Evaluating the Drought-Monitoring Utility of GPM and TRMM Precipitation Products over Mainland China
Abstract
:1. Introduction
2. Study Area and Data
2.1. Study Area
2.2. Gauge Precipitation Observation
2.3. Satellite Rainfall Estimate (SRE) Data
3. Methodology
3.1. Standardized Precipitation Evapotranspiration Index (SPEI)
3.2. Statistical Metrics for Evaluation
4. Results
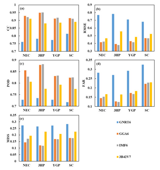
4.1. Evaluation and Intercomparison between Four SREs
4.2. Comparison of SPEI Estimates from SREs and In Situ Observations
4.3. Drought Events: Some Case Studies
5. Discussion
5.1. Influence of the Length of Base Period on SPEI Calculation
5.2. Comparison of the Applicability of Four SREs for Drought Monitoring
6. Conclusions
Author Contributions
Funding
Institutional Review Board Statement
Informed Consent Statement
Data Availability Statement
Acknowledgments
Conflicts of Interest
References
- Piao, S.; Ciais, P.; Huang, Y.; Shen, Z.; Peng, S.; Li, J.; Zhou, L.; Liu, H.; Ma, Y.; Ding, Y.; et al. The impacts of climate change on water resources and agriculture in China. Nature 2010, 467, 43–51. [Google Scholar] [CrossRef] [PubMed]
- Sheffield, J.; Wood, E.F.; Roderick, M.L. Little change in global drought over the past 60 years. Nature 2012, 491, 435. [Google Scholar] [CrossRef] [PubMed]
- Damberg, L.; Aghakouchak, A. Global trends and patterns of drought from space. Theor. Appl. Climatol. 2014, 117, 441–448. [Google Scholar] [CrossRef]
- Yao, N.; Li, Y.; Lei, T. Drought evolution, severity and trends in mainland China over 1961–2013. Sci. Total Environ. 2017, 616, 73–89. [Google Scholar] [CrossRef] [PubMed]
- Trenberth, K.E. Changes in precipitation with climate change. Clim. Res. 2011, 47, 123–138. [Google Scholar] [CrossRef] [Green Version]
- Ali, G. Climate change and associated spatial heterogeneity of Pakistan: Empirical evidence using multidisciplinary approach. Sci. Total Environ. 2018, 634, 95–108. [Google Scholar] [CrossRef] [PubMed]
- Yeh, P.J.F.; Wu, C. Recent acceleration of the terrestrial hydrologic cycle in the US Midwest. J. Geophys. Res.-Atmos. 2018, 123, 2993–3008. [Google Scholar] [CrossRef]
- Zhong, R.; He, Y.; Chen, X. Responses of the hydrological regime to variations in meteorological factors under climate change of the Tibetan plateau. Atmos. Res. 2018, 214, 296–310. [Google Scholar] [CrossRef]
- Dai, A. Increasing drought under global warming in observations and models. Nat. Clim. Chang. 2013, 3, 52–58. [Google Scholar] [CrossRef]
- Yu, M.; Li, Q.; Hayes, M.J.; Svoboda, M.D.; Heim, R.R. Are droughts becoming more frequent or severe in China based on the Standardized Precipitation Evapotranspiration Index: 1951–2010? Int. J. Climatol. 2013, 34, 545–558. [Google Scholar] [CrossRef]
- Venkataraman, K.; Tummuri, S.; Medina, A.; Perry, J. 21st century drought outlook for major climate divisions of Texas based on CMIP5 multimodel ensemble: Implications for water resource management. J. Hydrol. 2016, 534, 300–316. [Google Scholar] [CrossRef] [Green Version]
