Using Daily Nighttime Lights to Monitor Spatiotemporal Patterns of Human Lifestyle under COVID-19: The Case of Saudi Arabia
Abstract
:1. Introduction
- Is it possible to measure the impact of the COVID-19 pandemic by analyzing nighttime lights?
- Is there an observable disparity in the impact of the COVID-19 pandemic at different spatial scales?
- What is the impact of the COVID-19 pandemic on areas characterized by different socioeconomic conditions?
- To what extent do different COVID-19 preventative measures affect human activities?
2. Materials and Methods
2.1. Study Area
2.2. Dataset
2.3. Saudi Arabia COVID-19 Measures
2.4. Data Processing
3. Results
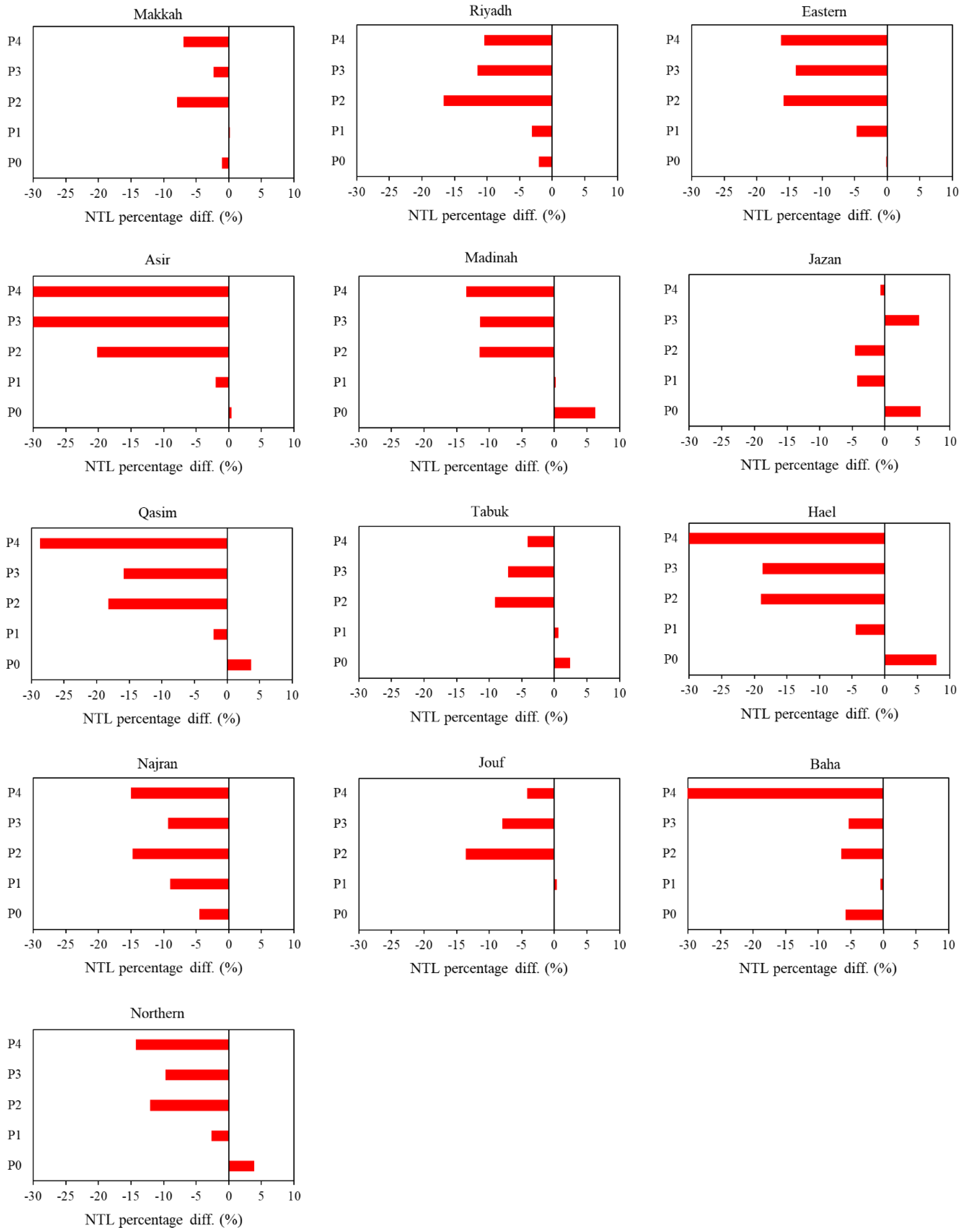
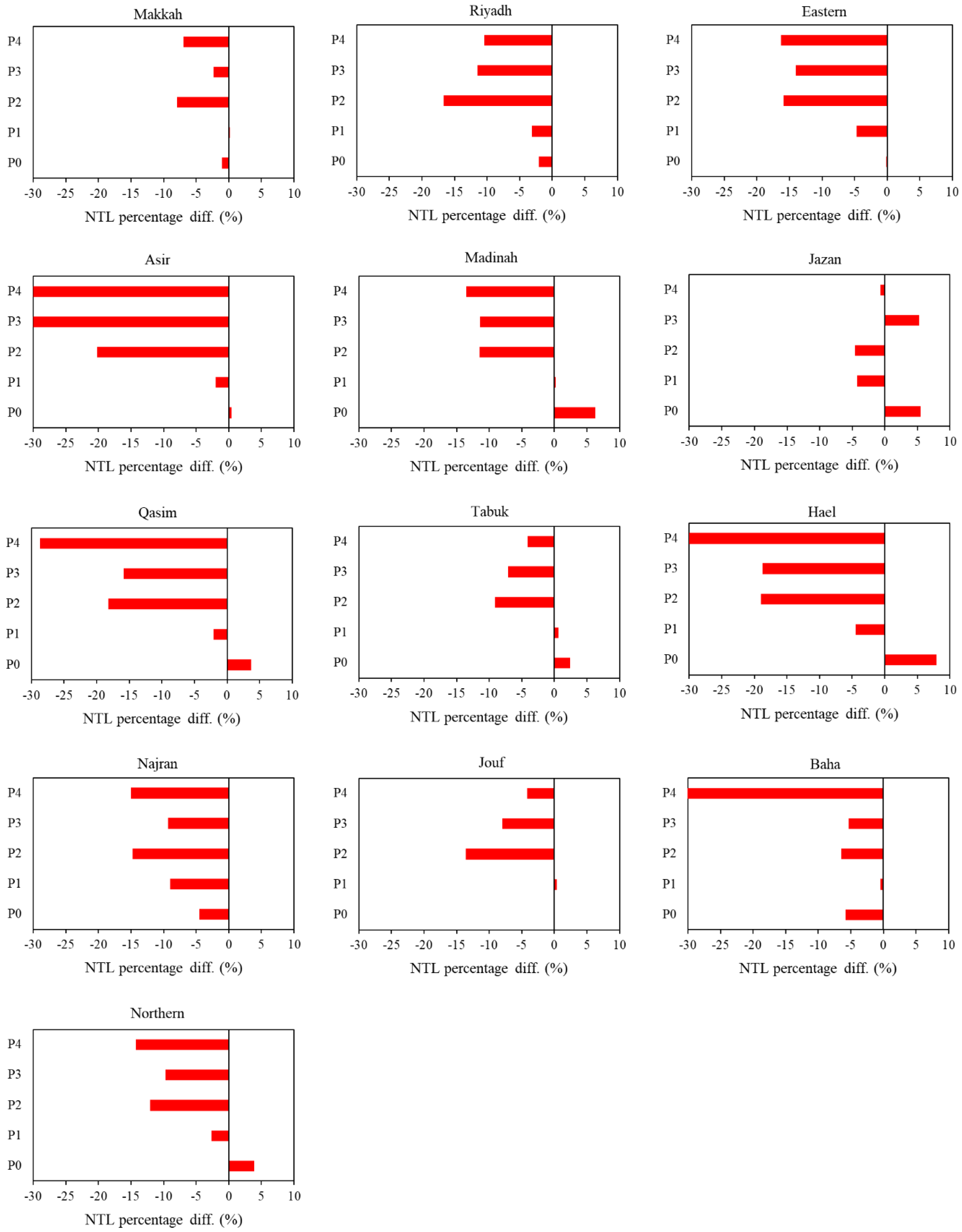
3.1. Change of NTL Intensity at the National and Provincial Levels
3.2. Change of NTL Intensity at the Governorate Level
3.3. Changes in NTL Intensity at the City Level
3.4. Change of NTL Intensity at the Site Level (Important Mosques)
- The Holy Mosque is located in the center of Makkah and is the largest mosque in the world. The Kaaba is located inside the Holy Mosque and it is the greatest and holiest house on Earth for Muslims. This is the location that all Muslims must face in their prayers. The mosque is able to accommodate two million worshippers as well as 100,000 persons circumambulating around the Kaaba per hour [55]. A prayer in the Holy Mosque is considered equivalent to 100,000 prayers in comparison with any other mosque [43], presenting a massive motivation to Muslims to travel to Makkah.
- The Prophet’s Mosque is located in the center of Madinah city and has a capacity of one million worshippers. A prayer in the Prophet’s Mosque is considered equivalent to 1000 prayers compared with any other mosque [43]. The mosque contains the Holy Rawdah (a garden), a small area located between the Prophet pulpit and Aisha’s room, with a total area of 400 m2. Most Muslims prefer to pray and stay in this area.
