Downscaling Land Surface Temperature Based on Non-Linear Geographically Weighted Regressive Model over Urban Areas
Abstract
1. Introduction
2. Study Area and Data Preparation
2.1. Study Area
2.2. Datasets and Preprocessing
2.2.1. MODIS Data
2.2.2. Landsat 8 Data
3. Method
3.1. Introduction of Non-Linear Geographically Weighted Regressive Model
3.2. LST Downscaling Algorithm Based on NL-GWR Model
- (1)
- Data processing. Firstly, the Landsat 8 reflectance data needed preprocessing, including radiometric calibration, atmospheric correction and geometric correction, etc., and then calculated the auxiliary parameters, including NDVI, SAVI, NDBI, UI, and NDWI using the Landsat 8 data, and resampled these indices to 1000 and 100 m, respectively. The data with a spatial resolution of 1000 and 100 m are the input parameters for fitting relationship in the coarse resolution and the fine resolution, respectively. For the MODIS LST data (MOD11_L2, collection 6 data), we used the MODIS reprojection tool (MRT) to registered to a UTM WGS 1984 reference system. In addition, then, the MODIS LST data were used to establish model in 1000 m resolution.
- (2)
- LST downscaling model establishment. We used the coarse resolution auxiliary parameters and the MODIS LST to establish the NL-GWR model at a resolution of 1000 m, which is as follows:where the superscript CR denotes the data with a coarse resolution. is the MODIS LST at the pixel i; represent the quadratic and linear components of the auxiliary parameters at the pixel i, respectively. are the coefficient of quadratic component and coefficient of multiple one power parameters, respectively; is the fitting error at a coarse resolution.
- Verification and analysis of the downscaling results. The LST from Landsat 8 retrieved by the Mono-window algorithm was used as reference data to verify the downscaled LST, and root mean square error (RMSE) and mean absolute error (MAE) were chosen as evaluating indicators. RMSE is the deviation between the observed value and its predicted value and illustrates the sample’s dispersion degree. MAE represents the average value of the absolute error between the predicted value and the observed value. The smaller of RMSE and the MAE, the better the downscaling results.
4. Selection of Optimal Index
4.1. Candidates of the Remote Sensing Indices
4.2. Optimal Index Combination of Research Areas
4.2.1. Downscaling with Single Remote Sensing Index
4.2.2. Least Square Regression with Combined Remote Sensing Indices
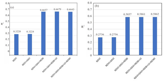
4.2.3. Geographical Weighted Regression with Combined Remote Sensing Indices
5. Results and Discussion
5.1. Downscaling Results
5.2. Landsat 8 LST as the Reference Data
6. Conclusions
Author Contributions
Funding
Acknowledgments
Conflicts of Interest
References
- Ebrahimy, H.; Azadbakht, M. Downscaling MODIS land surface temperature over a heterogeneous area: An investigation of machine learning techniques, feature selection, and impacts of mixed pixels. Comput. Geosci. 2019, 124, 93–102. [Google Scholar] [CrossRef]