- Mishra, A.K.; Singh, V.P. A review of drought concepts. J. Hydrol. 2010, 391, 202–216. [Google Scholar] [CrossRef]
- Trambauer, P.; Maskey, S.; Werner, M.; Pappenberger, F.; Van, B.; Uhlenbrook, S. Identification and simulation of space-time variability of past hydrological drought events in the Limpopo River basin, southern Africa. Hydrol. Earth Syst. Sci. 2014, 18, 2925–2942. [Google Scholar] [CrossRef] [Green Version]
- Ayantobo, O.O.; Yi, L.; Song, S.; Ning, Y. Spatial comparability of drought characteristics and related return periods in mainland china over 1961–2013. J. Hydrol. 2017, 550, 549–567. [Google Scholar] [CrossRef]
- Cai, Y.; Jin, C.; Wang, A. Comprehensive precipitation evaluation of TRMM 3B42 with dense rain gauge networks in a mid-latitude basin, northeast, China. Theor. Appl. Climatol. 2015, 1, 1–13. [Google Scholar] [CrossRef]
- Islam, M.N.; Uyeda, H. Use of TRMM in determining the climatic characteristics of rainfall over Bangladesh. Remote Sens. Environ. 2007, 108, 264–276. [Google Scholar] [CrossRef]
- Almazroui, M. Calibration of TRMM rainfall climatology over Saudi Arabia during 1998–2009. Atmos. Res. 2011, 99, 400–414. [Google Scholar] [CrossRef]
- Du, L.; Tian, Q.; Yu, T.; Meng, Q.; Jancso, T.; Udvardy, P.; Huang, Y. A comprehensive drought monitoring method integrating MODIS and TRMM data. Int. J. Appl. Earth Obs. Geoinf. 2013, 23, 245–253. [Google Scholar] [CrossRef]
- Zhang, L.; Jiao, W.; Zhang, H.; Huang, C.; Tong, Q. Studying drought phenomena in the Continental United States in 2011 and 2012 using various drought indices. Remote Sens. Environ. 2017, 190, 96–106. [Google Scholar] [CrossRef]
- Huffman, G.J.; Adler, R.F.; Bolvin, D.T.; Gu, G.; Nelkin, E.J.; Bowman, K.P.; Hong, Y.; Stocker, E.F.; Wolff, D.B. The TRMM multisatellite precipitation analysis (TMPA): Quasi-global, multiyear, combined-sensor precipitation estimates at fine scales. J. Hydrometeorol. 2007, 8, 38–55. [Google Scholar] [CrossRef]
- Yong, B.; Ren, L.; Hong, Y.; Wang, J.; Gourley, J.J.; Jiang, S.; Chen, X.; Wang, W. Hydrologic evaluation of Multisatellite Precipitation Analysis standard precipitation products in basins beyond its inclined latitude band: A case study in Laohahe basin, China. Water Resour. Res. 2010, 46, 759–768. [Google Scholar] [CrossRef] [Green Version]
- Hu, Q.; Yang, D.; Wang, Y. Accuracy and spatio-temporal variation of high resolution satellite rainfall estimate over the Ganjiang River Basin. Sci. China 2013, 56, 853–865. [Google Scholar] [CrossRef]
- Tong, K.; Su, F.; Yang, D.; Hao, Z. Evaluation of satellite precipitation retrievals and their potential utilities in hydrologic modeling over the Tibetan Plateau. J. Hydrol. 2014, 519, 423–437. [Google Scholar] [CrossRef]
- Sun, R.; Yuan, H.; Liu, X.; Jiang, X. Evaluation of the latest satellite–gauge precipitation products and their hydrologic applications over the Huaihe River basin. J. Hydrol. 2016, 536, 302–319. [Google Scholar] [CrossRef]
- Sahoo, A.K.; Sheffield, J.; Pan, M.; Wood, E.F. Evaluation of the tropical rainfall measuring mission multi-satellite precipitation analysis (TMPA) for assessment of large-scale meteorological drought. Remote Sens. Environ. 2015, 159, 181–193. [Google Scholar] [CrossRef]