- Quba Mosque is the first mosque built in Islam, located in the south of Madinah and built by the Prophet Mohammed. It has a capacity of 20,000 worshippers. The reward for praying in this mosque is considered similar to the reward of Umrah based on specific conditions [43].
4. Discussion
5. Conclusions
Author Contributions
Funding
Acknowledgments
Conflicts of Interest
References
- World Bank. Global Economic Prospects; World Bank: Washington, DC, USA, 2021. [Google Scholar]
- El-Gohary, H. Coronavirus and Halal Tourism and Hospitality Industry: Is It a Journey to the Unknown? Sustainability 2020, 12, 9260. [Google Scholar] [CrossRef]
- GAS. Hajj Statistics in 2021. Available online: https://www.stats.gov.sa/ (accessed on 25 August 2021).
- Chakraborty, I.; Maity, P. COVID-19 outbreak: Migration, effects on society, global environment and prevention. Sci. Total Environ. 2020, 728, 138882. [Google Scholar] [CrossRef] [PubMed]
- Ghosh, T.; Elvidge, C.D.; Hsu, F.-C.; Zhizhin, M.; Bazilian, M. The Dimming of Lights in India during the COVID-19 Pandemic. Remote Sens. 2020, 12, 3289. [Google Scholar] [CrossRef]
- Tomar, A.; Gupta, N. Prediction for the spread of COVID-19 in India and effectiveness of preventive measures. Sci. Total Environ. 2020, 728, 138762. [Google Scholar] [CrossRef] [PubMed]
- Sujath, R.; Chatterjee, J.M.; Hassanien, A.E. A machine learning forecasting model for COVID-19 pandemic in India. Stoch. Environ. Res. Risk Assess. 2020, 34, 959–972. [Google Scholar] [CrossRef] [PubMed]
- Roosa, K.; Lee, Y.; Luo, R.; Kirpich, A.; Rothenberg, R.; Hyman, J.; Yan, P.; Chowell, G.b. Real-time forecasts of the COVID-19 epidemic in China from February 5th to February 24th, 2020. Infect. Dis. Model. 2020, 5, 256–263. [Google Scholar] [CrossRef]
- Mansour, S.; Al Kindi, A.; Al-Said, A.; Al-Said, A.; Atkinson, P. Sociodemographic determinants of COVID-19 incidence rates in Oman: Geospatial modelling using multiscale geographically weighted regression (MGWR). Sustain. Cities Soc. 2021, 65, 102627. [Google Scholar] [CrossRef]
- Moein, S.; Nickaeen, N.; Roointan, A.; Borhani, N.; Heidary, Z.; Javanmard, S.H.; Ghaisari, J.; Gheisari, Y. Inefficiency of SIR models in forecasting COVID-19 epidemic: A case study of Isfahan. Sci. Rep. 2021, 11, 4725. [Google Scholar]