- Weng, Q.; Lu, D. A sub-pixel analysis of urbanization effect on land surface temperature and its interplay with impervious surface and vegetation coverage in Indianapolis, United States. Int. J. Appl. Earth Obs. 2008, 10, 68–83. [Google Scholar] [CrossRef]
- Peng, F.; Weng, Q. A time series analysis of urbanization induced land use and land cover change and its impact on land surface temperature with Landsat imagery. Remote Sens. Environ. 2016, 175, 205–214. [Google Scholar]
- Sun, Z.; Wang, Q.; Ouyang, Z.; Watanabe, M.; Matsushita, B.; Fukushima, T. Evaluation of MOD16 algorithm using MODIS and ground observational data in winter wheat field in North China Plain. Hydrol. Process. 2007, 21, 1196–1206. [Google Scholar] [CrossRef]
- Wu, P.; Shen, H.; Zhang, L. Integrated fusion of multi-scale polar-orbiting and geostationary satellite observations for the mapping of high spatial and temporal resolution land surface temperature. Remote Sens. Environ. 2015, 156, 169–181. [Google Scholar] [CrossRef]
- Rajasekar, U.; Weng, Q. Spatio-temporal modelling and analysis of urban heat islands by using Landsat TM and ETM+ imagery. Remote Sens. Environ. 2009, 30, 3531–3548. [Google Scholar] [CrossRef]
- Wu, M.; Zhang, X.; Huang, W.; Niu, Z.; Wang, C.; Li, W.; Hao, P. Reconstruction of Daily 30 m Data from HJ CCD, GF-1 WFV, Landsat, and MODIS Data for Crop Monitoring. Remote Sens. 2015, 7, 16293–16314. [Google Scholar] [CrossRef]
- Kandasamy, S.; Fernandes, R. An approach for evaluating the impact of gaps and measurement errors on satellite land surface phenology algorithms: Application to 20 year NOAA AVHRR data over Canada. Remote Sens. Environ. 2015, 164, 114–129. [Google Scholar] [CrossRef]
- Verbesselt, J.; Hyndman, R.; Zeileis, A.; Culvenor, D. Phenological change detection while accounting for abrupt and gradual trends in satellite image time series. Remote Sens. Environ. 2010, 114, 2970–2980. [Google Scholar] [CrossRef]
- Luo, J.; Li, X.; Ma, R.; Li, F.; Duan, H.; Hu, W.; Qin, B.; Huang, W. Applying remote sensing techniques to monitoring seasonal and interannual changes of aquatic vegetation in Taihu Lake, China. Ecol. Indic. 2016, 60, 503–513. [Google Scholar] [CrossRef]
- Mo, Y.; Momen, B.; Kearney, M.S. Quantifying moderate resolution remote sensing phenology of Louisiana coastal marshes. Ecol. Model. 2015, 312, 191–199. [Google Scholar] [CrossRef]
- Fisher, J.I.; Mustard, J.F. Cross-scalar satellite phenology from ground, Landsat, and MODIS data. Remote Sens. Environ. 2007, 109, 261–273. [Google Scholar] [CrossRef]
- Weng, Q.; Fu, P. Modeling diurnal land temperature cycles over Los Angeles using downscaled GOES imagery. ISPRS J. Photogramm. 2014, 97, 78–88. [Google Scholar] [CrossRef]
- Sun, L.; Anderson, M.C.; Gao, F. Investigating water use over the Choptank River Watershed using a multisatellite data fusion approach. Water Resour. Res. 2017, 53, 5298–5319. [Google Scholar] [CrossRef]
- Zhan, W.; Chen, Y.; Zhou, J.; Wang, J.; Liu, W.; Voogt, J.; Zhu, X.; Quan, J.; Li, J. Disaggregation of remotely sensed land surface temperature: Literature survey, taxonomy, issues, and caveats. Remote Sens. Environ. 2013, 131, 119–139. [Google Scholar] [CrossRef]
