Flood Risk Assessment of Metro System Using Improved Trapezoidal Fuzzy AHP: A Case Study of Guangzhou
Abstract
:1. Introduction
2. Materials and Methods
2.1. Study Area
2.2. Flood Risk Assessment Model
2.3. Risk Indicator System and Data
2.3.1. Hazard Indicator
2.3.2. Exposure Indicator
2.3.3. Vulnerability Indicator
2.4. Improved Trapezoidal Fuzzy AHP
2.4.1. New Questionnaire and Judgment Matrix Building Method
2.4.2. Steps of Improved Trapezoidal Fuzzy AHP
2.4.3. Application
3. Results
3.1. Regional Flood Risk Level of Guangzhou
3.2. Flood Risk Level of the Guangzhou Metro System
3.2.1. Overall Spatial Pattern of Flood Risk
3.2.2. Flood Risk Level of Metro Lines
3.2.3. Flood Risk Level of Metro Stations
3.3. Result Verification
4. Discussion
4.1. Risk Indicator System Analysis
4.2. Feasibility Analysis of Improved Trapezoidal Fuzzy AHP
4.3. Flood Prevention Measures of Metro System
4.4. Limitations
5. Conclusions
- (1)
- This study proposed a method for accurately assessing the flood risk levels of metro systems based on an improved trapezoidal fuzzy AHP. According to the established risk assessment indicator system and its corresponding weights, the flood risk level of the Guangzhou metro system was presented using the regional risk within a 500 m buffer zone of the metro line. The results validation found a 90% match between historical metro flood incidents and the very high and high risk in the risk assessment. This study provides a new approach to and technical support for the flood risk assessment of mega-city metro systems.
- (2)
- An improved trapezoidal fuzzy AHP method was proposed based on the newly designed questionnaire and judgment matrix building approach. The method solved the problems posed by the complexity of pairwise comparisons and the inconsistency of the judgment matrices in the traditional AHP. The new questionnaire shortens the time spent per expert by 50.3% compared to the traditional questionnaire; the 97.92% expert recommendation rate proved its superiority. Furthermore, the new matrix building approach ensures judgment matrix consistency for assessment indicators. The comparison of the risk assessment results demonstrates that the improved trapezoidal fuzzy AHP significantly outperformed the traditional trapezoidal fuzzy AHP. This method is also applicable to decision-making for related problems in other research fields.
- (3)
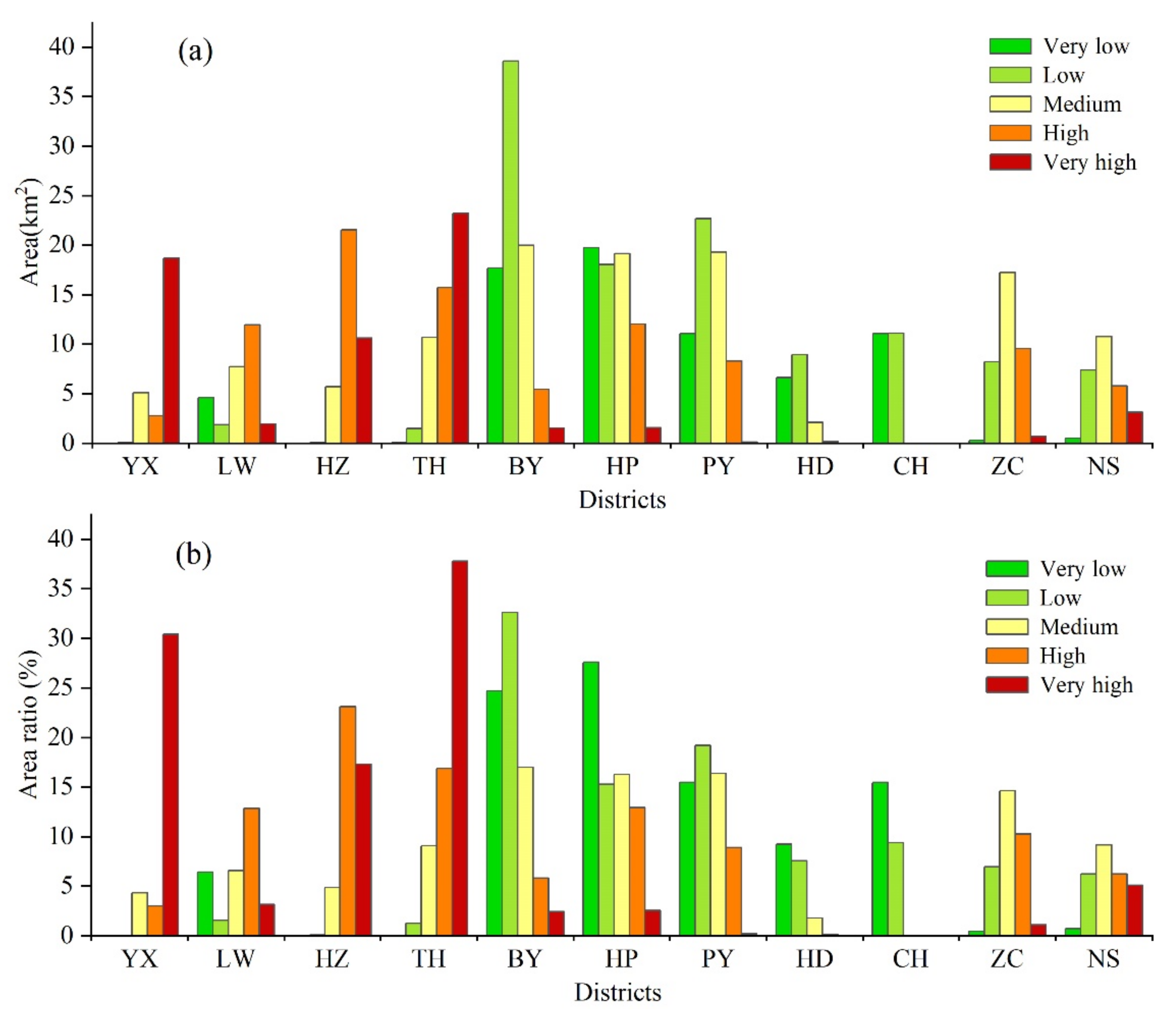
- The flood risk levels of 14 metro lines and 268 stations in Guangzhou were identified. The distribution of different flood risk levels in the metro lines exhibited a polarization signature. About 69% (155 km2) of very-high- and high-risk areas were concentrated in central urban areas (Yuexiu, Liwan, Tianhe, and Haizhu). The three metro lines with the highest overall risk level were lines 3, 6, and 5. The metro stations at very high risk were mainly located on metro lines 6, 3, 5, 1, and 2. This study can provide scientific data for decision makers to reasonably allocate flood prevention resources, which is significant in reducing flood losses and promoting Guangzhou’s sustainable development.