- Ren, H.; Zhao, L.; Zhang, A.; Song, L.; Liao, Y.; Lu, W.; Cui, C. Early forecasting of the potential risk zones of COVID-19 in China’s megacities. Sci. Total Environ. 2020, 729, 138995. [Google Scholar] [CrossRef]
- Anil, I.; Alagha, O. The impact of COVID-19 lockdown on the air quality of Eastern Province, Saudi Arabia. Air Qual. Atmos. Health 2021, 14, 117–128. [Google Scholar] [CrossRef]
- Liu, Q.; Harris, J.T.; Chiu, L.S.; Sun, D.; Houser, P.R.; Yu, M.; Duffy, D.Q.; Little, M.M.; Yang, C. Spatiotemporal impacts of COVID-19 on air pollution in California, USA. Sci. Total Environ. 2021, 750, 141592. [Google Scholar] [CrossRef]
- Magazzino, C.; Mele, M.; Sarkodie, S.A. The nexus between COVID-19 deaths, air pollution and economic growth in New York state: Evidence from Deep Machine Learning. J. Environ. Manag. 2021, 286, 112241. [Google Scholar] [CrossRef] [PubMed]
- Morsy, E.; Habeebullah, T.M.; Othman, A. Assessing the air quality of megacities during the COVID-19 pandemic lockdown: A case study from Makkah City, Saudi Arabia. Arab. J. Geosci. 2021, 14, 1–12. [Google Scholar] [CrossRef]
- Bai, H.M.; Zaid, A.; Catrin, S.; Ahmed, K.; Ahmed, A. The socio-economic implications of the coronavirus pandemic (COVID-19): A review. Int. J. Surg. 2020, 8, 8–17. [Google Scholar]
- Aljadani, A.; Toumi, H.; Toumi, S.; Hsini, M.; Jallali, B. Investigation of the N-shaped environmental Kuznets curve for COVID-19 mitigation in the KSA. Environ. Sci. Pollut. Res. 2021, 28, 29681–29700. [Google Scholar] [CrossRef] [PubMed]
- Havrlant, D.; Darandary, A.; Muhsen, A. Early estimates of the impact of the COVID-19 pandemic on GDP: A case study of Saudi Arabia. Appl. Econ. 2021, 53, 1317–1325. [Google Scholar] [CrossRef]
- Foo, L.-P.; Chin, M.-Y.; Tan, K.-L.; Phuah, K.-T. The impact of COVID-19 on tourism industry in Malaysia. Curr. Issues Tour. 2020, 1–5. [Google Scholar] [CrossRef]
- Abbas, J.; Mubeen, R.; Iorember, P.T.; Raza, S.; Mamirkulova, G. Exploring the impact of COVID-19 on tourism: Transformational potential and implications for a sustainable recovery of the travel and leisure industry. Curr. Res. Behav. Sci. 2021, 2, 100033. [Google Scholar] [CrossRef]