- Fasbender, D.; Tuia, D.; Bogaert, P. Support-Based Implementation of Bayesian Data Fusion for Spatial Enhancement: Applications to ASTER Thermal Images. IEEE Geosci. Remote Sens. Lett. 2008, 5, 598–602. [Google Scholar] [CrossRef]
- Gao, F.; Masek, J.G.; Schwaller, M.R. On the Blending of the Landsat and MODIS Surface Reflectance: Predicting Daily Landsat Surface Reflectance. IEEE Trans. Geosci. Remote Sens. 2006, 44, 2207–2218. [Google Scholar]
- Zhu, X.L.; Helmer, E.H.; Gao, F.; Liu, D.S.; Chen, J.; Lefsky, M.A. A flexible spatiotemporal method for fusing satellite images with different resolutions. Remote Sens. Environ. 2016, 172, 165–177. [Google Scholar] [CrossRef]
- Bindhu, V.M.; Narasimhan, B.; Sudheer, K.P. Development and verification of a non-linear disaggregation method (NL-DisTrad) to downscale MODIS land surface temperature to the spatial scale of Landsat thermal data to estimate evapotranspiration. Remote Sens. Environ. 2013, 135, 118–129. [Google Scholar] [CrossRef]
- Dong, C.; Loy, C.C.; He, K. Learning a Deep Convolutional Network for Image Super-Resolution; Springer: Cham, Switzerland, 2014; pp. 184–199. [Google Scholar]
- Dong, C.; Loy, C.C.; Tang, X. Accelerating the Super-Resolution Convolutional Neural Network. European Conference on Computer Vision; Springer: Cham, Switzerland, 2014; pp. 391–407. [Google Scholar]
- Ledig, C.; Theis, L.; Huszar, F. Photo-Realistic Single Image Super-Resolution Using a Generative Adversarial Network. In Proceedings of the IEEE Conference on Computer Vision and Pattern Recognition, Honolulu, HI, USA, 21–26 July 2017; pp. 4681–4690. [Google Scholar]
- Yu, Y.; Gong, Z.; Zhong, P.; Shan, J. Unsupervised Representation Learning with Deep Convolutional Neural Network for Remote Sensing Images. In International Conference on Image and Graphics; Springer: Cham, Switzerland, 2017; pp. 97–108. [Google Scholar]
- Arjovsky, M.; Chintala, S.; Bottou, L. Wasserstein gan. arXiv 2017, arXiv:1701.07875. [Google Scholar]
- Berthelot, D.; Schumm, T.; Metz, L. Began: Boundary equilibrium generative adversarial networks. arXiv 2017, arXiv:1703.10717. [Google Scholar]
- Shao, B.; Tang, X.; Jin, L.; Li, Z. Single frame infrared image super-resolution algorithm based on generative adversarial nets. J. Infrared Millim. Waves 2018, 37, 427–432. [Google Scholar]
- Guo, L.J.; Moore J, M. Pixel block intensity modulation: Adding spatial detail to TM band 6 thermal imagery. Int. J. Remote Sens. 1998, 19, 2477–2491. [Google Scholar] [CrossRef]
- Stathopoulou, M.; Cartalis, C. Downscaling AVHRR land surface temperatures for improved surface urban heat island intensity estimation. Remote Sens. Environ. 2009, 113, 2592–2605. [Google Scholar] [CrossRef]
- Zhukov, B.; Oertel, D.; Lanzl, F.; Rtinhackel, G. Unmixing-based multisensor multiresolution image fusion. IEEE Trans. Geosci. Remote Sens. 1999, 37, 1212–1226. [Google Scholar] [CrossRef]
- Deng, C.; Wu, C. Examining the impacts of urban biophysical compositions on surface urban heat island: A spectral unmixing and thermal mixing approach. Remote Sens. Environ. 2013, 131, 262–274. [Google Scholar] [CrossRef]