- (4)
- It should be noted that there were some limitations to our study. We failed to consider the effect of the underground drainage system on the flood risk results due to data acquisition limitations. Additionally, the risk assessment in this paper is an indirect method because the flood risk level of the metro system is derived from the regional risk results. Future studies should employ hydrologic-hydrodynamic models to simulate the inundation of the metro system under different precipitation scenarios. On this basis, a comprehensive risk assessment of the metro system could be conducted by combining topographic, hydrological, and socio-economic data. This method would further improve the accuracy of flood risk assessment for the metro system.
Author Contributions
Funding
Data Availability Statement
Acknowledgments
Conflicts of Interest
Appendix A
| Data Description | Data Source | |
|---|---|---|
| Hazard | Daily precipitation | http://gd.cma.gov.cn/gzsqxj/ (accessed on 11 December 2021) |
| Waterlogging points | https://data.gz.gov.cn/ (accessed on 11 December 2021) | |
| Land subsidence | https://geocloud.cgs.gov.cn/ (accessed on 11 December 2021) | |
| Geological hazards | https://geocloud.cgs.gov.cn/ (accessed on 11 December 2021) | |
| Historical Flood Frequency | Historical Materials of Natural Disasters in Guangdong Province and Yearbook of Disaster Prevention and Mitigation of Guangdong Province | |
| Exposure | Metro stations and exits | https://www.gzmtr.com/ (accessed on 11 December 2021) |
| Elevation and slope | http://www.gscloud.cn/ (accessed on 11 December 2021) | |
| River network (2017) | http://www.ngcc.cn/ngcc/ (accessed on 11 December 2021) | |
| Land cover | http://www.globallandcover.com/ (accessed on 11 December 2021) | |
| Fault | http://geocloud.cgs.gov.cn (accessed on 11 December 2021) | |
| Vulnerability | Metro lines | https://www.gzmtr.com/ (accessed on 11 December 2021) |
| Passenger flow | https://www.gzmtr.com/ (accessed on 11 December 2021) | |
| Population and GDP | Guangzhou Statistical Yearbook (2020) | |
| Road network (2017) | http://www.ngcc.cn/ngcc/ (accessed on 11 December 2021) | |
| Proportion of elderly and children | Guangzhou Statistical Yearbook (2020) | |
| Education level | The Sixth Population Census in 2010 | |
| Administrative divisions of Guangzhou (2017) | http://www.ngcc.cn/ngcc/ (accessed on 11 December 2021) | |
Appendix B
| Indicators | Importance of Indicators under Different Criterions | ||||||||
|---|---|---|---|---|---|---|---|---|---|
| 1 | 2 | 3 | 4 | 5 | 6 | 7 | 8 | 9 | |
| Criterion 1 | |||||||||
| Indicator 1 | |||||||||
| Indicator 2 | |||||||||
| …… | |||||||||
| Indicator i | |||||||||
| Criterion 2 | |||||||||
| Indicator 1 | |||||||||
| Indicator 2 | |||||||||
| …… | |||||||||
| Indicator j | |||||||||
| …… | |||||||||
| Criterion n | |||||||||
| Indicator 1 | |||||||||
| Indicator 2 | |||||||||
| …… | |||||||||
| Indicator k | |||||||||
| Draw “√” in the appropriate box | |||||||||
| Indicator | Scales of Indicators under Different Criterion Layers | Indicator | ||||||||