- Xu, Z.; Wu, Z.; He, H.; Wu, X.; Zhou, J.; Zhang, Y.; Guo, X. Evaluating the accuracy of MSWEP V2. 1 and its performance for drought monitoring over mainland China. Atmos. Res. 2019, 226, 17–31. [Google Scholar] [CrossRef]
- Zhong, R.; Chen, X.; Lai, C.; Wang, Z.; Lian, Y.; Yu, H.; Wu, X. Drought monitoring utility of satellite-based precipitation products across mainland China. J. Hydrol. 2019, 568, 343–359. [Google Scholar] [CrossRef]
- Zhu, Q.; Luo, Y.; Zhou, D.; Xu, Y.; Wang, G.; Gao, H. Drought Monitoring Utility using Satellite-Based Precipitation Products over the Xiang River Basin in China. Remote Sens. 2019, 11, 1483. [Google Scholar] [CrossRef] [Green Version]
- Suliman, A.; Awchi, T.A.; Al-Mola, M.; Shahid, S. Evaluation of remotely sensed precipitation sources for drought assessment in Semi-Arid Iraq. Atmos. Res. 2020, 242, 105007. [Google Scholar] [CrossRef]
- Huffman, G.J.; Bolvin, D.T.; Braithwaite, D.; Hsu, K.; Joyce, R.; Xie, P. NASA Global Precipitation Measurement (GPM) Integrated Multi-satellitE Retrievals for GPM (IMERG). In Algorithm Theoretical Basis Document (ATBD) Version 06; NASA/GSFC: Greenbelt, MD, USA, 2019. [Google Scholar]
- Kubota, T.; Aonashi, K.; Ushio, T. Global Satellite Mapping of Precipitation (GSMaP) Products in the GPM Era. Satell. Precip. Meas. 2020, 67, 355–373. [Google Scholar]
- Tang, G.; Zeng, Z.; Long, D.; Guo, X.; Yong, B.; Zhang, W.; Hong, Y. Statistical and Hydrological Comparisons between TRMM and GPM Level-3 Products over a Midlatitude Basin: Is Day-1 IMERG a Good Successor for TMPA 3B42V7? J. Hydrometeorol. 2015, 17, 121–137. [Google Scholar] [CrossRef]
- Tang, G.; Ma, Y.; Long, D.; Zhong, L.; Hong, Y. Evaluation of GPM Day-1 IMERG and TMPA Version-7 legacy products over Mainland China at multiple spatio-temporal scales. J. Hydrol. 2016, 533, 152–167. [Google Scholar] [CrossRef]
- Sahlu, D.; Nikolopoulos, E.; Moges, S.; Anagnostou, E.; Hailu, D. First evaluation of the integrated multi-satellite retrieval for gpm day-1 imerg over the upper blue nile basin. J. Hydrometeorol. 2016, 17, 2875–2882. [Google Scholar] [CrossRef]
- Manz, B.; Páez-Bimos, S.; Horna, N.; Buytaert, W.; Ochoa-Tocachi, B.; Lavado-Casimiro, W. Comparative ground validation of imerg and tmpa at variable spatio-temporal scales in the tropical andes. J. Hydrometeorol. 2017, 18, 2469–2489. [Google Scholar] [CrossRef]
- Keyantash, J.; Dracup, J. The quantification of drought: An evaluation of drought indices. Bull. Am. Meteor. Soc. 2002, 83, 1167–1180. [Google Scholar] [CrossRef]
- McKee, T.B.; Doesken, N.J.; Kleist, J. The relationship of drought frequency and duration to time scales. In Proceedings of the 8th Conference on Applied Climatology, Qingdao, China, 28–31 August 2010; American Meteorological Society: Boston, MA, USA, 1993. [Google Scholar]
- Palmer, W.C. Meteorological Drought; US Department of Commerce, Weather Bureau: Washington, DC, USA, 1965. [Google Scholar]