- Kustas, W.P.; Norman, J.M.; Anderson, M.C.; French, A.N. Estimating subpixel surface temperatures and energy fluxes from the vegetation index–radiometric temperature relationship. Remote Sens. Environ. 2003, 85, 429–440. [Google Scholar] [CrossRef]
- Agam, N.; Kustas, W.P.; Anderson, M.C. A vegetation index based technique for spatial sharpening of thermal imagery. Remote Sens. Environ. 2007, 107, 545–558. [Google Scholar] [CrossRef]
- Yang, G.; Pu, R.; Huang, W.; Wang, J.; Zhao, C.A. Novel Method to Estimate Subpixel Temperature by Fusing Solar-Reflective and Thermal-Infrared Remote-Sensing Data with an Artificial Neural Network. IEEE Trans. Geosci. Remote Sens. 2010, 48, 2170–2178. [Google Scholar] [CrossRef]
- Zhu, S.; Guan, H.; Millington, A.C.; Zhang, G. Disaggregation of land surface temperature over a heterogeneous urban and surrounding suburban area: A case study in Shanghai, China. Int. J. Remote Sens. 2013, 34, 1707–1723. [Google Scholar] [CrossRef]
- Eswar, R.; Sekhar, M.; Bhattacharya, B. Disaggregation of LST over India: Comparative analysis of different vegetation indices. Int. J. Remote Sens. 2016, 37, 1035–1054. [Google Scholar] [CrossRef]
- Bonafoni, S. Downscaling of Landsat and MODIS Land Surface Temperature Over the Heterogeneous Urban Area of Milan. IEEE J. Sel. Top. Appl. Earth Obs. Remote Sens. 2016, 9, 2019–2027. [Google Scholar] [CrossRef]
- Qi, P.; Cui, Y.; Zhang, H. Evaluating Multivariable Statistical Methods for Downscaling Nighttime Land Surface Temperature in Urban Areas. IEEE Access 2020, 8, 162085–162098. [Google Scholar] [CrossRef]
- Wang, R.; Gao, W.; Peng, W. Downscale MODIS Land Surface Temperature Based on Three Different Models to Analyze Surface Urban Heat Island: A Case Study of Hangzhou. Remote Sens. 2020, 12, 2134. [Google Scholar] [CrossRef]
- Duan, S.-B.; Li, Z.-L. Spatial Downscaling of MODIS Land Surface Temperatures Using Geographically Weighted Regression: Case Study in Northern China. IEEE Trans. Geosci. Remote Sens. 2016, 54, 6458–6469. [Google Scholar] [CrossRef]
- Osvaldo, P.; Adolpho, M.; Célia, M.; Lucas, Y. Downscaling of ASTER Thermal Images Based on Geographically Weighted Regression Kriging. Remote Sens. 2018, 10, 633. [Google Scholar]
- Peng, Y.; Li, W.; Luo, X. A Geographically and Temporally Weighted Regression Model for Spatial Downscaling of MODIS Land Surface Temperatures Over Urban Heterogeneous Regions. IEEE Trans. Geosci. Remote Sens. 2019, 57, 5012–5027. [Google Scholar] [CrossRef]
- Wang, S.; Luo, X.; Peng, Y. Spatial Downscaling of MODIS Land Surface Temperature Based on Geographically Weighted Autoregressive Model. IEEE J. Sel. Top. Appl. Earth Obs. Remote Sens. 2020, 54, 6458–6469. [Google Scholar]
- Wan, Z.; Dozier, J. A generalized split-window algorithm for retrieving land-surface temperature from space. IEEE Trans. Geosci. Remote Sens. 1996, 34, 892–905. [Google Scholar]