|---|---|---|---|---|---|---|---|---|---|---|
| 9 | 7 | 5 | 3 | 1 | 1/3 | 1/5 | 1/7 | 1/9 | ||
| Indicator 1 compared to other indicators | ||||||||||
| Indicator 1 | Indicator 2 | |||||||||
| Indicator 1 | Indicator 3 | |||||||||
| …… | …… | |||||||||
| Indicator 1 | Indicator i | |||||||||
| Indicator 2 compared to other indicators | ||||||||||
| Indicator 2 | Indicator 3 | |||||||||
| Indicator 2 | Indicator 4 | |||||||||
| …… | …… | |||||||||
| Indicator 2 | Indicator i | |||||||||
| …… | ||||||||||
| Indicator i − 1 compared to indicator i | ||||||||||
| Indicator I − 1 | Indicator i | |||||||||
| Draw “√” in the appropriate box | ||||||||||
Appendix C
| Linguistic Variable | AHP Method | Trapezoidal Fuzzy Number |
|---|---|---|
| Equally important | 1 | 1′ = (1,1,1,1) |
| Moderately important | 3 | 3′ = (1,11/9,13/7,7/3) |
| Strongly important | 5 | 5′ = (3/2,13/7,3,4) |
| Very strongly important | 7 | 7′ = (7/3,3,17/3,9) |
| Extremely important | 9 | 9′ = (4,17/3,9,9) |
| Flood Risk | Indicator | Importance Level of Hazard, Exposure, and Vulnerability Indicator | ||||||||
|---|---|---|---|---|---|---|---|---|---|---|
| 1 | 2 | 3 | 4 | 5 | 6 | 7 | 8 | 9 | ||
| Hazard | H1 | 2 | 5 | 17 | ||||||
| H2 | 2 | 11 | 8 | 2 | 1 | |||||
| H3 | 3 | 8 | 9 | 4 | ||||||
| H4 | 5 | 10 | 7 | 2 | ||||||
| H5 | 5 | 11 | 7 | 1 | ||||||
| H6 | 6 | 10 | 5 | 3 | ||||||
| H7 | 12 | 6 | 5 | 1 | ||||||
| Exposure | E1 | 2 | 8 | 14 | ||||||
| E2 | 5 | 7 | 12 | |||||||
| E3 | 2 | 7 | 10 | 5 | ||||||
| E4 | 3 | 8 | 7 | 6 | ||||||
| E5 | 3 | 8 | 6 | 7 | ||||||
| E6 | 4 | 6 | 9 | 5 | ||||||
| E7 | 3 | 13 | 4 | 4 | ||||||
| E8 | 8 | 11 | 5 | |||||||
| Vulnerability | V1 | 3 | 5 | 16 | ||||||
| V2 | 5 | 9 | 6 | 4 | ||||||
| V3 | 4 | 8 | 9 | 3 | ||||||
| V4 | 7 | 9 | 7 | 1 | ||||||
| V5 | 2 | 4 | 12 | 4 | 1 | |||||
| V6 | 3 | 6 | 9 | 6 | ||||||
| V7 | 8 | 9 | 5 | 1 | 1 | |||||
| V8 | 11 | 8 | 3 | 2 | ||||||
Appendix D

References
- Ward, P.J.; Jongman, B.; Aerts, J.C.; Bates, P.D.; Botzen, W.J.; Loaiza, A.D.; Hallegatte, S.; Kind, J.M.; Kwadijk, J.; Scussolini, P. A global framework for future costs and benefits of river-flood protection in urban areas. Nat. Clim. Chang. 2017, 7, 642–646. [Google Scholar] [CrossRef]
- Merz, B.; Blöschl, G.; Vorogushyn, S.; Dottori, F.; Aerts, J.C.; Bates, P.; Bertola, M.; Kemter, M.; Kreibich, H.; Lall, U. Causes, impacts and patterns of disastrous river floods. Nat. Rev. Earth Environ. 2021, 2, 592–609. [Google Scholar] [CrossRef]
- Wang, Z.; Lai, C.; Chen, X.; Yang, B.; Zhao, S.; Bai, X. Flood hazard risk assessment model based on random forest. J. Hydrol. 2015, 527, 1130–1141. [Google Scholar] [CrossRef]
- Winsemius, H.C.; Aerts, J.C.; Van Beek, L.P.; Bierkens, M.F.; Bouwman, A.; Jongman, B.; Kwadijk, J.C.; Ligtvoet, W.; Lucas, P.L.; Van Vuuren, D.P. Global drivers of future river flood risk. Nat. Clim. Chang. 2016, 6, 381–385. [Google Scholar] [CrossRef]
- Hallegatte, S.; Green, C.; Nicholls, R.J.; Corfee-Morlot, J. Future flood losses in major coastal cities. Nat. Clim. Chang. 2013, 3, 802–806. [Google Scholar] [CrossRef]
