Influencing Factors. Remote Sensing, 14(16), 3875. https://doi.org/10.3390/rs14163875