- Anand, A.; Kim, D.-H. Pandemic induced changes in economic activity around African protected areas captured through night-time light data. Remote Sens. 2021, 13, 314. [Google Scholar] [CrossRef]
- Alkhraijah, M.; Alowaifeer, M.; Alsaleh, M.; Alfaris, A.; Molzahn, D.K. The Effects of Social Distancing on Electricity Demand Considering Temperature Dependency. Energies 2021, 14, 473. [Google Scholar] [CrossRef]
- Bahmanyar, A.; Estebsari, A.; Ernst, D. The impact of different COVID-19 containment measures on electricity consumption in Europe. Energy Res. Soc. Sci. 2020, 68, 101683. [Google Scholar] [CrossRef]
- Soava, G.; Mehedintu, A.; Sterpu, M.; Grecu, E. The impact of the COVID-19 pandemic on electricity consumption and economic growth in Romania. Energies 2021, 14, 2394. [Google Scholar] [CrossRef]
- Elvidge, C.D.; Ghosh, T.; Hsu, F.-C.; Zhizhin, M.; Bazilian, M. The Dimming of Lights in China during the COVID-19 Pandemic. Remote Sens. 2020, 12, 2851. [Google Scholar] [CrossRef]
- Liu, Q.; Sha, D.; Liu, W.; Houser, P.; Zhang, L.; Hou, R.; Lan, H.; Flynn, C.; Lu, M.; Hu, T. Spatiotemporal patterns of COVID-19 impact on human activities and environment in mainland China using nighttime light and air quality data. Remote Sens. 2020, 12, 1576. [Google Scholar] [CrossRef]
- Lan, T.; Shao, G.; Tang, L.; Xu, Z.; Zhu, W.; Liu, L. Quantifying spatiotemporal changes in human activities induced by COVID-19 pandemic using daily nighttime light data. IEEE J. Sel. Top. Appl. Earth Obs. Remote Sens. 2021, 14, 2740–2753. [Google Scholar] [CrossRef]
- Shao, Z.; Tang, Y.; Huang, X.; Li, D. Monitoring Work Resumption of Wuhan in the COVID-19 Epidemic Using Daily Nighttime Light. Photogramm. Eng. Remote Sens. 2021, 87, 195–204. [Google Scholar]
- Yin, R.; He, G.; Jiang, W.; Peng, Y.; Zhang, Z.; Li, M.; Gong, C. Night-Time Light Imagery Reveals China’s City Activity During the COVID-19 Pandemic Period in Early 2020. IEEE J. Sel. Top. Appl. Earth Obs. Remote Sens. 2021, 14, 5111–5122. [Google Scholar] [CrossRef]