- Wang, P.; Li, Y.; Yu, P.; Zhang, Y. The analysis of urban flood risk propagation based on the modified Susceptible Infected Recovered model. J. Hydrol. 2021, 603, 127121. [Google Scholar] [CrossRef]
- UN. 68% of the World Population Projected to Live in Urban Areas by 2050, Says UN. 2018. Available online: https://www.un.org/development/desa/en/news/population/2018-revision-of-world-urbanization-prospects.html (accessed on 31 December 2018).
- Arnell, N.W.; Gosling, S.N. The impacts of climate change on river flood risk at the global scale. Clim. Chang. 2016, 134, 387–401. [Google Scholar] [CrossRef] [Green Version]
- Yin, J.; Ye, M.; Yin, Z.; Xu, S. A review of advances in urban flood risk analysis over China. Stoch. Environ. Res. Risk Assess. 2015, 29, 1063–1070. [Google Scholar] [CrossRef]
- Du, S.; Scussolini, P.; Ward, P.J.; Zhang, M.; Wen, J.; Wang, L.; Koks, E.; Diaz-Loaiza, A.; Gao, J.; Ke, Q. Hard or soft flood adaptation? Advantages of a hybrid strategy for Shanghai. Glob. Environ. Chang.-Hum. Policy Dimens. 2020, 61, 102037. [Google Scholar] [CrossRef]
- Chen, Z.-L.; Chen, J.-Y.; Liu, H.; Zhang, Z.-F. Present status and development trends of underground space in Chinese cities: Evaluation and analysis. Tunn. Undergr. Space Technol. 2018, 71, 253–270. [Google Scholar] [CrossRef]
- Sterling, R.; Admiraal, H.; Bobylev, N.; Parker, H.; Godard, J.-P.; Vähäaho, I.; Rogers, C.D.; Shi, X.; Hanamura, T. Sustainability issues for underground space in urban areas. Proc. Inst. Civ. Eng.-Urban Des. Plan. 2012, 165, 241–254. [Google Scholar] [CrossRef]
- Xie, H.; Zhang, Y.; Chen, Y.; Peng, Q.; Liao, Z.; Zhu, J. A case study of development and utilization of urban underground space in Shenzhen and the Guangdong-Hong Kong-Macao Greater Bay Area. Tunn. Undergr. Space Technol. 2021, 107, 103651. [Google Scholar] [CrossRef]
- Lyu, H.-M.; Shen, S.-L.; Yang, J.; Yin, Z.-Y. Inundation analysis of metro systems with the storm water management model incorporated into a geographical information system: A case study in Shanghai. Hydrol. Earth Syst. Sci. 2019, 23, 4293–4307. [Google Scholar] [CrossRef] [Green Version]
- Wang, G.; Liu, Y.; Hu, Z.; Zhang, G.; Liu, J.; Lyu, Y.; Gu, Y.; Huang, X.; Zhang, Q.; Liu, L. Flood Risk Assessment of Subway Systems in Metropolitan Areas under Land Subsidence Scenario: A Case Study of Beijing. Remote Sens. 2021, 13, 637. [Google Scholar] [CrossRef]
- Lyu, H.-M.; Shen, S.-L.; Zhou, A.; Yang, J. Perspectives for flood risk assessment and management for mega-city metro system. Tunn. Undergr. Space Technol. 2019, 84, 31–44. [Google Scholar] [CrossRef]
- Wang, G.; Liu, Y.; Hu, Z.; Lyu, Y.; Zhang, G.; Liu, J.; Liu, Y.; Gu, Y.; Huang, X.; Zheng, H. Flood risk assessment based on fuzzy synthetic evaluation method in the Beijing-Tianjin-Hebei metropolitan area, China. Sustainability 2020, 12, 1451. [Google Scholar] [CrossRef] [Green Version]
- Pham, B.T.; Luu, C.; Van Phong, T.; Nguyen, H.D.; Van Le, H.; Tran, T.Q.; Ta, H.T.; Prakash, I. Flood risk assessment using hybrid artificial intelligence models integrated with multi-criteria decision analysis in Quang Nam Province, Vietnam. J. Hydrol. 2021, 592, 125815. [Google Scholar] [CrossRef]
