An Improved Method Combining CNN and 1D-Var for the Retrieval of Atmospheric Humidity Profiles from FY-4A/GIIRS Hyperspectral Data
Abstract
:1. Introduction
2. Datasets and Models
2.1. Datasets
2.2. Models
2.2.1. RTTOV
2.2.2. CNN
2.2.3. ANN
3. Method
3.1. Data Preprocessing
3.2. CNN Training
3.3. Initial Profiles
3.4. 1D-Var
4. Results
4.1. CNN Effect Verification
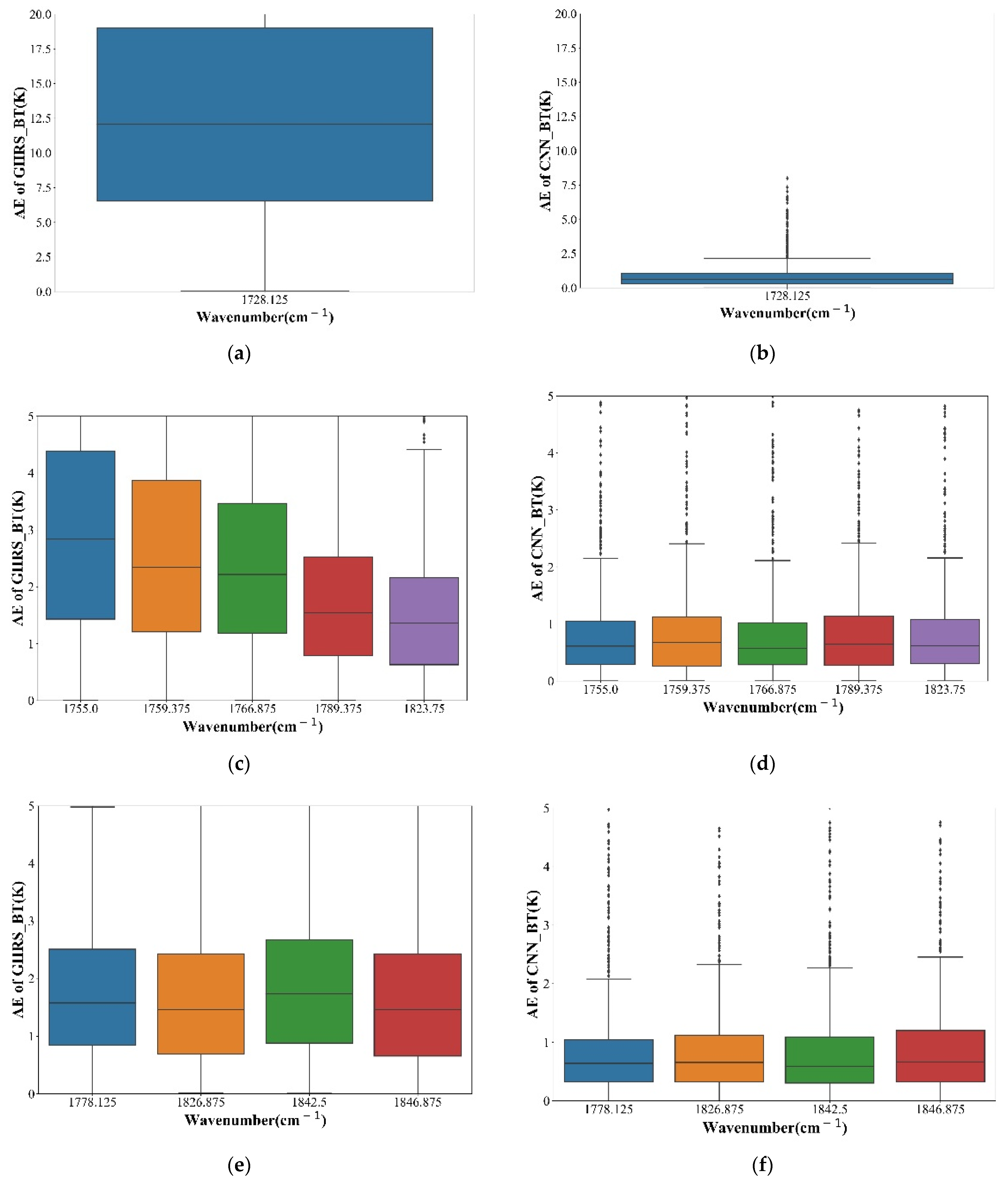
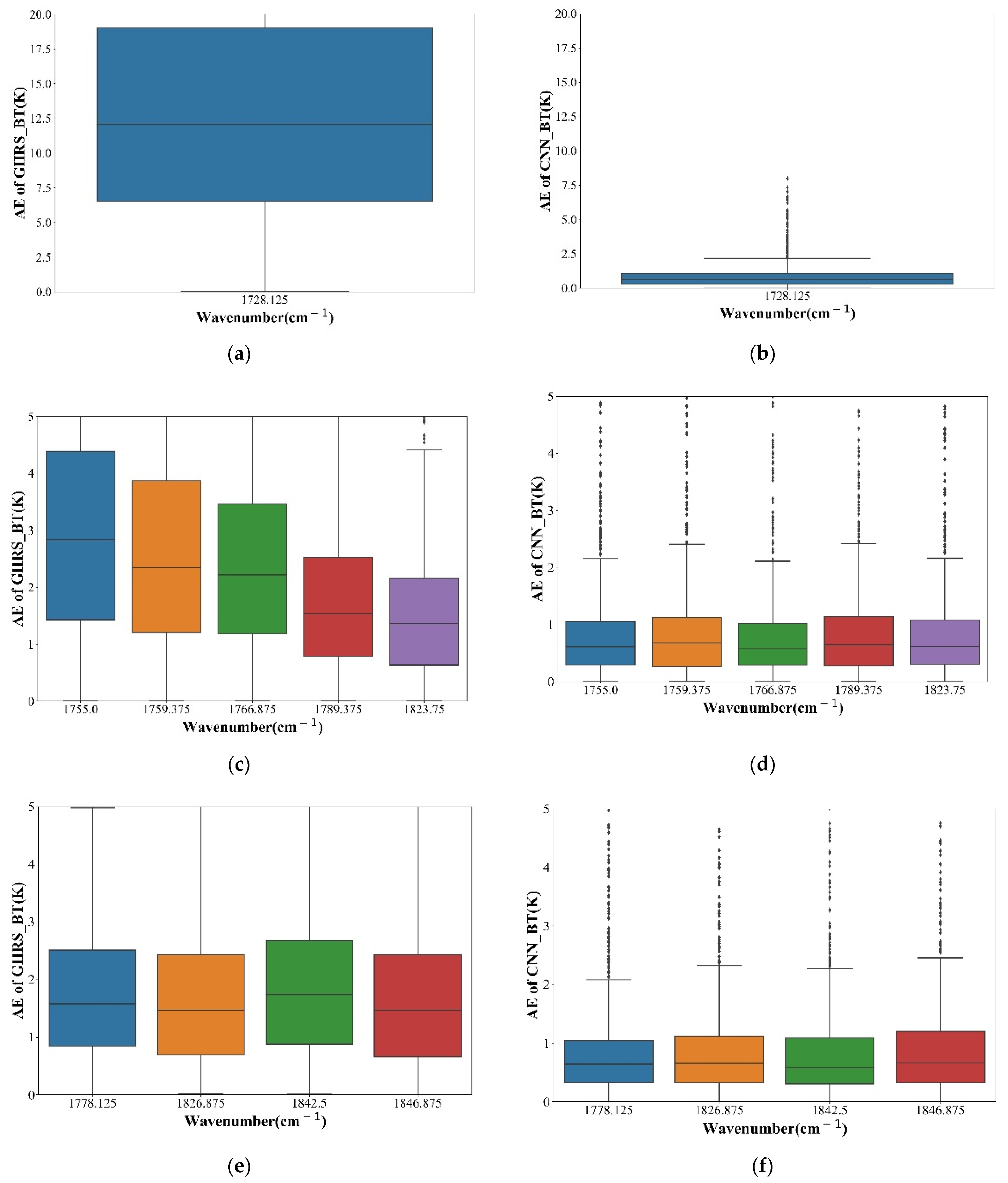
4.2. CNN_BT Accuracy Verification
4.2.1. Comparison Experiment with Observation Data
4.2.2. Comparison Experiment with the ANN Deviation Correction Method
4.3. Humidity Retrieval
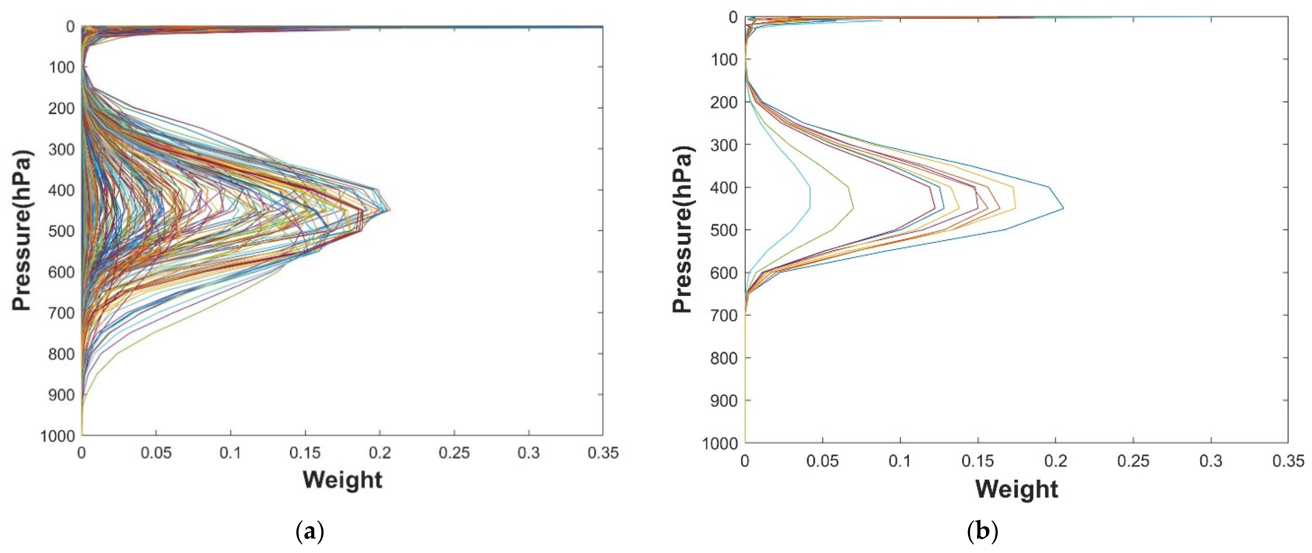
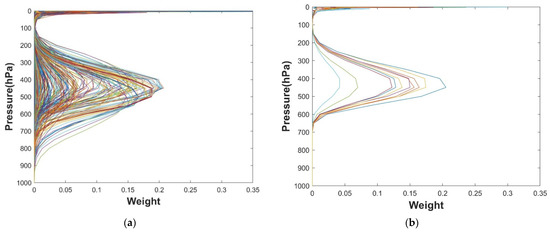
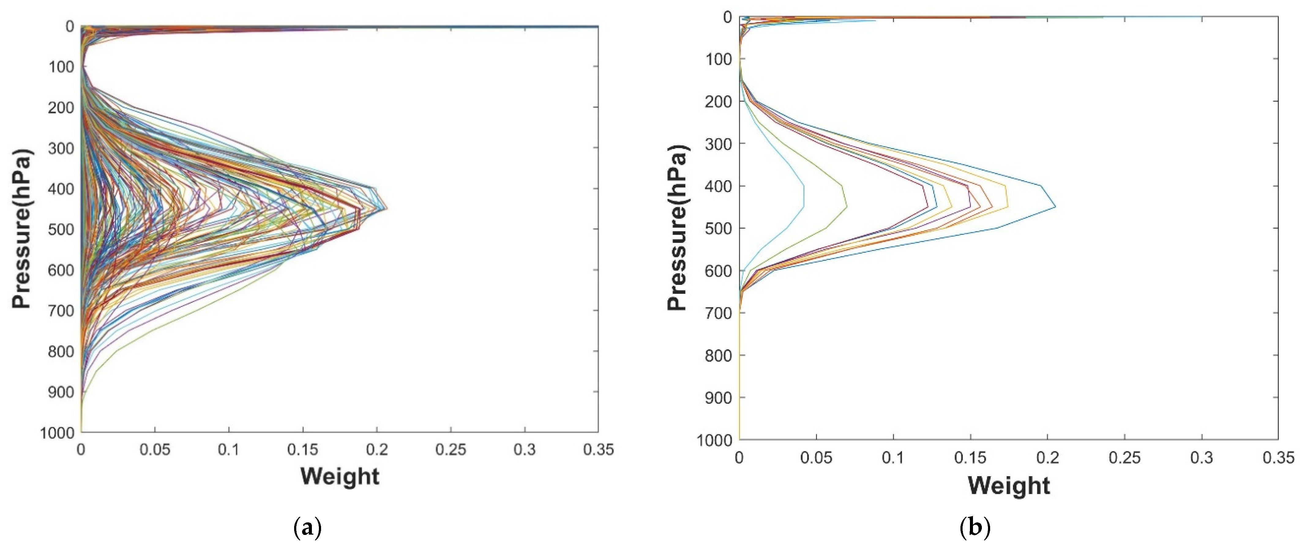
4.3.1. Weight Function
4.3.2. Humidity Profile
5. Discussion
5.1. Discussion of CNN
5.2. Discussion of the Humidity Retrieval Method
5.3. Weaknesses of Our Method
6. Conclusions
Author Contributions
Funding
Institutional Review Board Statement
Informed Consent Statement
Data Availability Statement
Acknowledgments
Conflicts of Interest
References
- Menzel, W.P.; Schmit, T.J.; Zhang, P.; Li, J. Satellite-based atmospheric infrared sounder development and applications. Bull. Am. Meteorol. Soc. 2018, 99, 583–603. [Google Scholar] [CrossRef]
 - Guidard, V.; Fourrié, N.; Brousseau, P.; Rabier, F. Impact of IASI assimilation at global and convective scales and challenges for the assimilation of cloudy scenes. Q. J. R. Meteorol. Soc. 2011, 137, 1975–1987. [Google Scholar] [CrossRef]
 - Chen, Y.; Han, Y.; van Delst, P.; Weng, F. Assessment of shortwave infrared sea surface reflection and nonlocal thermodynamic equilibrium effects in the community radiative transfer model using IASI data. J. Atmos. Ocean. Technol. 2013, 30, 2152–2160. [Google Scholar] [CrossRef]
