Our earlier work on assessment of altimeter significant wave height (SWH) algorithms [1] suffered from a software bug that meant that the quality flags provided with the algorithm estimates was not heeded in the validation against model output. This has now been corrected, and an updated version of the plots is hereafter presented and discussed. The authors apologise for any inconvenience caused and state that the scientific conclusions are unaffected. The original article has been updated.
1. Error in Figures
Corrections Section 4.4: Comparison against Wave Model
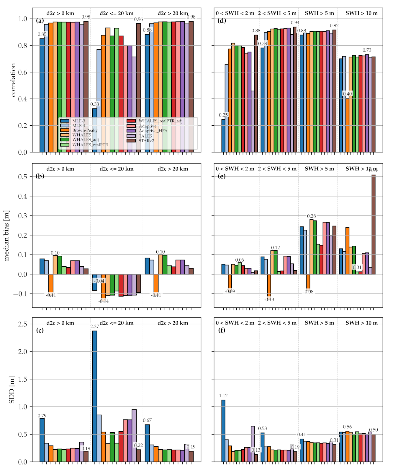
Figure 9 depicts the comparison statistics against the ERA5-h model for the retracked Jason-3 (J3) datasets. The same is shown in Figure 10 for the retracked Sentinel-3 (S3) datasets.
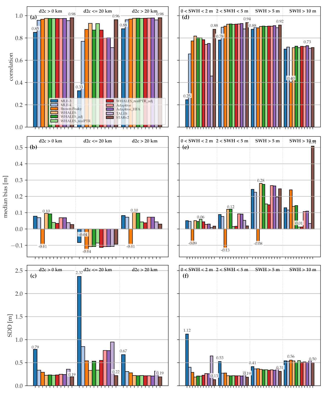
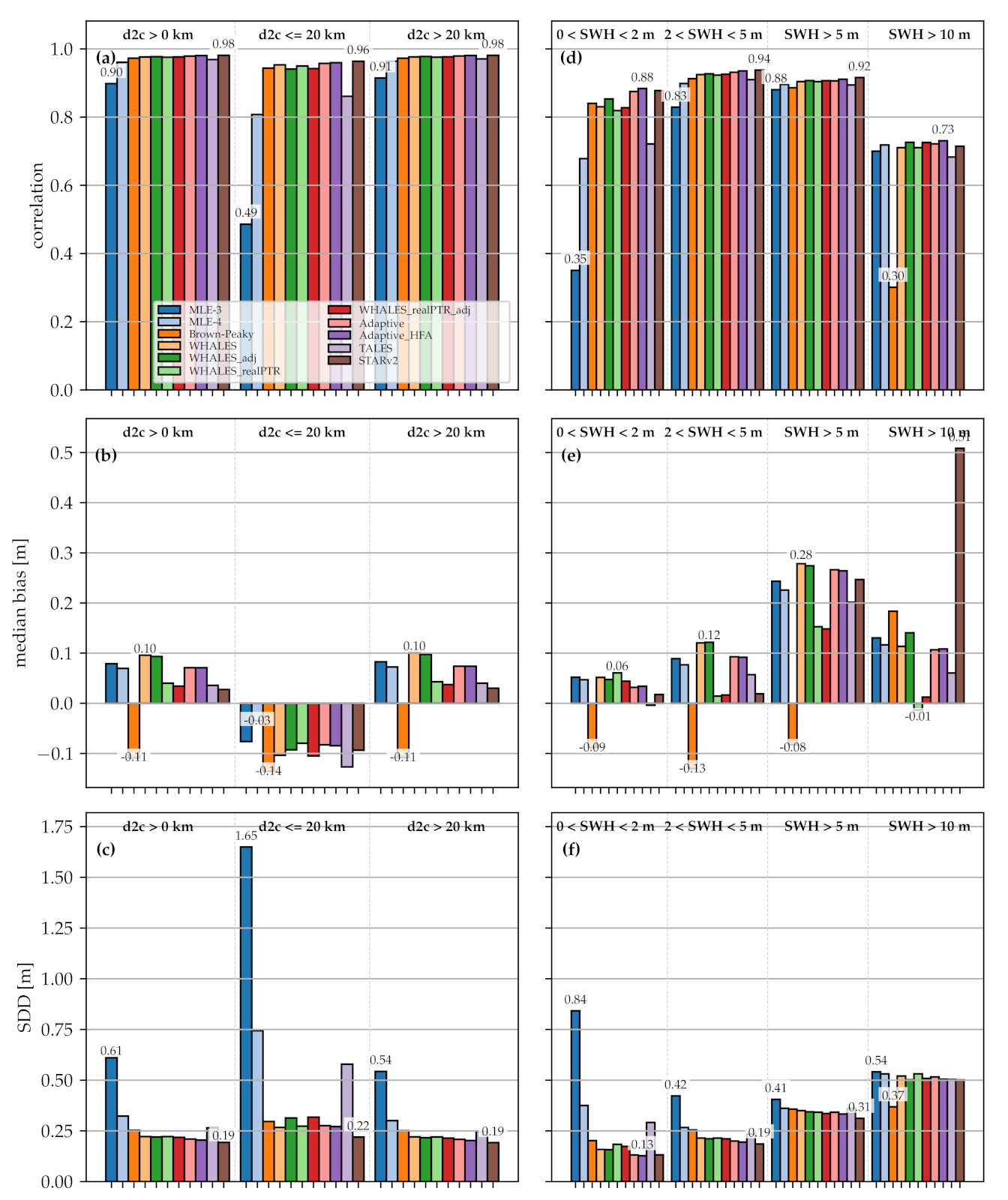