- Wells, N.; Goddard, S.; Hayes, M.J. A self-calibrating palmer drought severity index. J. Clim. 2004, 17, 2335–2351. [Google Scholar] [CrossRef]
- Vicente-Serrano, S.M.; Begueria, S.; Lopezmoreno, J.I. A multiscalar drought index sensitive to global warming: The standardized precipitation evapotranspiration index. J. Clim. 2010, 23, 1696–1718. [Google Scholar] [CrossRef] [Green Version]
- Jiang, S.; Wei, L.; Ren, L.; Xu, C.Y.; Liu, Y. Utility of integrated IMERG precipitation and GLEAM potential evapotranspiration products for drought monitoring over mainland China. Atmos. Res. 2020, 247, 105141. [Google Scholar] [CrossRef]
- Wei, L.; Jiang, S.; Ren, L.; Zhang, L.; Wang, M.; Duan, Z. Preliminary Utility of the Retrospective IMERG Precipitation Product for Large Scale Drought Monitoring over Mainland China. Remote Sens. 2020, 12, 2993. [Google Scholar] [CrossRef]
- Tashima, T.; Kubota, T.; Mega, T. Precipitation extremes monitoring using the near-real-time GSMaP product. IEEE J. Sel Top. Appl. Earth Obs. Remote Sens. 2020, 13, 5640–5651. [Google Scholar] [CrossRef]
- Lai, C.; Li, J.; Wang, Z.; Wu, X.; Zeng, Z.; Chen, X.; Lian, Y.; Yu, H.; Wang, P.; Bai, X. Drought-induced reduction in net primary productivity across mainland China from 1982 to 2015. Remote Sens. 2018, 10, 1433. [Google Scholar] [CrossRef] [Green Version]
- Wang, H.; Chen, Y.; Pan, Y.; Li, W. Spatial and temporal variability of drought in the arid region of China and its relationships to teleconnection indices. J. Hydrol. 2015, 523, 283–296. [Google Scholar] [CrossRef]
- Xu, K.; Yang, D.; Yang, H.; Li, Z.; Qin, Y.; Shen, Y. Spatio-temporal variation of drought in China during 1961–2012: A climatic perspective. J. Hydrol. 2015, 526, 253–264. [Google Scholar] [CrossRef]
- Guo, H.; Bao, A.; Liu, T.; Chen, S.; Ndayisaba, F. Evaluation of PERSIANN-CDR for Meteorological Drought Monitoring over China. Remote Sens. 2016, 8, 379. [Google Scholar] [CrossRef] [Green Version]
- Li, J.; Wang, Z.; Lai, C.; Wu, X.; Zeng, Z.; Chen, X.; Lian, Y. Response of net primary production to land use and land cover change in mainland China since the late 1980s. Sci. Total Environ. 2018, 639, 237–247. [Google Scholar] [CrossRef] [PubMed]
- Shen, Y.; Xiong, A. Validation and comparison of a new gauge-based precipitation analysis over mainland China. Int. J. Climatol. 2016, 36, 252–265. [Google Scholar] [CrossRef]
- De Jesiis, A.; Brena-Naranjo, J.A.; Pedrozo-Acuna, A.; Alcocer Yamanaka, V.H. The use of TRMM 3B42 product for Drought monitoring in Mexico. Water 2016, 8, 325. [Google Scholar] [CrossRef]
- Kobayashi, S.; Ota, Y.; Harada, Y.; Ebita, A.; Moriya, M.; Onoda, H.; Onogi, K.; Kamahori, H.; Kobayashi, C.; Endo, H.; et al. The JRA-55 reanalysis: General specifications and basic characteristics. J. Meteorol. Soc. Jpn. 2015, 93, 5–48. [Google Scholar] [CrossRef] [Green Version]
- Harada, Y.; Kamahori, H.; Kobayashi, C.; Endo, H.; Kobayashi, S.; Ota, Y.; Onoda, H.; Onogi, K.; Miyaoka, K.; Takahashi, K. The JRA-55 reanalysis: Representation of atmospheric circulation and climate variability. J. Meteorol. Soc. Jpn. 2016, 94, 269–302. [Google Scholar] [CrossRef] [Green Version]