 - Gambacorta, A.; Barnet, C.D. Methodology and information content of the NOAA NESDIS operational channel selection for the Cross-Track Infrared Sounder (CrIS). IEEE Trans. Geosci. Remote Sens. 2012, 51, 3207–3216. [Google Scholar] [CrossRef]
 - Chen, R.; Gao, C.; Wu, X.W.; Zhou, S.Y.; Hua, J.W.; Ding, L. Application of FY-4 atmospheric vertical sounder in weather forecast. J. Infrared Millim. Waves 2019, 38, 3. [Google Scholar]
 - Guo, Q.; Yang, J.; Wei, C.; Chen, B.; Wang, X.; Han, C.; Hui, W.; Xu, W.; Wen, R.; Liu, Y. Spectrum calibration of the first hyperspectral infrared measurements from a geostationary platform: Method and preliminary assessment. Q. J. R. Meteorol. Soc. 2021, 147, 1562–1583. [Google Scholar] [CrossRef]
 - Collard, A.; Mcnally, A. The assimilation of infrared atmospheric sounding interferometer radiances at ECMWF. Q. J. R. Meteorol. Soc. J. Atmos. Sci. Appl. Meteorol. Phys. Oceanogr. 2009, 135, 1044–1058. [Google Scholar] [CrossRef]
 - Joo, S.; Eyre, J.; Marriott, R. The impact of MetOp and other satellite data within the Met Office global NWP system using an adjoint-based sensitivity method. Mon. Weather. Rev. 2013, 141, 3331–3342. [Google Scholar] [CrossRef]
 - Sun, B.; Reale, A.; Tilley, F.H.; Pettey, M.E.; Nalli, N.R.; Barnet, C.D. Assessment of NUCAPS S-NPP CrIS/ATMS sounding products using reference and conventional radiosonde observations. IEEE J. Sel. Top. Appl. Earth Obs. Remote Sens. 2017, 10, 2499–2509. [Google Scholar] [CrossRef]
 - Yang, T.; Hu, X.; Xu, H.; Wu, C.Q.; Qi, C.L.; Gu, M.J. Radiation Calibration Accuracy Assessment of FY-3D Hyperspectral Infrared Atmospheric Sounder Based on Inter-Comparison. Acta Opt. Sin. 2019, 39, 377–387. [Google Scholar]