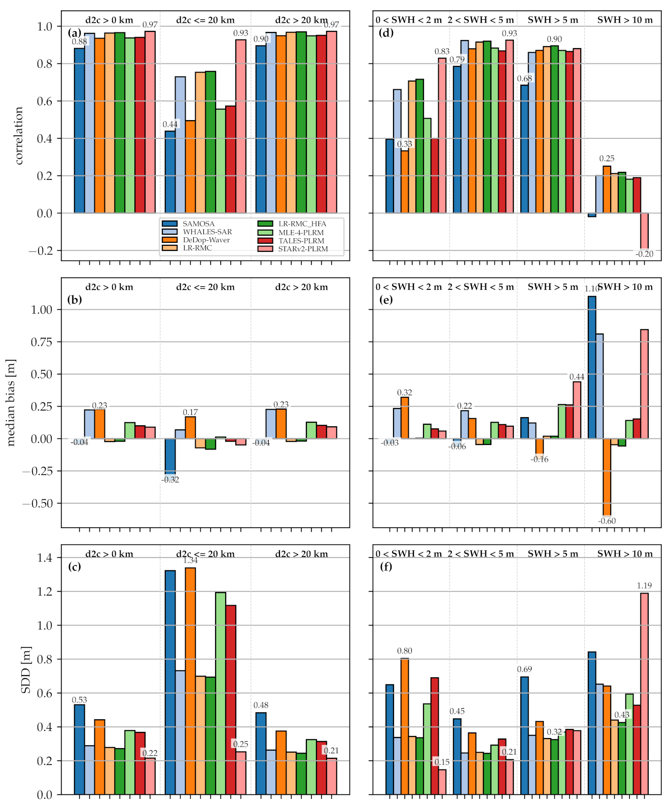
The main differences compared to the same figures of the original article are observed in the statistics for the coastal zone. Using the quality flag, the performances of most of the retrackers in terms of correlation and standard deviation of differences (SDD) have significantly improved and the differences are much less significant. The retrackers are now similar for the correlation and SDD metrics (exceptions: J3: MLE-3, MLE-4, and TALES; S3: SAMOSA, MLE-4-PLRM, and TALES-PLRM). Some retrackers show a degraded performance now, which are MLE-3, MLE-4, and (partially) TALES for J3; and SAMOSA, MLE-4-PLRM and (partially) TALES-PLRM for S3. MLE-3 and MLE-4 for J3 and SAMOSA for S3 are the retrackers available in the original product, designed for the open-ocean, and their quality flag is not adapted for the coastal zone.