- Duan, S.B.; Li, Z.L.; Wu, H. Radiance-based validation of land surface temperature products derived from Collection 6 MODIS thermal infrared data. Int. J. Appl. Earth Obs. 2018, 70, 84–92. [Google Scholar] [CrossRef]
- Duan, S.B.; Li, Z.L.; Cheng, J.; Leng, P. Cross-satellite comparison of operational land surface temperature products derived from MODIS and ASTER data over bare soil surfaces. ISPRS J. Photogramm. Remote Sens. 2017, 126, 1–10. [Google Scholar] [CrossRef]
- Qinhuo, L.; Xiru, X.; Jiayi, C. The Retrieval of Land Surface Temperature and Emissivity byRemote Sensing Data: Theory and Digital Simulation. J. Remote Sens. 1998, 2, 1–9. [Google Scholar]
- McMillin Larry, M. Estimation of sea surface temperatures from two infrared window measurements with different absorption. Int. J. Remote Sens. 1975, 80, 5113–5117. [Google Scholar] [CrossRef]
- Becker, F. The impact of spectral emissivity on the measurement of land surface temperature from a satellite. Int. J. Remote Sens. 1987, 8, 1509–1522. [Google Scholar] [CrossRef]
- Qin, Z.; Karnieli, A.; Berliner, P. A mono-window algorithm for retrieving land surface temperature from Landsat TM data and its application to the Israel-Egypt border region. Int. J. Remote Sens. 2001, 22, 3719–3746. [Google Scholar] [CrossRef]
- Luo, J.H.; Zhang, J.C.; Huang, W.J.; Yang, G.; Gu, X.; Yang, H. The Analysis of Consistency between HJ-1B and Landsat 5 TM for Retrieving LST Based on the Single-Channel Algorithm. Spect. Anal. 2010, 30, 3285–3289. [Google Scholar]
- Hu, D.Y.; Qiao, K.; Wang, X.L. Land surface temperature retrieval from Landsat 8 thermal infrared data using mono-window algorithm. Int. J. Remote Sens. 2015, 19, 964–976. [Google Scholar]
- Balcik, F.B.; Ergene, E.M. Determining the impacts of land cover/use categories on land surface temperature using landsat8-oli. Remote Sens. Spat. Inf. Sci. 2016, 41, 251–256. [Google Scholar]
- Wang, F.; Qin, Z.; Song, C.; Tu, L.; Karnieli, A.; Zhao, S. An Improved Mono-Window Algorithm for Land Surface Temperature Retrieval from Landsat 8 Thermal Infrared Sensor Data. Remote Sens. 2015, 7, 4268–4289. [Google Scholar] [CrossRef]
- Sobrino, J.A.; Coll, C.; Caselles, V. Atmospheric correction for land surface temperature using NOAA-11 AVHRR channels 4 and 5. Remote Sens. Environ. 1991, 38, 19–34. [Google Scholar] [CrossRef]
- Jimenez-Munoz, J.C.; Sobrino, J.A. Split-Window Coefficients for Land Surface Temperature Retrieval From Low-Resolution Thermal Infrared Sensors. IEEE Geosci. Remote Sens. 2008, 5, 806–809. [Google Scholar] [CrossRef]
- Hengl, T.; Heuvelink, G.B.M.; Tadi, M.P.; Pebesma, E.J. Spatio-temporal prediction of daily temperatures using time-series of MODIS LST image. Theor. Appl. Climatol. 2012, 107, 265–277. [Google Scholar] [CrossRef]
- Fotheringham, A.S.; Brunsdon, M.C.; Brunsdon, C. The geography of parameter space: An investigation of spatial non-stationarity. Int. J. Geogr. Inf. Sci. 1996, 10, 605–627. [Google Scholar] [CrossRef]
- Calvo, E.; Escolar, M. The Local Voter: A Geographically Weighted Approach to Ecological Inference. Am. J. Political Sci. 2003, 47, 189–204. [Google Scholar] [CrossRef]