- Lai, C.; Shao, Q.; Chen, X.; Wang, Z.; Zhou, X.; Yang, B.; Zhang, L. Flood risk zoning using a rule mining based on ant colony algorithm. J. Hydrol. 2016, 542, 268–280. [Google Scholar] [CrossRef]
- Darabi, H.; Choubin, B.; Rahmati, O.; Haghighi, A.T.; Pradhan, B.; Kløve, B. Urban flood risk mapping using the GARP and QUEST models: A comparative study of machine learning techniques. J. Hydrol. 2019, 569, 142–154. [Google Scholar] [CrossRef]
- Zhang, M.; Xu, M.; Wang, Z.; Lai, C. Assessment of the vulnerability of road networks to urban waterlogging based on a coupled hydrodynamic model. J. Hydrol. 2021, 603, 127105. [Google Scholar] [CrossRef]
- Kittipongvises, S.; Phetrak, A.; Rattanapun, P.; Brundiers, K.; Buizer, J.L.; Melnick, R. AHP-GIS analysis for flood hazard assessment of the communities nearby the world heritage site on Ayutthaya Island, Thailand. Int. J. Disaster Risk Reduct. 2020, 48, 101612. [Google Scholar] [CrossRef]
- Akter, M.; Jahan, M.; Kabir, R.; Karim, D.S.; Haque, A.; Rahman, M.; Salehin, M. Risk assessment based on fuzzy synthetic evaluation method. Sci. Total Environ. 2019, 658, 818–829. [Google Scholar] [CrossRef] [PubMed]
- Toosi, A.S.; Calbimonte, G.H.; Nouri, H.; Alaghmand, S. River basin-scale flood hazard assessment using a modified multi-criteria decision analysis approach: A case study. J. Hydrol. 2019, 574, 660–671. [Google Scholar] [CrossRef]
- Lappas, I.; Kallioras, A. Flood susceptibility assessment through GIS-based multi-criteria approach and analytical hierarchy process (AHP) in a river basin in Central Greece. Int. Res. J. Eng. Technol 2019, 6, 738–751. [Google Scholar]
- Cabrera, J.S.; Lee, H.S. Flood risk assessment for Davao Oriental in the Philippines using geographic information system-based multi-criteria analysis and the maximum entropy model. J. Flood Risk Manag. 2020, 13, e12607. [Google Scholar] [CrossRef] [Green Version]
- Zheng, G.; Zhu, N.; Zhe, T.; Ying, C.; Sun, B. Application of a trapezoidal fuzzy AHP method for work safety evaluation and early warning rating of hot and humid environments. Saf. Sci. 2012, 50, 228–239. [Google Scholar] [CrossRef]
- Li, Y.; Wang, W.; Chang, M.; Wang, X. Impacts of urbanization on extreme precipitation in the Guangdong-Hong Kong-Macau Greater Bay Area. Urban Clim. 2021, 38, 100904. [Google Scholar] [CrossRef]
- Ruan, J.; Chen, Y.; Yang, Z. Assessment of temporal and spatial progress of urban resilience in Guangzhou under rainstorm scenarios. Int. J. Disaster Risk Reduct. 2021, 66, 102578. [Google Scholar] [CrossRef]
- Ren, D.-J.; Shen, S.-L.; Cheng, W.-C.; Zhang, N.; Wang, Z.-F. Geological formation and geo-hazards during subway construction in Guangzhou. Environ. Earth Sci. 2016, 75, 1–14. [Google Scholar] [CrossRef]
- Mishra, K.; Sinha, R. Flood risk assessment in the Kosi megafan using multi-criteria decision analysis: A hydro-geomorphic approach. Geomorphology 2020, 350, 106861. [Google Scholar] [CrossRef]