 - Solheim, F.; Godwin, J.R.; Westwater, E.; Han, Y.; Keihm, S.J.; Marsh, K.; Ware, R. Radiometric profiling of temperature, water vapor and cloud liquid water using various inversion methods. Radio Sci. 1998, 33, 393–404. [Google Scholar] [CrossRef] [Green Version]
 - Lorenc, A.C. Analysis methods for numerical weather prediction. Q. J. R. Meteorol. Soc. 1986, 112, 1177–1194. [Google Scholar] [CrossRef]
 - Li, J.; Fang, Z. The development of satellite meteorology—Challenges and opportunities. Meteor. Mon. 2012, 38, 129–146. [Google Scholar]
 - Susskind, J.; Rosenfield, J.; Reuter, D. An accurate radiative transfer model for use in the direct physical inversion of HIRS2 and MSU temperature sounding data. J. Geophys. Res. Ocean. 1983, 88, 8550–8568. [Google Scholar] [CrossRef]
 - Rodgers, C.D. Retrieval of atmospheric temperature and composition from remote measurements of thermal radiation. Rev. Geophys. 1976, 14, 609–624. [Google Scholar] [CrossRef]
 - Li, J.; Zeng, Q. Infrared remote sensing of clear atmosphere and its inversion problem. Chin. J. Atmos. Sci. 1997, 21, 1–9. [Google Scholar]
 - Li, J.; Zeng, Q. Infrared Remote Sensing of Clear Atmosphere and Its Inversion Problem Part II: Theoretical Study. Sci. Atmos. Sin. 1997, 21, 9–19. [Google Scholar]
 - Ma, P.; Chen, L.; Tao, J.; Su, L.; Tao, M.-H.; Wang, Z.-F.; Zou, M.-M.; Zhang, Y. Study on Simulation of infrared hyperspectral CrIS data retrieval of atmospheric temperature and humidity profiles. Spectrosc. Spectr. Anal. 2014, 34, 1894–1897. [Google Scholar]