- Huang, Q.; Yang, X.; Gao, B.; Yang, Y.; Zhao, Y. Application of DMSP/OLS nighttime light images: A meta-analysis and a systematic literature review. Remote Sens. 2014, 6, 6844–6866. [Google Scholar] [CrossRef] [Green Version]
- Zhao, M.; Zhou, Y.; Li, X.; Cao, W.; He, C.; Yu, B.; Li, X.; Elvidge, C.D.; Cheng, W.; Zhou, C. Applications of satellite remote sensing of nighttime light observations: Advances, challenges, and perspectives. Remote Sens. 2019, 11, 1971. [Google Scholar] [CrossRef] [Green Version]
- Alahmadi, M.; Atkinson, P.M. Three-fold urban expansion in Saudi Arabia from 1992 to 2013 observed using calibrated DMSP-OLS night-time lights imagery. Remote Sens. 2019, 11, 2266. [Google Scholar] [CrossRef] [Green Version]
- Hu, X.; Qian, Y.; Pickett, S.T.; Zhou, W. Urban mapping needs up-to-date approaches to provide diverse perspectives of current urbanization: A novel attempt to map urban areas with nighttime light data. Landsc. Urban Plan. 2020, 195, 103709. [Google Scholar] [CrossRef]
- Li, F.; Li, E.; Zhang, C.; Samat, A.; Liu, W.; Li, C.; Atkinson, P.M. Estimating artificial impervious surface percentage in Asia by fusing multi-temporal MODIS and VIIRS nighttime light data. Remote Sens. 2021, 13, 212. [Google Scholar] [CrossRef]
- Tang, Y.; Shao, Z.; Huang, X.; Cai, B. Mapping Impervious Surface Areas Using Time-Series Nighttime Light and MODIS Imagery. Remote Sens. 2021, 13, 1900. [Google Scholar] [CrossRef]
- Alahmadi, M.; Mansour, S.; Martin, D.; Atkinson, P. An Improved Index for Urban Population Distribution Mapping Based on Nighttime Lights (DMSP-OLS) Data: An Experiment in Riyadh Province, Saudi Arabia. Remote Sens. 2021, 13, 1171. [Google Scholar] [CrossRef]
- Lu, D.; Wang, Y.; Yang, Q.; Su, K.; Zhang, H.; Li, Y. Modeling spatiotemporal population changes by integrating DMSP-OLS and NPP-VIIRS nighttime light data in Chongqing, China. Remote Sens. 2021, 13, 284. [Google Scholar] [CrossRef]
- Lin, J.; Shi, W. Statistical correlation between monthly electric power consumption and VIIRS nighttime light. ISPRS Int. J. Geo-Inf. 2020, 9, 32. [Google Scholar] [CrossRef] [Green Version]