- Aven, T. Risk assessment and risk management: Review of recent advances on their foundation. Eur. J. Oper. Res. 2016, 253, 1–13. [Google Scholar] [CrossRef] [Green Version]
- Kaplan, S.; Garrick, B.J. On the quantitative definition of risk. Risk Anal. 1981, 1, 11–27. [Google Scholar] [CrossRef]
- Pachauri, R.K.; Allen, M.R.; Barros, V.R.; Broome, J.; Cramer, W.; Christ, R.; Church, J.A.; Clarke, L.; Dahe, Q.; Dasgupta, P. Climate Change 2014: Synthesis Report. Contribution of Working Groups I, II and III to the Fifth Assessment Report of the Intergovernmental Panel on Climate Change; IPCC: Copenhagen, Denmark, 2014. [Google Scholar]
- Mach, K.J.; Mastrandrea, M.D.; Bilir, T.E.; Field, C.B. Understanding and responding to danger from climate change: The role of key risks in the IPCC AR5. Clim. Chang. 2016, 136, 427–444. [Google Scholar] [CrossRef] [Green Version]
- Hu, S.; Cheng, X.; Zhou, D.; Zhang, H. GIS-based flood risk assessment in suburban areas: A case study of the Fangshan District, Beijing. Nat. Hazards 2017, 87, 1525–1543. [Google Scholar] [CrossRef]
- Huang, Z.; Chen, L.; Fu, B.; Lu, Y.; Huang, Y.; Gong, J. The relative efficiency of four representative cropland conversions in reducing water erosion: Evidence from long-term plots in the Loess hilly area, China. Land Degrad. Dev. 2006, 17, 615–627. [Google Scholar] [CrossRef]
- Wei, W.; Chen, L.; Fu, B.; Huang, Z.; Wu, D.; Gui, L. The effect of land uses and rainfall regimes on runoff and soil erosion in the semi-arid loess hilly area, China. J. Hydrol. 2007, 335, 247–258. [Google Scholar] [CrossRef]
- Lyu, H.-M.; Shen, S.-L.; Zhou, A.; Yang, J. Risk assessment of mega-city infrastructures related to land subsidence using improved trapezoidal FAHP. Sci. Total Environ. 2020, 717, 135310. [Google Scholar] [CrossRef]
- Delgado, M.; Herrera, F.; Herrera-Viedma, E.; Martinez, L. Combining numerical and linguistic information in group decision making. Inf. Sci. 1998, 107, 177–194. [Google Scholar] [CrossRef]
- Ziarh, G.F.; Asaduzzaman, M.; Dewan, A.; Nashwan, M.S.; Shahid, S. Integration of catastrophe and entropy theories for flood risk mapping in peninsular Malaysia. J. Flood Risk Manag. 2021, 14, e12686. [Google Scholar] [CrossRef]
- Arabameri, A.; Saha, S.; Roy, J.; Chen, W.; Blaschke, T.; Tien Bui, D. Landslide susceptibility evaluation and management using different machine learning methods in the Gallicash River Watershed, Iran. Remote Sens. 2020, 12, 475. [Google Scholar] [CrossRef] [Green Version]
- Wang, T.; Hu, L.; Shen, Z. The causes and solutions of the flooding of Guangzhou Metro caused by the “5·22” rainstorm in 2020. Guangdong Meteorol. 2020, 42, 52–55. [Google Scholar]
- Vermeij, D. Flood Risk Reduction Interventions for the New York City Subway System: A Research on the Impact of Storm Surge and Sea Level Rise on the Safety against Flooding in Urban Delta’s. Master’s Thesis, Delft University of Technology, Delft, The Netherlands, 2016. [Google Scholar]
- Hou, Q.; Yang, Z.; Yu, T.; You, Y.; Dou, L.; Li, K. Impacts of parent material on distributions of potentially toxic elements in soils from Pearl River Delta in South China. Sci. Rep. 2020, 10, 17394. [Google Scholar]