- Beguerıa, S.; Vicente-Serrano, S.; Reig, F.; Latorre, B. Standardized precipitation evapotranspiration index (SPEI) revisited: Parameter fitting, evapotranspiration models, tools, datasets and drought monitoring. Int. J. Climatol. 2014, 34, 3001–3023. [Google Scholar] [CrossRef] [Green Version]
- Tian, Y.; Peters-Lidard, C.D.; Choudhury, B.J.; Garcia, M. Multitemporal analysis of TRMM-based satellite precipitation products for land data assimilation applications. J. Hydrometeorol. 2007, 8, 1165–1183. [Google Scholar] [CrossRef]
- Zhang, W.; Jin, F.; Zhao, J.; Qi, L.; Ren, H. The possible influence of a nonconventional El Niño on the severe autumn drought of 2009 in Southwest China. J. Clim. 2013, 26, 8392–8405. [Google Scholar] [CrossRef]
- Ren, L.; Wei, L.; Jiang, S.; Shi, J.; Yuan, F.; Zhang, L.; Liu, R. Drought monitoring utility assessment of CHIRPS and GLEAM satellite products in China. Trans. CSAE 2019, 35, 146–154. [Google Scholar]
- Wu, H.; Hayes, M.; Wilhite, D. The effect of data length on the standardized precipitation index calculation. Int. J. Climatol. 2005, 25, 505–520. [Google Scholar] [CrossRef] [Green Version]
- Hoerling, M. Causes and predictability of the 2012 Great Plains drought. Bull. Am. Meteor. Soc. 2014, 95, 269–282. [Google Scholar] [CrossRef] [Green Version]
- Mo, K.C.; Lettenmaier, D.P. Heat wave flash droughts in decline. Geophys. Res. Lett. 2015, 42, 2823–2829. [Google Scholar] [CrossRef]













| Drought Class | SPEI Values |
|---|---|
| Extreme wet | SPEI ≥ 2.0 |
| Very wet | 1.5 < SPEI < 2.0 |
| Moderate wet | 1 < SPEI <1.5 |
| Mild wet | 0.5 < SPEI < 1.0 |
| Normal | −0.5 ≤ SPEI ≤ 0.5 |
| Mild drought | −1 < SPEI < −0.5 |
| Moderate drought | −1.5 < SPEI < −1.0 |
| Severe drought | −2 < SPEI < −1.5 |
| Extreme drought | SPEI ≤ −2.0 |
| Statistic Metrics | Equation | Perfect Value |
|---|---|---|
| Probability of Detection (POD) | 1 | |
| False Alarm Ratio (FAR) | 0 | |
| MISS | 0 | |
| Correlation Coefficient (CC) | 1 | |
| Relative Bias (BIAS) | 0 | |
| Root Mean Squared Error (RMSE) | 0 | |
| Mean Error | 0 |
| Agricultural Region | Quantile/Mean Value(MV) | GNRT6 | GGA6 | IMF6 | 3B42V7 | ||||
|---|---|---|---|---|---|---|---|---|---|
| CC | BIAS (%) | CC | BIAS (%) | CC | BIAS (%) | CC | BIAS (%) | ||
| NEC | 5% | 0.797 | −24 | 0.918 | −15 | 0.933 | −2 | 0.920 | 2 |
| 50% | 0.872 | −1 | 0.967 | −4 | 0.973 | 11 | 0.956 | 12 | |
| 95% | 0.907 | 14 | 0.985 | 5 | 0.984 | 30 | 0.974 | 27 | |
| MV | 0.863 | −1 | 0.960 | −4 | 0.968 | 12 | 0.952 | 13 | |
| NAS | 5% | 0.115 | −41 | 0.347 | −66 | 0.552 | −58 | 0.399 | −47 |
| 50% | 0.672 | 8 | 0.904 | −5 | 0.882 | 1 | 0.851 | 3 | |
| 95% | 0.888 | 283 | 0.978 | 44 | 0.976 | 82 | 0.963 | 66 | |
| MV | 0.603 | 53 | 0.825 | −8 | 0.841 | 4 | 0.792 | 6 | |
| 3HP | 5% | 0.806 | −14 | 0.942 | −9 | 0.954 | −6 | 0.937 | −4 |
| 50% | 0.870 | 0 | 0.968 | 0 | 0.973 | 7 | 0.964 | 8 | |
| 95% | 0.908 | 16 | 0.981 | 9 | 0.983 | 18 | 0.977 | 19 | |
| MV | 0.865 | 0 | 0.964 | 0 | 0.970 | 7 | 0.959 | 8 | |