- Sun, Y.; Wang, S.; Zhang, X.; Chan, T.O.; Wu, W. Estimating local-scale domestic electricity energy consumption using demographic, nighttime light imagery and Twitter data. Energy 2021, 226, 120351. [Google Scholar] [CrossRef]
- Zhao, M.; Cheng, W.; Zhou, C.; Li, M.; Wang, N.; Liu, Q. GDP spatialization and economic differences in South China based on NPP-VIIRS nighttime light imagery. Remote Sens. 2017, 9, 673. [Google Scholar] [CrossRef] [Green Version]
- Xu, G.; Xiu, T.; Li, X.; Liang, X.; Jiao, L. Lockdown induced night-time light dynamics during the COVID-19 epidemic in global megacities. Int. J. Appl. Earth Obs. Geoinf. 2021, 102, 102421. [Google Scholar] [CrossRef]
- Ardiansyah, E.A. Critical Discourse Analysis on a Text “Friday Prayer at Home for Most but Some Risk Infection at Mosques” by the Al Jazeera English. Al-Tsaqafa J. Ilm. Perad. Islam 2020, 17, 58–66. [Google Scholar]
- Al-Bukhari, A.A. Sahih Bukhari, 1st ed.; Dar Ibn Katheer: Damascus, Syria, 2002. [Google Scholar]
- Zubar, M. Group Prayer When Epidemic Diseases Spread—A Comparative Jurisprudential Study. J. Al-Frahedis Arts 2021, 13, 197–211. [Google Scholar]
- Kushbayev, F. The social, economic and religious life of the city of Mecca before islam. Light Islam 2018, 2018, 3–7. [Google Scholar]
- Yezli, S.; Khan, A. COVID-19 social distancing in the Kingdom of Saudi Arabia: Bold measures in the face of political, economic, social and religious challenges. Travel Med. Infect. Dis. 2020, 37, 101692. [Google Scholar] [CrossRef] [PubMed]
- Hanieh, A. COVID-19 and global oil markets. Can. J. Dev. Stud./Rev. Can. D’études Dév. 2021, 42, 101–108. [Google Scholar] [CrossRef]
- Abu Alfotoh, M. Factors affecting strategic decision-making in the face of the Corona virus and its effects on limiting the spread of the virus: A case study of the Kingdom of Saudi Arabia. J. Econ. Political Sci. 2021, 22, 255–307. [Google Scholar] [CrossRef]
- GAS. Umrah Statistics in 2021. Available online: https://www.stats.gov.sa/ (accessed on 25 August 2021).