 - Zhu, L.; Bao, Y.; Petropoulos, G.P.; Zhang, P.; Lu, F.; Lu, Q.; Wu, Y.; Xu, D. Temperature and Humidity Profiles Retrieval in a Plain Area from Fengyun-3D/HIRAS Sensor Using a 1D-VAR Assimilation Scheme. Remote Sens. 2020, 12, 435. [Google Scholar] [CrossRef] [Green Version]
 - Smith, W.; Woolf, H. The use of eigenvectors of statistical covariance matrices for interpreting satellite sounding radiometer observations. J. Atmos. Sci. 1976, 33, 1127–1140. [Google Scholar] [CrossRef] [Green Version]
 - Jiang, D.; Dong, C.; Lu, W. Preliminary study on the capacity of high spectral resolution infrared atmospheric sounding instrument using AIRS measurements. J. Remote Sens. 2006, 10, 586–592. [Google Scholar]
 - Cristianini, N.; Shawe-Taylor, J. An Introduction to Support Vector Machines and Other Kernel-Based Learning Methods; Cambridge University Press: Cambridge, MA, USA, 2000. [Google Scholar]
 - Liu, Y.; Guan, L. Study on the inversion of clear sky atmospheric humidity profiles with artificial neural network. Meteorol. Mon. 2011, 37, 318–324. [Google Scholar]
 - Fan, S.; Han, W.; Gao, Z.; Yin, R.; Zheng, Y. Denoising algorithm for the FY-4A GIIRS based on principal component analysis. Remote Sens. 2019, 11, 2710. [Google Scholar] [CrossRef] [Green Version]
 - Zhang, P.; Guo, Q.; Chen, B.; Feng, X. The Chinese next-generation geostationary meteorological satellite FY-4 compared with the Japanese Himawari-8/9 satellites. Adv. Meteorol. Sci. Technol. 2016, 6, 72–75. [Google Scholar]
 - Yin, R.; Han, W.; Gao, Z.; Di, D. The evaluation of FY4A’s Geostationary Interferometric Infrared Sounder (GIIRS) long-wave temperature sounding channels using the GRAPES global 4D-Var. Q. J. R. Meteorol. Soc. 2020, 146, 1459–1476. [Google Scholar] [CrossRef]