- Shi, P. Disaster Risk Science; Springer: Berlin/Heidelberg, Germany, 2019. [Google Scholar]
- Wang, G.-F.; Lyu, H.-M.; Shen, J.S.; Lu, L.-H.; Li, G.; Arulrajah, A. Evaluation of environmental risk due to metro system construction in Jinan, China. Int. J. Environ. Res. Public Health 2017, 14, 1114. [Google Scholar] [CrossRef] [Green Version]
- Wang, G.; Hu, Z.; Liu, Y.; Zhang, G.; Liu, J.; Lyu, Y.; Gu, Y.; Huang, X.; Zhang, Q.; Tong, Z. Impact of Expansion Pattern of Built-Up Land in Floodplains on Flood Vulnerability: A Case Study in the North China Plain Area. Remote Sens. 2020, 12, 3172. [Google Scholar] [CrossRef]
- Arnold, C.L., Jr.; Gibbons, C.J. Impervious surface coverage: The emergence of a key environmental indicator. J. Am. Plan. Assoc. 1996, 62, 243–258. [Google Scholar] [CrossRef]
- Du, S.; Shi, P.; Van Rompaey, A.; Wen, J. Quantifying the impact of impervious surface location on flood peak discharge in urban areas. Nat. Hazards 2015, 76, 1457–1471. [Google Scholar] [CrossRef]
- Miller, G.A. The magical number seven, plus or minus two: Some limits on our capacity for processing information. Psychol. Rev. 1956, 63, 81. [Google Scholar] [CrossRef] [PubMed] [Green Version]
- Xia, J.; Zhang, Y.; Xiong, L.; He, S.; Wang, L.; Yu, Z. Opportunities and challenges of the Sponge City construction related to urban water issues in China. Sci. China-Earth Sci. 2017, 60, 652–658. [Google Scholar] [CrossRef]
- Zhou, X.; Bai, Y.; Li, Q. Frequency, intensity statistics and cyclical analysis of rainstorm in the flood season in Guangzhou. Meteorol. Environ. Res. 2011, 2, 63–66. [Google Scholar]
- Li, H.; Ding, L.; Ren, M.; Li, C.; Wang, H. Sponge city construction in China: A survey of the challenges and opportunities. Water 2017, 9, 594. [Google Scholar] [CrossRef] [Green Version]
- Nguyen, T.T.; Ngo, H.H.; Guo, W.; Wang, X.C.; Ren, N.; Li, G.; Ding, J.; Liang, H. Implementation of a specific urban water management-Sponge City. Sci. Total Environ. 2019, 652, 147–162. [Google Scholar] [CrossRef] [PubMed]
- Aoki, Y.; Yoshizawa, A.; Taminato, T. Anti-inundation measures for underground stations of Tokyo Metro. Procedia Eng. 2016, 165, 2–10. [Google Scholar] [CrossRef]

















| Flood Frequency | Danger Rating | Districts |
|---|---|---|
| ≤70 | 0.1 | Tianhe, Conghua |
| 70–80 | 0.2 | Huadu |
| 80–90 | 0.3 | Baiyun, Huangpu, Liwan, Yuexiu, Haizhu |
| 90–100 | 0.4 | Zengcheng |
| ≥100 | 0.5 | Panyu, Nansha |
| Criterion | WTra-FAHP | WImproved Tra-FAHP | Indicator | WTra-FAHP | WImproved Tra-FAHP |
|---|---|---|---|---|---|
| Hazard | 0.370 | 0.411 | H1 | 0.1975 | 0.2105 |
| H2 | 0.1518 | 0.1769 | |||
| H3 | 0.1518 | 0.1595 | |||
| H4 | 0.1518 | 0.1361 | |||
| H5 | 0.1225 | 0.1208 | |||
| H6 | 0.1225 | 0.1070 | |||
| H7 | 0.1022 | 0.0892 | |||
| Exposure | 0.290 | 0.325 | E1 | 0.1807 | 0.1668 |
| E2 | 0.1807 | 0.1668 | |||
| E3 | 0.1420 | 0.1385 | |||
| E4 | 0.1103 | 0.1385 | |||
| E5 | 0.1103 | 0.1121 | |||
| E6 | 0.1103 | 0.1121 | |||
| E7 | 0.0903 | 0.0908 | |||