- Elvidge, C.D.; Baugh, K.; Zhizhin, M.; Hsu, F.C.; Ghosh, T. VIIRS night-time lights. Int. J. Remote Sens. 2017, 38, 5860–5879. [Google Scholar] [CrossRef]
- Román, M.O.; Wang, Z.; Sun, Q.; Kalb, V.; Miller, S.D.; Molthan, A.; Schultz, L.; Bell, J.; Stokes, E.C.; Pandey, B. NASA’s Black Marble nighttime lights product suite. Remote Sens. Environ. 2018, 210, 113–143. [Google Scholar] [CrossRef]
- Gaughan, A.E.; Stevens, F.R.; Linard, C.; Jia, P.; Tatem, A.J. High resolution population distribution maps for Southeast Asia in 2010 and 2015. PLoS ONE 2013, 8, e55882. [Google Scholar] [CrossRef]
- Baugh, K.; Hsu, F.-C.; Elvidge, C.D.; Zhizhin, M. Nighttime lights compositing using the VIIRS day-night band: Preliminary results. Proc. Asia-Pac. Adv. Netw. 2013, 35, 70–86. [Google Scholar] [CrossRef] [Green Version]
- Shi, K.; Yu, B.; Huang, Y.; Hu, Y.; Yin, B.; Chen, Z.; Chen, L.; Wu, J. Evaluating the ability of NPP-VIIRS nighttime light data to estimate the gross domestic product and the electric power consumption of China at multiple scales: A comparison with DMSP-OLS data. Remote Sens. 2014, 6, 1705–1724. [Google Scholar] [CrossRef] [Green Version]
- Alkhadim, M.; Gidado, K.; Painting, N. Risk management: The effect of FIST on perceived safety in crowded large space buildings. Saf. Sci. 2018, 108, 29–38. [Google Scholar] [CrossRef]
- World Health Organization (WHO). Modes of Transmission of Virus Causing COVID-19: Implications for IPC Precaution Recommendations: Scientific Brief, 27 March 2020; World Health Organization: Geneva, Switzerland, 2020. [Google Scholar]











| Period | Date Ranges | Gregorian Dates | Key COVID-19 Preventive Measures |
|---|---|---|---|
| P0 (D1 vs. D0) | D0: Pre-pandemic | 6 February 2019 to 7 March 2019 | No measures. These date ranges were used to produce a pre-pandemic period (P0) in 2019 for comparison with pandemic periods in 2020. |
| D1: Pre-pandemic | 9 March 2019 to 3 April 2019 | ||
| D2: Pre-pandemic | 26 January 2020 to 24 February 2020 | These date ranges were used as a reference for comparison with the pandemic periods (P1, P2, P3 and P4). | |
| P1 (D3 vs. D2) | D3: Pandemic | 26 February 2020 to 16 March 2020 | - Temporarily suspending entry to Saudi Arabia for the purpose of Umrah and visiting the Prophet’s Mosque, starting from 02.07.1441 (26 February 2020). - The Ministry of Health announced the registration of the first case of COVID-19 on 07.07.1441 (2 March 2020). - Temporarily suspending Umrah for citizens and residents, starting from 09.07.1441 (4 March 2020). - Closing the Two Holy Mosques an hour after Isha (evening) Prayer and reopening them an hour before Al-Fajr (dawn) Prayer, starting from 10.07.1441 (5 March 2020). - Suspending education in all provinces and governorates in Saudi Arabia, starting from 14.07.1441 (9 March 2020) until further notice. - Suspending attendance of employees at workplaces in all government agencies, except for the health and military sectors, and closure of markets and malls for 16 days starting from 21.07.1441 (16 March 2020). |