 - Cai, X.; Bao, Y.; Petropoulos, G.P.; Lu, F.; Lu, Q.; Zhu, L.; Wu, Y. Temperature and humidity profile retrieval from FY4-GIIRS hyperspectral data using artificial neural networks. Remote Sens. 2020, 12, 1872. [Google Scholar] [CrossRef]
 - Ma, Z.; Li, J.; Han, W.; Li, Z.; Zeng, Q.; Menzel, W.P.; Schmit, T.J.; Di, D.; Liu, C.-Y. Four-Dimensional Wind Fields from Geostationary Hyperspectral Infrared Sounder Radiance Measurements with High Temporal Resolution. Geophys. Res. Lett. 2021, 48, e2021GL093794. [Google Scholar] [CrossRef]
 - Huang, P.; Guo, Q.; Han, C.; Zhang, C.; Yang, T.; Huang, S. An Improved Method Combining ANN and 1D-Var for the Retrieval of Atmospheric Temperature Profiles from FY-4A/GIIRS Hyperspectral Data. Remote Sens. 2021, 13, 481. [Google Scholar] [CrossRef]
 - Saunders, R.; Hocking, J.; Turner, E.; Rayer, P.; Rundle, D.; Brunel, P.; Vidot, J.; Roquet, P.; Matricardi, M.; Geer, A.; et al. An update on the RTTOV fast radiative transfer model (currently at version 12). Geosci. Model Dev. 2018, 11, 2717–2737. [Google Scholar] [CrossRef] [Green Version]
 - You, Y.; Lu, C.; Wang, W.; Tang, C.-K. Relative CNN-RNN: Learning relative atmospheric visibility from images. IEEE Trans. Image Process. 2018, 28, 45–55. [Google Scholar] [CrossRef] [PubMed]
 - Ye, X.; Ren, H.; Nie, J.; Hui, J.; Jiang, C.; Zhu, J.; Fan, W.; Qian, Y.; Liang, Y. Simultaneous Estimation of Land Surface and Atmospheric Parameters from Thermal Hyperspectral Data Using a LSTM-CNN Combined Deep Neural Network. IEEE Geosci. Remote Sens. Lett. 2021, 1–5. [Google Scholar] [CrossRef]
 - Li, J.; Zhang, M.; Wang, D.; Wu, S.; Zhan, Y. Joint atmospheric turbulence detection and adaptive demodulation technique using the CNN for the OAM-FSO communication. Opt. Express 2018, 26, 10494–10508. [Google Scholar] [CrossRef] [PubMed]