An important fact that was not considered in this evaluation is the numbers of valid 1-Hz measurements that are mainly attributed to the supplied quality flag. As described in Section 4.1, the retrackers show significant differences in terms of number of outliers. Two of the best performing algorithms LR-RMC and STARv2 also show the highest number of outliers within 20 km of the coast. It becomes obvious here that it is a trade-off between quality and quantity of the measurements. The new retrackers analysed in this study are provided with an effective quality flag that allows reliability of the estimates in the coastal zone, but the amount of good quality data differs significantly among the datasets.
Figure 9.
Comparison of the (a,d) correlation coefficient, (b,e) median bias, (c,f) SDD against ERA5-h model of the individual J3 retrackers as a function of distance-to-coast (dist2coast) and of SWH, respectively.
Figure 9.
Comparison of the (a,d) correlation coefficient, (b,e) median bias, (c,f) SDD against ERA5-h model of the individual J3 retrackers as a function of distance-to-coast (dist2coast) and of SWH, respectively.

Replace with:
Figure 9.
Comparison of the (a/d) correlation coefficient, (b/e) median bias, (c/f) SDD against ERA5-h model of the individual J3 retrackers as a function of dist2coast and of SWH, respectively. (Revision of original Figure 9).
Figure 9.
Comparison of the (a/d) correlation coefficient, (b/e) median bias, (c/f) SDD against ERA5-h model of the individual J3 retrackers as a function of dist2coast and of SWH, respectively. (Revision of original Figure 9).

Figure 10.
Comparison of the (a,d) correlation coefficient, (b,e) median bias, (c,f) SDD against ERA5-h model of the individual S3A retrackers as a function of dist2coast and of SWH, respectively.
Figure 10.
Comparison of the (a,d) correlation coefficient, (b,e) median bias, (c,f) SDD against ERA5-h model of the individual S3A retrackers as a function of dist2coast and of SWH, respectively.

Replace with:
Figure 10.
Comparison of the (a/d) correlation coefficient, (b/e) median bias, (c/f) SDD against ERA5-h model of the individual Sentinel-3A (S3A) retrackers as a function of dist2coast and of SWH, respectively. (Revision of original Figure 10).
Figure 10.
Comparison of the (a/d) correlation coefficient, (b/e) median bias, (c/f) SDD against ERA5-h model of the individual Sentinel-3A (S3A) retrackers as a function of dist2coast and of SWH, respectively. (Revision of original Figure 10).

2. Text Correction
Corrections Section 4.6: Selection and Decision Process of ESA SeaState_cci Consortium
The update of the comparison against wave model analysis statistics results in a slight change of the ranking. WHALES-SAR and DeDop-Waver now share the second place among the Delay-Doppler altimetry (DDA) retracking algorithms, as each of them wins one out of the two scoring schemes weighted metric scores and weighted metrics results. The updated ranking is shown in Table 6.
Table 6.
Selection of the Sea State Climate Change Initiative (SeaState_cci) project management and production team. (Revision of original Table 6).
Table 6.
Selection of the Sea State Climate Change Initiative (SeaState_cci) project management and production team. (Revision of original Table 6).
| Mode | LRM | DDA | |
|---|---|---|---|
| Rank | |||
| 1. | Adaptive | LR-RMC | |
| 2. | WHALES | WHALES-SAR/DeDop-Waver | |
Funding
This research has been funded by the European Space Agency (ESA) as part of the SeaState_cci project of the Climate Change Initiative (CCI). (ESA ESRIN/Contract No. 4000123651/18/I-NB).
Conflicts of Interest
The authors declare no conflict of interest.
Reference
- Schlembach, F.; Passaro, M.; Quartly, G.D.; Kurekin, A.; Nencioli, F.; Dodet, G.; Piollé, J.-F.; Ardhuin, F.; Bidlot, J.; Schwatke, C.; et al. Round Robin Assessment of Radar Altimeter Low Resolution Mode and Delay-Doppler Retracking Algorithms for Significant Wave Height. Remote Sens. 2020, 12, 1254. [Google Scholar] [CrossRef]
Publisher’s Note: MDPI stays neutral with regard to jurisdictional claims in published maps and institutional affiliations. |
© 2021 by the authors. Licensee MDPI, Basel, Switzerland. This article is an open access article distributed under the terms and conditions of the Creative Commons Attribution (CC BY) license (http://creativecommons.org/licenses/by/4.0/).