- Zhan, W.; Chen, Y.; Zhou, J. Sharpening Thermal Imageries: A Generalized Theoretical Framework from an Assimilation Perspective. IEEE Trans. Geosci. Remote Sens. 2011, 49, 773–789. [Google Scholar] [CrossRef]
- Zhan, W.; Chen, Y.; Wang, J.; Zhou, J.; Quan, J.; Liu, W.; Li, J. Downscaling land surface temperatures with multi-spectral and multi-resolution images. Int. J. Appl. Earth Obs. 2012, 18, 23–36. [Google Scholar] [CrossRef]
- Schnell, J.A. Monitoring the vernal advancement and retrogradation (greenwave effect) of natural vegetation. In Great Plains Corridor; NASA/GSFC Type III Final Report: Greenbelt, MD, USA, 1974. [Google Scholar]
- Huete, A.R. A soil-adjusted vegetation index (SAVI). Remote Sens. Environ. 1988, 25, 295–309. [Google Scholar] [CrossRef]
- Zha, Y.; Gao, J.; Ni, S. Use of normalized difference built-up index in automatically mapping urban areas from TM imagery. Int. J. Remote Sens. 2003, 24, 583–594. [Google Scholar] [CrossRef]
- Kawamura, M. Relation between social and environmental conditions in Colombo Sri Lanka and the urban index estimated by satellite remote sensing data roc. In Proceedings of the 51st Annual Conference of the Japan Society of Civil Engineers, Vienna, Austria, 9–19 July 1996. [Google Scholar]
- Gao, B.C. NDWI—A normalized difference water index for remote sensing of vegetation liquid water from space. Remote Sens. Environ. 1996, 58, 257–266. [Google Scholar] [CrossRef]
- McMillen, D.P. Geographically Weighted Regression: The Analysis of Spatially Varying Relationships. Am. J. Agric. Econ. 2004, 86, 554–556. [Google Scholar] [CrossRef]
- Mutiibwa, D.; Strachan, S.; Albright, T. Land Surface Temperature and Surface Air Temperature in Complex Terrain. IEEE J. Sel. Top. Appl. Earth Obs. Remote Sens. 2016, 8, 4762–4774. [Google Scholar] [CrossRef]
- Gemma, S.; Vicente, G.; Maria, J.; Martínez-Villagrasa, D.; Picos, R.; Caselles, V.; Cuxart, J. Landsat and Local Land Surface Temperatures in a Heterogeneous Terrain Compared to MODIS Values. Remote Sens. 2016, 8, 849. [Google Scholar]
- Zhu, X.; Wang, X.; Yan, D. Analysis of remotely-sensed ecological indexes’ influence on urban thermal environment dynamic using an integrated ecological index: A case study of Xi’an, China. Int. J. Remote Sens. 2019, 40, 3421–3447. [Google Scholar] [CrossRef]









| Study Area | Acquisition Time (Landsat 8 Data) | Acquisition Time (MODIS LST Data) |
|---|---|---|
| Jinan | 11 July 2014 02:48:23 | 11 July 2014 03:00:00 |
| 25 April 2015 02:47:51 | 25 April 2015 02:55:00 | |
| 10 December 2017 02:48:40 | 10 December 2017 03:00:00 | |
| Wuhan | 23 January 2014 02:57:26 | 23 January 2014 04:00:00 |
| 24 July 2016 02:56:17 | 24 July 2016 03:05:00 | |
| 30 October 2017 02:56:36 | 30 October 03:05:00 |
| Range of LST (°C). | a10 | b10 | R2 |
|---|---|---|---|
| 20–70 | 70.1775 | 0.4581 | 0.9997 |
| 0–50 | 62.7182 | 0.4339 | 0.9996 |
| −20–30 | 55.4276 | 0.4086 | 0.9996 |
| Indices | Abbreviation | Formulation | |
|---|---|---|---|
| Normalized Difference Vegetation Index | NDVI | (10) | |
| Soil-Adjusted Vegetation Index | SAVI | (11) | |
| Normalized Difference Built-up Index | NDBI | (12) | |