 - Dong, C.; Loy, C.C.; He, K.; Tang, X. Learning a deep convolutional network for image super-resolution. In Proceedings of the European Conference on Computer Vision; Springer: Cham, Switzerland, 2014. [Google Scholar]
 - Di, D.; Li, J.; Han, W.; Yin, R. Geostationary Hyperspectral Infrared Sounder Channel Selection for Capturing Fast-Changing Atmospheric Information. IEEE Trans. Geosci. Remote Sens. 2021, 1–10. [Google Scholar] [CrossRef]
 - Luo, S.; Di, D.; Cui, L. Study on FY-4A/GIIRS infrared spectrum detection capability based on information content. J. Infrared Millim. Waves 2019, 38, 765–776. [Google Scholar]
 - Martinet, P.; Dabas, A.; Donier, J.M.; Douffet, T.; Garrouste, O.; Guillot, R. 1D-Var temperature retrievals from microwave radiometer and convective scale model. Tellus A Dyn. Meteorol. Oceanogr. 2015, 67, 27925. [Google Scholar] [CrossRef] [Green Version]
 - Ishimoto, H.; Okamoto, K.; Okamoto, H.; Sato, K. One-dimensional variational (1D-Var) retrieval of middle to upper tropospheric humidity using AIRS radiance data. J. Geophys. Res. Atmos. 2014, 119, 7633–7654. [Google Scholar] [CrossRef]
 - Duncan, D.I.; Kummerow, C.D. A 1DVAR retrieval applied to GMI: Algorithm description, validation, and sensitivities. J. Geophys. Res. Atmos. 2016, 121, 7415–7429. [Google Scholar] [CrossRef] [Green Version]
 - Blackwell, W.J. A neural-network technique for the retrieval of atmospheric temperature and moisture profiles from high spectral resolution sounding data. IEEE Trans. Geosci. Remote Sens. 2005, 43, 2535–2546. [Google Scholar] [CrossRef]
 - Zhang, C.; Gu, M.; Hu, Y.; Huang, P.; Yang, T.; Huang, S.; Yang, C.; Shao, C. A Study on the Retrieval of Temperature and Humidity Profiles Based on FY-3D/HIRAS Infrared Hyperspectral Data. Remote Sens. 2021, 13, 2157. [Google Scholar] [CrossRef]