| P2 (D4 vs. D2) | D4: Pandemic | 17 March 2020 to 23 April 2020 | - Continuing all the previous preventive measures. - Suspension of Friday and congregational prayers for all obligatory prayers in mosques, and only the call to prayer, with the exception of the Two Holy Mosques (only the Imam and the holy mosque staff are allowed to pray) starting from 22.07.1441 (17 March 2020). - Continuing all the previous preventive measures. - Curfew from 19:00 to 6:00 for 21 days starting from 28.07.1441 (23 March 2020). - Preventing residents from leaving the administrative provinces and moving to other provinces, starting from 02.08.1441 (26 March 2020). - It is forbidden to enter or leave Riyadh, Makkah and Madinah, starting from 02.08.1441 (26 March 2020), and the curfew for these cities is adjusted to run from 15:00 to 06:00. |
| P3 (D5 vs. D2) | D5: Pandemic | 24 April 202 to 22 May 2020 | - Continuing all the previous preventive measures. - Ramadan month. |
| P4 (D6 vs. D2) | D6: Pandemic | 23 May 2020 to 27 May 2020 | - Complete curfew. - Last day of Ramadan and four Eid Alfiter (the first Muslim celebration event) days. |
| Yearly Quarters | Oil Exports (Million SAR) | Non-Oil Exports (Million SAR) | GDP (Million SAR) | Unemployment Rate (%) | |
|---|---|---|---|---|---|
| Saudi | Non-Saudi | ||||
| Q1 2019 | 192,026 | 57,336 | 660,680 | 12.52 | 0.61 |
| Q2 2019 | 199,801 | 55,912 | 642,780 | 12.30 | 0.28 |
| Q3 2019 | 181,319 | 54,761 | 651,392 | 12.03 | 0.32 |
| Q4 2019 | 185,741 | 53,789 | 684,959 | 12.02 | 0.37 |
| Q1 2020 | 149,950 | 47,893 | 654,030 | 11.78 | 0.54 |
| Q2 2020 | 74,775 | 42,337 | 597,838 | 15.45 | 3.12 |
| City | Percentage Difference of NTL Brightness (%) | Population (2019) | ||||
|---|---|---|---|---|---|---|
| P0 | P1 | P2 | P3 | P4 | ||
| Makkah | −1.33 | 2.77 | −6.9 | −4.72 | −8.63 | 2,196,482 |
| Madinah | 4.43 | 1.88 | −15.51 | −11.78 | −14.05 | 1,487,477 |
| Riyadh | −0.4 | −1.7 | −15.61 | −8.27 | −7.73 | 6,721,862 |
Publisher’s Note: MDPI stays neutral with regard to jurisdictional claims in published maps and institutional affiliations. |
© 2021 by the authors. Licensee MDPI, Basel, Switzerland. This article is an open access article distributed under the terms and conditions of the Creative Commons Attribution (CC BY) license (https://creativecommons.org/licenses/by/4.0/).
Share and Cite
Alahmadi, M.; Mansour, S.; Dasgupta, N.; Abulibdeh, A.; Atkinson, P.M.; Martin, D.J. Using Daily Nighttime Lights to Monitor Spatiotemporal Patterns of Human Lifestyle under COVID-19: The Case of Saudi Arabia. Remote Sens. 2021, 13, 4633. https://doi.org/10.3390/rs13224633
Alahmadi M, Mansour S, Dasgupta N, Abulibdeh A, Atkinson PM, Martin DJ. Using Daily Nighttime Lights to Monitor Spatiotemporal Patterns of Human Lifestyle under COVID-19: The Case of Saudi Arabia. Remote Sensing. 2021; 13(22):4633. https://doi.org/10.3390/rs13224633
Chicago/Turabian StyleAlahmadi, Mohammed, Shawky Mansour, Nataraj Dasgupta, Ammar Abulibdeh, Peter M. Atkinson, and David J. Martin. 2021. "Using Daily Nighttime Lights to Monitor Spatiotemporal Patterns of Human Lifestyle under COVID-19: The Case of Saudi Arabia" Remote Sensing 13, no. 22: 4633. https://doi.org/10.3390/rs13224633
APA StyleAlahmadi, M., Mansour, S., Dasgupta, N., Abulibdeh, A., Atkinson, P. M., & Martin, D. J. (2021). Using Daily Nighttime Lights to Monitor Spatiotemporal Patterns of Human Lifestyle under COVID-19: The Case of Saudi Arabia. Remote Sensing, 13(22), 4633. https://doi.org/10.3390/rs13224633