| Urban index | UI | (13) | |
| Normal Difference Water Index | NDWI | (14) |
| Relationship | R2 | RMSE (°C) |
|---|---|---|
| 0.66 | 1.38 | |
| 0.71 | 1.26 | |
| 0.60 | 1.61 | |
| 0.75 | 1.15 | |
| 0.72 | 1.22 |
| Relationship | R2 | RMSE (°C) |
|---|---|---|
| 0.42 | 0.96 | |
| 0.54 | 0.72 | |
| 0.60 | 0.63 | |
| 0.70 | 0.59 | |
| 0.71 | 0.54 |
| Relationship | R2 | RMSE (°C) |
|---|---|---|
| 0.80 | 0.99 | |
| 0.86 | 0.85 | |
| 0.81 | 0.98 | |
| 0.81 | 0.94 | |
| 0.83 | 0.89 |
| Relationship | R2 | RMSE (°C) |
|---|---|---|
| 0.60 | 0.76 | |
| 0.82 | 0.39 | |
| 0.77 | 0.60 | |
| 0.79 | 0.53 | |
| 0.76 | 0.57 |
| Parameter Combination | 11 July 2014 | 25 April 2015 | 10 December 2017 | |||
|---|---|---|---|---|---|---|
| RMSE | MAE | RMSE | MAE | RMSE | MAE | |
| NDVI + NDBI | 2.4997 | 1.4054 | 2.5516 | 1.4687 | 2.3328 | 1.3574 |
| NDVI2 + NDBI | 1.3208 | 0.9208 | 1.4858 | 0.9721 | 1.5231 | 1.0063 |
| NDVI + NDBI2 | 1.8926 | 1.2451 | 1.7976 | 1.1526 | 2.1810 | 1.2762 |
| NDVI2 + NDVI + NDBI | 2.0224 | 1.3708 | 2.1364 | 1.3840 | 2.3180 | 1.4308 |
| NDBI2 + NDBI + NDVI | 1.6921 | 1.1764 | 2.1221 | 1.2765 | 2.3100 | 1.2364 |
| Parameter Combination | 23 January 2014 | 24 July 2016 | 30 October 2017 | |||
|---|---|---|---|---|---|---|
| RMSE | MAE | RMSE | MAE | RMSE | MAE | |
| NDVI + NDBI | 2.9117 | 2.1017 | 2.8165 | 1.9757 | 2.0343 | 1.4837 |
| NDVI2 + NDBI | 1.7235 | 1.2384 | 1.4957 | 1.0686 | 1.4168 | 1.1172 |
| NDVI + NDBI2 | 2.5611 | 2.1609 | 3.0211 | 1.1524 | 1.6821 | 1.2407 |
| NDVI2 + NDVI + NDBI | 2.5039 | 2.1436 | 2.0224 | 1.2844 | 1.8566 | 1.2280 |
| NDBI2 + NDBI + NDVI | 2.5445 | 2.2140 | 2.5254 | 1.6298 | 1.7975 | 1.2451 |
Publisher’s Note: MDPI stays neutral with regard to jurisdictional claims in published maps and institutional affiliations. |
© 2021 by the authors. Licensee MDPI, Basel, Switzerland. This article is an open access article distributed under the terms and conditions of the Creative Commons Attribution (CC BY) license (https://creativecommons.org/licenses/by/4.0/).
Share and Cite
Wang, S.; Luo, Y.; Li, X.; Yang, K.; Liu, Q.; Luo, X.; Li, X. Downscaling Land Surface Temperature Based on Non-Linear Geographically Weighted Regressive Model over Urban Areas. Remote Sens. 2021, 13, 1580. https://doi.org/10.3390/rs13081580
Wang S, Luo Y, Li X, Yang K, Liu Q, Luo X, Li X. Downscaling Land Surface Temperature Based on Non-Linear Geographically Weighted Regressive Model over Urban Areas. Remote Sensing. 2021; 13(8):1580. https://doi.org/10.3390/rs13081580
Chicago/Turabian StyleWang, Shumin, Youming Luo, Xia Li, Kaixiang Yang, Qiang Liu, Xiaobo Luo, and Xiuhong Li. 2021. "Downscaling Land Surface Temperature Based on Non-Linear Geographically Weighted Regressive Model over Urban Areas" Remote Sensing 13, no. 8: 1580. https://doi.org/10.3390/rs13081580
APA StyleWang, S., Luo, Y., Li, X., Yang, K., Liu, Q., Luo, X., & Li, X. (2021). Downscaling Land Surface Temperature Based on Non-Linear Geographically Weighted Regressive Model over Urban Areas. Remote Sensing, 13(8), 1580. https://doi.org/10.3390/rs13081580