 - Hua, J.; Wang, Z.; Duan, J.; Li, L.; Zhang, C.; Wu, X.; Fan, Q.; Chen, R.; Sun, X.; Zhao, L.; et al. Review of geostationary interferometric infrared sounder. Chin. Opt. Lett. 2018, 16, 111203. [Google Scholar]
 - Hersbach, H.; Bell, B.; Berrisford, P.; Hirahara, S.; Horanyi, A.; Munoz-Sabater, J.; Nicolas, J.; Peubey, C.; Radu, R.; Schepers, D.; et al. The ERA5 global reanalysis. Q. J. R. Meteorol. Soc. 2020, 146, 1999–2049. [Google Scholar] [CrossRef]
 - Feng, X.; Li, L.; Chen, B.; Zou, Y.-P.; Han, C.P. Post-launch calibration and validation of the Geostationary Interferometric Infrared Sounder (GIIRS) on FY-4A. J. Infrared Millim. Waves 2019, 38, 648–654. [Google Scholar]
 











| Parameters | Indicators | 
|---|---|
| Spectral range (wavenumber) | Long wave: 700–1130 cm−1 Medium wave: 1650–2250 cm−1  | 
| Spectral resolution | 0.625 cm−1 | 
| Number of channels | Long wave: 689 Medium wave: 961  | 
| Sensitivity | Long wave: 0.5–1.12 mW/(m2 sr cm−1) Medium wave: 0.1–0.14 mW/(m2 sr cm−1)  | 
| Spatial resolution | 16 km (Nadir) | 
| Time resolution | <1 h (China regions) <1/2 h (Meso-small scale)  | 
| Area of detection | 5000 × 5000 km2 (China regions) 1000 × 1000 km2 (Meso-small scale)  | 
| Spectral calibration accuracy | 10 ppm | 
| Radiometric calibration accuracy | 1.5 K | 
| Wave Number/cm−1 | RMSE CNN_BT/K | RMSE ANN_BT/K | 
|---|---|---|
| 1728.125 | 1.375719986 | 1.406364218 | 
| 1755 | 1.371845853 | 1.561754943 | 
| 1759.375 | 1.336333 | 1.534812246 | 
| 1766.875 | 1.240220055 | 1.347038005 | 
| 1778.125 | 1.301464082 | 1.209132471 | 
| 1789.375 | 1.191061161 | 1.281530755 | 
| 1823.75 | 1.250634003 | 1.641993764 | 