| LP | 5% | 0.776 | −12 | 0.922 | −14 | 0.949 | −14 | 0.929 | −13 |
| 50% | 0.857 | 3 | 0.962 | −2 | 0.975 | 0 | 0.957 | 3 | |
| 95% | 0.896 | 20 | 0.980 | 15 | 0.983 | 17 | 0.974 | 18 | |
| MV | 0.850 | 3 | 0.957 | −1 | 0.972 | 0 | 0.955 | 3 | |
| TP | 5% | 0.142 | −73 | 0.586 | −54 | 0.643 | −55 | 0.523 | −37 |
| 50% | 0.640 | −11 | 0.933 | −3 | 0.899 | −6 | 0.850 | 3 | |
| 95% | 0.903 | 147 | 0.988 | 80 | 0.973 | 130 | 0.961 | 187 | |
| MV | 0.601 | 3 | 0.884 | 1 | 0.868 | 13 | 0.810 | 36 | |
| MLY | 5% | 0.776 | −22 | 0.902 | −12 | 0.930 | −11 | 0.912 | −7 |
| 50% | 0.849 | −7 | 0.953 | −1 | 0.966 | 7 | 0.949 | 5 | |
| 95% | 0.891 | 10 | 0.973 | 12 | 0.979 | 16 | 0.967 | 16 | |
| MV | 0.842 | −6 | 0.948 | −1 | 0.961 | 5 | 0.944 | 5 | |
| SBS | 5% | 0.784 | −16 | 0.898 | −29 | 0.898 | −28 | 0.878 | −24 |
| 50% | 0.878 | 2 | 0.952 | −2 | 0.964 | −2 | 0.952 | 2 | |
| 95% | 0.940 | 36 | 0.985 | 19 | 0.981 | 19 | 0.978 | 19 | |
| MV | 0.874 | 5 | 0.948 | −3 | 0.954 | −4 | 0.943 | 0 | |
| SC | 5% | 0.810 | −49 | 0.910 | −25 | 0.934 | −13 | 0.917 | −14 |
| 50% | 0.865 | −19 | 0.963 | −4 | 0.969 | 0 | 0.962 | 2 | |
| 95% | 0.903 | 7 | 0.982 | 8 | 0.982 | 18 | 0.980 | 20 | |
| MV | 0.862 | −19 | 0.957 | −5 | 0.965 | 1 | 0.956 | 3 | |
| YGP | 5% | 0.744 | −25 | 0.862 | −20 | 0.872 | −11 | 0.863 | −15 |
| 50% | 0.883 | −12 | 0.960 | −5 | 0.969 | 0 | 0.960 | 1 | |
| 95% | 0.928 | 5 | 0.984 | 6 | 0.986 | 11 | 0.982 | 11 | |
| MV | 0.865 | −11 | 0.951 | −5 | 0.956 | 0 | 0.951 | 0 | |
| Season | Product | CC | ME (mm) | BIAS (%) | RMSE (mm) |
|---|---|---|---|---|---|
| Spring | GNRT6 | 0.857 | −3.22 | −2.62 | 3.88 |
| GGA6 | 0.916 | 1.28 | 3.28 | 3.46 | |
| IMF6 | 0.922 | 0.57 | 6.45 | 3.15 | |
| 3B42V7 | 0.906 | −2.79 | −6.55 | 3.66 | |
| Summer | GNRT6 | 0.862 | 2.95 | 1.23 | 8.52 |
| GGA6 | 0.913 | −6.59 | −1.66 | 6.98 | |
| IMF6 | 0.922 | −3.22 | −5.28 | 6.82 | |
| 3B42V7 | 0.905 | −2.56 | −3.89 | 8.22 | |
| Autumn | GNRT6 | 0.839 | −5.22 | −9.55 | 3.25 |
| GGA6 | 0.925 | −2.88 | −5.56 | 3.01 | |
| IMF6 | 0.930 | −1.59 | −1.47 | 2.89 | |
| 3B42V7 | 0.902 | −3.13 | −1.59 | 3.12 | |
| Winter | GNRT6 | 0.735 | −5.75 | −8.38 | 4.05 |
| GGA6 | 0.919 | −1.65 | −1.95 | 1.75 | |
| IMF6 | 0.932 | −0.2 | −0.87 | 1.57 | |
| 3B42V7 | 0.838` | −3.24 | −7.25 | 3.02 |
| Agricultural Region | Quantile/Mean Value(MV) | GNRT6 | GGA6 | ||||||
|---|---|---|---|---|---|---|---|---|---|
| SPEI1 | SPEI3 | SPEI6 | SPEI12 | SPEI1 | SPEI3 | SPEI6 | SPEI12 | ||
| NEC | 5% | 0.604 | 0.774 | 0.626 | 0.556 | 0.644 | 0.865 | 0.787 | 0.865 |
| 50% | 0.810 | 0.925 | 0.950 | 0.900 | 0.758 | 0.942 | 0.923 | 0.929 | |
| 95% | 0.901 | 0.971 | 0.978 | 0.953 | 0.832 | 0.970 | 0.964 | 0.957 | |
| MV | 0.782 | 0.751 | 0.761 | 0.776 | 0.900 | 0.934 | 0.929 | 0.917 | |
| NAS | 5% | 0.206 | 0.449 | 0.361 | 0.131 | 0.490 | 0.690 | 0.732 | 0.641 |
| 50% | 0.681 | 0.865 | 0.865 | 0.681 | 0.814 | 0.952 | 0.948 | 0.913 | |
| 95% | 0.901 | 0.976 | 0.972 | 0.959 | 0.939 | 0.990 | 0.983 | 0.972 | |
| MV | 0.630 | 0.782 | 0.737 | 0.711 | 0.807 | 0.917 | 0.895 | 0.871 | |