| E8 | 0.0754 | 0.0744 | |||
| Vulnerability | 0.290 | 0.264 | V1 | 0.1720 | 0.1925 |
| V2 | 0.1720 | 0.1566 | |||
| V3 | 0.1352 | 0.1301 | |||
| V4 | 0.1352 | 0.1301 | |||
| V5 | 0.1091 | 0.1087 | |||
| V6 | 0.1091 | 0.1087 | |||
| V7 | 0.0894 | 0.0903 | |||
| V8 | 0.0780 | 0.0829 |
| Group | Occupation (Number) | Average Work Experience (Year) | Average Time Spent | Time-Saving Ratio (%) | New Questionnaire Recommendation Rate (%) | |
|---|---|---|---|---|---|---|
| Traditional (Ts) | New (Ns) | |||||
| Group A (traditional first) | PF(3) | 26 | 25′18″ | 13′33″ | 46.31 | 100 |
| EG(1) | 31 | 18′54″ | 11′09″ | 41.01 | 100 | |
| DG(2) | 16 | 21′19″ | 10′52″ | 49.02 | 100 | |
| ER(3) | 21 | 16′36″ | 9′43″ | 41.47 | 100 | |
| CW(1) | 9 | 23′00″ | 12′00″ | 47.83 | 100 | |
| EM(3) | 13 | 27′44″ | 14′44″ | 46.88 | 100 | |
| Average | - | - | 22′08″ | 12′01 | 45.42 | 100 |
| Group B (new first) | PF(2) | 19 | 14′28″ | 10′35″ | 26.84 | 100 |
| EG(1) | 28 | 10′43″ | 9′12″ | 14.15 | 100 | |
| DG(1) | 24 | 14′51″ | 10′21″ | 30.30 | 100 | |
| ER(4) | 13 | 11′03″ | 8′58″ | 18.85 | 75 | |
| CW(1) | 11 | 18′23″ | 14′00″ | 23.84 | 100 | |
| EM(2) | 8 | 14′45″ | 12′38″ | 14.35 | 100 | |
| Average | - | - | 14′02″ | 10′57″ | 21.39 | 95.83 |
| Total average | - | - | 18′05″ | 11′29″ | 33.40 | 97.92 |
| Occupation (Traditional, New) | Average Time Spent | Time-Saving Ratio (%) | |
|---|---|---|---|
| Traditional First (Ts) | New First (Ns) | ||
| Professor (3,2) | 25′18″ | 10′35″ | 58.17 |
| Engineering geologist (1,1) | 18′54″ | 9′12″ | 51.32 |
| Designer (2,1) | 21′19″ | 10′21″ | 51.45 |
| Engineer (3,4) | 16′36″ | 8′58″ | 45.98 |
| Construction worker (1,1) | 23′00″ | 14′00″ | 39.13 |
| Emergency manager (3,2) | 27′44″ | 12′38″ | 54.45 |
| Average | 22′08″ | 10′57″ | 50.08 |
Publisher’s Note: MDPI stays neutral with regard to jurisdictional claims in published maps and institutional affiliations. |
© 2021 by the authors. Licensee MDPI, Basel, Switzerland. This article is an open access article distributed under the terms and conditions of the Creative Commons Attribution (CC BY) license (https://creativecommons.org/licenses/by/4.0/).
Share and Cite
Wang, G.; Liu, L.; Shi, P.; Zhang, G.; Liu, J. Flood Risk Assessment of Metro System Using Improved Trapezoidal Fuzzy AHP: A Case Study of Guangzhou. Remote Sens. 2021, 13, 5154. https://doi.org/10.3390/rs13245154
Wang G, Liu L, Shi P, Zhang G, Liu J. Flood Risk Assessment of Metro System Using Improved Trapezoidal Fuzzy AHP: A Case Study of Guangzhou. Remote Sensing. 2021; 13(24):5154. https://doi.org/10.3390/rs13245154
Chicago/Turabian StyleWang, Guangpeng, Lianyou Liu, Peijun Shi, Guoming Zhang, and Jifu Liu. 2021. "Flood Risk Assessment of Metro System Using Improved Trapezoidal Fuzzy AHP: A Case Study of Guangzhou" Remote Sensing 13, no. 24: 5154. https://doi.org/10.3390/rs13245154
APA StyleWang, G., Liu, L., Shi, P., Zhang, G., & Liu, J. (2021). Flood Risk Assessment of Metro System Using Improved Trapezoidal Fuzzy AHP: A Case Study of Guangzhou. Remote Sensing, 13(24), 5154. https://doi.org/10.3390/rs13245154