| 1826.875 | 1.426850153 | 1.381052567 | 
| 1842.5 | 1.349534745 | 1.362948201 | 
| 1846.875 | 1.28274309 | 1.30117348 | 
| Mean | 1.312640612 | 1.402780064 | 
Publisher’s Note: MDPI stays neutral with regard to jurisdictional claims in published maps and institutional affiliations.  | 
© 2021 by the authors. Licensee MDPI, Basel, Switzerland. This article is an open access article distributed under the terms and conditions of the Creative Commons Attribution (CC BY) license (https://creativecommons.org/licenses/by/4.0/).
Share and Cite
Huang, P.; Guo, Q.; Han, C.; Tu, H.; Zhang, C.; Yang, T.; Huang, S. An Improved Method Combining CNN and 1D-Var for the Retrieval of Atmospheric Humidity Profiles from FY-4A/GIIRS Hyperspectral Data. Remote Sens. 2021, 13, 4737. https://doi.org/10.3390/rs13234737
Huang P, Guo Q, Han C, Tu H, Zhang C, Yang T, Huang S. An Improved Method Combining CNN and 1D-Var for the Retrieval of Atmospheric Humidity Profiles from FY-4A/GIIRS Hyperspectral Data. Remote Sensing. 2021; 13(23):4737. https://doi.org/10.3390/rs13234737
Chicago/Turabian StyleHuang, Pengyu, Qiang Guo, Changpei Han, Huangwei Tu, Chunming Zhang, Tianhang Yang, and Shuo Huang. 2021. "An Improved Method Combining CNN and 1D-Var for the Retrieval of Atmospheric Humidity Profiles from FY-4A/GIIRS Hyperspectral Data" Remote Sensing 13, no. 23: 4737. https://doi.org/10.3390/rs13234737
APA StyleHuang, P., Guo, Q., Han, C., Tu, H., Zhang, C., Yang, T., & Huang, S. (2021). An Improved Method Combining CNN and 1D-Var for the Retrieval of Atmospheric Humidity Profiles from FY-4A/GIIRS Hyperspectral Data. Remote Sensing, 13(23), 4737. https://doi.org/10.3390/rs13234737
        
                                                