| 3HP | 5% | 0.636 | 0.827 | 0.841 | 0.447 | 0.731 | 0.924 | 0.933 | 0.851 |
| 50% | 0.797 | 0.935 | 0.945 | 0.849 | 0.800 | 0.961 | 0.961 | 0.938 | |
| 95% | 0.895 | 0.976 | 0.980 | 0.962 | 0.843 | 0.975 | 0.976 | 0.965 | |
| MV | 0.784 | 0.794 | 0.781 | 0.769 | 0.919 | 0.956 | 0.949 | 0.933 | |
| LP | 5% | 0.601 | 0.756 | 0.813 | 0.396 | 0.687 | 0.880 | 0.889 | 0.854 |
| 50% | 0.788 | 0.911 | 0.937 | 0.787 | 0.816 | 0.950 | 0.959 | 0.928 | |
| 95% | 0.892 | 0.968 | 0.977 | 0.956 | 0.875 | 0.976 | 0.977 | 0.963 | |
| MV | 0.776 | 0.801 | 0.792 | 0.788 | 0.889 | 0.941 | 0.930 | 0.911 | |
| TP | 5% | 0.235 | 0.357 | 0.364 | 0.153 | 0.491 | 0.606 | 0.613 | 0.524 |
| 50% | 0.559 | 0.857 | 0.800 | 0.648 | 0.692 | 0.907 | 0.883 | 0.818 | |
| 95% | 0.790 | 0.974 | 0.950 | 0.926 | 0.838 | 0.980 | 0.962 | 0.940 | |
| MV | 0.541 | 0.678 | 0.630 | 0.589 | 0.796 | 0.869 | 0.860 | 0.836 | |
| MLY | 5% | 0.729 | 0.855 | 0.898 | 0.700 | 0.724 | 0.894 | 0.907 | 0.883 |
| 50% | 0.869 | 0.947 | 0.969 | 0.940 | 0.794 | 0.944 | 0.958 | 0.936 | |
| 95% | 0.939 | 0.980 | 0.987 | 0.977 | 0.850 | 0.967 | 0.972 | 0.958 | |
| MV | 0.847 | 0.790 | 0.808 | 0.839 | 0.925 | 0.935 | 0.940 | 0.939 | |
| SBS | 5% | 0.544 | 0.693 | 0.714 | 0.486 | 0.574 | 0.786 | 0.761 | 0.747 |
| 50% | 0.755 | 0.893 | 0.915 | 0.862 | 0.701 | 0.900 | 0.881 | 0.876 | |
| 95% | 0.857 | 0.967 | 0.966 | 0.945 | 0.859 | 0.967 | 0.948 | 0.942 | |
| MV | 0.732 | 0.713 | 0.722 | 0.732 | 0.868 | 0.889 | 0.893 | 0.882 | |
| SC | 5% | 0.516 | 0.768 | 0.837 | 0.585 | 0.708 | 0.846 | 0.853 | 0.829 |
| 50% | 0.786 | 0.929 | 0.945 | 0.909 | 0.810 | 0.927 | 0.922 | 0.914 | |
| 95% | 0.909 | 0.972 | 0.973 | 0.967 | 0.868 | 0.960 | 0.956 | 0.953 | |
| MV | 0.759 | 0.800 | 0.774 | 0.775 | 0.910 | 0.919 | 0.911 | 0.908 | |
| YGP | 5% | 0.292 | 0.793 | 0.868 | 0.631 | 0.720 | 0.840 | 0.826 | 0.846 |
| 50% | 0.884 | 0.951 | 0.963 | 0.932 | 0.837 | 0.952 | 0.952 | 0.946 | |
| 95% | 0.960 | 0.987 | 0.989 | 0.983 | 0.874 | 0.972 | 0.970 | 0.968 | |
| MV | 0.840 | 0.809 | 0.813 | 0.828 | 0.909 | 0.914 | 0.915 | 0.901 | |
| Agricultural Region | Quantile/Mean Value(MV) | IMF6 | 3B42V7 | ||||||
|---|---|---|---|---|---|---|---|---|---|
| SPEI1 | SPEI3 | SPEI6 | SPEI12 | SPEI1 | SPEI3 | SPEI6 | SPEI12 | ||
| NEC | 5% | 0.644 | 0.850 | 0.788 | 0.813 | 0.653 | 0.822 | 0.716 | 0.716 |
| 50% | 0.768 | 0.941 | 0.942 | 0.923 | 0.789 | 0.933 | 0.944 | 0.910 | |
| 95% | 0.859 | 0.972 | 0.970 | 0.962 | 0.866 | 0.970 | 0.972 | 0.955 | |
| MV | 0.907 | 0.907 | 0.921 | 0.914 | 0.854 | 0.923 | 0.910 | 0.884 | |
| NAS | 5% | 0.407 | 0.655 | 0.677 | 0.498 | 0.375 | 0.619 | 0.596 | 0.326 |
| 50% | 0.772 | 0.937 | 0.931 | 0.855 | 0.755 | 0.916 | 0.911 | 0.785 | |
| 95% | 0.909 | 0.982 | 0.974 | 0.963 | 0.898 | 0.979 | 0.972 | 0.958 | |
| MV | 0.789 | 0.915 | 0.891 | 0.861 | 0.632 | 0.874 | 0.811 | 0.739 | |
| 3HP | 5% | 0.707 | 0.911 | 0.919 | 0.733 | 0.674 | 0.876 | 0.895 | 0.614 |
| 50% | 0.784 | 0.954 | 0.956 | 0.911 | 0.772 | 0.939 | 0.946 | 0.878 | |
| 95% | 0.846 | 0.974 | 0.975 | 0.959 | 0.868 | 0.976 | 0.974 | 0.958 | |
| MV | 0.925 | 0.956 | 0.952 | 0.939 | 0.779 | 0.926 | 0.881 | 0.834 | |
| LP | 5% | 0.712 | 0.867 | 0.890 | 0.771 | 0.676 | 0.818 | 0.854 | 0.638 |
| 50% | 0.789 | 0.937 | 0.949 | 0.893 | 0.793 | 0.921 | 0.947 | 0.857 | |
| 95% | 0.886 | 0.975 | 0.974 | 0.956 | 0.878 | 0.966 | 0.972 | 0.948 | |
| MV | 0.922 | 0.951 | 0.942 | 0.934 | 0.747 | 0.920 | 0.879 | 0.825 | |
| TP | 5% | 0.421 | 0.572 | 0.561 | 0.432 | 0.366 | 0.501 | 0.518 | 0.333 |
| 50% | 0.642 | 0.903 | 0.875 | 0.783 | 0.597 | 0.884 | 0.848 | 0.727 | |
| 95% | 0.799 | 0.977 | 0.956 | 0.933 | 0.786 | 0.974 | 0.948 | 0.925 | |
| MV | 0.747 | 0.854 | 0.838 | 0.805 | 0.614 | 0.783 | 0.749 | 0.694 | |
| MLY | 5% | 0.735 | 0.902 | 0.917 | 0.858 | 0.755 | 0.895 | 0.913 | 0.791 |
| 50% | 0.815 | 0.947 | 0.964 | 0.936 | 0.851 | 0.950 | 0.967 | 0.940 | |
| 95% | 0.868 | 0.972 | 0.978 | 0.962 | 0.913 | 0.976 | 0.983 | 0.972 | |
| MV | 0.949 | 0.948 | 0.955 | 0.958 | 0.899 | 0.927 | 0.923 | 0.918 | |
| SBS | 5% | 0.569 | 0.777 | 0.757 | 0.704 | 0.566 | 0.741 | 0.756 | 0.604 |
| 50% | 0.730 | 0.905 | 0.898 | 0.874 | 0.753 | 0.898 | 0.910 | 0.870 | |
| 95% | 0.842 | 0.969 | 0.948 | 0.935 | 0.838 | 0.968 | 0.951 | 0.939 | |
| MV | 0.888 | 0.871 | 0.882 | 0.887 | 0.805 | 0.862 | 0.853 | 0.833 | |
| SC | 5% | 0.666 | 0.829 | 0.847 | 0.771 | 0.643 | 0.810 | 0.846 | 0.695 |
| 50% | 0.777 | 0.922 | 0.926 | 0.897 | 0.785 | 0.921 | 0.933 | 0.897 | |
| 95% | 0.866 | 0.965 | 0.961 | 0.954 | 0.886 | 0.967 | 0.965 | 0.960 | |
| MV | 0.931 | 0.916 | 0.917 | 0.922 | 0.861 | 0.905 | 0.886 | 0.872 | |
| YGP | 5% | 0.699 | 0.817 | 0.805 | 0.773 | 0.133 | 0.145 | 0.793 | 0.139 |
| 50% | 0.851 | 0.951 | 0.955 | 0.934 | 0.878 | 0.954 | 0.962 | 0.931 | |
| 95% | 0.898 | 0.978 | 0.978 | 0.972 | 0.931 | 0.984 | 0.986 | 0.979 | |
| MV | 0.929 | 0.921 | 0.911 | 0.912 | 0.872 | 0.910 | 0.890 | 0.869 | |
Publisher’s Note: MDPI stays neutral with regard to jurisdictional claims in published maps and institutional affiliations. |
© 2021 by the authors. Licensee MDPI, Basel, Switzerland. This article is an open access article distributed under the terms and conditions of the Creative Commons Attribution (CC BY) license (https://creativecommons.org/licenses/by/4.0/).
Share and Cite
Cheng, S.; Wang, W.; Yu, Z. Evaluating the Drought-Monitoring Utility of GPM and TRMM Precipitation Products over Mainland China. Remote Sens. 2021, 13, 4153. https://doi.org/10.3390/rs13204153
Cheng S, Wang W, Yu Z. Evaluating the Drought-Monitoring Utility of GPM and TRMM Precipitation Products over Mainland China. Remote Sensing. 2021; 13(20):4153. https://doi.org/10.3390/rs13204153
Chicago/Turabian StyleCheng, Shuai, Weiguang Wang, and Zhongbo Yu. 2021. "Evaluating the Drought-Monitoring Utility of GPM and TRMM Precipitation Products over Mainland China" Remote Sensing 13, no. 20: 4153. https://doi.org/10.3390/rs13204153
APA StyleCheng, S., Wang, W., & Yu, Z. (2021). Evaluating the Drought-Monitoring Utility of GPM and TRMM Precipitation Products over Mainland China. Remote Sensing, 13(20), 4153. https://doi.org/10.3390/rs13204153
